Interaction of Red Cabbage Extract with Exogenous Antioxidants
Abstract
1. Introduction
2. Results
2.1. Chemical Composition of the Extract
2.2. Interactions in the ABTS• Decolorization Assay
2.3. Interactions in the FRAP Assay
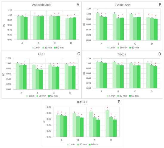
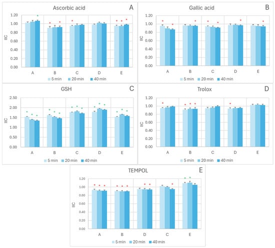
2.4. Sample Interaction Coefficient
2.5. Summary of the Integrated Interaction Coefficient
3. Discussion
4. Materials and Methods
4.1. Reagents, Materials and Equipment
4.2. Preparation and Description of Red Cabbage Extract
4.3. Estimation of Polyphenol Concentration
4.4. Estimation of Flavonoid Concentration
4.5. Estimation of Anthocyanin Concentration
4.6. Estimation of Total Carbohydrate Concentration
4.7. Estimation of Glucosinolate Concentration
4.8. Analysis of Polyphenolic Compounds Using UPLC-PDA-ESI-MS/MS
4.9. ABTS• Decolorization Assay
4.10. Ferric Reducing Antioxidant Power (FRAP) Assay
4.11. Interactions Between Red Cabbage Extract and Antioxidants in Antioxidant Activity Assays
4.12. Ratio of Reaction Rates
4.13. Statistics
5. Conclusions
Supplementary Materials
Author Contributions
Funding
Institutional Review Board Statement
Informed Consent Statement
Data Availability Statement
Conflicts of Interest
Abbreviations
| ABTS• | 2,2′-azino-bis(3-ethylbenzothiazoline-6-sulfonate) radical |
| AC | anthocyanins |
| FRAP | Ferric Reducing Antioxidant Power |
| GSH | glutathione |
| IIC | Integrated Interaction Coefficient |
| SIC | Sample Interaction Coefficient |
| TEMPOL | 4-hydroxy-2,2,6,6-tetramethylpiperidin-1-oxyl |
| TPTZ | 2,4,6-tri(2-pyridyl)-s-triazine |
References
- Halliwell, B. How to characterize a biological antioxidant. Free Radic. Res. Commun. 1990, 9, 1–32. [Google Scholar] [CrossRef]
- Food and Nutrition Board, Institute of Medicine. Dietary Reference Intakes; National Academy Press: Washington, DC, USA, 2002. [Google Scholar]
- Gülcin, I. Antioxidant activity of food constituents: An overview. Arch. Toxicol. 2012, 86, 345–391. [Google Scholar] [CrossRef] [PubMed]
- Basavegowda, N.; Baek, K.H. Synergistic antioxidant and antibacterial advantages of essential oils for food packaging applications. Biomolecules 2021, 11, 1267. [Google Scholar] [CrossRef] [PubMed]
- Wang, D.; Chu, F.; Wei, H.; Zhang, J.; Zhai, H. Recent advances in the synergistic application of essential oils and emerging technologies for fresh food preservation: A comprehensive review. Compr. Rev. Food Sci. Food Saf. 2025, 24, e70244. [Google Scholar] [CrossRef]
- Chen, L.; Wang, L.; Ma, L.; Wang, C.; Qin, X.; Wang, M.; Zhang, X.; Yang, X.; Yang, R.; Fang, B.; et al. Synergistic antioxidant effects of cysteine derivative and Sm-cluster for food applications. Antioxidants 2024, 13, 910. [Google Scholar] [CrossRef]
- Skroza, D.; Šimat, V.; Vrdoljak, L.; Jolić, N.; Skelin, A.; Čagalj, M.; Frieta, R.; Generalić Mekinić, I. Investigation of antioxidant synergisms and antagonisms among phenolic acids in the model matrices using FRAP and ORAC methods. Antioxidants 2022, 11, 1784. [Google Scholar] [CrossRef]
- Hajimehdipoor, H.; Shahrestani, R.; Shekarchi, M. Investigating the synergistic antioxidant effects of some flavonoid and phenolic compounds. Res. J. Pharmacogn. 2014, 1, 35–40. [Google Scholar]
- Rúa, J.; de Arriaga, D.; García-Armesto, M.R.; Busto, F.; Del Valle, P. Binary combinations of natural phenolic compounds with gallic acid or with its alkyl esters: An approach to understand the antioxidant interactions. Eur. Food Res. Technol. 2017, 243, 1211–1217. [Google Scholar] [CrossRef]
- Ilyasov, I.; Beloborodov, V.; Antonov, D.; Dubrovskaya, A.; Terekhov, R.; Zhevlakova, A.; Saydasheva, A.; Evteev, V.; Selivanova, I. Flavonoids with glutathione antioxidant synergy: Influence of free radicals inflow. Antioxidants 2020, 9, 695. [Google Scholar] [CrossRef]
- Palafox-Carlos, H.; Gil-Chávez, J.; Sotelo-Mundo, R.R.; Namiesnik, J.; Gorinstein, S.; González-Aguilar, G.A. Antioxidant interactions between major phenolic compounds found in ‘Ataulfo’ mango pulp: Chlorogenic, gallic, protocatechuic and vanillic acids. Molecules 2012, 17, 12657–12664. [Google Scholar] [CrossRef]
- Joshi, T.; Deepa, P.R.; Sharma, P.K. Effect of different proportions of phenolics on antioxidant potential: Pointers for bioactive Synergy/Antagonism in foods and nutraceuticals. Proc. Natl. Acad. Sci. India Sect. B Biol. Sci. 2022, 92, 939–946. [Google Scholar] [CrossRef]
- Olszowy-Tomczyk, M. Synergistic, antagonistic and additive antioxidant effects in the binary mixtures. Phytochem. Rev. 2020, 19, 63–103. [Google Scholar] [CrossRef]
- Hidalgo, M.; Sánchez-Moreno, C.; de Pascual-Teresa, S. Flavonoid–flavonoid interaction and its effect on their antioxidant activity. Food Chem. 2010, 121, 691–696. [Google Scholar] [CrossRef]
- Slavova-Kazakova, A.; Janiak, M.A.; Sulewska, K.; Kancheva, V.D.; Karamać, M. Synergistic, additive, and antagonistic antioxidant effects in the mixtures of curcumin with (−)-epicatechin and with a green tea fraction containing (−)-epicatechin. Food Chem. 2021, 360, 129994. [Google Scholar] [CrossRef]
- Wiczkowski, W.; Szawara-Nowak, D.; Topolska, J. Red cabbage anthocyanins: Profile, isolation, identification, and antioxidant activity. Food Res. Int. 2013, 51, 303–309. [Google Scholar] [CrossRef]
- Ghareaghajlou, N.; Hallaj-Nezhadi, S.; Ghasempour, Z. Red cabbage anthocyanins: Stability, extraction, biological activities and applications in food systems. Food Chem. 2021, 365, 130482. [Google Scholar] [CrossRef] [PubMed]
- Xu, K.; Peng, R.; Zou, Y.; Jiang, X.; Sun, Q.; Song, C. Vitamin C intake and multiple health outcomes: An umbrella review of systematic reviews and meta-analyses. Int. J. Food Sci. Nutr. 2022, 73, 588–599. [Google Scholar] [CrossRef]
- Dresen, E.; Lee, Z.Y.; Hill, A.; Notz, Q.; Patel, J.J.; Stoppe, C. History of scurvy and use of vitamin C in critical illness: A narrative review. Nutr. Clin. Pract. 2023, 38, 46–54. [Google Scholar] [CrossRef]
- Wianowska, D.; Olszowy-Tomczyk, M. A concise profile of gallic acid—From its natural sources through biological properties and chemical methods of determination. Molecules 2023, 28, 1186. [Google Scholar] [CrossRef]
- Hadidi, M.; Liñán-Atero, R.; Tarahi, M.; Christodoulou, M.C.; Aghababaei, F. The potential health benefits of gallic acid: Therapeutic and food applications. Antioxidants 2024, 13, 1001. [Google Scholar] [CrossRef]
- Cassier-Chauvat, C.; Marceau, F.; Farci, S.; Ouchane, S.; Chauvat, F. The glutathione system: A journey from cyanobacteria to higher eukaryotes. Antioxidants 2023, 12, 1199. [Google Scholar] [CrossRef]
- Chai, Y.C.; Mieyal, J.J. Glutathione and glutaredoxin—Key players in cellular redox homeostasis and signaling. Antioxidants 2023, 12, 1553. [Google Scholar] [CrossRef]
- Theodosis-Nobelos, P.; Papagiouvannis, G.; Rekka, E.A. A review on vitamin E natural analogues and on the design of synthetic vitamin E derivatives as cytoprotective agents. Mini Rev. Med. Chem. 2021, 21, 10–22. [Google Scholar] [CrossRef]
- Hwang, S.J.; Lee, J.H. Comparison of antioxidant activities expressed as equivalents of standard antioxidant. Food Sci. Technol. 2023, 43, e121522. [Google Scholar] [CrossRef]
- Tiwari, A.; Tiwari, V.; Banik, B.K.; Sahoo, B.M. Mechanistic role of Tempol: Synthesis, catalysed reactions and therapeutic potential. Med. Chem. 2023, 19, 859–878. [Google Scholar] [CrossRef]
- Sadowska-Bartosz, I.; Bartosz, G. The cellular and organismal effects of nitroxides and nitroxide-containing nanoparticles. Int. J. Mol. Sci. 2024, 25, 1446. [Google Scholar] [CrossRef]
- Kut, K.; Cieniek, B.; Stefaniuk, I.; Bartosz, G.; Sadowska-Bartosz, I. A modification of the ABTS• decolorization method and an insight into its mechanism. Processes 2022, 10, 1288. [Google Scholar] [CrossRef]
- Qi, X.; Liu, H.; Ren, Y.; Zhu, Y.; Wang, Q.; Zhang, Y.; Wu, Y.; Yuan, L.; Yan, H.; Liu, M. Effects of combined binding of chlorogenic acid/caffeic acid and gallic acid to trypsin on their synergistic antioxidant activity, enzyme activity and stability. Food Chem. X 2023, 18, 100664. [Google Scholar] [CrossRef]
- Zhang, L.; Zhu, C.; Liu, X.; Su, E.; Cao, F.; Zhao, L. Study on synergistic antioxidant effect of typical functional components of hydroethanolic leaf extract from Ginkgo biloba in vitro. Molecules 2022, 27, 439. [Google Scholar] [CrossRef]
- Olszowy-Tomczyk, M.; Wianowska, D. Antioxidant properties of selected flavonoids in binary mixtures—Considerations on myricetin, kaempferol and quercetin. Int. J. Mol. Sci. 2023, 24, 10070. [Google Scholar] [CrossRef] [PubMed]
- Heo, H.J.; Kim, Y.J.; Chung, D.; Kim, D.O. Antioxidant capacities of individual and combined phenolics in a model system. Food Chem. 2007, 104, 87–92. [Google Scholar] [CrossRef]
- Kurin, E.; Mučaji, P.; Nagy, M. In vitro antioxidant activities of three red wine polyphenols and their mixtures: An interaction study. Molecules 2012, 17, 14336–14348. [Google Scholar] [CrossRef]
- Silva, F.; Veiga, F.; Cardoso, C.; Dias, F.; Cerqueira, F.; Medeiros, R.; Paiva-Santos, A.C. A rapid and simplified DPPH assay for analysis of antioxidant interactions in binary combinations. Microchem. J. 2024, 202, 110801. [Google Scholar] [CrossRef]
- Stunda-Zujeva, A.; Berele, M.; Lece, A.; Šķesters, A. Comparison of antioxidant activity in various spirulina containing products and factors affecting it. Sci. Rep. 2023, 13, 4529. [Google Scholar] [CrossRef]
- Yakoubi, R.; Megateli, S.; Sadok, T.H.; Bensouici, C.; Bağci, E. A synergistic interactions of Algerian essential oils of Laurus nobilis L., Lavandula stoechas L. and Mentha pulegium L. on anticholinesterase and antioxidant activities. Biocatal. Agric. Biotechnol. 2021, 31, 101891. [Google Scholar] [CrossRef]
- Uduwana, S.; Abeynayake, N.; Wickramasinghe, I. Synergistic, antagonistic, and additive effects on the resultant antioxidant activity in infusions of green tea with bee honey and Citrus limonum extract as additives. J. Agric. Food Res. 2023, 12, 100571. [Google Scholar] [CrossRef]
- Serpen, A.; Gökmen, V.; Fogliano, V. Total antioxidant capacities of raw and cooked meats. Meat Sci. 2012, 90, 60–65. [Google Scholar] [CrossRef]
- Cömert, E.D.; Gökmen, V. Effect of food combinations and their co-digestion on total antioxidant capacity under simulated gastrointestinal conditions. Curr. Res. Food Sci. 2022, 5, 414–422. [Google Scholar] [CrossRef] [PubMed]
- Atkins, P.; Ratckliffe, R.; de Paula, J. Physical Chemistry for the Life Sciences, 2nd ed.; Oxford University Press: New York, NY, USA, 2023. [Google Scholar]
- Bayram, I.; Decker, E.A. Underlying mechanisms of synergistic antioxidant interactions during lipid oxidation. Trends Food Sci. Technol. 2023, 133, 219–230. [Google Scholar] [CrossRef]
- Barouh, N.; Bourlieu-Lacanal, C.; Figueroa-Espinoza, M.C.; Durand, E.; Villeneuve, P. Tocopherols as antioxidants in lipid-based systems: The combination of chemical and physicochemical interactions determines their efficiency. Compr. Rev. Food Sci. Food Saf. 2022, 21, 642–688. [Google Scholar] [CrossRef]
- de Guzman, R.; Tang, H.; Salley, S.; Ng, K.S. Synergistic effects of antioxidants on the oxidative stability of soybean oil-and poultry fat-based biodiesel. J. Am. Oil Chem. Soc. 2009, 86, 459–467. [Google Scholar] [CrossRef]
- Huang, D.; Ou, B.; Prior, R.L. The chemistry behind antioxidant capacity assays. J. Agric. Food Chem. 2005, 53, 1841–1856. [Google Scholar] [CrossRef]
- Schaich, K.M.; Tian, X.; Xie, J. Hurdles and pitfalls in measuring antioxidant efficacy: A critical evaluation of ABTS, DPPH, and ORAC assays. J. Funct. Foods 2015, 18, 782–796. [Google Scholar] [CrossRef]
- Apak, R.; Özyürek, M.; Güçlü, K.; Çapanoğlu, E. Antioxidant activity/capacity measurement. 2. Hydrogen atom transfer (HAT)-based, mixed-mode (electron transfer (ET)/HAT), and lipid peroxidation assays. J. Agric. Food Chem. 2016, 64, 1028–1045. [Google Scholar] [CrossRef]
- Krishna, M.C.; Grahame, D.A.; Samuni, A.; Mitchell, J.B.; Russo, A.N.G.E.L.O. Oxoammonium cation intermediate in the nitroxide-catalyzed dismutation of superoxide. Proc. Natl. Acad. Sci. USA 1992, 89, 5537–5541. [Google Scholar] [CrossRef]
- Song, Y.; Buettner, G.R. Thermodynamic and kinetic considerations for the reaction of semiquinone radicals to form superoxide and hydrogen peroxide. Free Rad. Biol. Med. 2010, 49, 919–962. [Google Scholar] [CrossRef] [PubMed]
- Osman, A.M.; Wong, K.K.Y.; Fernyhough, A. ABTS radical-driven oxidation of polyphenols: Isolation and structural elucidation of covalent adducts. Biochem. Biophys. Res. Commun. 2006, 346, 321–329. [Google Scholar] [CrossRef] [PubMed]
- Kim, H.; Park, J.; Lee, Y.S. A protocol to evaluate one electron redox potential for iron complexes. J. Comput. Chem. 2013, 34, 2233–2241. [Google Scholar] [CrossRef]
- Monks, T.J.; Lau, S.S. Biological reactivity of polyphenolic− glutathione conjugates. Chem. Res. Toxicol. 1997, 10, 1296–1313. [Google Scholar] [CrossRef]
- Van Bladeren, P.J. Glutathione conjugation as a bioactivation reaction. Chem. Biol. Int. 2000, 129, 61–76. [Google Scholar] [CrossRef]
- Fu, L.; Xu, B.T.; Gan, R.Y.; Zhang, Y.; Xu, X.R.; Xia, E.Q.; Li, H.B. Total phenolic contents and antioxidant capacities of herbal and tea infusions. Int. J. Mol. Sci. 2011, 12, 2112–2124. [Google Scholar] [CrossRef]
- Sultana, S.; Lawag, I.L.; Lim, L.Y.; Foster, K.J.; Locher, C. A critical exploration of the total flavonoid content assay for honey. Methods Protoc. 2024, 7, 95. [Google Scholar] [CrossRef]
- Lee, J.; Durst, R.W.; Wrolstad, R.E.; Eisele, T.; Giusti, M.M.; Hach, J.; Hofsommer, H.; Koswig, S.; Krueger, D.A.; Kupina, S.; et al. Determination of total monomeric anthocyanin pigment content of fruit juices, beverages, natural colorants, and wines by the pH differential method: Collaborative study. J. AOAC Int. 2005, 88, 1269–1278. [Google Scholar] [CrossRef] [PubMed]
- Nielsen, S.S. Food Analysis Laboratory Manual, 2nd ed.; Springer: New York, NY, USA, 2015; pp. 47–54. [Google Scholar]
- Mawlong, I.; Sujith Kumar, M.S.; Gurung, B.; Singh, K.H.; Singh, D. A simple spectrophotometric method for estimating total glucosinolates in mustard de-oiled cake. Int. J. Food Prop. 2017, 20, 3274–3281. [Google Scholar] [CrossRef]
- Kapusta, I.; Cebulak, T.; Oszmiański, J. The anthocyanins profile of red grape cultivars growing in south-east Poland (Subcarpathia region). J. Food Meas. Charact. 2017, 11, 1863–1873. [Google Scholar] [CrossRef]
- Re, R.; Pellegrini, N.; Proteggente, A.; Pannala, A.; Yang, M.; Rice-Evans, C. Antioxidant activity applying an improved ABTS radical cation decolorization assay. Free Radic. Biol. Med. 1999, 26, 1231–1237. [Google Scholar] [CrossRef]
- Benzie, I.F.; Strain, J.J. The ferric reducing ability of plasma (FRAP) as a measure of “antioxidant power”: The FRAP assay. Anal. Biochem. 1996, 239, 70–76. [Google Scholar] [CrossRef] [PubMed]
- Furdak, P.; Bartosz, G.; Sadowska-Bartosz, I. Effect of thermal treatment on the antiproliferative and antioxidant activities of garlic. Food Sci. Nutr. 2025, 13, e70375. [Google Scholar] [CrossRef]







| Components | Mean ± SD |
|---|---|
| Polyphenols [µmol gallic acid equivalents/L] | 1315 ± 40 |
| Flavonoids [µmol quercetin equivalents/L] | 588 ± 49 |
| Anthocyanins [µmol kuromarin equivalents/L] | 408 ± 24 |
| Total carbohydrates [µmol glucose equivalents/L] | 41.7 ± 0.1 |
| Glucosinolates [µmol sinigrin equivalents/L] | 3.76 ± 0.14 |
| Compound | Rt [min] | λmax [nm] | [M-H]+/− m/z | Content [µg/mL] | |
|---|---|---|---|---|---|
| MS | MS/MS | ||||
| Anthocyanins | |||||
| Cyanidin 3-O-sophoroside-5-O-glucoside | 2.01 | 279,512 | 773+ | 611,449,287 | 73.93 ± 0.04 |
| Cyanidin 3-O-sophoroside | 2.14 | 276,514 | 611+ | 287 | 2.90 ± 0.07 |
| Cyanidin 3-O-glucoside | 2.42 | 276,515 | 449+ | 287 | 2.04 ± 0.02 |
| Cyanidin 3-O-(sinapoyl)-sophoroside-5-O-glucoside isomer I | 2.74 | 281,527 | 979+ | 817,449,287 | 37.51 ± 0.42 |
| Cyanidin 3-O-(caffeoyl)(p-coumaroyl)-sophoroside-5-O-glucoside | 3.08 | 279,522 | 1081+ | 919,449,287 | 7.27 ± 0.00 |
| Cyanidin 3-O-(feruloyl)-trigluoside-5-O-glucoside | 3.22 | 281,522 | 1111+ | 949,787,449,287 | 4.46 ± 0.13 |
| Cyanidin 3-O-(caffeoyl)(sinapoyl)-sophoroside-5-O-glucoside | 3.27 | 281,524 | 1141+ | 979,449,287 | 5.45 ± 0.02 |
| Cyanidin 3-O-(caffeoyl)(feruloyl)-sophoroside-5-O-glucoside | 3.69 | 279,534 | 1111+ | 949,449,287 | 6.68 ± 0.02 |
| Cyanidin 3-O-(sinapoyl)-sophoroside-5-O-glucoside isomer II | 3.76 | 281,536 | 979+ | 817,449,287 | 5.13 ± 0.06 |
| Cyanidin 3-O-(caffeoyl)-sophoroside-5-O-glucoside | 3.82 | 279,536 | 935+ | 773,449,287 | 4.09 ± 0.10 |
| Cyanidin 3-O-(p-coumaroyl)-sophoroside-5-O-glucoside | 4.14 | 279,524 | 919+ | 757,449,287 | 7.09 ± 0.50 |
| Cyanidin 3-O-(sinapoyl)-sophoroside-5-O-glucoside isomer III | 4.26 | 279,524 | 979+ | 817,449,287 | 20.78 ± 0.19 |
| Cyanidin 3-O-(p-coumaroyl)(sinapoyl)-sophoroside-5-O-glucoside | 4.65 | 279,534 | 1125+ | 963,449,287 | 9.25 ± 0.31 |
| Cyanidin 3-O-(feruloyl)(sinapoyl)-sophoroside-5-O-glucoside | 4.75 | 279,534 | 1155+ | 993,449,287 | 6.04 ± 0.07 |
| Cyanidin 3-O-(sinapoyl)(sinapoyl)-sophoroside-5-O-glucoside | 4.84 | 279,536 | 1185+ | 1,023,449,287 | 42.82 ± 0.85 |
| Other phenolics | |||||
| di-Sinapoyl-di-glucoside | 2.36 | 333 | 789− | 627,609,447,223 | 6.57 ± 0.15 |
| di-Sinapoyl-coumaroyl-tri-glucoside isomer I | 3.18 | 307 | 1097− | 935,609,447,223 | 0.90 ± 0.01 |
| di-Sinapoyl-feruloyl-tri-glucoside | 3.34 | 331 | 1127− | 965,609,447,137 | 14.74 ± 0.16 |
| tri-Sinapoyl-tri-glucoside | 3.45 | 305 | 1157− | 995,609,447,223 | 1.19 ± 0.00 |
| di-Sinapoyl-coumaroyl-tri-glucoside isomer II | 3.53 | 315 | 1097− | 935,609,447,223 | 2.21 ± 0.06 |
| tri-Sinapoyl-di-glucoside isomer I | 3.63 | 322 | 995− | 815,447,223 | 1.50 ± 0.00 |
| 1-O-Sinapoyl-glucoside | 3.79 | 324 | 385− | 223 | 1.79 ± 0.01 |
| di-Sinapoyl-coumaroyl-di-glucoside | 4.24 | 315 | 935− | 773,447,223 | 1.55 ± 0.02 |
| 3,4-O-di-Caffeoylquinic acid | 4.41 | 324 | 515− | 353,191 | 2.65 ± 0.07 |
| di-Sinapoyl-feruloyl-di-glucoside | 4.50 | 324 | 965− | 785,447,223 | 2.91 ± 0.20 |
| tri-Sinapoyl-di-glucoside isomer II | 4.60 | 326 | 995− | 815,447,223 | 4.76 ± 0.04 |
| tri-Sinapoyl-di-glucoside isomer III | 4.93 | 327 | 995− | 815,447,223 | 5.50 ± 0.18 |
| tri-Sinapoyl-tri-glucoside | 5.47 | 321 | 1121− | 897,223 | 4.73 ± 0.06 |
| Sinapoyl-di-coumaroyl-tetra-glucoside | 5.69 | 331 | 1183− | 993,223 | 31.06 ± 0.62 |
| tri-Sinapoyl-di-glucoside | 7.42 | 326 | 959− | 735,223 | 6.05 ± 0.25 |
| TOTAL | 323.5 ± 2.27 | ||||
| Antioxidant | r | Statistical Significance |
|---|---|---|
| Ascorbic acid | 0.005 | p > 0.5 |
| Gallic acid | −0.684 | p < 0.02 |
| GSH | −0.572 | p > 0.05 |
| Trolox | −0.702 | p < 0.02 |
| TEMPOL | −0.839 | p < 0.001 |
| Antioxidant | r | Statistical Significance |
|---|---|---|
| Ascorbic acid | 0.246 | p > 0.2 |
| Gallic acid | −0.416 | p > 0.1 |
| Glutathione | −0.176 | p > 0.5 |
| Trolox | 0.262 | p > 0.2 |
| TEMPOL | −0.185 | p > 0.5 |
| Antioxidant | ABTS• Decolorization Assay | FRAP Assay |
|---|---|---|
| Ascorbic acid | 0.94 ± 0.03 * | 0.98 ± 0.05 |
| Gallic acid | 0.90 ± 0.07 * | 0.94 ± 0.03 * |
| GSH | 0.91 ± 0.07 * | 1.73 ± 0.26 * |
| Trolox | 0.98 ± 0.07 | 0.97 ± 0.07 |
| TEMPOL | 0.66 ± 0.22 * | 0.97 ± 0.04 * |
Disclaimer/Publisher’s Note: The statements, opinions and data contained in all publications are solely those of the individual author(s) and contributor(s) and not of MDPI and/or the editor(s). MDPI and/or the editor(s) disclaim responsibility for any injury to people or property resulting from any ideas, methods, instructions or products referred to in the content. |
© 2025 by the authors. Licensee MDPI, Basel, Switzerland. This article is an open access article distributed under the terms and conditions of the Creative Commons Attribution (CC BY) license (https://creativecommons.org/licenses/by/4.0/).
Share and Cite
Kut, K.; Sitarz, O.; Kapusta, I.; Bartosz, G.; Sadowska-Bartosz, I. Interaction of Red Cabbage Extract with Exogenous Antioxidants. Int. J. Mol. Sci. 2025, 26, 11011. https://doi.org/10.3390/ijms262211011
Kut K, Sitarz O, Kapusta I, Bartosz G, Sadowska-Bartosz I. Interaction of Red Cabbage Extract with Exogenous Antioxidants. International Journal of Molecular Sciences. 2025; 26(22):11011. https://doi.org/10.3390/ijms262211011
Chicago/Turabian StyleKut, Kacper, Oskar Sitarz, Ireneusz Kapusta, Grzegorz Bartosz, and Izabela Sadowska-Bartosz. 2025. "Interaction of Red Cabbage Extract with Exogenous Antioxidants" International Journal of Molecular Sciences 26, no. 22: 11011. https://doi.org/10.3390/ijms262211011
APA StyleKut, K., Sitarz, O., Kapusta, I., Bartosz, G., & Sadowska-Bartosz, I. (2025). Interaction of Red Cabbage Extract with Exogenous Antioxidants. International Journal of Molecular Sciences, 26(22), 11011. https://doi.org/10.3390/ijms262211011

