Genetic Mapping and Transcriptomic Analysis of Sepal-Derived Seed Shape in Spinach
Abstract
1. Introduction
2. Results
2.1. Genetic Inheritance of Sepal Shape in Spinach
2.2. Whole-Genome Resequencing and Variant Calling in the F2 Population
2.3. Construction of Genetic Linkage Map
2.4. Mapping of Sepal Morphology Trait
2.5. Candidate Gene Identification and Expression Analysis Within the 4.31 Mb Interval
2.6. Global Transcriptome Analysis of Sepal Morphology in Spinach
2.7. Functional Annotation and Expression Analysis of Early-Stage DEGs Associated with Sepal Morphology
2.8. Integration of Candidate Genomic Region with Co-Expression Networks Reveals Putative Regulators of Sepal Morphology
2.9. Structural Variation Analysis of Candidate Genes
3. Discussion
4. Materials and Methods
4.1. Plant Material and Construction of F2 Population
4.2. Whole-Genome Resequencing and Variant Calling
4.3. Genotyping and Genetic Linkage Map Construction
- aa × bb: both parents homozygous for alternate alleles; progeny segregate 1:2:1 (AA:AB:BB)—fully informative for F2 mapping.
- ab × cc: one parent heterozygous (AB), other homozygous (CC); progeny segregate 1:1.
- ab × cd: both parents heterozygous for different alleles; progeny segregate 1:1:1:1.
- ac × ab, ef × eg: one or both parents heterozygous with one shared allele; progeny segregate 1:1:1:1.
- hk × hk: both parents heterozygous for the same alleles; progeny segregate 1:2:1.
- lm × ll, nn × np: one parent heterozygous, other homozygous; progeny segregate 1:1.
4.4. Mapping of Sepal Morphology Trait
4.5. RNA Extraction, Library Preparation, Global DEGs Analysis
4.6. Co-Expression Analysis and Candidate Genes Prediction
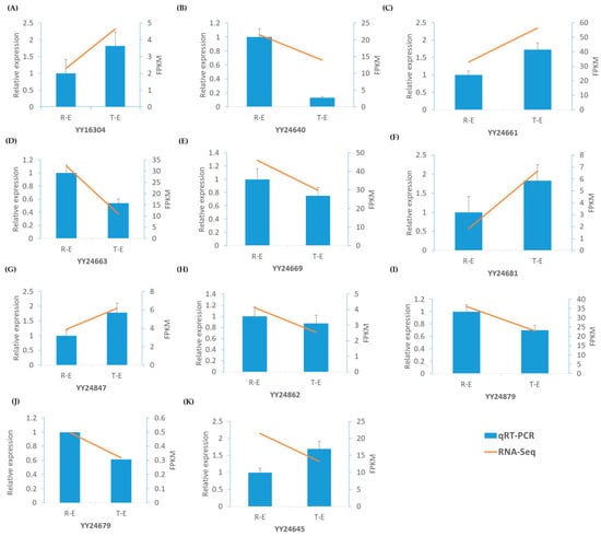
4.7. Quantitative Real-Time PCR (qRT-PCR) Analysis
5. Conclusions
Supplementary Materials
Author Contributions
Funding
Institutional Review Board Statement
Informed Consent Statement
Data Availability Statement
Conflicts of Interest
References
- Morelock, T.E.; Correll, J.C. Spinach. In Vegetables I: Asteraceae, Brassicaceae, Chenopodiaceae, and Cucurbitaceae; Prohens, J., Nuez, F., Eds.; Springer: New York, NY, USA, 2008; pp. 189–218. [Google Scholar] [CrossRef]
- Khattak, J.Z.K.; Christiansen, J.L.; Torp, A.M.; Andersen, S.B. Genic Microsatellite Markers for Discrimination of Spinach Cultivars. Plant Breed. 2007, 126, 454–456. [Google Scholar] [CrossRef]
- Meng, S.C.; Liu, C.J.; Xu, X.P.; Song, S.Q.; Song, S.H.; Zhang, Z.X.; Liu, L. Comparison of Morphological Features of Fruits and Seeds for Identifying Two Taxonomic Varieties of Spinacia oleracea L. Can. J. Plant Sci. 2017, 98, 318–331. [Google Scholar] [CrossRef]
- Sneep, J. The Breeding of Hybrid Varieties and the Production of Hybrid Seed in Spinach. Euphytica 1958, 7, 119–122. [Google Scholar] [CrossRef]
- Sherry, R.A.; Eckard, K.J.; Lord, E.M. Flower Development in Dioecious Spinacia Oleracea (Chenopodiaceae). Available online: https://agris.fao.org/agris-search/search.do?recordID=US19940024287 (accessed on 10 January 2021).
- Fatima, M.; Ma, X.; Zhou, P.; Zaynab, M.; Ming, R. Auxin Regulated Metabolic Changes Underlying Sepal Retention and Development after Pollination in Spinach. BMC Plant Biol. 2021, 21, 166. [Google Scholar] [CrossRef]
- Ma, X.; Fatima, M.; Li, J.; Zhou, P.; Zaynab, M.; Ming, R. Post-Pollination Sepal Longevity of Female Flower Co-Regulated by Energy-Associated Multiple Pathways in Dioecious Spinach. Front. Plant Sci. 2022, 13, 5149. [Google Scholar] [CrossRef] [PubMed]
- El Ghazali, G.E.B. Winged Accrescent Sepals and Their Taxonomic Significance within the Chenopodiaceae: A Review. Int. J. Sci. 2018, 4, 1–6. [Google Scholar] [CrossRef]
- Bottega, S.; Corsi, G. Structure, Secretion and Possible Functions of Calyx Glandular Hairs of Rosmarinus officinalis L. (Labiatae). Bot. J. Linn. Soc. 2000, 132, 325–335. [Google Scholar] [CrossRef][Green Version]
- El Ghazali, G.E.B. A Study on the Winged Accrescent Sepals of the Chenopodiaceae. Int. J. Sci. 2020, 9, 5–8. [Google Scholar] [CrossRef]
- He, C.; Saedler, H. Hormonal Control of the Inflated Calyx Syndrome, a Morphological Novelty, in Physalis. Plant J. 2007, 49, 935–946. [Google Scholar] [CrossRef][Green Version]
- Knapp, S. Tobacco to Tomatoes: A Phylogenetic Perspective on Fruit Diversity in the Solanaceae. J. Exp. Bot. 2002, 53, 2001–2022. [Google Scholar] [CrossRef]
- He, C.; Sommer, H.; Grosardt, B.; Huijser, P.; Saedler, H. PFMAGO, a MAGO NASHI-like Factor, Interacts with the MADS-Domain Protein MPF2 from Physalis Floridana. Mol. Biol. Evol. 2007, 24, 1229–1241. [Google Scholar] [CrossRef]
- Vijverberg, K.; Welten, M.; Kraaij, M.; van Heuven, B.J.; Smets, E.; Gravendeel, B. Sepal Identity of the Pappus and Floral Organ Development in the Common Dandelion (Taraxacum Officinale; Asteraceae). Plants 2021, 10, 1682. [Google Scholar] [CrossRef]
- Le Nguyen, K.; Grondin, A.; Courtois, B.; Gantet, P. Next-Generation Sequencing Accelerates Crop Gene Discovery. Trends Plant Sci. 2019, 24, 263–274. [Google Scholar] [CrossRef]
- Sahu, P.K.; Sao, R.; Mondal, S.; Vishwakarma, G.; Gupta, S.K.; Kumar, V.; Singh, S.; Sharma, D.; Das, B.K. Next Generation Sequencing Based Forward Genetic Approaches for Identification and Mapping of Causal Mutations in Crop Plants: A Comprehensive Review. Plants 2020, 9, 1355. [Google Scholar] [CrossRef]
- Sundareswaran, S.; Choudhury, P.R.; Vanitha, C.; Yadava, D.K. Seed Quality: Variety Development to Planting—An Overview. In Seed Science and Technology; Dadlani, M., Yadava, D.K., Eds.; Springer: Singapore, 2023; pp. 1–16. [Google Scholar] [CrossRef]
- Liu, Z.; Lu, T.; Feng, C.; Zhang, H.; Xu, Z.; Correll, J.C.; Qian, W. Fine Mapping and Molecular Marker Development of the Fs Gene Controlling Fruit Spines in Spinach (Spinacia oleracea L.). Theor. Appl. Genet. 2021, 134, 1319–1328. [Google Scholar] [CrossRef] [PubMed]
- Xu, C.; Jiao, C.; Sun, H.; Cai, X.; Wang, X.; Ge, C.; Zheng, Y.; Liu, W.; Sun, X.; Xu, Y.; et al. Draft Genome of Spinach and Transcriptome Diversity of 120 Spinacia Accessions. Nat. Commun. 2017, 8, 15275. [Google Scholar] [CrossRef] [PubMed]
- Ma, X.; Yu, L.; Fatima, M.; Wadlington, W.H.; Hulse-Kemp, A.M.; Zhang, X.; Zhang, S.; Xu, X.; Wang, J.; Huang, H.; et al. The Spinach YY Genome Reveals Sex Chromosome Evolution, Domestication, and Introgression History of the Species. Genome Biol. 2022, 23, 75. [Google Scholar] [CrossRef] [PubMed]
- Sablowski, R.; Gutierrez, C. Cycling in a Crowd: Coordination of Plant Cell Division, Growth, and Cell Fate. Plant Cell 2022, 34, 193–208. [Google Scholar] [CrossRef]
- Herrera-Ubaldo, H. Not Another Round: Microtubule-Associated Proteins and the Control of Fruit Shape in Tomato. Plant Cell 2023, 35, 4195, Correction in: Plant Cell 2023, 36, 793. https://doi.org/10.1093/plcell/koad287. [Google Scholar] [CrossRef]
- Xie, Y.; Liu, X.; Sun, C.; Song, X.; Li, X.; Cui, H.; Guo, J.; Liu, L.; Ying, A.; Zhang, Z.; et al. CsTRM5 Regulates Fruit Shape via Mediating Cell Division Direction and Cell Expansion in Cucumber. Hortic. Res. 2023, 10, 7. [Google Scholar] [CrossRef]
- Fukushima, K.; Fujita, H.; Yamaguchi, T.; Kawaguchi, M.; Tsukaya, H.; Hasebe, M. Oriented Cell Division Shapes Carnivorous Pitcher Leaves of Sarracenia Purpurea. Nat. Commun. 2015, 6, 6450. [Google Scholar] [CrossRef]
- Meyer, H.M.; Roeder, A.H.K. Stochasticity in Plant Cellular Growth and Patterning. Front. Plant Sci. 2014, 5, 420. [Google Scholar] [CrossRef] [PubMed]
- Ling, Q.; Broad, W.; Trösch, R.; Töpel, M.; Sert, T.D.; Lymperopoulos, P.; Baldwin, A.; Jarvis, R.P. Ubiquitin-Dependent Chloroplast-Associated Protein Degradation in Plants. Science. 2019, 363, 4467. [Google Scholar] [CrossRef]
- Behbahanipour, M.; García-Pardo, J.; Ventura, S. Decoding the Role of Coiled-Coil Motifs in Human Prion-like Proteins. Prion 2021, 15, 143. [Google Scholar] [CrossRef]
- Hamel, L.P.; Sekine, K.T.; Wallon, T.; Sugiwaka, Y.; Kobayashi, K.; Moffett, P. The Chloroplastic Protein THF1 Interacts with the Coiled-Coil Domain of the Disease Resistance Protein N′ and Regulates Light-Dependent Cell Death. Plant Physiol. 2016, 171, 658–674. [Google Scholar] [CrossRef] [PubMed]
- Ohba, Y.; Yoshihara, S.; Sato, R.; Matsuoka, K.; Asahina, M.; Satoh, S.; Iwai, H. Plasmodesmata Callose Binding Protein 2 Contributes to the Regulation of Cambium/Phloem Formation and Auxin Response during the Tissue Reunion Process in Incised Arabidopsis Stem. J. Plant Res. 2023, 136, 865–877. [Google Scholar] [CrossRef] [PubMed]
- Shahollari, B.; Vadassery, J.; Varma, A.; Oelmüller, R. A Leucine-Rich Repeat Protein Is Required for Growth Promotion and Enhanced Seed Production Mediated by the Endophytic Fungus Piriformospora Indica in Arabidopsis Thaliana. Plant J. 2007, 50, 1–13. [Google Scholar] [CrossRef]
- Nakamichi, N.; Kita, M.; Niinuma, K.; Ito, S.; Yamashino, T.; Mizoguchi, T.; Mizuno, T. Arabidopsis Clock-Associated Pseudo-Response Regulators PRR9, PRR7 and PRR5 Coordinately and Positively Regulate Flowering Time through the Canonical CONSTANS-Dependent Photoperiodic Pathway. Plant Cell Physiol. 2007, 48, 822–832. [Google Scholar] [CrossRef]
- Welsch, R.; Zhou, X.; Yuan, H.; Álvarez, D.; Sun, T.; Schlossarek, D.; Yang, Y.; Shen, G.; Zhang, H.; Rodriguez-Concepcion, M.; et al. Clp Protease and OR Directly Control the Proteostasis of Phytoene Synthase, the Crucial Enzyme for Carotenoid Biosynthesis in Arabidopsis. Mol. Plant 2018, 11, 149–162. [Google Scholar] [CrossRef]
- Daradur, J.; Kesserwan, M.; Freese, N.H.; Loraine, A.E.; Riggs, C.D. Genomic Targets of HOP2 Are Enriched for Features Found at Recombination Hotspots. bioRxiv 2023. [Google Scholar] [CrossRef]
- Raman, V.; Anand, A.; Vasudevan, B.; Morsy, M.R.; Pant, B.D.; Lee, H.K.; Tang, Y.; Mysore, K.S. Overexpression of VIRE2-INTERACTING PROTEIN2 in Arabidopsis Regulates Genes Involved in Agrobacterium-Mediated Plant Transformation and Abiotic Stresses. Sci. Rep. 2019, 9, 13503. [Google Scholar] [CrossRef] [PubMed]
- Hennig, L.; Taranto, P.; Walser, M.; Schönrock, N.; Gruissem, W. Arabidopsis MSI1 Is Required for Epigenetic Maintenance of Reproductive Development. Development 2003, 130, 2555–2565. [Google Scholar] [CrossRef] [PubMed]
- Mandal, D.; Datta, S.; Raveendar, G.; Mondal, P.K.; Nag Chaudhuri, R. RAV1 Mediates Cytokinin Signaling for Regulating Primary Root Growth in Arabidopsis. Plant J. 2023, 113, 106–126. [Google Scholar] [CrossRef] [PubMed]
- Shin, H.Y.; Nam, K.H. RAV1 Negatively Regulates Seed Development by Directly Repressing MINI3 and IKU2 in Arabidopsis. Mol. Cells 2018, 41, 1072–1080. [Google Scholar] [CrossRef]
- Saxena, R.K.; Edwards, D.; Varshney, R.K. Structural Variations in Plant Genomes. Brief. Funct. Genom. 2014, 13, 296. [Google Scholar] [CrossRef]
- Yang, X.; Sood, S.; Glynn, N.; Islam, M.S.; Comstock, J.; Wang, J. Constructing high-density genetic maps for polyploid sugarcane (Saccharum spp.) and identifying quantitative trait loci controlling brown rust resistance. Theor. Appl. Genet. 2017, 130, 116. [Google Scholar] [CrossRef]
- Huang, X.; Feng, Q.; Qian, Q.; Zhao, Q.; Wang, L.; Wang, A.; Guan, J.; Fan, D.; Weng, Q.; Huang, T.; et al. High-throughput genotyping by whole-genome resequencing. Genome Res. 2009, 19, 1068–1076. [Google Scholar] [CrossRef]
- Xu, M.; Kong, K.; Miao, L.; He, J.; Liu, T.; Zhang, K.; Li, Y. Identification of major quantitative trait loci and candidate genes for seed weight in soybean. Theor. Appl. Genet. 2023, 136, 22. [Google Scholar] [CrossRef]
- Chen, L.; Lei, W.; He, W.; Wang, Y.; Tian, J.; Gong, J.; Fan, Z. Mapping of two major QTLs controlling flowering time in Brassica napus using a high-density genetic map. Plants 2022, 11, 2635. [Google Scholar] [CrossRef]
- Zhang, H.; Zhu, Y.J.; Zhu, A.D.; Fan, Y.Y.; Huang, T.X.; Zhang, J.F.; Zhuang, J.Y. Fine mapping of qTGW2, a quantitative trait locus for grain weight in rice (Oryza sativa L.). PeerJ 2020, 8, e8679. [Google Scholar] [CrossRef]
- Li, G.; Cheng, Y.; Yin, M.; Yang, J.; Ying, J.; Zhu, C. Detection of QTLs for panicle-related traits using an indica × japonica recombinant inbred line population in rice. PeerJ 2021, 9, e12504. [Google Scholar] [CrossRef] [PubMed]
- Wu, R.; Ma, C.X.; Painter, I.; Zeng, Z.B. Simultaneous maximum likelihood estimation of linkage and linkage phases in outcrossing species. Theor. Popul. Biol. 2008, 73, 173–185. [Google Scholar] [CrossRef] [PubMed]
- Tian, F.; Yang, D.C.; Meng, Y.Q.; Jin, J.; Gao, G. PlantRegMap: Charting Functional Regulatory Maps in Plants. Nucleic Acids Res. 2020, 48, D1104–D1113. [Google Scholar] [CrossRef] [PubMed]
- Xie, H.; Li, B.; Chang, Y.; Hou, X.; Zhang, Y.; Guo, S.; Miao, Y.; Wang, Q.; Chen, S.; Su, Y.; et al. Selection and Validation of Reference Genes for RT-QPCR Analysis in Spinacia Oleracea under Abiotic Stress. Biomed Res. Int. 2021, 2021, 4853632. [Google Scholar] [CrossRef]






| Marker Type | SNP Number | INDEL Number | Percentage |
|---|---|---|---|
| Aaxbb | 215,146 | 198,316 | 16,830 |
| Abxcc | 426 | 145 | 281 |
| Abxcd | 16 | 0 | 16 |
| Acxab | 352 | 112 | 240 |
| Efxeg | 471 | 184 | 287 |
| Hkxhk | 34,931 | 33,020 | 1911 |
| Lmxll | 152,440 | 142,726 | 9714 |
| Nnxnp | 131,810 | 123,140 | 8670 |
| Total | 535,592 | 497,643 | 37,949 |
| LGID | Number Marker | Number Unit | Total Distance | Average Distance | Gap > 5 cm | Max Gap |
|---|---|---|---|---|---|---|
| 1 | 330 | 93 | 167.87 | 0.51 | 1 | 10.23 |
| 2 | 140 | 44 | 178.92 | 1.29 | 10 | 21.33 |
| 3 | 107 | 42 | 164.83 | 1.55 | 8 | 27.52 |
| 4 | 676 | 72 | 158.39 | 0.23 | 3 | 14.75 |
| 5 | 206 | 51 | 162.20 | 0.79 | 8 | 23.22 |
| 6 | 156 | 76 | 161.83 | 1.04 | 3 | 45.80 |
| total | 1615 | 378 | 994.04 | 0.62 | 33 | 45.80 |
Disclaimer/Publisher’s Note: The statements, opinions and data contained in all publications are solely those of the individual author(s) and contributor(s) and not of MDPI and/or the editor(s). MDPI and/or the editor(s) disclaim responsibility for any injury to people or property resulting from any ideas, methods, instructions or products referred to in the content. |
© 2025 by the authors. Licensee MDPI, Basel, Switzerland. This article is an open access article distributed under the terms and conditions of the Creative Commons Attribution (CC BY) license (https://creativecommons.org/licenses/by/4.0/).
Share and Cite
Fatima, M.; Ma, X.; Khalid, E.; Ming, R. Genetic Mapping and Transcriptomic Analysis of Sepal-Derived Seed Shape in Spinach. Int. J. Mol. Sci. 2025, 26, 10838. https://doi.org/10.3390/ijms262210838
Fatima M, Ma X, Khalid E, Ming R. Genetic Mapping and Transcriptomic Analysis of Sepal-Derived Seed Shape in Spinach. International Journal of Molecular Sciences. 2025; 26(22):10838. https://doi.org/10.3390/ijms262210838
Chicago/Turabian StyleFatima, Mahpara, Xiaokai Ma, Ehsan Khalid, and Ray Ming. 2025. "Genetic Mapping and Transcriptomic Analysis of Sepal-Derived Seed Shape in Spinach" International Journal of Molecular Sciences 26, no. 22: 10838. https://doi.org/10.3390/ijms262210838
APA StyleFatima, M., Ma, X., Khalid, E., & Ming, R. (2025). Genetic Mapping and Transcriptomic Analysis of Sepal-Derived Seed Shape in Spinach. International Journal of Molecular Sciences, 26(22), 10838. https://doi.org/10.3390/ijms262210838

