Serum Osteocalcin in Pediatric Osteogenesis Imperfecta: Impact of Disease Type and Bisphosphonate Therapy
Abstract
1. Introduction
1.1. Pathogenesis of OI
1.2. OI Classification
1.3. Treatment
1.4. Bone Mineral Density and Bone Formation Markers
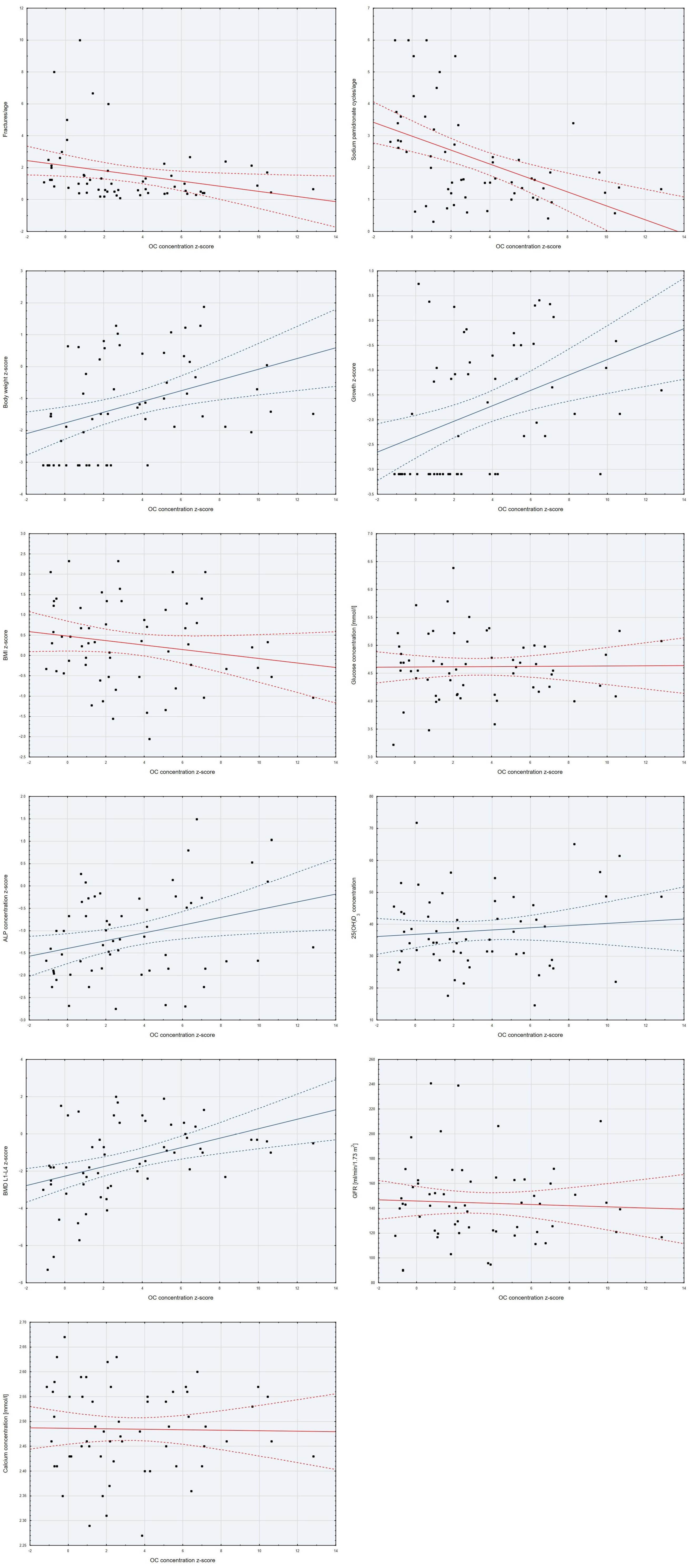
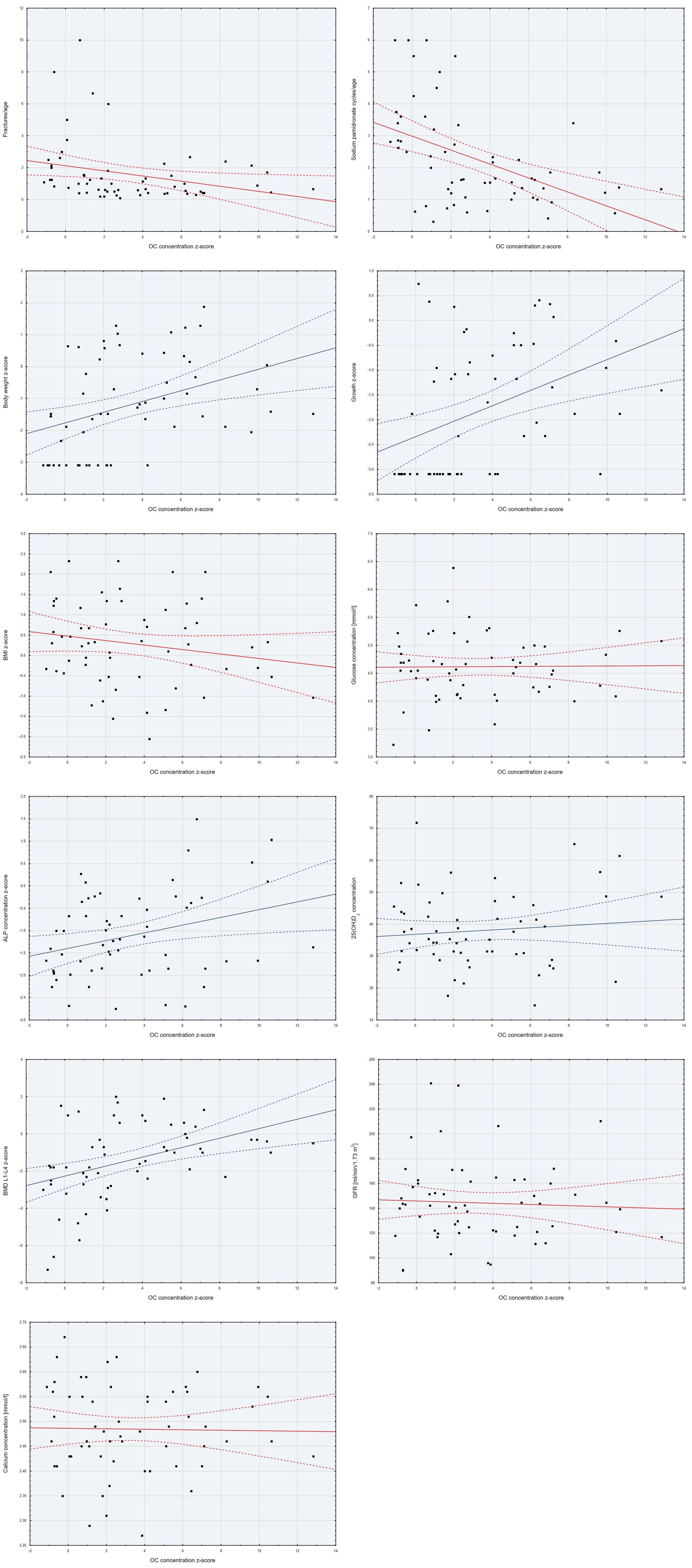
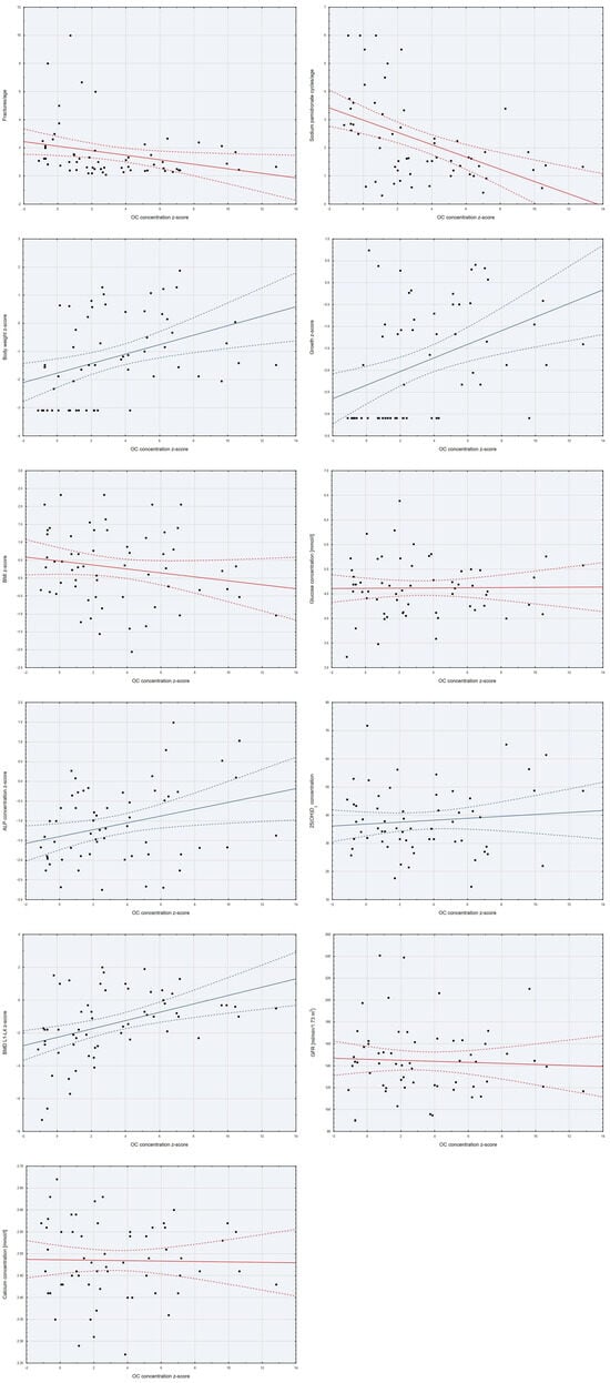
2. Results
3. Discussion
4. Methodology
Statistical Analysis
5. Conclusions
Author Contributions
Funding
Conflicts of Interest
References
- Bregou Bourgeois, A.; Aubry-Rozier, B.; Bonafé, L.; Laurent-Applegate, L.; Pioletti, D.P.; Zambelli, P.Y. Osteogenesis imperfecta: From diagnosis and multidisciplinary treatment to future perspectives. Swiss Med. Wkly. 2016, 146, w14322. [Google Scholar] [CrossRef]
- Rauch, F.; Glorieux, F.H. Osteogenesis imperfecta. Lancet 2004, 363, 1377–1385. [Google Scholar] [CrossRef] [PubMed]
- Deguchi, M.; Tsuji, S.; Katsura, D.; Kasahara, K.; Kimura, F.; Murakami, T. Current Overview of Osteogenesis Imperfecta. Medicina 2021, 57, 464. [Google Scholar] [CrossRef] [PubMed]
- Jovanovic, M.; Marini, J.C. Update on the Genetics of Osteogenesis Imperfecta. Calcif. Tissue Int. 2024, 115, 891–914. [Google Scholar] [CrossRef] [PubMed]
- Paduano, F.; Fischetto, R.; Moretti, B.; De Vito, D.; Tatullo, M. Expanding the genetic and clinical spectrum of osteogenesis imperfecta: Identification of novel rare pathogenic variants in type I collagen-encoding genes. Front. Endocrinol. 2023, 14, 1254695. [Google Scholar] [CrossRef]
- Lindert, U.; Cabral, W.A.; Ausavarat, S.; Tongkobpetch, S.; Ludin, K.; Barnes, A.M.; Yeetong, P.; Weis, M.; Krabichler, B.; Srichomthong, C.; et al. MBTPS2 mutations cause defective regulated intramembrane proteolysis in X-linked osteogenesis imperfecta. Nat. Commun. 2016, 7, 11920. [Google Scholar] [CrossRef]
- Brlek, P.; Antičević, D.; Molnar, V.; Matišić, V.; Robinson, K.; Aradhya, S.; Krpan, D.; Primorac, D. X-Linked Osteogenesis Imperfecta Possibly Caused by a Novel Variant in PLS3. Genes 2021, 12, 1851. [Google Scholar] [CrossRef]
- Sillence, D.O.; Senn, A.; Danks, D.M. Genetic heterogeneity in osteogenesis imperfecta. J. Med. Genet. 1979, 16, 101–116. [Google Scholar] [CrossRef]
- Van Dijk, F.S.; Pals, G.; Van Rijn, R.R.; Nikkels, P.G.J.; Cobben, J.M. Classification of Osteogenesis Imperfecta revisited. Eur. J. Med. Genet. 2010, 53, 1–5. [Google Scholar] [CrossRef]
- Sillence, D.O. A Dyadic Nosology for Osteogenesis Imperfecta and Bone Fragility Syndromes 2024. Calcif. Tissue Int. 2024, 115, 873–890. [Google Scholar] [CrossRef]
- Nadar, R.; Saraff, V.; Högler, W.; Desai, M.; Shaw, N. Determinants of survival in osteogenesis imperfecta (OI) Type II. Bone Abstr. 2019, 7, 31. [Google Scholar] [CrossRef]
- Sillence, D.O.; Barlow, K.K.; Garber, A.P.; Hall, J.G.; Rimoin, D.L. Osteogenesis imperfecta type II delineation of the phenotype with reference to genetic heterogeneity. Am. J. Med. Genet. 1984, 17, 407–423. [Google Scholar] [CrossRef] [PubMed]
- Paterson, C.R.; McAllion, S.; Miller, R. Osteogenesis imperfecta with dominant inheritance and normal sclerae. J. Bone Joint Surg. Br. 1983, 65, 35–39. [Google Scholar] [CrossRef] [PubMed]
- Bauze, R.J.; Smith, R.; Francis, M.J. A new look at osteogenesis imperfecta. A clinical, radiological and biochemical study of forty-two patients. J. Bone Joint Surg. Br. 1975, 57, 2–12. [Google Scholar] [CrossRef] [PubMed]
- Ganesan, K.; Goyal, A.; Roane, D. Bisphosphonate. StatPearls, 3 July 2023. [Google Scholar]
- Carter, E.M.; Citron, K.P.; Boskey, A.L.; Shapiro, J.R.; Steiner, R.D.; A Smith, P.; Bober, M.B.; Hart, T.; Cuthbertson, D.; Krischer, J.; et al. A Multicenter Observational Cohort Study to Evaluate the Effects of Bisphosphonate Exposure on Bone Mineral Density and Other Health Outcomes in Osteogenesis Imperfecta. JBMR Plus 2019, 3, e10118. [Google Scholar] [CrossRef]
- Kusumi, K.; Ayoob, R.; Bowden, S.A.; Ingraham, S.; Mahan, J.D. Beneficial effects of intravenous pamidronate treatment in children with osteogenesis imperfecta under 24 months of age. J. Bone Miner. Metab. 2015, 33, 560–568. [Google Scholar] [CrossRef]
- Hald, J.D.; Evangelou, E.; Langdahl, B.L.; Ralston, S.H. Bisphosphonates for the Prevention of Fractures in Osteogenesis Imperfecta: Meta-Analysis of Placebo-Controlled Trials. J. Bone Miner. Res. 2015, 30, 929–933. [Google Scholar] [CrossRef]
- Nijhuis, W.; Verhoef, M.; van Bergen, C.; Weinans, H.; Sakkers, R. Fractures in Osteogenesis Imperfecta: Pathogenesis, Treatment, Rehabilitation and Prevention. Children 2022, 9, 268. [Google Scholar] [CrossRef]
- Babu, V.K.; Sonal Phatak, S. 6633 Romosozumab Use in a Patient With Osteogenesis Imperfecta Type 3. J. Endocr. Soc. 2024, 8, bvae163.494. [Google Scholar] [CrossRef]
- Majdoub, F.; Ferjani, H.L.; Nessib, D.B.; Kaffel, D.; Maatallah, K.; Hamdi, W. Denosumab use in osteogenesis imperfecta: An update on therapeutic approaches. Ann. Pediatr. Endocrinol. Metab. 2023, 28, 98–106. [Google Scholar] [CrossRef]
- Rauch, F.; Glorieux, F.H. Bisphosphonate treatment in osteogenesis imperfecta: Which drug, for whom, for how long? Ann. Med. 2005, 37, 295–302. [Google Scholar] [CrossRef]
- Kok, D.H.J.; Sakkers, R.J.B.; Pruijs, H.E.H.; Joosse, P.; Castelein, R.M. Bone mineral density in developing children with osteogenesis imperfecta: A longitudinal study with 9 years of follow-up. Acta Orthop. 2013, 84, 431. [Google Scholar] [CrossRef]
- Lu, P.W.; Briody, J.N.; Ogle, G.D.; Morley, K.; Humphries, I.R.; Allen, J.; Howman-Giles, R.; Sillence, D.; Cowell, C.T. Bone mineral density of total body, spine, and femoral neck in children and young adults: A cross-sectional and longitudinal study. J. Bone Miner. Res. 1994, 9, 1451–1458. [Google Scholar] [CrossRef] [PubMed]
- Giangregorio, L.M.; Webber, C.E. Effects of metal implants on whole-body dual-energy x-ray absorptiometry measurements of bone mineral content and body composition. Can. Assoc. Radiol. J. 2003, 54, 305–309; quiz 270-1. [Google Scholar] [PubMed]
- Diemar, S.S.; Møllehave, L.T.; Quardon, N.; Lylloff, L.; Thuesen, B.H.; Linneberg, A.; Jørgensen, N.R. Effects of age and sex on osteocalcin and bone-specific alkaline phosphatase-reference intervals and confounders for two bone formation markers. Arch. Osteoporos. 2020, 15, 26. [Google Scholar] [CrossRef] [PubMed]
- Bonnin, M.R.; Gonzalez, M.T.; Griñó, J.M.; Cruzado, J.M.; Bover, J.; Martinez, J.M.; A Navarro, M. Changes in Serum Osteocalcin Levels in the Follow-Up of Kidney Transplantation. Ann. Clin. Biochem. Int. J. Biochem. Lab. Med. 1997, 34, 651–655. [Google Scholar] [CrossRef]
- Marchelek-Mysliwiec, M.; Wisniewska, M.; Nowosiad-Magda, M.; Safranow, K.; Kwiatkowska, E.; Banach, B.; Dołegowska, B.; Dołegowska, K.; Stepniewska, J.; Domanski, L.; et al. Association Between Plasma Concentration of Klotho Protein, Osteocalcin, Leptin, Adiponectin, and Bone Mineral Density in Patients with Chronic Kidney Disease. Horm. Metab. Res. 2018, 50, 816–821. [Google Scholar] [CrossRef]
- Moser, S.C.; van der Eerden, B.C.J. Osteocalcin—A Versatile Bone-Derived Hormone. Front. Endocrinol. 2018, 9, 794. [Google Scholar] [CrossRef]
- Karsenty, G.; Oury, F. Regulation of male fertility by the bone-derived hormone osteocalcin. Mol. Cell. Endocrinol. 2014, 382, 521–526. [Google Scholar] [CrossRef]
- Brunetti, G.; Papadia, F.; Tummolo, A.; Fischetto, R.; Nicastro, F.; Piacente, L.; Ventura, A.; Mori, G.; Oranger, A.; Gigante, I.; et al. Impaired bone remodeling in children with osteogenesis imperfecta treated and untreated with bisphosphonates: The role of DKK1, RANKL, and TNF-α. Osteoporos. Int. 2016, 27, 2355–2365. [Google Scholar] [CrossRef]
- Braga, V.; Gatti, D.; Rossini, M.; Colapietro, F.; Battaglia, E.t.; Vitaliano, O.; Aldami, S. Bone turnover markers in patients with osteogenesis imperfecta. Bone 2004, 34, 1013–1016. [Google Scholar] [CrossRef]
- Hoang, Q.Q.; Sicheri, F.; Howard, A.J.; Yang, D.S.C. Bone recognition mechanism of porcine osteocalcin from crystal structure. Nature 2003, 425, 977–980. [Google Scholar] [CrossRef]
- Nakashima, K.; De Crombrugghe, B. Transcriptional mechanisms in osteoblast differentiation and bone formation. Trends Genet. 2003, 19, 458–466. [Google Scholar] [CrossRef]
- Rauch, F.; Travers, R.; Parfitt, A.M.; Glorieux, F.H. Static and dynamic bone histomorphometry in children with osteogenesis imperfecta. Bone 2000, 26, 581–589. [Google Scholar] [CrossRef]
- Åström, E.; Magnusson, P.; Eksborg, S.; Söderhäll, S. Biochemical bone markers in the assessment and pamidronate treatment of children and adolescents with osteogenesis imperfecta. Acta Paediatr. 2010, 99, 1834–1840. [Google Scholar] [CrossRef]
- Wekre, L.L.; Eriksen, E.F.; Falch, J.A. Bone mass, bone markers and prevalence of fractures in adults with osteogenesis imperfecta. Arch. Osteoporos. 2011, 6, 31–38. [Google Scholar] [CrossRef]
- Erlebacher, A.; Derynck, R. Increased expression of TGF-beta 2 in osteoblasts results in an osteoporosis-like phenotype. J. Cell Biol. 1996, 132, 195. [Google Scholar] [CrossRef]
- Gebken, J.; Brenner, R.; Feydt, A.; Notbohm, H.; Brinckmann, J.; Müller, P.; Bätge, B. Increased Cell Surface Expression of Receptors for Transforming Growth Factor-β on Osteoblasts from Patients with Osteogenesis imperfecta. Pathobiology 2001, 68, 106–112. [Google Scholar] [CrossRef] [PubMed]
- Grafe, I.; Yang, T.; Alexander, S.; Homan, E.P.; Lietman, C.; Jiang, M.M.; Bertin, T.; Munivez, E.; Chen, Y.; Dawson, B. Excessive TGFβ signaling is a common mechanism in Osteogenesis Imperfecta. Nat. Med. 2014, 20, 670–675. [Google Scholar] [CrossRef] [PubMed]
- Mallmin, H.; Ljunghall, S.; Larsson, K.; Lindh, E. Short-term Effects of Pamidronate on Biochemical Markers of Bone Metabolism in Osteoporosis—A Placebo-controlled Dose-finding Study. Upsala J. Med Sci. 1991, 96, 205–212. [Google Scholar] [CrossRef] [PubMed]
- Hong, S.-H.; Koo, J.-W.; Hwang, J.K.; Hwang, Y.-C.; Jeong, I.-K.; Ahn, K.J.; Chung, H.-Y.; Kim, D.-Y. Changes in Serum Osteocalcin are Not Associated with Changes in Glucose or Insulin for Osteoporotic Patients Treated with Bisphosphonate. J. Bone Metab. 2013, 20, 37–41. [Google Scholar] [CrossRef]
- Zheng, W.-B.; Hu, J.; Zhao, D.-C.; Zhou, B.-N.; Wang, O.; Jiang, Y.; Xia, W.-B.; Xing, X.-P.; Li, M. The role of osteocalcin in regulation of glycolipid metabolism and muscle function in children with osteogenesis imperfecta. Front. Endocrinol. 2022, 13, 898645. [Google Scholar] [CrossRef]
- Veitch, S.W.; Findlay, S.C.; Hamer, A.J.; Blumsohn, A.; Eastell, R.; Ingle, B.M. Changes in bone mass and bone turnover following tibial shaft fracture. Osteoporos. Int. 2006, 17, 364–372. [Google Scholar] [CrossRef]
- Glorieux, F.H.; Bishop, N.J.; Plotkin, H.; Chabot, G.; Lanoue, G.; Travers, R. Cyclic administration of pamidronate in children with severe osteogenesis imperfecta. N. Engl. J. Med. 1998, 339, 947–952. [Google Scholar] [CrossRef]
- WHO Child Growth Standards: Length/Height-for-Age, Weight-for-Age, Weight-for-Length, Weight-for-Height and Body Mass Index-for-Age: Methods and Development. Available online: https://www.who.int/publications/i/item/924154693X (accessed on 14 May 2025).
- Kulaga, Z.; Rózdzyńska, A.; Palczewska, I. Percentile Charts of Height, Body Mass and Body Mass Index in Children and adolescents in Poland—Results of the OLAF Study. Stand. Med. 2010, 7, 690–706. [Google Scholar]
- Kułaga, Z.; Litwin, M.; Tkaczyk, M.; Palczewska, I.; Zajączkowska, M.; Zwolińska, D.; Krynicki, T.; Wasilewska, A.; Moczulska, A.; Morawiec-Knysak, A.; et al. Polish 2010 growth references for school-aged children and adolescents. J. Pediatr. 2011, 170, 599–609. [Google Scholar] [CrossRef] [PubMed]
- Kułaga, Z.; Grajda, A.; Gurzkowska, B.; Góźdź, M.; Wojtyło, M.; Świąder, A.; Różdżyńska-Świątkowska, A.; Litwin, M. Polish 2012 Growth References for Preschool Children. Eur. J. Pediatr. 2013, 172, 753–761. [Google Scholar] [CrossRef] [PubMed]
- Schwartz, G.J.; Haycock, G.B.; Edelmann, C.M.; Spitzer, A. A simple estimate of glomerular filtration rate in children derived from body length and plasma creatinine. Pediatrics 1976, 58, 259–263. [Google Scholar] [CrossRef] [PubMed]



| Variable | Total n = 61 | Type 1 n = 37 | Type 3 n = 24 | p t. 1 vs. t. 3 |
|---|---|---|---|---|
| Age [years] | 8.0 (5.0; 12.0) | 10.0 (6.0; 13.0) | 5 (3.5; 8.0) | pUMW = 0.002 |
| Sex [F/M] | 30/31 | 17/20 | 13/11 | pChi2 = 0.53 |
| Number of fractures of long bones/age | 1.00 (0.50; 2.00) | 0.56 (0.40; 1.00) | 1.91 (1.04; 3.44) | pUMW < 0.001 |
| Sodium pamidronate cycles/age | 1.67 (1.20; 3.13) | 1.35 (0.92; 1.64) | 3.37 (2.80; 4.31) | pUMW < 0.001 |
| Body weight z-score * | −1.48 (−3.09; 0.19) | −0.33 (−1.28; 0.61) | −3.09 (−3.09; −1.64) | pUMW < 0.001 |
| Growth z-score * | −1.97 (−3.09; −0.77) | −1.08 (−1.88; −0.25) | −3.09 (−3.09; −3.09) | pUMW < 0.001 |
| BMI z-score * | 0.3 (−0.41; 1.15) | 0.33 (−0.52; 1.13) | 0.23 (−0.33; 1.17) | pUMW = 0.8 |
| Glucose concentration [mmol/L] | 4.62 ± 0.57 | 4.71 ± 0.53 | 4.46 ± 0.63 | pt-student = 0.1 |
| OC concentration z-score ˟ | 2.37 (0.74; 5.48) | 4.27 (2.52; 6.44) | 0.70 (−0.65; 1.77) | pUMW < 0.001 |
| ALP concentration z-score ˟ | −1.12 ± 0.96 | −0.92 ± 1.06 | −1.43 ± 0.67 | pt-student = 0.04 |
| 25(OH)D3 concentration [ng/mL] | 37.98 ± 11.56 | 36.49 ± 10.77 | 40.28 ± 12.58 | pt-student = 0.21 |
| Calcium concentration [mmol/L] | 2.48 ± 0.09 | 2.48 ± 0,09 | 2.49 ± 0.08 | pt-student = 0.87 |
| GFR [mL/min/1.73 m2] | 142 (121; 160) | 133 (121; 150) | 151 (135; 171) | pUMW = 0.05 |
| BMD L1–L4 z-score * | −1.45 ± 2.04 | −0.35 ± 1.46 | −3.14 ± 1.62 | pt-student < 0.001 |
| Calcium supplementation [mg/kg/day] | 9.1 (6.3; 14.4) | 7.1 (5.1; 9.1) | 15.3 (11.2; 17.4) | pUMW < 0.001 |
| 25(OH)D3 supplementation [IU/kg/day] | 52.6 (35.7; 83.6) | 42.4 (30.3; 65.6) | 75.9 (55.6; 125.0) | pUMW < 0.001 |
| Variable | Spearman Correlation | p-Value |
|---|---|---|
| Fractures/age | −0.354 | =0.005 |
| Sodium pamidronate/age | −0.525 | <0.0001 |
| Body weight z-score | 0.470 | <0.001 |
| Growth z-score | 0.496 | <0.001 |
| BMI z-score | −0.163 | =0.300 |
| Glucose concentration [mmol/L] | −0.021 | =0.873 |
| ALP concentration z-score | 0.269 | =0.036 |
| 25(OH)D3 concentration [ng/mL] | 0.012 | =0.927 |
| Calcium concentration [mmol/L] | −0.06 | =0.680 |
| BMD L1–L4 z-score | 0.478 | <0.001 |
| GFR [mL/min/1.73 m2] | −0.044 | =0.737 |
| Variable | Estimation | Standard Error | p-Value | 95% Cl Lower | 95% Cl Upper |
|---|---|---|---|---|---|
| Type of OI (ref.—OI type 1) | −0.013 | 0.002 | 0 | −0.017 | −0.008 |
| Age [years] | 0.018 | 0.012 | 0.157 | −0.007 | 0.042 |
| Sex (ref.—female) | −0.001 | 0.001 | 0.389 | −0.004 | 0.002 |
| Fractures/age | −0.012 | 0.005 | 0.022 | −0.023 | −0.002 |
| Sodium pamidronate cycles/age | −0.017 | 0.004 | 0 | −0.024 | −0.009 |
| Body weight z-score | 0.378 | 0.273 | 0.003 | 0.302 | 1.393 |
| Growth z-score | 0.407 | 0.314 | 0.001 | 0.438 | 1.695 |
| BMI z-score | −0.18 | 0.424 | 0.168 | −1.44 | 0.257 |
| Glucose concentration [mmol/L] | 0 | 0.002 | 0.99 | −0.003 | 0.003 |
| ALP concentration z-score | 0.005 | 0.003 | 0.041 | 0.014 | 0.685 |
| 25(OH)D3 concentration | 0.01 | 0.033 | 0.773 | −0.057 | 0.076 |
| BMD L1–L4 z-score | 0.017 | 0.005 | 0.002 | 0.006 | 0.028 |
| GFR [mL/min/1.73 m2] | 0.007 | 0.092 | 0.939 | −0.177 | 0.191 |
| Calcium concentration [mmol/L] | −0.019 | 0.131 | 0.887 | −10.811 | 9.372 |
| Variable | B | Standard Error | p-Value | 95% Cl Lower | 95% Cl Upper |
|---|---|---|---|---|---|
| Type of OI (OI type 1—ref.) | −34.854 | 16.213 | 0.036 | −67.360 | −2.349 |
| Fractures/age | 3.640 | 3.628 | 0.320 | −3.634 | 10.914 |
| Sodium pamidronate cycles/age | −12.893 | 5.692 | 0.028 | −24.305 | −1.481 |
| ALP concentration z-score | 0.194 | 0.079 | 0.017 | 0.036 | 0.352 |
| BMD L1–L4 z-score | 4.323 | 3.498 | 0.222 | −2.690 | 11.336 |
| PC1 | −0.341 | 0.178 | 0.061 | −0.698 | 0.017 |
Disclaimer/Publisher’s Note: The statements, opinions and data contained in all publications are solely those of the individual author(s) and contributor(s) and not of MDPI and/or the editor(s). MDPI and/or the editor(s) disclaim responsibility for any injury to people or property resulting from any ideas, methods, instructions or products referred to in the content. |
© 2025 by the authors. Licensee MDPI, Basel, Switzerland. This article is an open access article distributed under the terms and conditions of the Creative Commons Attribution (CC BY) license (https://creativecommons.org/licenses/by/4.0/).
Share and Cite
Nowicki, J.K.; Jakubowska-Pietkiewicz, E. Serum Osteocalcin in Pediatric Osteogenesis Imperfecta: Impact of Disease Type and Bisphosphonate Therapy. Int. J. Mol. Sci. 2025, 26, 7953. https://doi.org/10.3390/ijms26167953
Nowicki JK, Jakubowska-Pietkiewicz E. Serum Osteocalcin in Pediatric Osteogenesis Imperfecta: Impact of Disease Type and Bisphosphonate Therapy. International Journal of Molecular Sciences. 2025; 26(16):7953. https://doi.org/10.3390/ijms26167953
Chicago/Turabian StyleNowicki, Jakub Krzysztof, and Elżbieta Jakubowska-Pietkiewicz. 2025. "Serum Osteocalcin in Pediatric Osteogenesis Imperfecta: Impact of Disease Type and Bisphosphonate Therapy" International Journal of Molecular Sciences 26, no. 16: 7953. https://doi.org/10.3390/ijms26167953
APA StyleNowicki, J. K., & Jakubowska-Pietkiewicz, E. (2025). Serum Osteocalcin in Pediatric Osteogenesis Imperfecta: Impact of Disease Type and Bisphosphonate Therapy. International Journal of Molecular Sciences, 26(16), 7953. https://doi.org/10.3390/ijms26167953

