Anti-Obesity Effects of Rosa rugosa Thunb. Flower Bud Extracts on Lipid Metabolism Regulation in 3T3-L1 Adipocytes and Sprague Dawley Rats
Abstract
1. Introduction
2. Results
2.1. R. rugosa Thunb. Flower Bud Extract Marker Compound Analysis
2.2. Blooming Stage-Related R. rugosa Thunb. Flower Bud Extract Cytotoxicity in 3T3-L1 Preadipocyte Cells
2.3. Lipid Accumulation Inhibitory Effects of R. rugosa Thunb. Flower Bud Extracts During Adipocyte Differentiation
2.4. NG-RR-T1F Extract Suppresses Intracellular Triglyceride Formation
2.5. NG-RR-T1F Regulates Lipolysis-Related mRNA and Protein Expressions
2.6. NG-RR-T1F Regulates Lipogenesis-Related mRNA and Protein Expression
2.7. NG-RR-T1F Enhances Energy Expenditure-Related mRNA and Protein Expression
2.8. NG-RR-T1F Reduces Body Weight in High-Fat Diet (HFD)-Induced Obese Rats
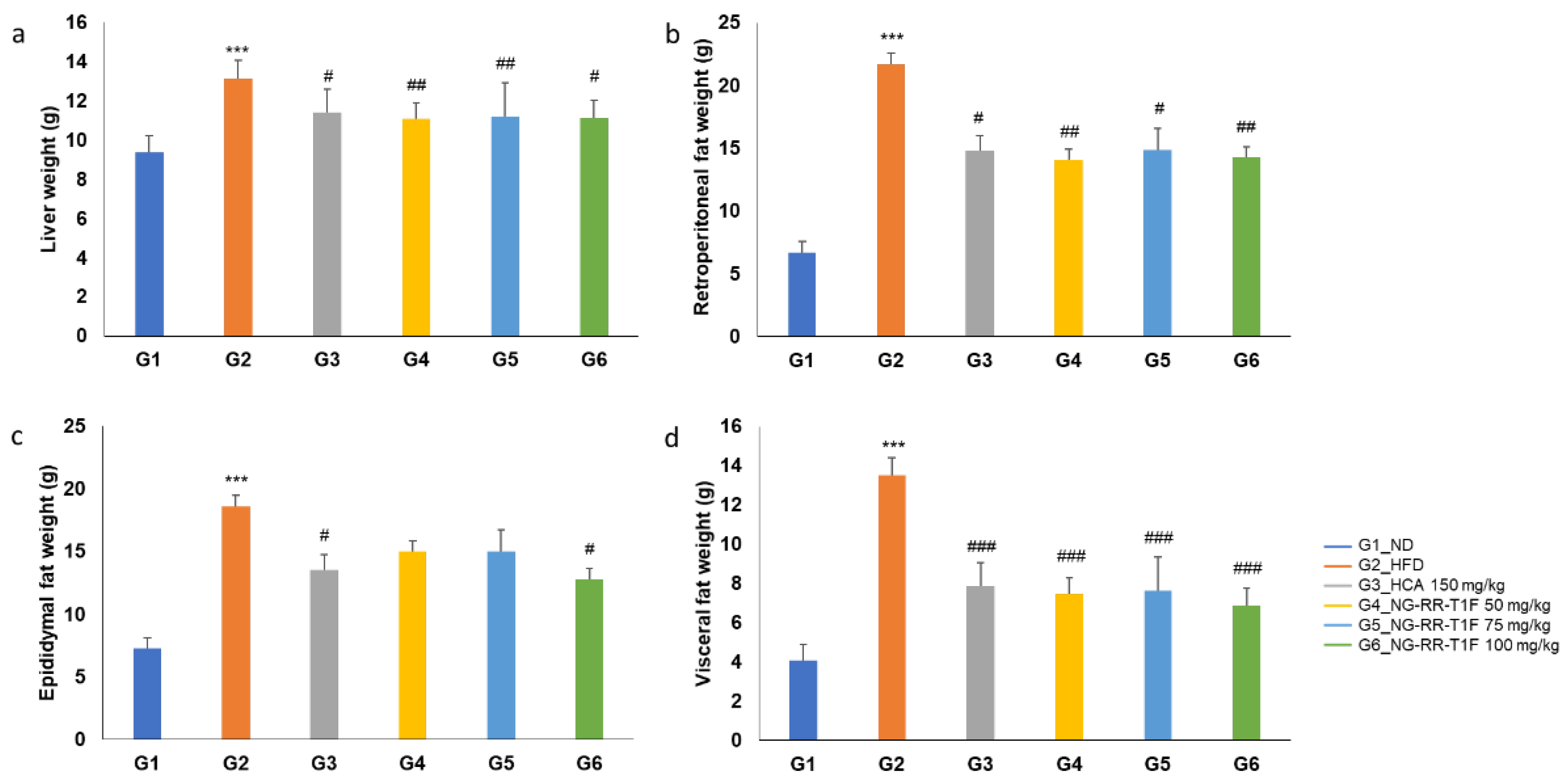
2.9. NG-RR-T1F Reduces Organ and Fat Depot Weights in HFD-Induced Rats
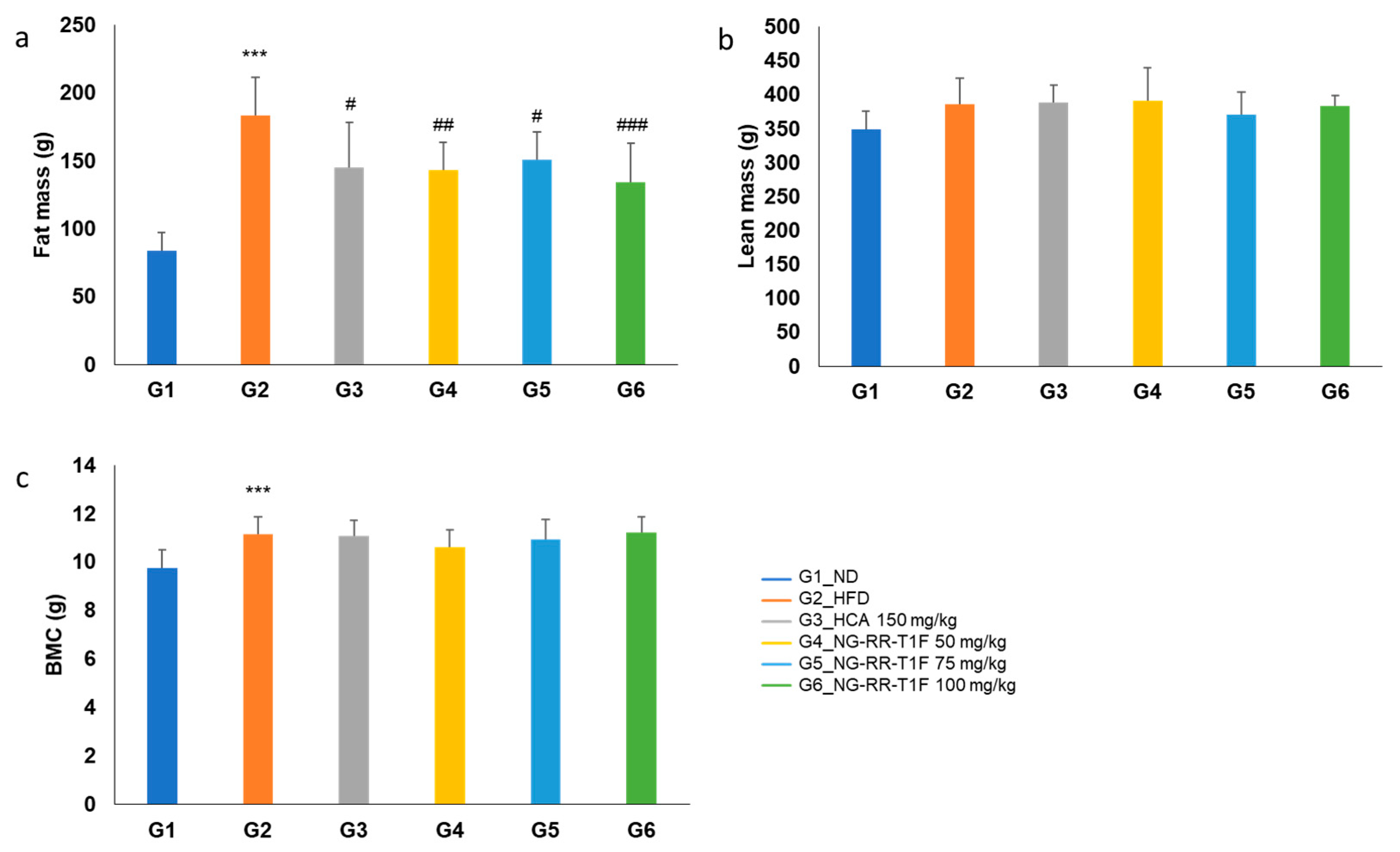
2.10. NG-RR-T1F Improves Body Composition
2.11. NG-RR-T1F Modulates Serum Lipid Profiles
2.12. NG-RR-T1F Improves Liver Function Markers
2.13. NG-RR-T1F Reduces Hepatic Steatosis and Adipocyte Size

2.14. NG-RR-T1F Regulates Lipolysis, Lipogenesis, and Energy Expenditure-Related mRNA Protein Expression in the Epididymal Adipose Tissue of HFD Rats
3. Discussion
4. Materials and Methods
4.1. R. rugosa Thunb. Flower Bud Hot-Water Extract Preparation
4.2. HPLC Analysis of R. rugosa Thunb. Flower Bud Extracts
4.3. Cell Culture and Differentiation
4.4. Cell Viability Assay
4.5. Lipid Accumulation in 3T3-L1 Cells
4.6. Triglyceride Content in 3T3-L1 Cells
4.7. Quantitative Real-Time PCR in 3T3-L1 Cells
4.8. Western Blot Analysis in 3T3-L1 Cells
4.9. Animal Experiments
4.10. Necropsy
4.11. Serum Biochemical Analysis
4.12. Histological Analysis
4.13. Quantitative Real-Time PCR of Epididymal Adipose Tissue
4.14. Western Blot Analysis of Epididymal Adipose Tissue
4.15. Statistical Analysis
5. Conclusions
Author Contributions
Funding
Institutional Review Board Statement
Informed Consent Statement
Data Availability Statement
Conflicts of Interest
Abbreviations
| IR | Insulin resistance |
| FFA | Free fatty acid |
| ROS | Reactive oxygen species |
| AMPK | 5′-adenosine monophosphate-activated protein kinase (AMPK) |
| PPARγ | Peroxisome proliferator-activated receptor gamma () |
| C/EBPα | CCAAT/enhancer-binding protein alpha |
| SREBP-1c | Sterol regulatory element binding protein 1c |
| LD | Lipid droplet |
| ATGL | Adipose triglyceride lipase |
| HSL | Hormone-sensitive lipase |
| MGL | Monoglyceride lipase |
| PKA | Protein kinase A |
| ACC | Acetyl-CoA carboxylase |
| FAS | Fatty acid synthase |
| HPLC | High-performance liquid chromatography |
| MTT | 3-(4,5-dimethylthiazol-2-yl)-2,5-diphenyl tetrazolium bromide |
| CPT | Carnitine palmitoyltransferase |
| HFD | High-fat diet |
| ND | Normal diet |
| LDL-C | Low-density lipoprotein cholesterol |
| HDL-C | High-density lipoprotein cholesterol |
| AST | Aspartate aminotransferase |
| ALT | Alanine aminotransferase |
| ALP | Alkaline phosphatase |
| GGT | Gamma-glutamyltranspeptidase |
| CGI-58 | Comparative gene identification-58 |
| G0S2 | G0/G1 Switch 2 |
| PGC-1α | PPARγ coactivator 1 alpha |
| DMEM | Dulbecco’s Modified Eagle Medium |
| FBS | Fetal bovine serum |
| RIPA | Radioimmunoprecipitation assay |
| SDS | Sodium dodecyl sulfate |
| TBS | Tris-buffered saline |
| TBS-T | Tris-buffered saline containing Tween-20 |
References
- Ng, M.; Fleming, T.; Robinson, M.; Thomson, B.; Graetz, N.; Margono, C.; Mullany, E.C.; Biryukov, S.; Abbafati, C.; Abera, S.F.; et al. Global, Regional, and National Prevalence of Overweight and Obesity in Children and Adults during 1980–2013: A Systematic Analysis. Lancet 2014, 384, 766–781. [Google Scholar] [CrossRef] [PubMed]
- Tremmel, M.; Gerdtham, U.G.; Nilsson, P.M.; Saha, S. Economic Burden of Obesity: A Systematic Literature Review. Int. J. Environ. Res. Public Health 2017, 14, 435. [Google Scholar] [CrossRef] [PubMed]
- Jeong, E.; Kim, Y.H.; Nam, G.E.; Han, K.; Lee, W.Y. Prevalence of Obesity by Obesity Class from 2009 to 2018. J. Obes. Metab. Syndr. 2020, 29, 124–132. [Google Scholar]
- Hales, C.M.; Carroll, M.D.; Fryar, C.D.; Ogden, C.L. Prevalence of Obesity and Severe Obesity among Adults: United States, 2017–2018. NCHS Data Brief 2020, 360, 1–8. [Google Scholar]
- Ward, Z.J.; Bleich, S.N.; Cradock, A.L.; Barrett, J.L.; Giles, C.M.; Flax, C.; Long, M.W.; Gortmaker, S.L. Projected U.S. State-Level Prevalence of Adult Obesity and Severe Obesity. N. Engl. J. Med. 2019, 381, 2440–2450. [Google Scholar] [CrossRef] [PubMed]
- GBD US Health Disparities Collaborators. National-Level and State-Level Prevalence of Overweight and Obesity among Children, Adolescents, and Adults in the USA, 1990–2021, and Forecasts up to 2050: A Modelling Study. Lancet 2024, 403, 1769–1781. [Google Scholar]
- Nam, G.E.; Kim, Y.H.; Han, K.; Jung, J.H.; Rhee, E.J.; Lee, W.Y. Obesity Fact Sheet in Korea, 2020: Prevalence of Obesity by Obesity Class from 2009 to 2018. J. Obes. Metab. Syndr. 2021, 30, 141–148. [Google Scholar] [CrossRef] [PubMed]
- Jung, Y.S.; Kim, Y.E.; Go, D.S.; Yoon, S.K. Projecting the Prevalence of Obesity in South Korea through 2040: A Microsim-ulation Modelling Approach. BMJ Open 2020, 10, e037629. [Google Scholar] [CrossRef] [PubMed]
- World Obesity Federation. Economic Impact of Overweight and Obesity in South Korea; Global Obesity Observatory: London, UK, 2023; Available online: https://data.worldobesity.org/country/south-korea-114 (accessed on 25 June 2025).
- Kim, D.D.; Basu, A. Estimating the Medical Care Costs of Obesity in the United States: Systematic Review, Meta-Analysis, and Empirical Analysis. Value Health 2016, 19, 602–613. [Google Scholar] [CrossRef] [PubMed]
- Ahn, B.C.; Joung, H.J. Socioeconomic Cost of Obesity in Korea. J. Nutr. Health 2005, 38, 786–792. [Google Scholar]
- Bergman, R.N.; Ader, M. Free Fatty Acids and Pathogenesis of Type 2 Diabetes Mellitus. Trends Endocrinol. Metab. 2000, 11, 351–356. [Google Scholar] [CrossRef] [PubMed]
- Guilherme, A.; Virbasius, J.V.; Puri, V.; Czech, M.P. Adipocyte Dysfunctions Linking Obesity to Insulin Resistance and Type 2 Diabetes. Nat. Rev. Mol. Cell Biol. 2008, 9, 367–377. [Google Scholar] [CrossRef] [PubMed]
- Morak, M.; Schmidinger, H.; Riesenhuber, G.; Rechberger, G.N.; Kollroser, M.; Haemmerle, G.; Zechner, R.; Kronenberg, F.; Hermetter, A. Adipose Triglyceride Lipase (ATGL) and Hormone-Sensitive Lipase (HSL) Deficiencies Affect Expression of Lipolytic Activities in Mouse Adipose Tissues. Mol. Cell. Proteom. 2012, 11, 1777–1789. [Google Scholar] [CrossRef] [PubMed]
- Garcia, D.; Shaw, R.J. AMPK: Mechanisms of Cellular Energy Sensing and Restoration of Metabolic Balance. Mol. Cell 2017, 66, 789–800. [Google Scholar] [CrossRef] [PubMed]
- Unger, R.H.; Scherer, P.E. Gluttony, Sloth and the Metabolic Syndrome: A Roadmap to Lipotoxicity. Trends Endocrinol. Metab. 2010, 21, 345–352. [Google Scholar] [CrossRef] [PubMed]
- Yang, A.; Mottillo, E.P. Adipocyte Lipolysis: From Molecular Mechanisms of Regulation to Disease and Therapeutics. Biochem. J. 2020, 477, 985–1008. [Google Scholar] [CrossRef] [PubMed]
- Wadden, T.A.; Webb, V.L.; Moran, C.H.; Bailer, B.A. Lifestyle Modification for Obesity: Diet, Physical Activity, and Be-havior Therapy. Circulation 2012, 125, 1157–1170. [Google Scholar] [CrossRef] [PubMed]
- Rotunda, W.; Rains, C.; Jacobs, S.R.; Ng, V.; Lee, R.; Rutledge, S.; Jackson, M.C.; Myers, K. Weight Loss in Short-Term Interventions for Physical Activity and Nutrition among Adults with Overweight or Obesity: A Systematic Review and Meta-Analysis. Prev. Chronic Dis. 2024, 21, 230347. [Google Scholar] [CrossRef] [PubMed]
- IQVIA Institute. Global Use of Medicines 2024: Outlook to 2028; IQVIA Institute: Durham, NC, USA, 2023. [Google Scholar]
- Apovian, C.M.; Aronne, L.J.; Bessesen, D.H.; McDonnell, M.E.; Murad, M.H.; Pagotto, U. Pharmacological Management of Obesity: An Endocrine Society Clinical Practice Guideline. J. Clin. Endocrinol. Metab. 2015, 100, 342–362. [Google Scholar] [CrossRef] [PubMed]
- Rodríguez, J.E.; Campbell, K.M. Past, Present, and Future of Pharmacologic Therapy in Obesity. Prim. Care 2016, 43, 61–67. [Google Scholar] [CrossRef] [PubMed]
- Son, J.E. Current Status of Functional Foods for Weight Management. Food Ind. Nutr. 2023, 28, 6–13. [Google Scholar]
- Cendrowski, A.; Ścibisz, I.; Mitek, M.; Kieliszek, M.; Kolniak-Ostek, J. Profile of the Phenolic Compounds of Rosa rugosa Petals. J. Food Qual. 2017, 2017, 7941347. [Google Scholar] [CrossRef]
- Li, J.; Li, J.; Yang, H.; Ma, Y.; Huo, Z.; Wang, S.; Lin, Y.; Zhang, C. Enhancing Antioxidant Bioaccessibility in Rosa rugosa through Lactobacillus plantarum Fermentation. Fermentation 2024, 10, 368. [Google Scholar] [CrossRef]
- Park, H.J.; Nam, J.H.; Jung, H.J.; Lee, M.S.; Lee, K.T.; Jung, M.H.; Choi, J.W. Inhibitory Effect of Euscaphic Acid and Tormentic Acid from the Roots of Rosa rugosa on High Fat Diet-Induced Obesity in the Rat. Kor. J. Pharmacogn. 2005, 36, 324–331. [Google Scholar]
- Kwak, M.J.; Eom, S.H.; Gil, J.S.; Kim, J.S.; Hyun, T.K. Variation in Bioactive Principles and Bioactive Compounds of Rosa rugosa Fruit during Ripening. J. Plant Biotechnol. 2019, 46, 236–245. [Google Scholar] [CrossRef]
- Fu, M.; He, Z.; Zhao, Y.; Yang, J.; Mao, L. Antioxidant Properties and Involved Compounds of Daylily Flowers in Relation to Maturity. Food Chem. 2009, 114, 1192–1197. [Google Scholar] [CrossRef]
- Daval, M.; Foufelle, F.; Ferré, P. Functions of AMP-Activated Protein Kinase in Adipose Tissue. J. Physiol. 2006, 574, 55–62. [Google Scholar] [CrossRef] [PubMed]
- Rahman, A.A.; Butcko, A.J.; Songyekutu, E.; Granneman, J.G.; Mottillo, E.P. Direct Effects of Adipocyte Lipolysis on AMPK through Intracellular Long-Chain Acyl-CoA Signaling. Sci. Rep. 2024, 14, 19. [Google Scholar] [CrossRef] [PubMed]
- Göransson, O.; Kopietz, F.; Rider, M.H. Metabolic Control by AMPK in White Adipose Tissue. Trends Endocrinol. Metab. 2023, 34, 704–717. [Google Scholar] [CrossRef]
- Rosen, E.D.; Hsu, C.H.; Wang, X.; Sakai, S.; Freeman, M.W.; Gonzalez, F.J.; Spiegelman, B.M. C/EBPα Induces Adipogenesis through PPARγ: A Unified Pathway. Genes Dev. 2002, 16, 22–26. [Google Scholar] [CrossRef] [PubMed]
- Kim, S.J.; Tang, T.; Abbott, M.; Viscarra, J.A.; Wang, Y.; Sul, H.S. AMPK Phosphorylates Desnutrin/ATGL and Hormone Sensitive Lipase to Regulate Lipolysis and Fatty Acid Oxidation within Adipose Tissue. Mol. Cell. Biol. 2016, 36, 1961–1976. [Google Scholar] [CrossRef] [PubMed]
- Houten, S.M.; Wanders, R.J.A. A General Introduction to the Biochemistry of Mitochondrial Fatty Acid β-oxidation. J. Inherit. Metab. Dis. 2010, 33, 469–477. [Google Scholar] [CrossRef] [PubMed]
- Cannon, B.; Nedergaard, J. Brown Adipose Tissue: Function and Physiological Significance. Physiol. Rev. 2004, 84, 277–359. [Google Scholar] [CrossRef] [PubMed]
- Fang, H.; Liu, Y.; Xue, P.; Zhu, Z. Transcriptional Control of Mitochondrial Biogenesis: The Central Role of PGC 1α. Cardiovasc. Res. 2008, 79, 208–217. [Google Scholar]
- Guyenet, S.J.; Schwartz, M.W. Clinical Review: Regulation of Food Intake, Energy Balance, and Body Fat Mass: Implications for the Pathogenesis and Treatment of Obesity. J. Clin. Endocrinol. Metab. 2012, 97, 745–755. [Google Scholar] [CrossRef] [PubMed]
- Marques, C.; Meireles, M.; Norberto, S.; Leite, J.; Freitas, J.; Pestana, D.; Faria, A.; Calhau, C. High-Fat Diet-Induced Obesity Rat Model: A Comparison between Wistar and Sprague-Dawley Rat. Adipocyte 2015, 5, 11–21. [Google Scholar] [CrossRef] [PubMed]
- Udomkasemsab, A.; Prangthip, P. High Fat Diet for Induced Dyslipidemia and Cardiac Pathological Alterations in Wistar Rats Compared to Sprague Dawley Rats. Clin. Investig. Arterioscler. 2019, 31, 56–62. [Google Scholar] [PubMed]
- Liu, G.S.; Chan, E.C.; Higuchi, M.; Dusting, G.J.; Jiang, F. Redox Mechanisms in Regulation of Adipocyte Differentiation: Beyond a General Stress Response. Cells 2012, 1, 976–993. [Google Scholar] [CrossRef] [PubMed]
- Khan, S.A.; Sathyanarayan, A.; Mashek, M.T.; Ong, K.T.; Wollaston-Hayden, E.E.; Mashek, D.G. ATGL-Catalyzed Lipolysis Regulates SIRT1 to Control PGC 1α/PPAR α Signaling. Diabetes 2015, 64, 418–426. [Google Scholar] [CrossRef] [PubMed]













| Items | Conditions | |||
|---|---|---|---|---|
| Instrument | SHIMADZU LC-20A | |||
| Detector | SHIMADZU PDA Detector (SPD-M20A, wave length at 254 nm) | |||
| Column | ZORBAX ECLIPSE XDB-C18 (150 mm × 4.6 mm, 3.5 µm) | |||
| Mobile phase | (A) 0.2% formic acid in water (B) 0.2% formic acid in acetonitrile | |||
| Time (min.) | Flow rate (mL/min) | (A) | (B) | |
| 0.00 | 1.00 | 95 | 5 | |
| 50.00 | 1.00 | 0 | 100 | |
| 55.00 | 1.00 | 0 | 100 | |
| 55.01 | 1.00 | 95 | 5 | |
| 60.00 | 1.00 | 95 | 5 | |
| Run time | 60 min | |||
| Flow rate | 1.0 mL/min | |||
| Injection volume | 10 µL | |||
| Column temperature | 30 °C | |||
| Gene | Primer | Mus musculus | Rattus norvegicus |
| Sequences (5′ → 3′) | Sequences (5′ → 3′) | ||
| ATGL | Forward | CATTCTCAGGCGAGAGTGACAT | AGACTGTCTGAGCAGGTGGA |
| Reverse | GACGCGAAGCTCGTGGAT | AGTAGCTGACGCTGGCAT | |
| G0S2 | Forward | AGAAGAACGCCAAAGCCAGT | AGCATGCCTCTTAAGGCTGG |
| Reverse | AGCTCCTGCACACTTTCCAT | GGATTCGGTGGCACCTTGAA | |
| PLIN1A | Forward | GCGTCTGCCTTACCTAGCT | GAGTCACAACCCCACGATGT |
| Reverse | TGGGCTTCTTTGGTGCTGTT | CGAGAGAGGAAAGAGTCGAC | |
| ACC | Forward | GAATCTCCTGGTGACAATGCTTATT | GCCTCCAACCTCAACCACTA |
| Reverse | GGTCTTGCTGAGTTGGGTTAGCT | TCGCAGAAGCAGCCCATTA | |
| FAS | Forward | CTGAGATCCCAGCACTTCTTGA | GAGCCGCCGACCAGTATAAA |
| Reverse | GCCTCCGAAGCCAAATGAG | GCACAGACACCTTCCCATCA | |
| CPT-2 | Forward | TCCGCTTTGTTCCTTCCTCT | GCCCAGCCTCCATCTTTACT |
| Reverse | TCACGACTGGGTTTGGGTAT | AGCGCAGAGCATACAAGTGT | |
| UCP-1 | Forward | ACGGGGACCTACAATGCTT | TGGCGTGGCGGTATTCATT |
| Reverse | GCAAAACCCGGCAACAAGA | GAGTCGTCCCTTTCCACAGT | |
| PGC-1α | Forward | TGAAGAGCGCCGTGTGATT | TGAACTACGGGATGGCAACT |
| Reverse | AAGAGCAGCGAAAGCGTCA | AAGAGCAAGAAGGCGACACA | |
| AMPK1α | Forward | GTCAAAGCCGACCCAATGATA | CACTGGATGCACTCAACACAAC |
| Reverse | CGTACACGCAAATAATAGGGGTT | TCACTACCTTCCATTCAAAGTCC | |
| GAPDH | Forward | CATGGCCTTCCGTGTTCCTA | CTGGAGAAACCTGCCAAGTATG |
| Reverse | GCGGCACGTCAGATCCA | GGTGGAAGAATGGGAGTTGCT |
Disclaimer/Publisher’s Note: The statements, opinions and data contained in all publications are solely those of the individual author(s) and contributor(s) and not of MDPI and/or the editor(s). MDPI and/or the editor(s) disclaim responsibility for any injury to people or property resulting from any ideas, methods, instructions or products referred to in the content. |
© 2025 by the authors. Licensee MDPI, Basel, Switzerland. This article is an open access article distributed under the terms and conditions of the Creative Commons Attribution (CC BY) license (https://creativecommons.org/licenses/by/4.0/).
Share and Cite
Kim, J.M.; Kim, K.K.; Lee, H.R.; Im, J.C.; Kim, T.W. Anti-Obesity Effects of Rosa rugosa Thunb. Flower Bud Extracts on Lipid Metabolism Regulation in 3T3-L1 Adipocytes and Sprague Dawley Rats. Int. J. Mol. Sci. 2025, 26, 6963. https://doi.org/10.3390/ijms26146963
Kim JM, Kim KK, Lee HR, Im JC, Kim TW. Anti-Obesity Effects of Rosa rugosa Thunb. Flower Bud Extracts on Lipid Metabolism Regulation in 3T3-L1 Adipocytes and Sprague Dawley Rats. International Journal of Molecular Sciences. 2025; 26(14):6963. https://doi.org/10.3390/ijms26146963
Chicago/Turabian StyleKim, Jung Min, Kyoung Kon Kim, Hye Rim Lee, Jae Cheon Im, and Tae Woo Kim. 2025. "Anti-Obesity Effects of Rosa rugosa Thunb. Flower Bud Extracts on Lipid Metabolism Regulation in 3T3-L1 Adipocytes and Sprague Dawley Rats" International Journal of Molecular Sciences 26, no. 14: 6963. https://doi.org/10.3390/ijms26146963
APA StyleKim, J. M., Kim, K. K., Lee, H. R., Im, J. C., & Kim, T. W. (2025). Anti-Obesity Effects of Rosa rugosa Thunb. Flower Bud Extracts on Lipid Metabolism Regulation in 3T3-L1 Adipocytes and Sprague Dawley Rats. International Journal of Molecular Sciences, 26(14), 6963. https://doi.org/10.3390/ijms26146963
