Correction: Kim et al. Anti-Obesity Effects of Rosa rugosa Thunb. Flower Bud Extracts on Lipid Metabolism Regulation in 3T3-L1 Adipocytes and Sprague Dawley Rats. Int. J. Mol. Sci. 2025, 26, 6963
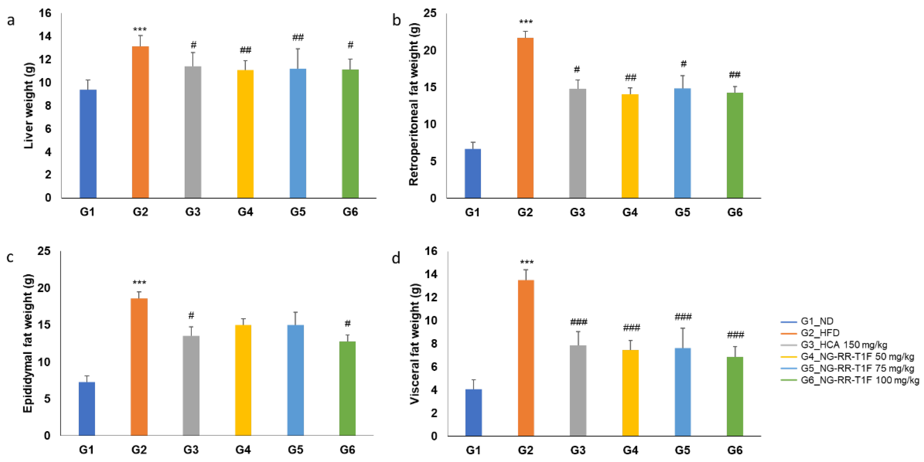
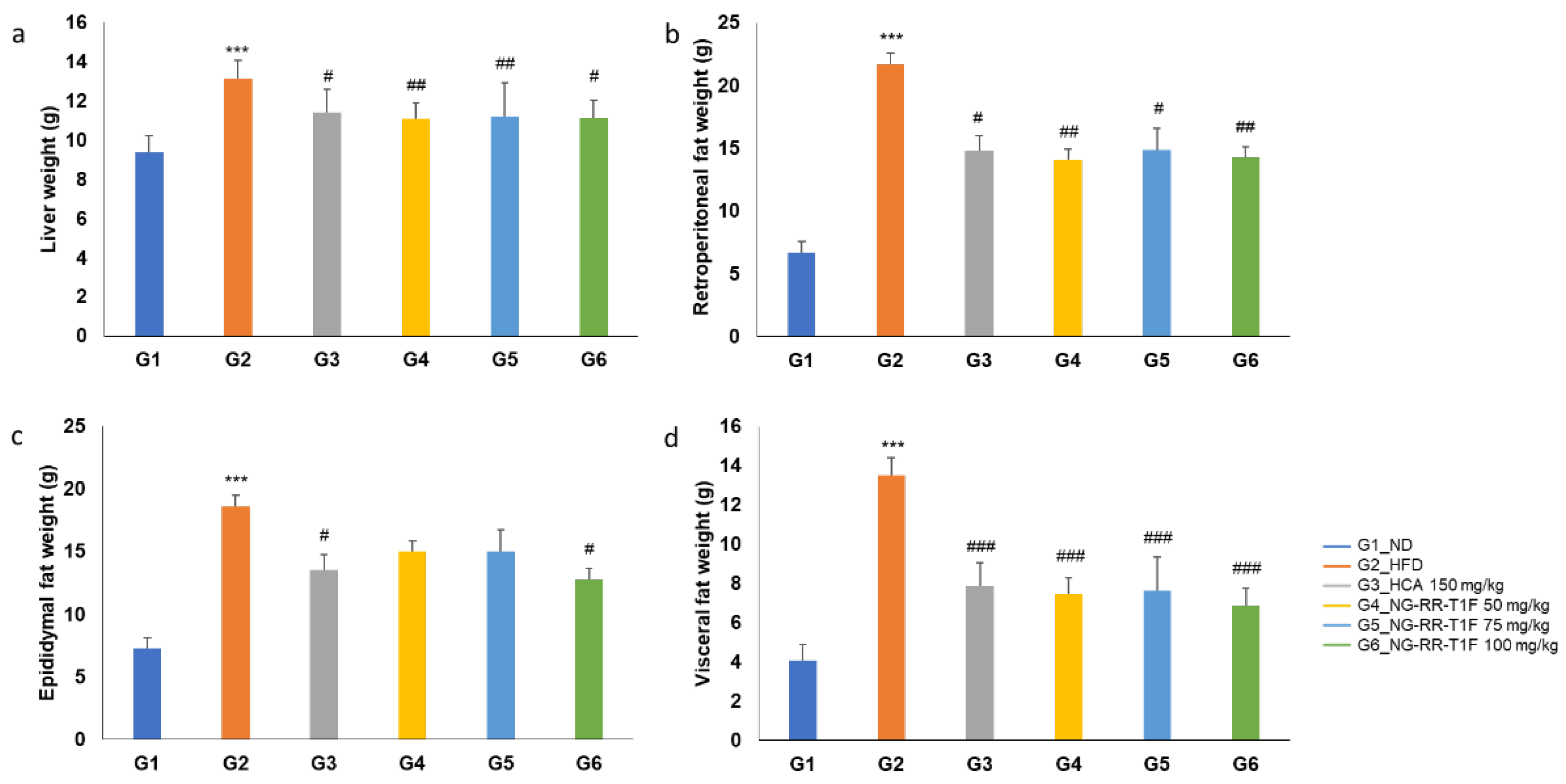
- Error in Figure
- Results, Section 2.9 (Paragraph 3)
- Results, Section 2.10 (Paragraphs 2–3)
- Results, Section 2.11 (Paragraph 1)
Reference
- Kim, J.M.; Kim, K.K.; Lee, H.R.; Im, J.C.; Kim, T.W. Anti-Obesity Effects of Rosa rugosa Thunb. Flower Bud Extracts on Lipid Metabolism Regulation in 3T3-L1 Adipocytes and Sprague Dawley Rats. Int. J. Mol. Sci. 2025, 26, 6963. [Google Scholar] [CrossRef] [PubMed]

Disclaimer/Publisher’s Note: The statements, opinions and data contained in all publications are solely those of the individual author(s) and contributor(s) and not of MDPI and/or the editor(s). MDPI and/or the editor(s) disclaim responsibility for any injury to people or property resulting from any ideas, methods, instructions or products referred to in the content. |
© 2025 by the authors. Licensee MDPI, Basel, Switzerland. This article is an open access article distributed under the terms and conditions of the Creative Commons Attribution (CC BY) license (https://creativecommons.org/licenses/by/4.0/).
Share and Cite
Kim, J.M.; Kim, K.K.; Lee, H.R.; Im, J.C.; Kim, T.W. Correction: Kim et al. Anti-Obesity Effects of Rosa rugosa Thunb. Flower Bud Extracts on Lipid Metabolism Regulation in 3T3-L1 Adipocytes and Sprague Dawley Rats. Int. J. Mol. Sci. 2025, 26, 6963. Int. J. Mol. Sci. 2025, 26, 9942. https://doi.org/10.3390/ijms26209942
Kim JM, Kim KK, Lee HR, Im JC, Kim TW. Correction: Kim et al. Anti-Obesity Effects of Rosa rugosa Thunb. Flower Bud Extracts on Lipid Metabolism Regulation in 3T3-L1 Adipocytes and Sprague Dawley Rats. Int. J. Mol. Sci. 2025, 26, 6963. International Journal of Molecular Sciences. 2025; 26(20):9942. https://doi.org/10.3390/ijms26209942
Chicago/Turabian StyleKim, Jung Min, Kyoung Kon Kim, Hye Rim Lee, Jae Cheon Im, and Tae Woo Kim. 2025. "Correction: Kim et al. Anti-Obesity Effects of Rosa rugosa Thunb. Flower Bud Extracts on Lipid Metabolism Regulation in 3T3-L1 Adipocytes and Sprague Dawley Rats. Int. J. Mol. Sci. 2025, 26, 6963" International Journal of Molecular Sciences 26, no. 20: 9942. https://doi.org/10.3390/ijms26209942
APA StyleKim, J. M., Kim, K. K., Lee, H. R., Im, J. C., & Kim, T. W. (2025). Correction: Kim et al. Anti-Obesity Effects of Rosa rugosa Thunb. Flower Bud Extracts on Lipid Metabolism Regulation in 3T3-L1 Adipocytes and Sprague Dawley Rats. Int. J. Mol. Sci. 2025, 26, 6963. International Journal of Molecular Sciences, 26(20), 9942. https://doi.org/10.3390/ijms26209942
