Unsaturated Macrolactones from Renewable Feedstocks: Synthesis, Ring-Opening Polymerization and Application Prospects
Abstract
1. Introduction
2. Synthesis of Unsaturated Macrolactones
2.1. Organochemical Approaches to Unsaturated Macrolactones
2.2. The Basic Patterns of Ring-Closing Metathesis
2.3. Ru-Catalyzed Ring-Closing Metathesis of Alkenyl Alkenoates at High Dilution Ratios
2.3.1. Early Studies of Ru-Catalyzed RCM
2.3.2. Different Ru Catalysts in RCM of Hex-5-en-1-yl Undec-10-enoate
2.3.3. Ru-Catalyzed RCM of Other Alkenyl Alkenoates
2.3.4. Stereoselectivity of Ru-Catalyzed Ring-Closing Metathesis
2.4. Ru-Catalyzed Ring-Closing Metathesis of Alkenyl Alkenoates at High Concentrations
2.4.1. Ring-Closing Metathesis with Distillation of the Products
2.4.2. Ring-Closing Metathesis Under Spatial Confinement Conditions
2.5. Ring-Closing Metathesis Using Group 6 Metal Complexes
2.6. Ring-Closing Depolymerization of Unsaturated Polyesters
2.7. Transesterification Depolymerization of Unsaturated Polyesters
- To avoid the problems associated with the use of large volumes of solvents (and related problems of toxicity, recycling, etc.), the further development of the Grela approach, based on the distillation of low-MW target products, appears to be a promising technical solution. The use of non-toxic [123] hydrogenated dec-1-ene oligomers as a reaction medium is an added benefit of this approach;
- It makes sense to guide the further design and development of the catalysts toward thermally stable heterogeneous systems. It is not obvious that Ru-based catalysts are out of the competition: Mo-based catalysts also demonstrated promising results [111]; further studies make perfect sense;
- In terms of circular economy, the RCM or ring-closing transesterification of unsaturated polyesters might be a substantial source of UMs and related cyclic substrates for subsequent polymerization (see Section 3).
3. Polyesters Based on Unsaturated Macrolactones
- Low regioselectivity: formation of head-to-tail, head-to-head and tail-to-tail fragments (see Scheme 20);
- Excessive complexity: the same polymers can be obtained by the ADMET of alkenyl alkenoates, avoiding the labor-intensive stage of the synthesis of UMs.
3.1. Ring-Opening Transesterification Polymerization of Unsaturated Macrolactones
3.1.1. Enzyme-Catalyzed ROTEP and Copolymerization of UMs
3.1.2. ROTEP and Copolymerization of UMs, Catalyzed by Acids and Metal Complexes
3.2. Alternative Approaches to Unsaturated Polyesters
3.3. Post-Modification of Unsaturated Polyesters and Application Prospects
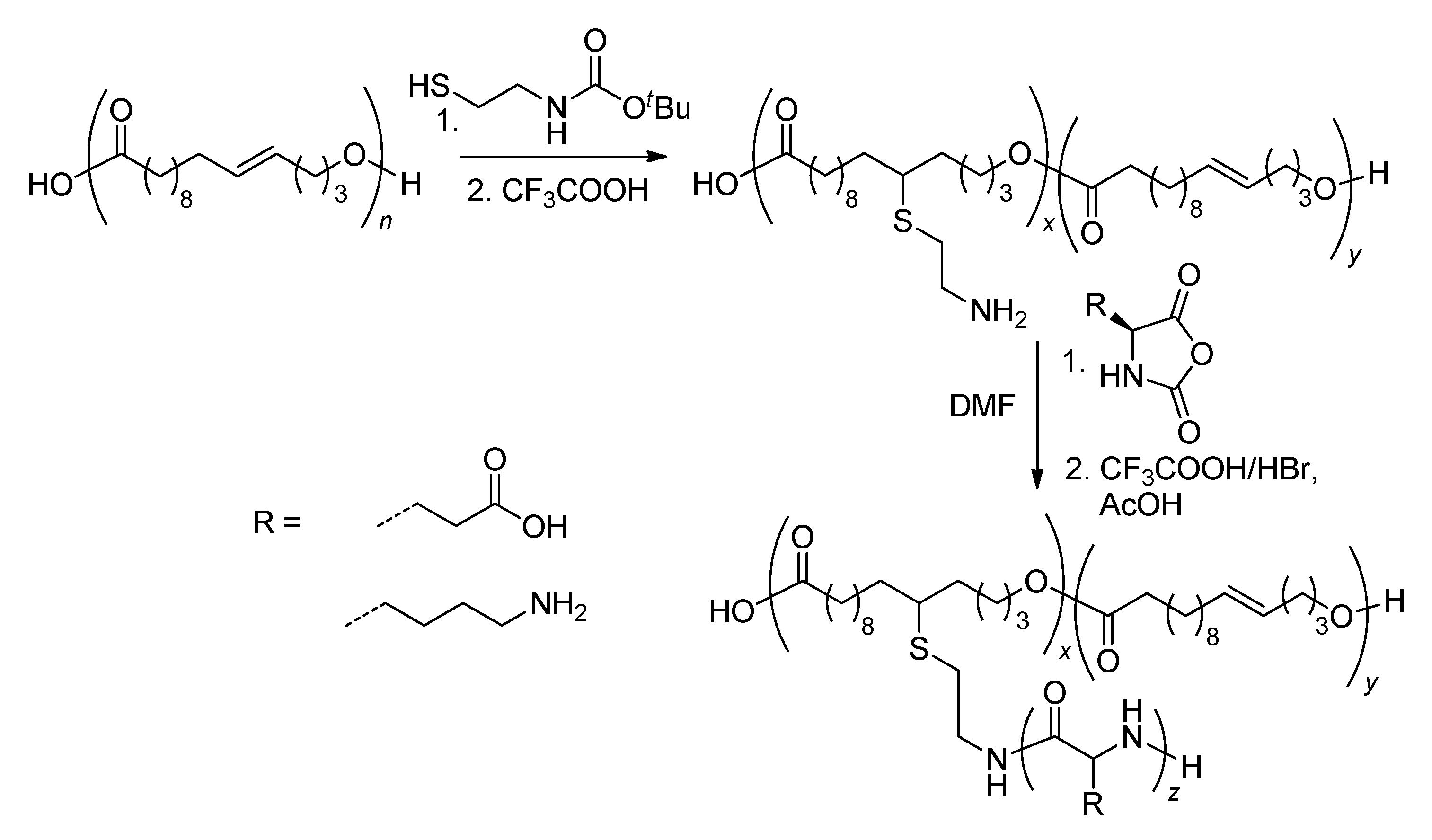
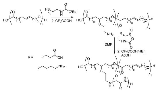
3.3.1. Post-Modification of Unsaturated Polyesters
3.3.2. Cytotoxicity, Biocompatibility and Prospects of Biomedical Applications
3.3.3. Other Possible Applications of Unsaturated (Co)Polyesters
4. Conclusions
Author Contributions
Funding
Conflicts of Interest
Abbreviations
| ADMET | Acyclic diene metathesis |
| AIBN | α,α′-Azoisobutyronitrile, 2,2′-azobis(2-methylpropionitrile) |
| AL | Ambrettolide (oxacycloheptadec-10-en-2-one) |
| BPO | Benzoyl peroxide |
| CAAC | Cyclic alkyl amino carbene |
| εCL | ε-Caprolactone |
| DCP | Dicumyl peroxide |
| DOSY | Diffusion ordered spectroscopy |
| EDC | 1-ethyl-3-(3-dimethylaminopropyl)carbodiimide |
| ES | Electrospinning |
| FAMEs | Fatty acid methyl esters |
| G-I | First-generation Grubbs catalyst |
| G-II | Second-generation Grubbs catalyst |
| GC | Gas chromatography |
| GL | Globalide (oxacyclohexadec-12-en-2-one) |
| HG-II | Second-generation Hoveyda–Grubbs catalyst |
| HL | ω-6-Hexadecenlactone (oxacycloheptadec-7-en-2-one) |
| LA | Lactide |
| LLA | L-lactide |
| mCPBA | 3-Chlorobenzoperoxoic acid |
| MO | Methyl oleate |
| MS | Mass spectrometry |
| NHC | N-heterocyclic carbene |
| NHS | N-hydroxysuccinimide |
| PDL | ω-Pentadecalactone (oxacyclohexadecan-2-one) |
| PE | Polyethylene |
| RA | Ricinoleic acid |
| RCM | Ring-closing metathesis |
| RL | Ricinoleic lactone ((R,Z)-13-hexyloxacyclotridec-10-en-2-one) |
| ROMP | Ring-opening metathesis polymerization |
| ROTEP | Ring-opening transesterification polymerization |
| Sn(Oct)2 | Tin(II) 2-ethylhexanoate |
| TFQ | 2,3,5,6-Tetrafluorocyclohexa-2,5-diene-1,4-dione |
| TMC | 1,3-Dioxan-2-one (trimethylene carbonate) |
| TON | Turnover number, the molar ratio of the converted reactant and the catalyst |
| Tc | Crystallization temperature |
| Tm | Melting temperature |
| UM | Unsaturated macrolactone |
References
- Engel, J.; Cordellier, A.; Huang, L.; Kara, S. Enzymatic Ring-Opening Polymerization of Lactones: Traditional Approaches and Alternative Strategies. ChemCatChem 2019, 11, 4983–4997. [Google Scholar] [CrossRef]
- Wilson, J.A.; Ates, Z.; Pflughaupt, R.L.; Dove, A.P.; Heise, A. Polymers from macrolactones: From pheromones to functional materials. Prog. Polym. Sci. 2019, 91, 29–50. [Google Scholar] [CrossRef]
- Parenty, A.; Moreau, X.; Campagne, J.-M. Macrolactonizations in the Total Synthesis of Natural Products. Chem. Rev. 2006, 106, 911–939. [Google Scholar] [CrossRef] [PubMed]
- Parenty, A.; Moreau, X.; Neil, G.; Campagne, J.-M. Update 1 of: Macrolactonizations in the Total Synthesis of Natural Products. Chem. Rev. 2013, 113, PR1–PR40. [Google Scholar] [CrossRef] [PubMed]
- Syed, N.; Singh, S.; Chaturvedi, S.; Nannaware, A.D.; Khare, S.K.; Rout, P.K. Production of lactones for flavoring and pharmacological purposes from unsaturated lipids: An industrial perspective. Crit. Rev. Food Sci. Nutr. 2023, 63, 10047–10078. [Google Scholar] [CrossRef]
- Gradillas, A.; Pérez-Castells, J. Macrocyclization by Ring-Closing Metathesis in the Total Synthesis of Natural Products: Reaction Conditions and Limitations. Angew. Chem. Int. Ed. 2006, 45, 6086–6101. [Google Scholar] [CrossRef]
- Sytniczuk, A.; Milewski, M.; Kajetanowicz, A.; Grela, K. Preparation of macrocyclic musks via olefin metathesis: Comparison with classical syntheses and recent advances. Russ. Chem. Rev. 2020, 89, 469–490. [Google Scholar] [CrossRef]
- Ivchenko, P.V.; Nifant’ev, I.E. The Chemistry of Oleates and Related Compounds in 2020s. Green Chem. 2025, 27, 41–95. [Google Scholar] [CrossRef]
- Monfette, S.; Fogg, D.E. Equilibrium Ring-Closing Metathesis. Chem. Rev. 2009, 109, 3783–3816. [Google Scholar] [CrossRef]
- Dutra, A.C.; Mayer, D.A.; Silva, A.; Rebelatto, E.A.; Oliveira, J.V. High-pressure phase equilibrium data for the ternary and quaternary systems containing carbon dioxide, globalide, ε-caprolactone dichloromethane. Fluid Phase Equilibria 2023, 570, 113791. [Google Scholar] [CrossRef]
- Kerschbaum, M. Über Lactone mit großen Ringen—die Träger des vegetabilischen Moschus-Duftes. Ber. Dtsch. Chem. Ges. 1927, 60, 902–909. [Google Scholar] [CrossRef]
- Nee, T.Y.; Cartt, S.; Pollard, M.R. Seed coat components of Hibiscus abelmoschus. Phytochemistry 1986, 25, 2157–2161. [Google Scholar] [CrossRef]
- Mookherjee, B.D.; Trenkle, R.W.; Patel, R.R. Synthesis of Δ9-isoambrettolide and its isomers from 1,9-cyclohexadecadiene. J. Org. Chem. 1972, 37, 3846–3848. [Google Scholar] [CrossRef]
- Villemin, D. Synthese de macrolides par methathese. Tetrahedron Lett. 1980, 21, 1715–1718. [Google Scholar] [CrossRef]
- Rodefeld, L.; Tochtermann, W. A new approach to (9Z)-dodec-9-en-12-olide (Yuzu lactone) via phase transfer catalysis cyclization. Tetrahedron 1998, 54, 5893–5898. [Google Scholar] [CrossRef]
- Lehmann, J.; Tochtermann, W. Synthesis and olfactory properties of regioisomeric alkynolides and (Z)-alkenolides. Tetrahedron 1999, 55, 2639–2658. [Google Scholar] [CrossRef]
- Voss, G.; Gerlach, H. Orthocarbonsäure-ester mit 2,4,10-Trioxaadamantanstruktur als Carboxylschutzgruppe; Verwendung zur Synthese von substituierten Carbonsäuren mit Hilfe von Grignard-Reagenzien. Helv. Chim. Acta 1983, 66, 2294–2307. [Google Scholar] [CrossRef]
- Fortunati, T.; D’Acunto, M.; Caruso, T.; Spinella, A. Chemoenzymatic preparation of musky macrolactones. Tetrahedron 2015, 71, 2357–2362. [Google Scholar] [CrossRef]
- Guerrero-Morales, J.; Collins, S.K. Biocatalysis as a versatile tool for macrolactonization: Comparative evaluation of catalytic and stoichiometric approaches. Green Chem. 2024, 26, 10404–10410. [Google Scholar] [CrossRef]
- Force, G.; Perfetto, A.; Mayer, R.J.; Ciofini, I.; Lebœuf, D. Macrolactonization Reactions Driven by a Pentafluorobenzoyl Group. Angew. Chem. Int. Ed. 2021, 60, 19843–19851. [Google Scholar] [CrossRef]
- Shiina, I.; Hashizume, M. Synthesis of (9E)-isoambrettolide, a macrocyclic musk compound, using the effective lactonization promoted by symmetric benzoic anhydrides with basic catalysts. Tetrahedron 2006, 62, 7934–7939. [Google Scholar] [CrossRef]
- Sanz-Navarro, S.; Garnes-Portolés, F.; López-Cruz, C.; Espinós-Ferri, E.; Corma, A.; Leyva-Pérez, A. Radical α–alkylation of ketones with unactivated alkenes under catalytic and sustainable industrial conditions. Appl. Catal. A Gen. 2021, 613, 118021. [Google Scholar] [CrossRef]
- Meijer, J.; Gerritsen, R.; Fischer, B. Process for Preparing Unsaturated Lactones. U.S. Patent 8383834B2, 26 February 2013. [Google Scholar]
- Wang, Y.; Ying, S.; Zhu, J.; Mao, S.; Wang, L.; He, L.; Hu, S.; Liu, Z.; Liu, C.; Ying, D. A Preparation Method of Harbanolide and Its Intermediates. Chin. Patent 118619914A, 22 November 2024. [Google Scholar]
- Singh, S.; Sharma, S.; Sarma, S.J.; Brar, S.K. A comprehensive review of castor oil-derived renewable and sustainable industrial products. Environ. Prog. Sustain. Energy 2023, 42, e14008. [Google Scholar] [CrossRef]
- Sytniczuk, A.; Kajetanowicz, A.; Grela, K. “Inverted” cyclic(alkyl)(amino)carbene ligands allow olefin metathesis with ethylene at parts-per-billion catalyst loading. Chem Catal. 2023, 3, 100713. [Google Scholar] [CrossRef]
- Gawin, R.; Tracz, A.; Krajczy, P.; Kozakiewicz-Piekarz, A.; Martínez, J.P.; Trzaskowski, B. Inhibition of the Decomposition Pathways of Ruthenium Olefin Metathesis Catalysts: Development of Highly Efficient Catalysts for Ethenolysis. J. Am. Chem. Soc. 2023, 145, 25010–25021. [Google Scholar] [CrossRef]
- Afanaseva, A.V.; Vinogradov, A.A.; Vinogradov, A.A.; Minyaev, M.E.; Pyatakov, D.A.; Tavtorkin, A.N.; Bagrov, V.V.; Ivchenko, P.V.; Nifant’ev, I.E. The Impact of Ligand Structure and Reaction Temperature on Ethenolysis of Fatty Acid Methyl Esters Catalyzed by Spirocyclic Alkyl Amino Carbene Ru Complexes. ChemSusChem 2025, 18, e202402190. [Google Scholar] [CrossRef]
- Mol, J.C. Industrial applications of olefin metathesis. J. Mol. Catal. A Chem. 2004, 213, 39–45. [Google Scholar] [CrossRef]
- Fürstner, A.; Langemann, K. Macrocycles by Ring-Closing Metathesis. Synthesis 1997, 1997, 792–803. [Google Scholar] [CrossRef]
- Sytniczuk, A.; Dąbrowski, M.; Banach, Ł.; Urban, M.; Czarnocka-Śniadała, S.; Milewski, M.; Kajetanowicz, A.; Grela, K. At Long Last: Olefin Metathesis Macrocyclization at High Concentration. J. Am. Chem. Soc. 2018, 140, 8895–8901. [Google Scholar] [CrossRef]
- Fürstner, A.; Langemann, K. Total Syntheses of (+)-Ricinelaidic Acid Lactone and of (−)-Gloeosporone Based on Transition-Metal-Catalyzed C−C Bond Formations. J. Am. Chem. Soc. 1997, 119, 9130–9136. [Google Scholar] [CrossRef][Green Version]
- Higman, C.S.; Nascimento, D.L.; Ireland, B.J.; Audörsch, S.; Bailey, G.A.; McDonald, R.; Fogg, D.E. Chelate-Assisted Ring-Closing Metathesis: A Strategy for Accelerating Macrocyclization at Ambient Temperatures. J. Am. Chem. Soc. 2018, 140, 1604–1607. [Google Scholar] [CrossRef] [PubMed]
- Fürstner, A. Teaching Metathesis “Simple” Stereochemistry. Science 2013, 341, 1229713. [Google Scholar] [CrossRef] [PubMed]
- Montgomery, T.P.; Johns, A.M.; Grubbs, R.H. Recent Advancements in Stereoselective Olefin Metathesis Using Ruthenium Catalysts. Catalysts 2017, 7, 87. [Google Scholar] [CrossRef]
- Nascimento, D.L.; Foscato, M.; Occhipinti, G.; Jensen, V.R.; Fogg, D.E. Bimolecular Coupling in Olefin Metathesis: Correlating Structure and Decomposition for Leading and Emerging Ruthenium−Carbene Catalysts. J. Am. Chem. Soc. 2021, 143, 11072–11079. [Google Scholar] [CrossRef]
- Jawiczuk, M.; Marczyk, A.; Trzaskowski, B. Decomposition of Ruthenium Olefin Metathesis Catalyst. Catalysts 2020, 10, 887. [Google Scholar] [CrossRef]
- van Lierop, B.J.; Lummiss, J.A.M.; Fogg, D.E. Ring-Closing Metathesis. In Olefin Metathesis: Theory and Practice; Grela, K., Ed.; John Wiley & Sons, Inc.: Hoboken, NJ, USA, 2014; pp. 85–152. [Google Scholar] [CrossRef]
- Nascimento, D.L.; Fogg, D.E. Origin of the Breakthrough Productivity of Ruthenium–Cyclic Alkyl Amino Carbene Catalysts in Olefin Metathesis. J. Am. Chem. Soc. 2019, 141, 19236–19240. [Google Scholar] [CrossRef]
- Fürstner, A.; Thiel, O.R.; Ackermann, L.; Schanz, H.-J.; Nolan, S.P. Ruthenium Carbene Complexes with N,N‘-Bis(mesityl)imidazol-2-ylidene Ligands: RCM Catalysts of Extended Scope. J. Org. Chem. 2000, 65, 2204–2207. [Google Scholar] [CrossRef]
- Dumas, A.; Colombel-Rouen, S.; Curbet, I.; Forcher, G.; Tripoteau, F.; Caijo, F.; Queval, P.; Rouen, M.; Baslé, O.; Mauduit, M. Highly selective macrocyclic ring-closing metathesis of terminal olefins in non-chlorinated solvents at low dilution. Catal. Sci. Technol. 2019, 9, 436–443. [Google Scholar] [CrossRef]
- Sytniczuk, A.; Leszczyn’ska, A.; Kajetanowicz, A.; Grela, K. Preparation of Musk-Smelling Macrocyclic Lactones from Biomass: Looking for the Optimal Substrate Combination. ChemSusChem 2018, 11, 3157–3166. [Google Scholar] [CrossRef]
- Sytniczuk, A.; Forcher, G.; Grotjahn, D.B.; Grela, K. Sequential Alkene Isomerization and Ring-Closing Metathesis in Production of Macrocyclic Musks from Biomass. Chem. Eur. J. 2018, 24, 10403–10408. [Google Scholar] [CrossRef]
- Jiang, A.J.; Zhao, Y.; Schrock, R.R.; Hoveyda, A.H. Highly Z-Selective Metathesis Homocoupling of Terminal Olefins. J. Am. Chem. Soc. 2009, 131, 16630–16631. [Google Scholar] [CrossRef] [PubMed]
- Yu, M.; Wang, C.; Kyle, A.F.; Jakubec, P.; Dixon, D.J.; Schrock, R.R.; Hoveyda, A.H. Synthesis of macrocyclic natural products by catalyst-controlled stereoselective ring-closing metathesis. Nature 2011, 479, 88–93. [Google Scholar] [CrossRef] [PubMed]
- Wang, C.; Yu, M.; Kyle, A.F.; Jakubec, P.; Dixon, D.J.; Schrock, R.R.; Hoveyda, A.H. Efficient and Selective Formation of Macrocyclic Disubstituted Z Alkenes by Ring-Closing Metathesis (RCM) Reactions Catalyzed by Mo- or W-Based Monoaryloxide Pyrrolide (MAP) Complexes: Applications to Total Syntheses of Epilachnene, Yuzu Lactone, Ambrettolide, Epothilone C, and Nakadomarin A. Chem. Eur. J. 2013, 19, 2726–2740. [Google Scholar] [CrossRef]
- Rosebrugh, L.E.; Herbert, M.B.; Marx, V.M.; Keitz, B.K.; Grubbs, R.H. Highly Active Ruthenium Metathesis Catalysts Exhibiting Unprecedented Activity and Z-Selectivity. J. Am. Chem. Soc. 2013, 135, 1276–1279. [Google Scholar] [CrossRef]
- Marx, V.M.; Herbert, M.B.; Keitz, B.K.; Grubbs, R.H. Stereoselective Access to Z and E Macrocycles by Ruthenium-Catalyzed Z-Selective Ring-Closing Metathesis and Ethenolysis. J. Am. Chem. Soc. 2013, 135, 94–97. [Google Scholar] [CrossRef]
- Conrad, J.C.; Eelman, M.D.; Duarte Silva, J.A.; Monfette, S.; Parnas, H.H.; Snelgrove, J.L.; Fogg, D.E. Oligomers as Intermediates in Ring-Closing Metathesis. J. Am. Chem. Soc. 2007, 129, 1024–1025. [Google Scholar] [CrossRef] [PubMed]
- Fürstner, A.; Langemann, K. Conformationally Unbiased Macrocyclization Reactions by Ring Closing Metathesis. J. Org. Chem. 1996, 61, 3942–3943. [Google Scholar] [CrossRef]
- Litinas, K.E.; Salteris, B.E. Unsaturated macrocyclic lactone synthesis via catalytic ring-closing metathesis. J. Chem. Soc. Perkin Trans. I 1997, 2869–2872. [Google Scholar] [CrossRef]
- Goldring, W.P.D.; Hodder, A.S.; Weiler, L. Synthesis of macrocyclic lactams and lactones via ring-closing olefin metathesis. Tetrahedron Lett. 1998, 39, 4955–4958. [Google Scholar] [CrossRef]
- Allinger, N.L.; Yuh, Y.H.; Lii, J.H. Molecular mechanics. The MM3 force field for hydrocarbons. 1. J. Am. Chem. Soc. 1989, 111, 8551–8566. [Google Scholar] [CrossRef]
- Ackermann, L.; Fürstner, A.; Weskamp, T.; Kohl, F.J.; Herrmann, W.A. Ruthenium carbene complexes with imidazolin-2-ylidene ligands allow the formation of tetrasubstituted cycloalkenes by RCM. Tetrahedron Lett. 1999, 40, 4787–4790. [Google Scholar] [CrossRef]
- Lee, C.W.; Grubbs, R.H. Stereoselectivity of Macrocyclic Ring-Closing Olefin Metathesis. Org. Lett. 2000, 2, 2145–2147. [Google Scholar] [CrossRef] [PubMed]
- Fürstner, A.; Ackermann, L.; Beck, K.; Hori, H.; Koch, D.; Langemann, K.; Liebl, M.; Six, C.; Leitner, W. Olefin Metathesis in Supercritical Carbon Dioxide. J. Am. Chem. Soc. 2001, 123, 9000–9006. [Google Scholar] [CrossRef] [PubMed]
- Hon, Y.-S.; Wong, Y.-C.; Chang, C.-P.; Hsieh, C.-H. Tishchenko reactions of aldehydes promoted by diisobutylaluminum hydride and its application to the macrocyclic lactone formation. Tetrahedron 2007, 63, 11325–11340. [Google Scholar] [CrossRef]
- Ekeli, J.B.; Foscato, M.; Blanco, C.O.; Occhipinti, G.; Fogg, D.E.; Jensen, V.R. Enabling Automation of de Novo Catalyst Design: An Experimentally Validated, Multifactor Design Metric for Olefin Metathesis. ACS Catal. 2024, 14, 16731–16747. [Google Scholar] [CrossRef]
- Gawin, R.; Tracz, A.; Chwalba, M.; Kozakiewicz, A.; Trzaskowski, B.; Skowerski, K. Cyclic Alkyl Amino Ruthenium Complexes—Efficient Catalysts for Macrocyclization and Acrylonitrile Cross Metathesis. ACS Catal. 2017, 7, 5443–5449. [Google Scholar] [CrossRef]
- Ablialimov, O.; Kędziorek, M.; Malińska, M.; Woźniak, K.; Grela, K. Synthesis, Structure, and Catalytic Activity of New Ruthenium(II) Indenylidene Complexes Bearing Unsymmetrical N-Heterocyclic Carbenes. Organometallics 2014, 33, 2160–2171. [Google Scholar] [CrossRef]
- Kadyrov, R. Low Catalyst Loading in Ring-Closing Metathesis Reactions. Chem. Eur. J. 2013, 19, 1002–1012. [Google Scholar] [CrossRef]
- Blanco, C.O.; Sims, J.; Nascimento, D.L.; Goudreault, A.Y.; Steinmann, S.N.; Michel, C.; Fogg, D.E. The Impact of Water on Ru-Catalyzed Olefin Metathesis: Potent Deactivating Effects Even at Low Water Concentrations. ACS Catal. 2021, 11, 893–899. [Google Scholar] [CrossRef]
- Tracz, A.; Matczak, M.; Urbaniak, K.; Skowerski, K. Nitro-Grela-type complexes containing iodides—robust and selective catalysts for olefin metathesis under challenging conditions. Beilstein J. Org. Chem. 2015, 11, 1823–1832. [Google Scholar] [CrossRef]
- Nascimento, D.L.; Gawin, A.; Gawin, R.; Guńka, P.A.; Zachara, J.; Skowerski, K.; Fogg, D.E. Integrating Activity with Accessibility in Olefin Metathesis: An Unprecedentedly Reactive Ruthenium-Indenylidene Catalyst. J. Am. Chem. Soc. 2019, 141, 10626–10631. [Google Scholar] [CrossRef]
- Del Vecchio, A.; Talcik, J.; Colombel-Rouen, S.; Lorkowski, J.; Serrato, M.R.; Roisnel, T.; Vanthuyne, N.; Bertrand, G.; Jazzar, R.; Mauduit, M. Highly Robust and Efficient Blechert-Type Cyclic(alkyl)(amino)carbene Ruthenium Complexes for Olefin Metathesis. ACS Catal. 2023, 13, 6195–6202. [Google Scholar] [CrossRef]
- Gawin, R.; Kozakiewicz, A.; Guńka, P.A.; Dąbrowski, P.; Skowerski, K. Bis(Cyclic Alkyl Amino Carbene) Ruthenium Complexes: A Versatile, Highly Efficient Tool for Olefin Metathesis. Angew. Chem. Int. Ed. 2017, 56, 981–986. [Google Scholar] [CrossRef] [PubMed]
- Milewski, M.; Kajetanowicz, A.; Grela, K. Improved preparation of an olefin metathesis catalyst bearing quaternary ammonium tag (FixCat) and its use in ethenolysis and macrocyclization reactions after immobilization on metal-organic framework (MOF). ARKIVOC Online J. Org. Chem. 2021, 2021, 73–84. [Google Scholar] [CrossRef]
- Blanco, C.O.; Nascimento, D.L.; Fogg, D.E. Routes to High-Performing Ruthenium–Iodide Catalysts for Olefin Metathesis: Ligand Lability Is Key to Efficient Halide Exchange. Organometallics 2021, 40, 1811–1816. [Google Scholar] [CrossRef] [PubMed]
- Pederson, R.L.; Johns, A.M. Reactions of Olefin Derivatives in the Presence of Methathesis Catalysts. U.S. Patent 11161104B2, 2 November 2021. [Google Scholar]
- Monfette, S.; Eyholzer, M.; Roberge, D.M.; Fogg, D.E. Getting Ring-Closing Metathesis off the Bench: Reaction-Reactor Matching Transforms Metathesis Efficiency in the Assembly of Large Rings. Chem. Eur. J. 2010, 16, 11720–11725. [Google Scholar] [CrossRef]
- Morvan, J.; McBride, T.; Curbet, I.; Colombel-Rouen, S.; Roisnel, T.; Crévisy, C.; Browne, D.L.; Mauduit, M. Continuous Flow Z-Stereoselective Olefin Metathesis: Development and Applications in the Synthesis of Pheromones and Macrocyclic Odorant Molecules. Angew. Chem. Int. Ed. 2021, 60, 19685–19690. [Google Scholar] [CrossRef]
- Phatake, R.S.; Nechmad, N.B.; Reany, O.; Lemcoff, N.G. Highly Substrate-Selective Macrocyclic Ring Closing Metathesis. Adv. Synth. Catal. 2022, 364, 1465–1472. [Google Scholar] [CrossRef]
- Monfette, S.; Crane, A.K.; Duarte Silva, J.A.; Facey, G.A.; dos Santos, E.N.; Araujo, M.H.; Fogg, D.E. Monitoring ring-closing metathesis: Limitations on the utility of 1H NMR analysis. Inorg. Chim. Acta 2010, 363, 481–486. [Google Scholar] [CrossRef]
- Hagiwara, H.; Nakamura, T.; Okunaka, N.; Hoshi, T.; Suzuki, T. Catalytic Performance of Ruthenium-Supported Ionic-Liquid Catalysts in Sustainable Synthesis of Macrocyclic Lactones. Helv. Chim. Acta 2010, 93, 175–182. [Google Scholar] [CrossRef]
- Morin, É.; Sosoe, J.; Raymond, M.; Amorelli, B.; Boden, R.M.; Collins, S.K. Synthesis of a Renewable Macrocyclic Musk: Evaluation of Batch, Microwave, and Continuous Flow Strategies. Org. Process Res. Dev. 2019, 23, 283–287. [Google Scholar] [CrossRef]
- Rana, R.; Shreya; Upadhyay, R.; Maurya, S.K. Synthesis of Macrocyclic Lactones and Dilactones Using Olive Oil. ACS Omega 2021, 6, 25381–25388. [Google Scholar] [CrossRef] [PubMed]
- Yelchuri, V.; Azmeera, T.; Karuna, M.S.L. Synthesis of lactones from fatty acids by ring-closing metathesis and their biological evaluation. Eur. J. Chem. 2023, 14, 273–279. [Google Scholar] [CrossRef]
- Zhang, H.; Yu, E.C.; Torker, S.; Schrock, R.R.; Hoveyda, A.H. Preparation of Macrocyclic Z-Enoates and (E,Z)-or (Z,E)-Dienoates through Catalytic Stereoselective Ring-Closing Metathesis. J. Am. Chem. Soc. 2014, 136, 16493–16496. [Google Scholar] [CrossRef] [PubMed]
- Menke, M.; Peram, P.S.; Starnberger, I.; Hödl, W.; Jongsma, G.F.M.; Blackburn, D.C.; Rödel, M.-O.; Vences, M.; Schulz, S. Identification, synthesis and mass spectrometry of a macrolide from the African reed frog Hyperolius cinnamomeoventris. Beilstein J. Org. Chem. 2016, 12, 2731–2738. [Google Scholar] [CrossRef]
- Skowerski, K.; Białecki, J.; Tracz, A.; Olszewski, T.K. An attempt to provide an environmentally friendly solvent selection guide for olefin metathesis. Green Chem. 2014, 16, 1125–1130. [Google Scholar] [CrossRef]
- Mukherjee, N.; Marczyk, A.; Szczepaniak, G.; Sytniczuk, A.; Kajetanowicz, A.; Grela, K. A Gentler Touch: Synthesis of Modern Ruthenium Olefin Metathesis Catalysts Sustained by Mechanical Force. ChemCatChem 2019, 11, 5362–5369. [Google Scholar] [CrossRef]
- Grela, K.; Gzarnocka-Gniadla, S.; Gytniczuk, A.; Milewski, M.; Urban, M.; Banach, L.; Dabrowski, M. Production Method of Cyclic Compounds by Olefin Metathesis Reaction and Use of Ruthenium Catalysts in Production of Cyclic Olefines by Olefin Metathesis Reaction. U.S. Patent Application 20200140470A1, 7 May 2020. [Google Scholar]
- Grzesiński, Ł.; Milewski, M.; Nadirova, M.; Kajetanowicz, A.; Grela, K. Unexpected Latency of Z-Stereoretentive Ruthenium Olefin Metathesis Catalysts Bearing Unsymmetrical N-heterocyclic Carbene or Cyclic(alkyl)(amino)carbene Ligands. Organometallics 2023, 42, 2453–2459. [Google Scholar] [CrossRef]
- Ahmed, T.S.; Grubbs, R.H. A Highly Efficient Synthesis of Z-Macrocycles Using Stereoretentive, Ruthenium-Based Metathesis Catalysts. Angew. Chem. Int. Ed. 2017, 56, 11213–11216. [Google Scholar] [CrossRef]
- Ahmed, T.S.; Montgomery, T.P.; Grubbs, R.H. Using stereoretention for the synthesis of E-macrocycles with ruthenium-based olefin metathesis catalysts. Chem. Sci. 2018, 9, 3580–3583. [Google Scholar] [CrossRef]
- Xu, C.; Shen, X.; Hoveyda, A.H. In Situ Methylene Capping: A General Strategy for Efficient Stereoretentive Catalytic Olefin Metathesis. The Concept, Methodological Implications, and Applications to Synthesis of Biologically Active Compounds. J. Am. Chem. Soc. 2017, 139, 10919–10928. [Google Scholar] [CrossRef] [PubMed]
- Illuminati, G.; Mandolini, L. Ring closure reactions of bifunctional chain molecules. Acc. Chem. Res. 1981, 14, 95–102. [Google Scholar] [CrossRef]
- Doss, R.P.; Gould, S.J.; Johnson, K.J.R.; Flath, R.A.; Kohnert, R.L. (Z)-oxacyclotridec-10-en-2-one, an alfalfa weevil feeding deterrent from Medicago rugosa. Phytochemistry 1989, 28, 3311–3315. [Google Scholar] [CrossRef]
- Breen, C.P.; Parrish, C.; Shangguan, N.; Majumdar, S.; Murnen, H.; Jamison, T.F.; Bio, M.M. A Scalable Membrane Pervaporation Approach for Continuous Flow Olefin Metathesis. Org. Process Res. Dev. 2020, 24, 2298–2303. [Google Scholar] [CrossRef]
- Teo, P.; Grubbs, R.H. Facile Synthesis of Effcient and Selective Ruthenium Olefin Metathesis Catalysts with Sulfonate and Phosphate Ligands. Organometallics 2010, 29, 6045–6050. [Google Scholar] [CrossRef]
- Endo, K.; Grubbs, R.H. Chelated Ruthenium Catalysts for Z-Selective Olefin Metathesis. J. Am. Chem. Soc. 2011, 133, 8525–8527. [Google Scholar] [CrossRef]
- Keitz, B.K.; Endo, K.; Patel, P.R.; Herbert, M.B.; Grubbs, R.H. Improved Ruthenium Catalysts for Z-Selective Olefin Metathesis. J. Am. Chem. Soc. 2012, 134, 693–699. [Google Scholar] [CrossRef] [PubMed]
- Khan, R.K.M.; Torker, S.; Hoveyda, A.H. Readily Accessible and Easily Modifiable Ru-Based Catalysts for Efficient and Z-Selective Ring-Opening Metathesis Polymerization and Ring-Opening/Cross-Metathesis. J. Am. Chem. Soc. 2013, 135, 10258–10261. [Google Scholar] [CrossRef]
- Ahmed, T.S.; Grubbs, R.H. Highly Efficient Synthesis of Z-Macrocycles Using Stereoretentive, Ruthenium-Based Metathesis Catalysts. U.S. Patent 11053209B2, 6 July 2021. Available online: https://patents.google.com/patent/US11053209B2 (accessed on 6 April 2025).
- Fürstner, A.; Guth, O.; Rumbo, A.; Seidel, G. Ring Closing Alkyne Metathesis. Comparative Investigation of Two Different Catalyst Systems and Application to the Stereoselective Synthesis of Olfactory Lactones, Azamacrolides, and the Macrocyclic Perimeter of the Marine Alkaloid Nakadomarin A. J. Am. Chem. Soc. 1999, 121, 11108–11113. [Google Scholar] [CrossRef]
- Chołuj, A.; Krzesiński, P.; Ruszczyńska, A.; Bulska, E.; Kajetanowicz, A.; Grela, K. Noncovalent Immobilization of Cationic Ruthenium Complex in a Metal–Organic Framework by Ion Exchange Leading to a Heterogeneous Olefin Metathesis Catalyst for Use in Green Solvents. Organometallics 2019, 38, 3397–3405. [Google Scholar] [CrossRef]
- Clavier, H.; Grela, K.; Kirschning, A.; Mauduit, M.; Nolan, S.P. Sustainable Concepts in Olefin Metathesis. Angew. Chem. Int. Ed. 2007, 46, 6786–6801. [Google Scholar] [CrossRef] [PubMed]
- Kamau, S.D.; Hodge, P.; Hall, A.J.; Dad, S.; Ben-Haida, A. Cyclo-depolymerization of olefin-containing polymers to give macrocyclic oligomers by metathesis and the entropically-driven ROMP of the olefin-containing macrocyclic esters. Polymer 2007, 48, 6808–6822. [Google Scholar] [CrossRef]
- Grzesiński, Ł.; Nadirova, M.; Guschlbauer, J.; Brotons-Rufes, A.; Poater, A.; Kajetanowicz, A.; Grela, K. Preserving precise choreography of bonds in Z-stereoretentive olefin metathesis by using quinoxaline-2,3-dithiolate ligand. Nat. Commun. 2024, 15, 8981. [Google Scholar] [CrossRef]
- Jee, J.-E.; Cheong, J.L.; Lim, J.; Chen, C.; Hong, S.H.; Lee, S.S. Highly Selective Macrocycle Formations by Metathesis Catalysts Fixated in Nanopores. J. Org. Chem. 2013, 78, 3048–3056. [Google Scholar] [CrossRef] [PubMed]
- Lim, J.; Lee, S.S.; Ying, J.Y. Mesoporous silica-supported catalysts for metathesis: Application to a circulating flow reactor. Chem. Commun. 2010, 46, 806–808. [Google Scholar] [CrossRef]
- Ziegler, F.; Teske, J.; Elser, I.; Dyballa, M.; Frey, W.; Kraus, H.; Hansen, N.; Rybka, J.; Tallarek, U.; Buchmeiser, M.R. Olefin Metathesis in Confined Geometries: A Biomimetic Approach toward Selective Macrocyclization. J. Am. Chem. Soc. 2019, 141, 19014–19022. [Google Scholar] [CrossRef]
- Tallarek, U.; Hochstrasser, J.; Ziegler, F.; Huang, X.; Kübel, C.; Buchmeiser, M.R. Olefin Ring-closing Metathesis under Spatial Confinement: Morphology−Transport Relationships. ChemCatChem 2021, 13, 281–292. [Google Scholar] [CrossRef]
- Ziegler, F.; Roider, T.; Pyschik, M.; Haas, C.P.; Wang, D.; Tallarek, U.; Buchmeiser, M.R. Olefin Ring-closing Metathesis under Spatial Confinement and Continuous Flow. ChemCatChem 2021, 13, 2234–2241. [Google Scholar] [CrossRef]
- Emmerling, S.T.; Ziegler, F.; Fischer, F.R.; Schoch, R.; Bauer, M.; Plietker, B.; Buchmeiser, M.R.; Lotsch, B.V. Olefin Metathesis in Confinement: Towards Covalent Organic Framework Scaffolds for Increased Macrocyclization Selectivity. Chem. Eur. J. 2022, 28, e202104108. [Google Scholar] [CrossRef]
- Tsuji, J.; Hashiguchi, S. Metathesis reactions of unsaturated esters catalyzed by homogenous tungsten complexes. Syntheses of civetone and macrolides. J. Organomet. Chem. 1981, 218, 69–80. [Google Scholar] [CrossRef]
- Schrock, R.R.; Hoveyda, A.H. Molybdenum and Tungsten Imido Alkylidene Complexes as Efficient Olefin-Metathesis Catalysts. Angew. Chem. Int. Ed. 2003, 42, 4592–4633. [Google Scholar] [CrossRef] [PubMed]
- Mu, Y.; Hartrampf, F.W.W.; Yu, E.C.; Lounsbury, K.E.; Schrock, R.R.; Romiti, F.; Hoveyda, A.H. E- and Z-trisubstituted macrocyclic alkenes for natural product synthesis and skeletal editing. Nat. Chem. 2022, 14, 640–649. [Google Scholar] [CrossRef]
- Shen, X.; Nguyen, T.T.; Koh, M.J.; Xu, D.; Speed, A.W.H.; Schrock, R.R.; Hoveyda, A.H. Kinetically E-selective macrocyclic ring-closing metathesis. Nature 2017, 541, 380–385. [Google Scholar] [CrossRef]
- Ziegler, F.; Kraus, H.; Benedikter, M.J.; Wang, D.; Bruckner, J.R.; Nowakowski, M.; Weißer, K.; Solodenko, H.; Schmitz, G.; Bauer, M.; et al. Confinement Effects for Efficient Macrocyclization Reactions with Supported Cationic Molybdenum Imido Alkylidene N-Heterocyclic Carbene Complexes. ACS Catal. 2021, 11, 11570–11578. [Google Scholar] [CrossRef]
- Sytniczuk, A.; Milewski, M.; Dąbrowski, M.; Grela, K.; Kajetanowicz, A. Schrock molybdenum alkylidene catalyst enables selective formation of macrocyclic unsaturated lactones by ring-closing metathesis at high-concentration. Green Chem. 2023, 25, 2299–2304. [Google Scholar] [CrossRef]
- Worch, J.C.; Dove, A.P. 100th Anniversary of Macromolecular Science Viewpoint: Toward Catalytic Chemical Recycling of Waste (and Future) Plastics. ACS Macro Lett. 2020, 9, 1494–1506. [Google Scholar] [CrossRef]
- Chen, X.; Wang, Y.; Zhang, L. Recent Progress in the Chemical Upcycling of Plastic Wastes. ChemSusChem 2021, 14, 4137–4151. [Google Scholar] [CrossRef] [PubMed]
- Payne, J.; Jones, M.D. The Chemical Recycling of Polyesters for a Circular Plastics Economy: Challenges and Emerging Opportunities. ChemSusChem 2021, 14, 4041–4070. [Google Scholar] [CrossRef]
- Zheng, J.; Arifuzzaman, M.d.; Tang, X.; Chen, X.C.; Saito, T. Recent development of end-of-life strategies for plastic in industry and academia: Bridging their gap for future deployment. Mater. Horiz. 2023, 10, 1608–1624. [Google Scholar] [CrossRef]
- Schade, A.; Melzer, M.; Zimmermann, S.; Schwarz, T.; Stoewe, K.; Kuhn, H. Plastic Waste Recycling—A Chemical Recycling Perspective. ACS Sustain. Chem. Eng. 2024, 12, 12270–12288. [Google Scholar] [CrossRef]
- Sathe, D.; Yoon, S.; Wang, Z.; Chen, H.; Wang, J. Deconstruction of Polymers through Olefin Metathesis. Chem. Rev. 2024, 124, 7007–7044. [Google Scholar] [CrossRef] [PubMed]
- Garnes-Portolés, F.; Leyva-Pérez, A. Macrocyclization Reactions at High Concentration (≥0.2 M): The Role of Catalysis. ACS Catal. 2023, 13, 9415–9426. [Google Scholar] [CrossRef]
- Foster, J.C.; Dishner, I.T.; Damron, J.T.; Kertesz, V.; Popovs, I.; Saito, T. Toward Efficient Entropic Recycling by Mastering Ring–Chain Kinetics. Macromolecules 2025, 58, 2694–2700. [Google Scholar] [CrossRef]
- Davey, P.N. Preparation of Macrocyclic Lactones. U.S. Patent 10633359B2, 28 April 2020. [Google Scholar]
- Gallin, C.F.; Lee, W.-W.; Byers, J.A. A Simple, Selective, and General Catalyst for Ring Closing Depolymerization of Polyesters and Polycarbonates for Chemical Recycling. Angew. Chem. Int. Ed. 2023, 62, e202303762. [Google Scholar] [CrossRef]
- Anastas, P.; Eghbali, N. Green Chemistry: Principles and Practice. Chem. Soc. Rev. 2010, 39, 301–312. [Google Scholar] [CrossRef]
- Younes, M.; Aquilina, G.; Castle, L.; Engel, K.-H.; Fowler, P.; Fürst, P.; Gürtler, R.; Gundert-Remy, U.; Husøy, T.; Mennes, W.; et al. Re-evaluation of name of hydrogenated poly-1-decene (E 907) as food additive. EFSA J. 2020, 18, e06034. [Google Scholar] [CrossRef]
- Lecomte, P.; Jérôme, C. Recent Developments in Ring-Opening Polymerization of Lactones. Adv. Polym. Sci. 2012, 245, 173–217. [Google Scholar] [CrossRef]
- Li, Z.; Shen, Y.; Li, Z. Ring-Opening Polymerization of Lactones to Prepare Closed-Loop Recyclable Polyesters. Macromolecules 2024, 57, 1919–1940. [Google Scholar] [CrossRef]
- Hodge, P. Entropically Driven Ring-Opening Polymerization of Strainless Organic Macrocycles. Chem. Rev. 2014, 114, 2278–2312. [Google Scholar] [CrossRef]
- Namekawa, S.; Suda, S.; Uyama, H.; Kobayashi, S. Lipase-catalyzed ring-opening polymerization of lactones to polyesters and its mechanistic aspects. Int. J. Biol. Macromol. 1999, 25, 145–151. [Google Scholar] [CrossRef]
- Wang, K.; Li, C.; Man, L.; Zhang, M.; Jia, Y.-G.; Zhu, X.X. Lipase-catalyzed ring-opening polymerization of natural compound-based cyclic monomers. Chem. Commun. 2023, 59, 9182–9194. [Google Scholar] [CrossRef] [PubMed]
- Van der Meulen, I.; de Geus, M.; Antheunis, H.; Deumens, R.; Joosten, E.A.J.; Koning, C.E.; Heise, A. Polymers from Functional Macrolactones as Potential Biomaterials: Enzymatic Ring Opening Polymerization, Biodegradation, and Biocompatibility. Biomacromolecules 2008, 9, 3404–3410. [Google Scholar] [CrossRef]
- Van Der Meulen, I.; Deumens, R.; Heise, A.; Koning, C.E.; Marcus, M.A.E.; Joosten, E.A.J. Process for Preparing Copolyesters, Copolyesters and Their Medical Uses. PCT Patent Application WO2012065745A1, 24 May 2012. [Google Scholar]
- Van der Meulen, I.; Li, Y.; Deumens, R.; Joosten, E.A.J.; Koning, C.E.; Heise, A. Copolymers from Unsaturated Macrolactones: Toward the Design of Cross-Linked Biodegradable Polyesters. Biomacromolecules 2011, 12, 837–843. [Google Scholar] [CrossRef] [PubMed]
- Claudino, M.; Van der Meulen, I.; Trey, S.; Jonsson, M.; Heise, A.; Johansson, M. Photoinduced thiol–ene crosslinking of globalide/ε-caprolactone copolymers: Curing performance and resulting thermoset properties. J. Polym. Sci. A Polym. Chem. 2012, 50, 16–24. [Google Scholar] [CrossRef]
- Ates, Z.; Audouin, F.; Harrington, A.; O’Connor, B.; Heise, A. Functional Brush-Decorated Poly(globalide) Films by ARGET-ATRP for Bioconjugation. Macromol. Biosci. 2014, 14, 1600–1608. [Google Scholar] [CrossRef]
- De Oliveira, F.C.S.; Olvera, D.; Sawkins, M.J.; Cryan, S.-A.; Kimmins, S.D.; da Silva, T.E.; Kelly, D.J.; Duffy, G.P.; Kearney, C.; Heise, A. Direct UV-Triggered Thiol–ene Cross-Linking of Electrospun Polyester Fibers from Unsaturated Poly(macrolactone)s and Their Drug Loading by Solvent Swelling. Biomacromolecules 2017, 18, 4292–4298. [Google Scholar] [CrossRef]
- Chiaradia, V.; Polloni, A.E.; de Oliveira, D.; de Oliveira, J.V.; Araújo, P.H.H.; Sayer, C. Polyester nanoparticles from macrolactones via miniemulsion enzymatic ring-opening polymerization. Coll. Polym. Sci. 2018, 296, 861–869. [Google Scholar] [CrossRef]
- Savin, C.L.; Peptu, C.; Kroneková, Z.; Sedlačík, M.; Mrlik, M.; Sasinková, V.; Peptu, C.A.; Popa, M.; Mosnáček, J. Polyglobalide-Based Porous Networks Containing Poly(ethylene glycol) Structures Prepared by Photoinitiated Thiol–Ene Coupling. Biomacromolecules 2018, 19, 3331–3342. [Google Scholar] [CrossRef]
- Polloni, A.E.; Chiaradia, V.; Figura, E.M.; De Paoli, J.P.; de Oliveira, D.; de Oliveira, J.V.; de Araujo, P.H.H.; Sayer, C. Polyesters from Macrolactones Using Commercial Lipase NS 88011 and Novozym 435 as Biocatalysts. Appl. Biochem. Biotechnol. 2018, 184, 659–672. [Google Scholar] [CrossRef]
- Chiaradia, V.; Hanay, S.B.; Kimmins, S.D.; de Oliveira, D.; Araújo, P.H.H.; Sayer, C.; Heise, A. Crosslinking of Electrospun Fibres from Unsaturated Polyesters by Bis-Triazolinediones (TAD). Polymers 2019, 11, 1808. [Google Scholar] [CrossRef]
- Tinajero-Díaz, E.; de Ilarduya, A.M.; Cavanagh, B.; Heise, A.; Muñoz-Guerra, S. Poly(amino acid)-grafted polymacrolactones. Synthesis, self-assembling and ionic coupling properties. React. Funct. Polym. 2019, 143, 104316. [Google Scholar] [CrossRef]
- Rowley, J.V.; Wall, P.; Yu, H.; Tronci, G.; Devine, D.A.; Vernon, J.J.; Thornton, P.D. Antimicrobial Dye-Conjugated Polyglobalide-Based Organogels. ACS Appl. Polym. Mater. 2020, 2, 2927–2933. [Google Scholar] [CrossRef]
- Guindani, C.; Jaramillo, W.A.G.; Candiotto, G.; Rebelatto, E.A.; Tavares, F.W.; Pinto, J.C.; Ndiaye, P.M.; Nele, M. Synthesis of polyglobalide by enzymatic ring opening polymerization using pressurized fluids. J. Supercrit. Fluids 2022, 186, 105588. [Google Scholar] [CrossRef]
- Guindani, C.; Dozoretz, P.; Veneral, J.G.; da Silva, D.M.; Araújo, P.H.H.; Ferreira, S.R.S.; de Oliveira, D. Enzymatic ring opening copolymerization of globalide and ε-caprolactone under supercritical conditions. J. Supercrit. Fluids 2017, 128, 404–411. [Google Scholar] [CrossRef]
- Guindani, C.; Frey, M.-L.; Simon, J.; Koynov, K.; Schultze, J.; Ferreira, S.R.S.; Araújo, P.H.H.; de Oliveira, D.; Wurm, F.R.; Mailänder, V.; et al. Covalently Binding of Bovine Serum Albumin to Unsaturated Poly(Globalide-co-ε-Caprolactone) Nanoparticles by Thiol-Ene Reactions. Macromol. Biosci. 2019, 19, 1900145. [Google Scholar] [CrossRef]
- Guindani, C.; Dozoretz, P.; Araújo, P.H.H.; Ferreira, S.R.S.; de Oliveira, D. N-acetylcysteine side-chain functionalization of poly(globalide-co-ε-caprolactone) through thiol-ene reaction. Mater. Sci. Eng. C 2019, 94, 477–483. [Google Scholar] [CrossRef]
- Vaida, C.; Keul, H.; Moeller, M. Tailor-made polyesters based on pentadecalactone via enzymatic catalysis. Green Chem. 2011, 13, 889–899. [Google Scholar] [CrossRef]
- Gupta, A.C.; Guindani, C.; Beltrame, J.M.; da Silva, A.; Mayer, D.A.; Rebelatto, E.A.; Oliveira, J.V. High-pressure phase equilibrium data for systems involving carbon dioxide, globalide, ε-caprolactone, poly(globalide-co-ε-caprolactone) and dichloromethane. Fluid Phase Equilibria 2023, 576, 113932. [Google Scholar] [CrossRef]
- Santos, R.D.; Rebelatto, E.A.; Guindani, C.; Madalosso, H.B.; Scorsin, L.; Mayer, D.A.; Oliveira, J.V. Lipase-catalyzed synthesis of poly(ω-pentadecalactone-co-globalide) in supercritical carbon dioxide. J. Supercrit. Fluids 2025, 215, 106409. [Google Scholar] [CrossRef]
- Cupaja, M.N.H.; Guindani, C.; Tavares, F.W.; Ndiaye, P.M. Effect of pressure and monomer concentration on ring-opening enzymatic polymerization of globalide in pressurized propane. J. Supercrit. Fluids 2025, 220, 106508. [Google Scholar] [CrossRef]
- Martínez-Cutillas, A.; León, S.; Oh, S.; Martínez de Ilarduya, A. Enzymatic recycling of polymacrolactones. Polym. Chem. 2022, 13, 1586–1595. [Google Scholar] [CrossRef]
- Martínez Cutillas, A.; Sanz-Serrano, D.; Oh, S.; Ventura, F.; Martínez de Ilarduya, A. Synthesis of Functionalized Triblock Copolyesters Derived from Lactic Acid and Macrolactones for Bone Tissue Regeneration. Macromol. Biosci. 2023, 23, 2300066. [Google Scholar] [CrossRef] [PubMed]
- Pascual, A.; Leiza, J.R.; Mecerreyes, D. Acid catalyzed polymerization of macrolactones in bulk and aqueous miniemulsion: Ring opening vs. condensation. Eur. Polym. J. 2013, 49, 1601–1609. [Google Scholar] [CrossRef]
- Pepels, M.P.F.; Souljé, P.; Peters, R.; Duchateau, R. Theoretical and Experimental Approach to Accurately Predict the Complex Molecular Weight Distribution in the Polymerization of Strainless Cyclic Esters. Macromolecules 2014, 47, 5542–5550. [Google Scholar] [CrossRef]
- Pepels, M.P.F.; Koeken, R.A.C.; van der Linden, S.J.J.; Heise, A.; Duchateau, R. Mimicking (Linear) Low-Density Polyethylenes Using Modified Polymacrolactones. Macromolecules 2015, 48, 4779–4792. [Google Scholar] [CrossRef]
- Fuoco, T.; Meduri, A.; Lamberti, M.; Venditto, V.; Pellecchia, C.; Pappalardo, D. Ring-opening polymerization of ω-6-hexadecenlactone by a salicylaldiminato aluminum complex: A route to semicrystalline and functional poly(ester)s. Polym. Chem. 2015, 6, 1727–1740. [Google Scholar] [CrossRef]
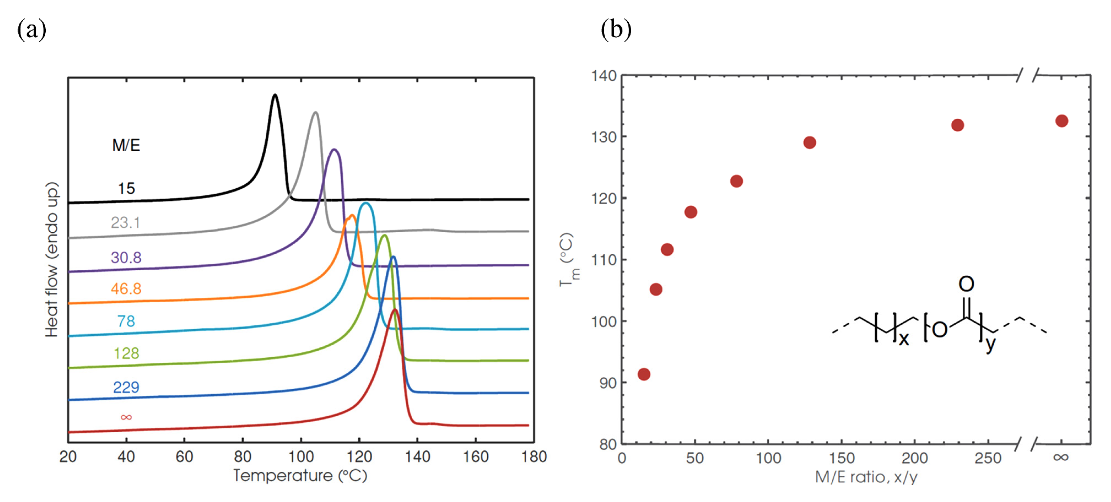
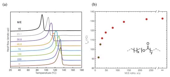
- Sorrentino, A.; Gorrasi, G.; Bugatti, V.; Fuoco, T.; Pappalardo, D. Polyethylene-like macrolactone-based polyesters: Rheological, thermal and barrier properties. Mater. Today Commun. 2018, 17, 380–390. [Google Scholar] [CrossRef]
- Naddeo, M.; D’Auria, I.; Viscusi, G.; Gorrasi, G.; Pellecchia, C.; Pappalardo, D. Tuning the thermal properties of poly(ethylene)-like poly(esters) by copolymerization of ε-caprolactone with macrolactones, in the presence of a pyridylamidozinc(II) complex. J. Polym. Sci. 2020, 58, 528–539. [Google Scholar] [CrossRef]
- Slivniak, R.; Domb, A.J. Macrolactones and Polyesters from Ricinoleic Acid. Biomacromolecules 2005, 6, 1679–1688. [Google Scholar] [CrossRef]
- Nakornkhet, C.; Kamavichanurat, S.; Joopor, W.; Hormnirun, P. Controlled ring-opening (co)polymerization of macrolactones: A pursuit for efficient aluminum-based catalysts. Polym. Chem. 2024, 15, 1660–1679. [Google Scholar] [CrossRef]
- Ebata, H.; Toshima, K.; Matsumura, S. Lipase-Catalyzed Synthesis and Curing of High-Molecular-Weight Polyricinoleate. Macromol. Biosci. 2007, 7, 798–803. [Google Scholar] [CrossRef]
- Yamamoto, A.; Nemoto, K.; Yoshida, M.; Tominaga, Y.; Imai, Y.; Ata, S.; Takenaka, Y.; Abe, H.; Sato, K. Improving thermal and mechanical properties of biomass-based polymers using structurally ordered polyesters from ricinoleic acid and 4-hydroxycinnamic acids. RSC Adv. 2020, 10, 36562–36570. [Google Scholar] [CrossRef] [PubMed]
- Tonta, M.M.; Sezer, U.A.; Olmez, H.; Gurek, A.G.; Sezer, S. Cost-effective synthesis of polyricinoleate: Investigation of coating characteristics, in vitro degradation, and antibacterial activity. J. Appl. Polym. Sci. 2019, 136, 48172. [Google Scholar] [CrossRef]
- Vadgama, R.N.; Odaneth, A.A.; Lali, A.M. New synthetic route for polyricinoleic acid with Tin(II) 2-ethylhexanoate. Heliyon 2019, 5, e01944. [Google Scholar] [CrossRef]
- Wang, L.; Yuan, H.; Ma, X.; Li, Z.; Sun, H.; Zhang, X.; Huang, X.; Peng, Q.; Tan, Y. Synthesis of high molecular weight poly(ricinoleic acid) via direct solution polycondensation in hydrophobic ionic liquids. RSC Sustain. 2024, 2, 2541–2548. [Google Scholar] [CrossRef]
- Gautrot, J.E.; Zhu, X.X. High molecular weight bile acid and ricinoleic acid-based copolyesters via entropy-driven ring-opening metathesis polymerisation. Chem. Commun. 2008, 1674–1676. [Google Scholar] [CrossRef]
- Ogawa, R.; Hillmyer, M.A. High molar mass poly(ricinoleic acid) via entropy-driven ring-opening metathesis polymerization. Polym. Chem. 2021, 12, 2253–2257. [Google Scholar] [CrossRef]
- Pepels, M.P.F.; Hansen, M.R.; Goossens, H.; Duchateau, R. From Polyethylene to Polyester: Influence of Ester Groups on the Physical Properties. Macromolecules 2013, 46, 7668–7677. [Google Scholar] [CrossRef]
- Martínez, A.; Zárate-Saldaña, D.; Vargas, J.; Santiago, A.A. Unsaturated Copolyesters from Macrolactone/Norbornene: Toward Reaction Kinetics of Metathesis Copolymerization Using Ruthenium Carbene Catalysts. Int. J. Mol. Sci. 2022, 23, 4521. [Google Scholar] [CrossRef]
- Martínez, A.; Tlenkopatchev, M.A.; Gutiérrez, S. The Unsaturated Polyester Via Ring-Opening Metathesis Polymerization (ROMP) of ω-6-Hexadecenlactone. Curr. Org. Synth. 2018, 15, 566–571. [Google Scholar] [CrossRef]
- Ates, Z.; Thornton, P.D.; Heise, A. Side-chain functionalisation of unsaturated polyesters from ring-opening polymerisation of macrolactones by thiol–ene click chemistry. Polym. Chem. 2011, 2, 309–312. [Google Scholar] [CrossRef]
- Ates, Z.; Heise, A. Functional films from unsaturated poly(macrolactones) by thiol–ene cross-linking and functionalisation. Polym. Chem. 2014, 5, 2936–2941. [Google Scholar] [CrossRef]
- Tinajero-Díaz, E.; de Ilarduya, A.M.; Muñoz-Guerra, S. Copolymacrolactones Grafted with l-Glutamic Acid: Synthesis, Structure, and Nanocarrier Properties. Polymers 2020, 12, 995. [Google Scholar] [CrossRef]
- Tinajero-Díaz, E.; de Ilarduya, A.M.; Muñoz-Guerra, S. Block and Graft Copolymers Made of 16-Membered Macrolactones and l-Alanine: A Comparative Study. Macromol. Chem. Phys. 2019, 220, 1900214. [Google Scholar] [CrossRef]
- Polloni, A.E.; Chiaradia, V.; do Amaral, R.J.F.C.; Kearney, C.; Gorey, B.; de Oliveira, D.; de Oliveira, J.V.; de Araújo, P.H.H.; Sayer, C.; Heise, A. Polyesters with main and side chain phosphoesters as structural motives for biocompatible electrospun fibres. Polym. Chem. 2020, 11, 2157–2165. [Google Scholar] [CrossRef]
- Guindani, C.; Candiotto, G.; Araújo, P.H.H.; Ferreira, S.R.S.; de Oliveira, D.; Wurm, F.R.; Landfester, K. Controlling the biodegradation rates of poly(globalide-co-ε-caprolactone) copolymers by post polymerization modification. Polym. Degrad. Stab. 2020, 179, 109287. [Google Scholar] [CrossRef]
- Beltrame, J.M.; Ribeiro, B.B.P.; Guindani, C.; Candiotto, G.; Felipe, K.B.; Lucas, R.; D’Agostini Zottis, A.; Isoppo, E.; Sayer, C.; de Araújo, P.H.H. Coating of SPIONs with a Cysteine-Decorated Copolyester: A Possible Novel Nanoplatform for Enzymatic Release. Pharmaceutics 2023, 15, 1000. [Google Scholar] [CrossRef]
- Madalosso, H.B.; Guindani, C.; Maniglia, B.C.; de Araújo, P.H.H.; Sayer, C. Collagen-decorated electrospun scaffolds of unsaturated copolyesters for bone tissue regeneration. J. Mater. Chem. B 2024, 12, 3047–3062. [Google Scholar] [CrossRef]
- Amaral, H.R.; Wilson, J.A.; do Amaral, R.J.F.C.; Pasçu, I.; de Oliveira, F.C.S.; Kearney, C.J.; Freitas, J.C.C.; Heise, A. Synthesis of bilayer films from regenerated cellulose nanofibers and poly(globalide) for skin tissue engineering applications. Carbohydr. Polym. 2021, 252, 117201. [Google Scholar] [CrossRef]
- Sales de Oliveira, F.C.; Correa do Amaral, R.J.F.; Cardoso dos Santos, L.E.; Cummins, C.; Morris, M.M.; Kearney, C.J.; Heise, A. Versatility of unsaturated polyesters from electrospun macrolactones: RGD immobilization to increase cell attachment. J. Biomed. Mater Res. A 2022, 110, 257–265. [Google Scholar] [CrossRef]
- Marxsen, S.F.; Häuβler, M.; Mecking, S.; Alamo, R.G. Unlayered–Layered Crystal Transition in Recyclable Long-Spaced Aliphatic Polyesters. ACS Appl. Polym. Mater. 2021, 3, 5243–5256. [Google Scholar] [CrossRef]
- Häußler, M.; Eck, M.; Rothauer, D.; Mecking, S. Closed-loop recycling of polyethylene-like materials. Nature 2021, 590, 423–427. [Google Scholar] [CrossRef] [PubMed]
- Eck, M.; Mecking, S. Closed-Loop Recyclable and Nonpersistent Polyethylene-like Polyesters. Acc. Chem. Res. 2024, 57, 971–980. [Google Scholar] [CrossRef] [PubMed]









































| n | Time, h | Yield (Recovered Substrate), % | (Z)/(E) Ratio | Calc. (Z)/(E) Ratio 1 |
|---|---|---|---|---|
| 1 | 30 | 11 (41) | 50:50 | 4:96 |
| 2 | 31 | 45 (13) | 18:82 | 1:99 |
| 3 | 20 | 47 (26) | 77:23 | 65:35 |
| 4 | 6 | 75 (5) | 44:56 | 35:65 |
| 5 | 30 | 62 (11) | 1:99 | 4:96 |
| 6 | 20 | 31 (28) | 41:59 | 36:64 |
| 7 | 1.5 | 63 (9) | 27:73 | 41:59 |
| 8 | 31 | 70 (5) | 13:87 | 5:95 |
| 9 | 30 | 0 (66) | – | 35:65 |
| Catalyst | Substr. Conc., mM | Catalyst, mol% | Solvent | Time, h | Т, °С | Conv., % | Yield, % | (Z)/(E) Ratio | Ref. |
|---|---|---|---|---|---|---|---|---|---|
| Ru2 | 10 | 1 | EtOAc | 4 | 70 | – 1 | <5 | 20:80 | [41] |
| Ru3 | 10 | 1 | EtOAc | 4 | 70 | – | <5 | 20:80 | [41] |
| Ru4 | 4.8 | 4 | CH2Cl2 | 24 | 20 | – | 79 | – | [50] |
| Ru4 | 2.7 | 1 | supercritical CO2, d = 0.62 g∙mL−1 | 72 | 40 | – | 88 | – | [56] |
| Ru5 | 5 | 0.05 | C6H6 | 1; 4 | 40 | 12; 31 | 5; 21 | – | [58] |
| Ru6 | 10 | 1 | EtOAc | 4 | 70 | – | 83 | 20:80 | [41] |
| Ru6 | 5 | 0.003; 0.03 | toluene | 40 min | 70 | 17; 99 | 12; 98 | –; 24:76 | [59] |
| Ru7 | 100; 5 | 5 | CH2Cl2 | 0.25; 5 | 40 | 85; 99 | 10; 99 | 28:72 | [49] |
| Ru8 | 10 | 1 | EtOAc | 4 | 70 | – | 79 | 20:80 | [41] |
| Ru9 | 10 | 3 | toluene (in air) | 1.5 | 50 | – | 72 | 23:77 | [60] |
| Ru10 | 8 | 0.0075 | toluene | – | 80 | 100 | 83 | 24:76 | [61] |
| Ru11 | -- | 2 | CH2Cl2 | 19 | 40 | – | 72 | 24:76 | [54] |
| Ru12 | 10 | 1 | EtOAc | 4 | 70 | – | 31 | 20:80 | [41] |
| Ru13 | 5 | 5 | CH2Cl2 | 1 | 22 | – | – | – | [49] |
| Ru14 | 5 | 0.05 | C6H6 | 1; 4 | 40 | 48 | 24; 33 | – | [58] |
| Ru14 | 10 | 1 | EtOAc | 4 | 70 | – | 79 | 20:80 | [41] |
| Ru15 | 10 | 1 | EtOAc | 4 | 70 | – | 42 | 20:80 | [41] |
| Ru15 | 5 | 0.05 | toluene; toluene 0.1% H2O | 2 | 20 | 93; 43 | 87; 30 | 22:78 | [62] |
| Ru15 | 5 | 1; 0.1 | C6H6 | 1 | 20 | 100; 91 | 92; 80 | 22:78 | [33] |
| Ru15 | 5 | 0.3 | toluene with C2H4 rem.; toluene | 2 | 70 | 77; 5 | 54; 4 | 26:74 | [63] |
| Ru15 | 5 | 0.3 | toluene | 0.7 | 70 | 10 | 7 | – | [59] |
| Ru16 | 5 | 0.3 | toluene with C2H4 rem.; toluene | 2 | 70 | 77; 8 | 69; 7 | 29:71 | [63] |
| Ru16 | 5 | 0.3 | toluene | 20 min | 70 | 5 ± 2 | 5 ± 2 | – | [59] |
| Ru16 | 5 | 2.5 | EtOAc | 5 | 80 | 99 | 17 | – | [67] |
| Ru17 | 5 | 0.05 | toluene; toluene 0.1% H2O | 2 | 20 | 92; 72 | 85; 62 | 28:72; 30:70 | [62] |
| Ru17 | 5 | 0.3 | toluene with C2H4 rem.; toluene | 2 | 70 | 98; 87 | 91; 77 | 24:76; 73:27 | [63] |
| Ru18 | 5 | 0.3 | toluene with C2H4 rem.; toluene | 2 | 70 | 90 | 85; 7 | 30:70 | [63] |
| Ru19 | 10 | 1 | EtOAc | 4 | 70 | – | 43 | 20:80 | [41] |
| Ru20 | 10 | 1 | EtOAc | 4 | 70 | – | 70 | 20:80 | [41] |
| Ru21 | 10 | 1 | EtOAc | 4 | 70 | – | 76 | 20:80 | [41] |
| Ru23 | 5 | 0.05 | C6H6 | 1; 4 | 40 | 39; 56 | 29; 40 | – | [58] |
| Ru24 | 8 | 0.0075 | toluene with C2H4 rem. | – | 80 | 100 | 88 | 25:75 | [61] |
| Ru24 | 5 | 0.003 | toluene | 20 min | 70 | ˂1 | ˂0.5 | – | [59] |
| Ru25 | 8 | 0.005 | toluene with C2H4 rem. | – | 80 | 92 | 80 | 24:76 | [61] |
| Ru26 | 10 | 1 | EtOAc | 29 | 70 | – | <5 | [41] | |
| Ru26 | 10 | 1 | EtOAc | 4 | 100 | – | 8 | 20:80 | [41] |
| Ru26 | 10 | 1 | EtOAc; 20 mol% 1 M HCl | 4 | 100 | – | 88/80 2 | 20:80 | [41] |
| Ru26 | 10 | 1 | EtOAc; 10 mol% 1 M HCl | 4 | 100 | – | 90/76 | 30:70 | [41] |
| Ru26 | 10 | 0.1 | EtOAc; 5 mol% 1 M HCl | 4 | 100 | – | 88/76 | 20:80 | [41] |
| Ru26 | 10 | 0.05 | EtOAc; 2.5 mol% 1 M HCl | 4 | 100 | – | 90/78 | 20:80 | [41] |
| Ru26 | 20 | 0.05 | EtOAc; 2.5 mol% 1 M HCl | 4 | 100 | – | 76/67 | 20:80 | [41] |
| Ru26 | 10 | 0.05 | Me-THF; 2.5 mol% 1 M HCl | 4 | 100 | – | 91/73 | 20:80 | [41] |
| Ru26 | 10 | 0.05 | (EtO)2CO; 2.5 mol% 1 M HCl | 4 | 100 | – | 13/7 | 20:80 | [41] |
| Ru26 | 10 | 0.05 | iPrOH; 2.5 mol% 1 M HCl | 4 | 100 | – | 26/20 | 20:80 | [41] |
| Ru27 | 10 | 1 | EtOAc; 2.5 mol% 1 M HCl | 4 | 100 | – | 95/72 | 30:70 | [41] |
| Ru28 | 10 | 1 | EtOAc; 2.5 mol% 1 M HCl | 1 | 100 | – | 93/73 | 40:60 | [41] |
| Ru29 | 10 | 1 | EtOAc; 2.5 mol% 1 M HCl | 1 | 100 | – | 90/70 | 30:70 | [41] |
| Ru30 | 10 | 1 | EtOAc; 2.5 mol% 1 M HCl | 4 | 100 | – | 93/73 | 30:70 | [41] |
| Ru31 | -- | 4 | CH2C12 | 55 | 40 | – | 81 | 24:76 | [54] |
| Ru32 | 5 | 0.05 | toluene 0; 0.01; 0.1 vol.% H2O | 2 | 20 | 91; 49; 3 | 86; 36; 3 | 22:78–33:63 | [62] |
| Ru32 | 5 | 1; 0.1 | C6H6 | 1 | 20 | 100; 95 | 100; 85 | 22:78 | [33] |
| Ru32 | 5 | 0.1 | C6H6 | 0.25 | 60 | 99 | 66 | 24:76 | [33] |
| Ru32 | 5 | 0.05 | C6H6 | 2 | 23 | 75 | 72 | – | [64] |
| Ru35 | 5 | 0.5 | toluene 0; 0.1 vol.% H2O 0.01 bar | 2 | 60 | 68; 31 | 64; 25 | 83:17; 85:15 | [62] |
| Ru37 | 5 | 5 | toluene 0; 0.1 vol.% H2O 0.01 bar | 2 | 60 | 44; 52 | 17; 17 | 75:25; 70:30 | [62] |
| Ru43 | 5 | 0.05 | C6H6 | 1; 4 | 40 | 86; 94 | 80; 90 | – | [58] |
| Ru43 | 5 | 0.003 | toluene | 20 min | 70 | 10 | 10 | – | [59] |
| Ru43 | 5 | 0.05 | toluene | 2 | 80 | 100 | 87 | – | [68] |
| Ru43 | 20 | 0.05 | toluene | 2 | 80 | 100 | 68 | – | [68] |
| Ru44 | 5 | 0.003 | toluene | 20 min | 70 | 6 | 4 | – | [59] |
| Ru45 | 5 | 0.0045 | toluene | 20 min | 70 | 99 | 98 | 34:66 | [59] |
| Ru45 | 10 | 0.0015 | toluene | 20 min | 70 | 94 | 85 | 34:66 | [59] |
| Ru45 | 20 | 0.002 | toluene | 20 min | 70 | 94 | 62 | 36:64 | [59] |
| Ru45 | 5 | 0.01; 0.0045 | C6H6 | 2 | 40; 70 | 100; 99 | 94; 98 | – | [64] |
| Ru46 | 5; 10 | 0.1; 0.05 | toluene | 6 | 80 | 99; 85 | 87; 81 | 30:70 | [65] |
| Ru46 | 10; 25 | 0.01 | toluene | 6 | 80 | 55; 49 | 55; 45 | 30:70 | [65] |
| Ru46 | 50; 100 | 0.01 | toluene | 6 | 80 | 50; 49 | 25; 25 | 30:70 | [65] |
| Ru47 | 5 | 0.005 | toluene | 20 min | 70 | 8 | 8 | – | [59] |
| Ru47 | 5 | 0.025; 0.025 | C6H6 | 2 | 70; 80 | 95; >99 | 91; 83 | – | [64] |
| Ru47 | 5 | 0.025 | toluene | 1 | 75 | 95 | 91 | 35:65 | [66] |
| Ru48 | 5 | 0.01; 0.002 | C6H6 | 2 | 40 | 100; 56 | 92; 55 | – | [64] |
| R1 | n | m | R2 | Cat. | Sub. Conc., mM | Cat., mol% | Solvent | Time, h | Т, °С | Yield, % | (Z)/(E) Ratio | Ref. |
|---|---|---|---|---|---|---|---|---|---|---|---|---|
| H | 3 | 9 | H | Ru4 | 4.8 | 4 | CH2Cl2 | 23 | 20 | 62 | – 1 | [50] |
| H | 2 | 8 | H | Ru4 | – | – | – | 72 | 25 | 22 | – | [32] |
| H | 8 | 2 | H | Ru6 | 3 | – | CH2Cl2 | 40 min | 40 | >99 | 8:92 | [55] |
| H | 8 | 2 | Et | Ru6 | 3 | – | CH2Cl2 | 30 min | 40 | >99 | 9:91 | [55] |
| H | 3 | 9 | H | Ru6 | 5 | 5 | CH2Cl2 | 1 | 40 | 61 | 21:79 | [45] |
| H | 1 | 2 | H | Ru7 | 5; 0.5 | 5 | CH2Cl2 | 1 | 40 | 29; 78 | 0:100 | [49] |
| H | 4 | 2 | H | Ru7 | 5; 0.5 | 5 | CH2Cl2 | 0.5; 0.75 | 40 | 41; 95 | 41:59 | [49] |
| H | 8 | 2 | H | Ru7 | 5 | 5 | CH2Cl2 | 3 | 40 | 94 | 89:11 | [49] |
| H | 1 | 2 | H | Ru7 | 5 | 5 | CH2Cl2 | 30 min | 40 | ~30 | – | [73] |
| H | 8 | 2 | H | Ru10 | 40 | 0.005 | toluene | – | 80 | 30 | 9:91 | [61] |
| H | 2 | 9 | H | Ru10 | 10 | 0.0075 | toluene | – | 80 | 50 | 10:90 | [61] |
| H | 0 | 10 | H | Ru14 | 1 | 5 | CH2Cl2 | 12 | 22 | 87 | 5:95 | [78] |
| H | 7 | –(R)-CH(Me) (CH2)2CH=CH2 | Ru14 | – | – | toluene, C6F6 | – | – | 27 | – | [79] | |
| H | 7 | 5 | Et (Z-) | Ru15 | 1.5 | 2 | toluene 2 | 5 | 50 | 87 3 | 18:82 | [42] |
| n-C8H17 (Z-) | 7 | 5 | Et (Z-) | Ru15 | 1.5 | 2 | toluene 2 | 5 | 50 | 91 3 | 22:78 | [42] |
| n-C8H17 (Z-) | 7 | 5 | Et (Z-) | Ru15 | 1.5 | 2 | EtOAc 2 | 5 | 77 | 91 3 | 19:81 | [42] |
| n-C8H17 (Z-) | 7 | 5 | Et (Z-) | Ru15 | 5 | 1 | EtOAc 2 | 5 | 77 | 90 3 | 19:81 | [42] |
| n-C8H17 (Z-) | 7 | 5 | Et (Z-) | Ru15 | 10 | 1 | EtOAc 2 | 24 | 77 | 81 3 | 19:81 | [42] |
| n-C8H17 (Z-) | 7 | 5 | Et (Z-) | Ru15 | 15 | 1 | EtOAc 2 | 24 | 77 | 48 3 | 20:80 | [42] |
| n-C8H17 (Z-) | 7 | 5 | Et (Z-) | Ru15 | 21 | 0.5 | EtOAc 2 | 24 | 77 | 43 3 | 17:83 | [42] |
| n-C8H17 (Z-) | 7 | 5 | Et (Z-) | Ru15 | 29 | 0.3 | EtOAc 2 | 24 | 77 | 40 3 | 17:83 | [42] |
| n-C8H17 (Z-) | 7 | 5 | Et (Z-) | Ru15 | 40 | 0.1 | EtOAc 2 | 24 | 77 | 35 3 | 20:80 | [42] |
| n-C8H17 (Z-) | 7 | 5 | Et (Z-) | Ru15 | 50 | 0.1 | EtOAc 2 | 24 | 77 | 36 3 | 17:83 | [42] |
| n-C8H17 (Z-) | 7 | 5 | Et (Z-) | Ru15 | 100 | 0.1 | EtOAc 2 | 24 | 77 | 16 3 | 18:82 | [42] |
| H | 7 | 6 | H | Ru15 | 1.5 | 2 | toluene 2 | 5 | 50 | 77 | 31:69 | [42] |
| H | 7 | –(CH2)2CHMe (CH2)2C=CMe2 | Ru15 | 1.5 | 2 | toluene 2 | 5 | 50 | 88 | 15:85 | [42] | |
| H | 7 | –(Z)-CH2C=C(Me) (CH2)2C=CMe2 | Ru15 | 1.5 | 2 | toluene 2 | 5 | 50 | 80 | 24:76 | [42] | |
| H | 7 | –(E)-CH2C=C(Me) (CH2)2C=CMe2 | Ru15 | 1.5 | 2 | toluene 2 | 5 | 50 | 87 | 13:87 | [42] | |
| H | 7 | –(Z)-(CH2)5 CH=CHEt | Ru15 | 1.5 | 2 | toluene 2 | 5 | 50 | 87 | 18:82 | [42] | |
| H | 7 | 4 | H | Ru15 | 1.5 | 2 | toluene 2 | 5 | 50 | 71 | 48:52 | [42] |
| Oleyl (n = 7) | 6 | H | Ru15 | 1.5 | 2 | toluene 2 | 5 | 50 | 90 | 31:69 | [42] | |
| Oleyl (n = 7) | –(CH2)2CHMe (CH2)2C=CMe2 | Ru15 | 1.5 | 2 | toluene 2 | 5 | 50 | 48 | 18:82 | [42] | ||
| Oleyl (n = 7) | –(Z)-CH2C=C(Me) (CH2)2C=CMe2 | Ru15 | 1.5 | 2 | toluene 2 | 5 | 50 | 48 | 25:75 | [42] | ||
| Oleyl (n = 7) | –(E)-CH2C=C(Me) (CH2)2C=CMe2 | Ru15 | 1.5 | 2 | toluene 2 | 5 | 50 | 40 | 16:84 | [42] | ||
| Oleyl (n = 7) | –(Z)-(CH2)5 CH=CHEt | Ru15 | 1.5 | 2 | toluene 2 | 5 | 50 | 91 | 22:78 | [42] | ||
| Oleyl (n = 7) | 4 | H | Ru15 | 1.5 | 2 | toluene 2 | 5 | 50 | 62 | 48:52 | [42] | |
| Me (E-) | 6 | 6 | H | Ru15 | 1.5 | 2 | toluene 2 | 5 | 50 | 84 | 43:57 | [43] |
| H | 7 | 5 | Me (E)- | Ru15 | 1.5 | 2 | toluene 2 | 5 | 50 | 85 | 18:82 | [43] |
| H | 3 | 9 | H | Ru16 | 5 | 0.5 | AcOEt | 70 min | 70 | 99 | 25:75 | [80] |
| Oleyl (n = 7) | 5 | Et (Z-) | Ru17 | 5 | 1 | toluene | 5 | 50 | 80 | 18:82 | [81] | |
| Me (E-) | 6 | 7 | Me (E-) | Ru17 | 1.5 | 2 | toluene 2 | 5 | 50 | 84 | – | [82] |
| Me (E-) | 6 | 5 | Et (Z-) | Ru17 | 1.5 | 2 | toluene 2 | 5 | 50 | 84 | – | [82] |
| Me (E-) | 6 | 8 | H | Ru17 | 1.5 | 2 | toluene 2 | 5 | 50 | 86 | – | [82] |
| H | 7 | 5 | Me (E-) | Ru17 | 1.5 | 2 | toluene 2 | 5 | 50 | 85 | – | [82] |
| H | 8 | 2 | H | Ru24 | 40 | 0.005 | toluene | – | 80 | 25 | 9:91 | [61] |
| H | 8 | 3 | H | Ru24 | 8 | 0.01 | toluene | – | 80 | 12 | – | [61] |
| H | 2 | 9 | H | Ru24 | 10 | 0.0075 | toluene | – | 80 | 56 | 9:91 | [61] |
| H | 8 | 2 | H | Ru25 | 40 | 0.005 | toluene | – | 80 | 26 | 9:91 | [61] |
| H | 2 | 9 | H | Ru25 | 10 | 0.0075 | toluene | – | 80 | 56 | 9:91 | [61] |
| H | 7 | 6 | H | Ru26 | 10 | 1 | EtOAc 4 | 4 | 77 | 70 | – | [41] |
| H | 8 | 6 | H | Ru26 | 10 | 1 | EtOAc 4 | 4 | 77 | 76 | – | [41] |
| H | 8 | 3 | H | Ru26 | 10 | 1 | EtOAc 4 | 4 | 77 | 39 | – | [41] |
| H | 8 | 9 | H | Ru31 | – | 4 | CH2Cl2 | 20 | 40 | 73 | – | [54] |
| H | 7 | 2 | H | Ru35 | 3 | 7.5 | C2H4Cl2 | 24 | 60 | 40 | 86:14 | [48] |
| H | 8 | 2 | H | Ru35 | 3 | 7.5 | C2H4Cl2 | 24 | 60 | 58 | 85:15 | [48] |
| H | 5 | 8 | H | Ru35 | 3 | 7.5 | C2H4Cl2 | 24 | 60 | 71 | 89:11 | [48] |
| H | 3 | 9 | H | Ru35 | 3 | 7.5 | C2H4Cl2 | 24 | 60 | 72 | 84:16 | [48] |
| H | 8 | 8 | H | Ru35 | 3 | 7.5 | C2H4Cl2 | 24 | 60 | 75 | 94:6 | [48] |
| H | 7 | –(R)-CH(Me) (CH2)2CH=CH2 | Ru35 | – | – | toluene, C6F6 | – | – | 38 | 95:5 | [79] | |
| H | 5 | 8 | H | Ru36 | 3 | 7 | C2H4Cl2 | 24 | 60 | 64 | 95:5 | [47] |
| H | 7 | 5 | Et | Ru37 | 3 | 6 | CH2Cl2 | 1 | 40 | – | 95:5 | [83] |
| H | 5 | 3 | Me (Z-) | Ru38 | 3 | 6 | CH2Cl2 | 1 | 40 | 70 | >99:1 | [84] |
| H | 7 | 2 | Et (Z-) | Ru38 | 3 | 6 | CH2Cl2 | 1 | 40 | 98 | 95:5 | [84] |
| H | 8 | 2 | Et (Z-) | Ru38 | 3 | 6 | CH2Cl2 | 1 | 40 | 67 | 95:5 | [84] |
| H | 7 | 3 | Me (Z-) | Ru38 | 3 | 6 | CH2Cl2 | 1 | 40 | 72 | 98:2 | [84] |
| H | 8 | 3 | Et (Z-) | Ru38 | 3 | 6 | CH2Cl2 | 1 | 40 | 74 | 99:1 | [84] |
| H | 8 | 5 | Et (Z-) | Ru38 | 3 | 6 | CH2Cl2 | 1 | 40 | 75 | 95:5 | [84] |
| Me (E-) | 8 | 4 | Me (E-) | Ru39 | 5 | 7.5 | THF | 24 | 35 | 66 3 | 1:99 | [85] |
| Me (E-) | 5 | 3 | Me (E-) | Ru40 | 5 | 7.5 | THF | 5 | 35 | 60 3 | 1:99 | [85] |
| Me (E-) | 7 | 2 | Me (E-) | Ru40 | 5 | 7.5 | THF | 5 | 35 | 75 3 | 1:99 | [85] |
| Me (E-) | 8 | 2 | Me (E-) | Ru40 | 5 | 7.5 | THF | 5 | 35 | 65 3 | 1:99 | [85] |
| Me (E-) | 8 | 3 | Me (E-) | Ru40 | 5 | 7.5 | THF | 5 | 35 | 70 3 | 1:99 | [85] |
| Me (E-) | 7 | 3 | Me (E-) | Ru40 | 5 | 7.5 | THF | 5 | 35 | 67 3 | 1:99 | [85] |
| Me (E-) | 8 | 4 | Me (E-) | Ru40 | 5 | 7.5 | THF | 5 | 35 | 70 3 | 1:99 | [85] |
| Me (E-) | 8 | 6 | Me (E-) | Ru40 | 5 | 7.5 | THF | 5 | 35 | 63 3 | 1:99 | [85] |
| H | 3 | 9 | H | Ru40 | 100/5 5 | 4 | THF | 12 | 35 | 56 | 96:4 | [86] |
| H | 6 | 4 | H | Ru40 | 100/5 5 | 4 | THF | 12 | 35 | 67 | 98:2 | [86] |
| H | 4 | 7 | H | Ru40 | 100/5 5 | 4 | THF | 12 | 35 | 86 | 98:2 | [86] |
| H | 4 | 8 | H | Ru40 | 100/5 5 | 4 | THF | 12 | 35 | 70 | 98:2 | [86] |
| H | 6 | 9 | H | Ru40 | 100/5 5 | 4 | THF | 12 | 35 | 65 | 98:2 | [86] |
| H | 8 | 9 | H | Ru40 | 100/5 5 | 4 | THF | 12 | 35 | 60 | 96:4 | [86] |
| H | 7 | 5 | Et (Z-) | Ru41 | 3 | 6 | CH2Cl2 | 1 | 40 | <5 | – | [83] |
| H | 7 | 8 | Me | Ru42 | 20 | 2 | toluene | 1 | 100 | 83 | 9:91 | [72] |
| H | 2 | 7 | Me | Ru42 | 20 | 2 | toluene | 1 | 100 | 32 | 24:76 | [72] |
| H | 2 | 8 | Me | Ru42 | 20 | 2 | toluene | 1 | 100 | 40 | 10:90 | [72] |
| H | 3 | 8 | Me | Ru42 | 20 | 2 | toluene | 1 | 100 | 48 | 34:66 | [72] |
| H | 4 | 8 | Me | Ru42 | 20 | 2 | toluene | 1 | 100 | 52 | 14:86 | [72] |
| H | 7 | 5 | Me | Ru42 | 20 | 2 | toluene | 1 | 100 | 55 | 24:76 | [72] |
| H | 3 | 10 | Me | Ru42 | 20 | 2 | toluene | 1 | 100 | 71 | 14:86 | [72] |
| H | 4 | 10 | Me | Ru42 | 20 | 2 | toluene | 1 | 100 | 68 | 17:83 | [72] |
| H | 7 | 7 | Me | Ru42 | 20 | 2 | toluene | 1 | 100 | 75 | 15:85 | [72] |
| H | 4 | 11 | Me | Ru42 | 20 | 2 | toluene | 1 | 100 | 81 | 6:94 | [72] |
| H | 5 | 11 | Me | Ru42 | 20 | 2 | toluene | 1 | 100 | 78 | 28:72 | [72] |
| H | 7 | 10 | Me | Ru42 | 20 | 2 | toluene | 1 | 100 | 62 | 19:81 | [72] |
| H | 7 | 11 | Me | Ru42 | 20 | 2 | toluene | 1 | 100 | 59 | 27:73 | [72] |
| n | R | Cat | Cat. mol% | Diluent | Yield, % | Sel., % | (Z)/(E) Ratio |
|---|---|---|---|---|---|---|---|
| 5 | Et | Ru53 | 0.5 | paraffin oil | 97 | 94 | 24/66 |
| 5 | Et | Ru53 | 0.5 | paraffin wax | 91 | 86 | 24/66 |
| 5 | Et | Ru53 | 0.5 | polyethylene | 26 | 92 | 22/78 |
| 5 | Et | Ru53 | 0.5 | ionic liquid 1 | 33 | 77 | 23/77 |
| 5 | Et | Ru53 | 0.5 | PAO4 2 | 97 | 96 | 23/77 |
| 5 | Et | Ru53 | 0.5 | PAO6 3 | 99 | 95 | 23/77 |
| 2 | H | Ru52 | 2 | PAO6 | 73 | 96 | 22/78 |
| –CH2CHMe(CH2)2C=CMe2 | Ru53 | 2 | paraffin | 56 | 92 | 19/81 | |
| 5 | H | Ru53 | 0.5 | paraffin | 60 | 93 | 24/66 |
| 6 | H | Ru52 | 1 | PAO6 | 86 | 94 | 32/68 |
| 8 | n-C8H17 | Ru53 | 2 | paraffin | 55 | 81 | 23/77 |
| n | Ring Size | Catalyst | Time, h | Yield, % | (Z)/(E) Ratio |
|---|---|---|---|---|---|
| 2 | 14 | Ru14 | 6 | 74 | 9:91 |
| Ru56a | 83 | 7:93 | |||
| Ru56b | 79 | 8:92 | |||
| Ru56c | 61 | 8:92 | |||
| 4 | 16 | Ru14 | 5 | 53 | 22:78 |
| Ru56a | 96 | 23:77 | |||
| Ru56b | 89 | 23:77 | |||
| Ru56c | 77 | 22.78: | |||
| 8 | 20 | Ru14 | 6 | 29 | 32:68 |
| Ru56a | 62 | 30:70 | |||
| Ru56b | 55 | 29:71 | |||
| Ru56c | 28 | 28:72 | |||
| 9 | 21 | Ru14 | 8 | 19 | 31:69 |
| Ru56a | 68 | 30:70 | |||
| Ru56b | 62 | 30:70 | |||
| Ru56c | 28 | 30:70 |
| Catalyst | Cat. Loading, mol% | Pressure, Torr | Conv., % | Yield, % | (Z)/(E) Ratio |
|---|---|---|---|---|---|
| Ru6 1 | 5 | 760 | 75 | 61 | 21:79 |
| Mo1 | 5 | 760 | 85 | 60 | 22:78 |
| Mo1 | 5 | 7 | 96 | 58 | 21:79 |
| Mo4 | 5 | 760 | 56 | 45 | 70:30 |
| Mo4 | 5 | 7 | 97 | 56 | 77:23 |
| Mo5 | 5 | 7 | 91 | 55 | 72:28 |
| Mo6 | 3 | 7 | 80 | 62 | 85:15 |
| Mo6 | 1.2 | 7 | 75 | 56 | 92:8 |
| W1 | 5 | 7 | 80 | 62 | 91:9 |
| W4 | 5 | 7 | 14 | 10 | 95:5 |
| UM | Comon. (C) | [UM]/[C] Ratio 1,2 | Catalyst (Loading, mg∙g−1) | Reaction Medium | Time, h | T, °C | Yield, % | Mn, kDa | ÐM | Ref. |
|---|---|---|---|---|---|---|---|---|---|---|
| GL | – | – | Novozym 435 3 (21) | toluene | 4 | 60 | ~70 | 24.2 | 1.92 | [129] |
| GL | – | – | Novozym 435 (40) | toluene | 24 | 60 | 80–90 | 24 | 1.9 | [130,131] |
| GL | – | – | Novozym 435 (40) | toluene | 24 | 60 | ~70 | 15 | 2.8 | [132] |
| GL | – | – | Novozym 435 (210) | toluene | 4 | 60 | ~60 | 16 | 2.5 | [133] |
| GL | – | – | Novozym 435 (40) | toluene | 4 | 60 | ~60 | 25 | – | [134] |
| GL | – | – | free Candida antarctica B in sorbitol | C16H34/H2O/em. 4 | 5 | 60 | – | 3.6 | 2.1 | [135] |
| GL | – | – | Novozym 435 | bulk | – | – | – | 6.35 | 3.4 | [136] |
| GL | – | – | NS 88011 (20) | toluene | 2 | 60 | – | 20.9 | 4.7 | [137] |
| GL | – | – | NS 88011 (100) | toluene | 2 | 60 | – | 31.7 | 3.8 | [137] |
| GL | – | – | Novozym 435 (60) | toluene | 4 | 60 | 80 | 20 | 3.5 | [138] |
| GL | – | – | Novozym 435 (210) | toluene | 4 | 60 | 97 | 4.7 | – | [139] |
| GL | – | – | Candida antarctica B on Immobead 150 5 | toluene | 4 | 60 | 69 | 30.7 | 1.38 | [140] |
| GL | – | – | Novozym 435 (60) | sc CO2 6 | 2 | 65 | 85 | 15.2 | 1.66 | [141] |
| GL | – | – | Novozym 435 (60) | sc propane 6 | 2 | 65 | 72 | 16.6 | 2.41 | [141] |
| AL | – | – | Novozym 435 (21) | toluene | 4 | 60 | ~70 | 18.5 | 1.94 | [129] |
| AL | – | – | Novozym 435 (40) | toluene | 24 | 60 | 80–90 | 24 | 1.9 | [130,131] |
| GL | DXO | 9–0.4 wt 1 | Novozym 435 (40) | toluene | 24 | 60 | 80–90 | 11–44 | 1.8–2.5 | [130,131] |
| GL | MeCL | 9–0.4 wt 1 | Novozym 435 (40) | toluene | 24 | 60 | 80–90 | 6–18 | 2.0–2.5 | [130,131] |
| GL | εCL | 0.89–0.11 2 | Novozym 435 (40) | toluene | 24 | 60 | ~70 | 15–23 | 2.4–3.3 | [132] |
| GL | εCL | 0.05–4.3 1 | Novozym 435 (50) | sc CO2 6 | – | 65 | – | up to 25 | – | [142] |
| GL | εCL | 1 1 | Novozym 435 (50) | sc CO2 | 2 | 65 | – | – | – | [143] |
| GL | εCL | 0.1–9 wt 1 | Novozym 435 (50) | sc CO2 | 2 | 65 | – | – | – | [144] |
| AL | CE4O | 3–0.4 wt 1 | Novozym 435 (40) | toluene | 24 | 60 | 80–90 | 8–14 | 1.4–2.0 | [130] |
| AL | PDL | 1:1 1,2 | Novozym 435 (100) | toluene | 24 | 70 | – | 8.2 | – | [145] |
| UM | Comon. (C) | [UM]/[C] Ratio 1,2 | Catalyst (Loading) | Reaction Medium | Time, h | T, °C | Yield, % | MnSEC, kDa | ÐM | Ref. |
|---|---|---|---|---|---|---|---|---|---|---|
| GL | – | – | DBSA 3 (2 mol%) | in bulk | 72 | 80 | >98 | 7.8 | 2.55 | [151] |
| GL | – | – | CF3SO3H (10 mol%) | in bulk | 7 | 80 | >98 | n.d. 4 | n.d. | [151] |
| GL | – | – | DBSA (10 mol%) | H2O/C16H34/em. 5 | 24 | 80 | 88 | 1.4 | – | [151] |
| AL | – | – | DBSA (10 mol%) | in bulk | 24 | 80 | >98 | 6.3 | 2.94 | [151] |
| AL | – | – | CF3SO3H (10 mol%) | in bulk | 7 | 80 | >98 | n.d. | n.d. | [151] |
| AL | – | – | DBSA (10 mol%) | H2O/C16H34/em. | 24 | 80 | 85 | 1.66 | – | [151] |
| AL | – | – | Al1 (1 mol%) | 1 M in toluene | 140 | 100 | >98 | 12.1 | 6.7 | [152] |
| AL | – | – | Al1 (0.2 mol%) | in bulk | 16 | 100 | – | 49 | 2.7 | [153] |
| HL | – | – | Al2 (1 mol%) | xylenes | 27 | 100 | 60 | 15.4 6 | 1.6 | [154] |
| HL | – | – | Al2 (0.4 mol%) | xylenes | 27 | 130 | 60 | 36.3 6 | 1.6 | [154] |
| HL | – | – | Al2 (0.4 mol%) | xylenes | 27 | 130 | 45 | 12.6 6 | 1.8 | [155] |
| HL | – | – | Zn1 (0.5 mol%) | toluene | 24 | 100 | 70 | 12.6 6 | 1.7 | [156] |
| RL | – | – | Me3SiONa (2 mol%) | THF | 114 | 40 | – | 1.4 | 1.1 | [157] |
| HL | εCL | 1 | Al2 (1 mol%) | xylenes | 29 | 100 | 75 | 15.8 6 | 1.6 | [154] |
| HL | εCL | 0.33 | Al2 (1 mol%) | xylenes | 29 | 100 | 60 | 39.2 | 1.8 | [155] |
| HL | εCL | 0.1–1 | Zn1 (0.5 mol%) | toluene | 24 | 100 | 50–70 | 14.7–18.2 | 1.5–1.6 | [156] |
| HL | PDL | 0.1–1 | Zn1 (0.5 mol%) | toluene | 24 | 100 | 42–63 | 12.3–21.4 | 1.5–1.6 | [156] |
| AL | PDL | 0.05–1 | Al1 (0.2 mol%) | in bulk | 16 | 100 | – | 48–87 | 2.2–2.6 | [153] |
| RL | LLA | 0.07–0.2 | Sn(Oct)2 (1.5 wt%) | toluene | 4 | 135 | – | 4.7–9.9 | 1.3–1.5 | [157] |
Disclaimer/Publisher’s Note: The statements, opinions and data contained in all publications are solely those of the individual author(s) and contributor(s) and not of MDPI and/or the editor(s). MDPI and/or the editor(s) disclaim responsibility for any injury to people or property resulting from any ideas, methods, instructions or products referred to in the content. |
© 2025 by the authors. Licensee MDPI, Basel, Switzerland. This article is an open access article distributed under the terms and conditions of the Creative Commons Attribution (CC BY) license (https://creativecommons.org/licenses/by/4.0/).
Share and Cite
Nifant’ev, I.; Afanaseva, A.; Vinogradov, A.; Ivchenko, P. Unsaturated Macrolactones from Renewable Feedstocks: Synthesis, Ring-Opening Polymerization and Application Prospects. Int. J. Mol. Sci. 2025, 26, 5039. https://doi.org/10.3390/ijms26115039
Nifant’ev I, Afanaseva A, Vinogradov A, Ivchenko P. Unsaturated Macrolactones from Renewable Feedstocks: Synthesis, Ring-Opening Polymerization and Application Prospects. International Journal of Molecular Sciences. 2025; 26(11):5039. https://doi.org/10.3390/ijms26115039
Chicago/Turabian StyleNifant’ev, Ilya, Anna Afanaseva, Alexander Vinogradov, and Pavel Ivchenko. 2025. "Unsaturated Macrolactones from Renewable Feedstocks: Synthesis, Ring-Opening Polymerization and Application Prospects" International Journal of Molecular Sciences 26, no. 11: 5039. https://doi.org/10.3390/ijms26115039
APA StyleNifant’ev, I., Afanaseva, A., Vinogradov, A., & Ivchenko, P. (2025). Unsaturated Macrolactones from Renewable Feedstocks: Synthesis, Ring-Opening Polymerization and Application Prospects. International Journal of Molecular Sciences, 26(11), 5039. https://doi.org/10.3390/ijms26115039

