Abstract
Pepper (Capsicum annuum L.) is a popular vegetable in people’s daily lives. During pepper growth, calcium (Ca) is an essential macronutrient, and calcium-transporting ATPase (ACA/ECA) is a vital protein for calcium transport. However, reports on the ACA/ECA gene family in the pepper genome are lacking. Hence, we used various bioinformatics methods to identify the ACA/ECA gene family in pepper. We identified eleven CaACA/ECA-family genes in pepper. The chromosomal distribution, phylogenetic evolution, characteristics, gene collinearity, gene and protein structures, cis-acting elements, and specific expression patterns of CaACA/ECAs were analyzed, revealing evolutionary relationships and correlations between CaACA/ECAs and other species (Arabidopsis, rice, and tomato). The experimental results indicate that CaACA/ECAs are stable and hydrophobic proteins, with each of the eleven CaACA/ECA proteins containing all ten motifs. Eleven CaACA/ECA genes are unevenly distributed on the eight chromosomes, and they substantially differ in the number of exons. We found a close correlation between the ACA/ECAs of pepper, Arabidopsis, and tomato. The CaACA/ECA genes contain various plant-hormone-, growth-, and stress-related cis-acting elements. The qRT-PCR results indicate that the expression levels of the eleven CaACA/ECAs exhibit differential temporal expression patterns under various exogenous Ca2+ concentrations. These results provide a theoretical basis for further studying the function of the pepper ACA/ECA gene family and valuable information for identifying and screening genes for pepper stress tolerance breeding.
1. Introduction
Pepper (Capsicum annuum L.) is a thermophilic and heliophilic vegetable native to South America and one of the main vegetables grown in greenhouses. Pepper is rich in various vitamins and minerals and is a common vegetable in people’s daily lives [1,2]. Calcium (Ca) is an essential macronutrient during pepper growth, playing a central regulatory role in its growth and adaptation to environmental stress [3]. Ca2+ is a conserved and versatile signaling modulator involved in the response to biotic and abiotic stress, immunity, nodulation, and circadian rhythms [4].
Cells activate receptor proteins with high affinity for Ca2+ under stress to maintain the cytoplasmic Ca2+ concentration in a state of equilibrium [5]. Calcium-transporting ATPase, a vital protein for calcium transport, plays a crucial role in regulating plant growth and maintaining the balance of intracellular calcium ions [6]. Ca2+-ATPase catalyzes the hydrolysis of ATP on the inner side of the plasma membrane, releasing energy and driving intracellular calcium ions to be pumped out of the cell or into the endoplasmic reticulum cavity for storage, thereby maintaining a low concentration of Ca2+ for homeostasis in the cell [7]. Calcium-transporting ATPases are classified into two subfamilies according to their amino acid sequences and biochemical features: endoplasmic reticulum calcium-transporting ATPase (ECA) and plasma membrane calcium-transporting ATPase (ACA) [8]. ECA is distributed among the endoplasmic reticulum, vacuolar membrane, and plasma membrane, whereas ACA is found in nearly all membrane systems within the cell [9,10]. The critical functions of the ACA/ECA genes, especially in abiotic stresses, are being uncovered as research progresses. The expression level of AtACA4 increases in Arabidopsis when subjected to salt stress. Expressing AtACA4 in yeast enhances its salt tolerance, indicating that AtACA4 plays a crucial role in Ca2+ signaling during salt stress [11]. The expression levels of AtACA8 and AtACA9 in Arabidopsis seedlings treated with abscisic acid gradually increase [12]. The transcription level of OsACA6 increases in rice under salt stress or abscisic acid treatment, whereas the expression level of OsACA5 markedly increases under salt stress [13,14]. The expression level of GsACA1 is upregulated in wild soybean under salt and alkali stress [15]. Furthermore, ACA and ECA are sensitive to variations in Ca2+ concentration. For instance, the expression levels of the majority of ACA genes in bananas were high when subjected to 2 and 4 mM Ca2+ treatments, whereas their expressions were strongly suppressed under 0 mM Ca2+ and 1 mM Ca2+ treatments [16]. ACA and ECA affect plant growth. For example, the lack of ECA genes in Chinese cabbage leads to slow new leaf growth, as well as the withering and yellowing of leaves [17]. These findings indicate that the ACA/ECA gene family is important in various plants.
The ACA/ECA gene family has been identified and functionally analyzed in various plants. However, reports on the ACA/ECA gene family in the pepper genome are lacking, and studies on the functions of this gene family are limited. As such, we used various bioinformatics methods to identify the ACA/ECA gene family in pepper. Our objectives were to (1) identify the ACA/ECA gene family in the pepper genome, (2) analyze their expression dynamics under various exogenous Ca2+ concentrations, and (3) predict their responses and adaptations to abiotic stresses.
2. Results
2.1. Identification and Analysis of ACA/ECA Gene Family in Pepper
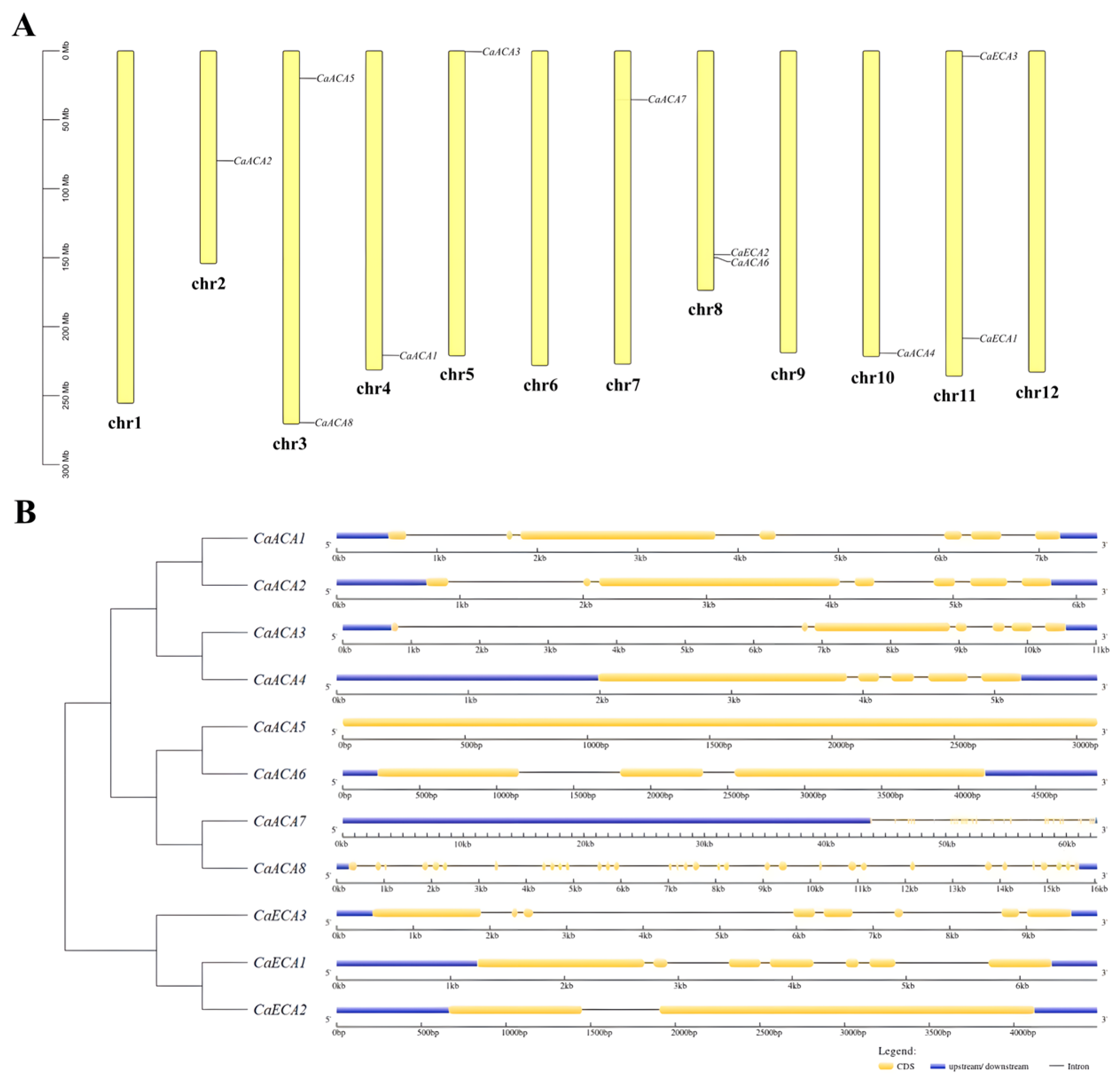
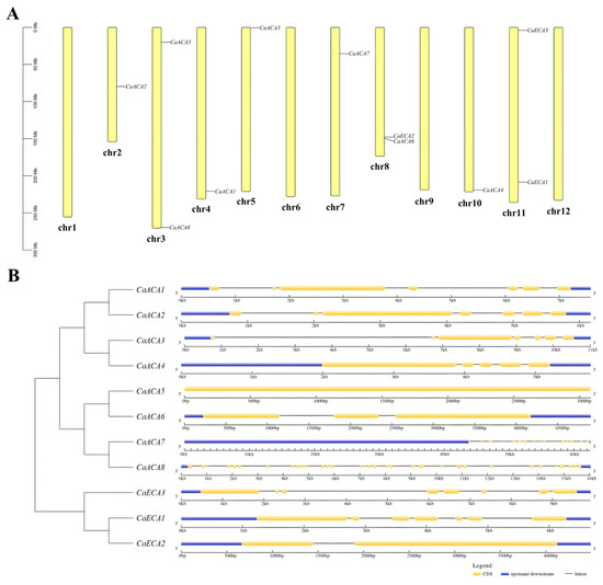
Eleven members of the ACA/ECA gene family were identified in the pepper genome using BlastP analysis. The distribution of these eleven ACA/ECA genes is disproportionate across the eight pepper chromosomes. Chromosome 8 has one ACA and one ECA and chromosome 11 has two ECAs, whereas chromosome 1, 6, 9, and 12 are devoid of any members of this gene family (Figure 1A). We analyzed the structural composition of the CaACA/ECA genes to explore differences in the gene architecture, and we found that the number of exons in all CaACA/ECA genes varies widely, ranging from 1 to 33 (Figure 1B).
Figure 1.
Chromosome distribution and structures of CaACA/ECA genes. (A) CaACA/ECA genes on pepper chromosomes. The yellow rectangular bars represent the pepper chromosomes, and the 0–300 Mb scale represents the chromosome length. The gene ID of CaACA/ECA is highlighted in black for the corresponding chromosome. (B) Exon–intron structures of CaACA/ECA genes.
The results of the bioinformatics profiling of the eleven ACA/ECA genes show that the number of amino acids and molecular weights of CaACA/ECA range from 940 (CaACA4) to 1083 (CaACA7) and 103,249.83 (CaACA4) to 117,887.24 (CaACA8), respectively. The theoretical isoelectric points range from 5.23 (CaECA1) to 8.96 (CaACA5), with an average value of 6.54, which includes eight acidic proteins (pI < 7) and three alkaline proteins (pI > 7). The instability coefficient ranges from 33.07 (CaACA6) to 39.56 (CaECA1), with an average of 36.74 (<40), indicating that CaACA/ECAs are stable proteins. The hydrophilic results indicate that CaACA/ECA proteins are hydrophobic (>0). In addition, the subcellular prediction results of the CaACA/ECA proteins align with the subcellular localization characteristics of its protein family (Table 1).
Table 1.
Detailed information on calcium-transporting ATPase of pepper (CaACA/ECAs).
2.2. Protein Phylogenetic and Gene Collinearity Analyses of ACA/ECA Family from Arabidopsis, Rice, Tomato, and Pepper
Multiple sequence alignments were conducted and the phylogenetic trees of the ACA/ECA proteins isolated from four species were constructed to evaluate the evolutionary development of the ACA/ECA gene family. The ACA/ECA protein family is categorized into five highly conserved evolutionary branches (I–V), comprising twelve, ten, seven, ten, and thirteen ACA/ECA proteins, respectively. Within this classification, CaACA/ECA proteins are distributed across all five clades (Figure 2A).
Figure 2.
The phylogenetic tree of ACA/ECA proteins and the collinear analyses of ACA/ECA genes across plant species. (A) The phylogenetic tree of ACA/ECA proteins from Arabidopsis thaliana, Oryza sativa, Solanum lycopersicum, and Capsicum annuum were constructed using MEGA 11.0.13 software with 1000 bootstrap replications. The triangles represent Arabidopsis thaliana, the circles represent Oryza sativa, the rhombuses represent Solanum lycopersicum, and the squares represent Capsicum annuum. (B) The results of the collinearity analyses of pepper ACA/ECA genes with Arabidopsis, rice, and tomato. The chromosomes are distinctly colored. The gray lines in the background indicate the collinear blocks within pepper and other plant genomes. The red lines connect syntenic ACA/ECA gene pairs.
The collinearity of pepper with Arabidopsis, rice, and tomato was analyzed to understand the phylogenetic affiliations among the ACA/ECA genes of pepper and other plant species. The results of our interspecific collinearity analyses revealed that CaACA/ECA exhibits seven collinear gene pairs with Arabidopsis, one collinear gene pair with rice, and twelve collinear gene pairs with tomato (Figure 2B and Table S1). These results reveal that the genetic relationship of ACA/ECA genes between pepper and dicotyledonous plants is closer than that with monocotyledonous plants, with tomato being the most closely related.
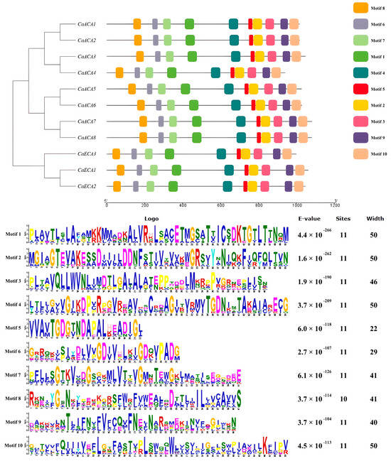
2.3. Conserved Motif Analysis of the CaACA/ECA-Family Proteins
MEME was used to analyze the ten conserved motifs in the CaACA/ECA protein sequences to gain a deeper understanding of the characteristics of the CaACA/ECA proteins. The presence of all ten motifs in each of the eleven CaACA/ECA proteins suggests a high degree of conservation throughout evolutionary history (Figure 3). The results of further analyses revealed that Motif 1 contains a continuously conserved D-K-T-G-T-L-T sequence at its end, Motif 3 contains a continuously conserved L-L-W-V-N sequence, and Motif 7 contains four discontinuous highly conserved glycine (G) residues (Figure 3 and Figure 4). The analysis of the conserved functional domains of the proteins (Figure S1) shows that the three conserved functional domains of the ACA/ECA gene family proteins correspond to three distinct conserved motifs in CaACA/ECA proteins. Specifically, the Haloacid dehalogenase-like hydrolase domain corresponds to Motif 1, the C-terminal cation-transporting ATPase domain corresponds to Motif 3, and the E1-E2 ATPase domain corresponds to Motif 7 [18].
Figure 3.
Conserved motifs and sequences of CaACA/ECAs. Ten conserved motifs of CaACA/ECAs were identified using MEME and are indicated with different colors.
Figure 4.
The multiple sequence alignment of CaACA/ECA proteins conducted using DNAMAN. The conserved motifs are marked by black boxes. The sequences marked in blue are conservative, pink are more conservative, and black are the most conservative.
2.4. Analysis of Cis-Acting Elements in the Promoter of CaACA/ECA Genes
Cis-acting elements are noncoding DNA sequences located in gene-promoter regions, which are important for gene expression and extensively participate in the regulation of various plant growth and development processes [19]. We found that the highest percentage (47.97%) of the CaACA/ECA cis-acting elements is related to the light response. Additionally, plant-hormone-related cis-acting elements, such as auxin response elements (5), methyl jasmonate response elements (30), abscisic acid response elements (19), gibberellin response elements (11), and salicylic acid response elements (8), were identified in the promoter regions of CaACA/ECAs. Plant-growth-related cis-acting elements were also identified in these promoter regions (Figure 5 and Figure S2). These results indicate that the pepper ACA/ECA gene family responds to various hormones or environmental signals.
Figure 5.
Percentage of each cis-acting element in the promoter region of the CaACA/ECA gene. Different cis-acting elements are represented by different colored rectangles.
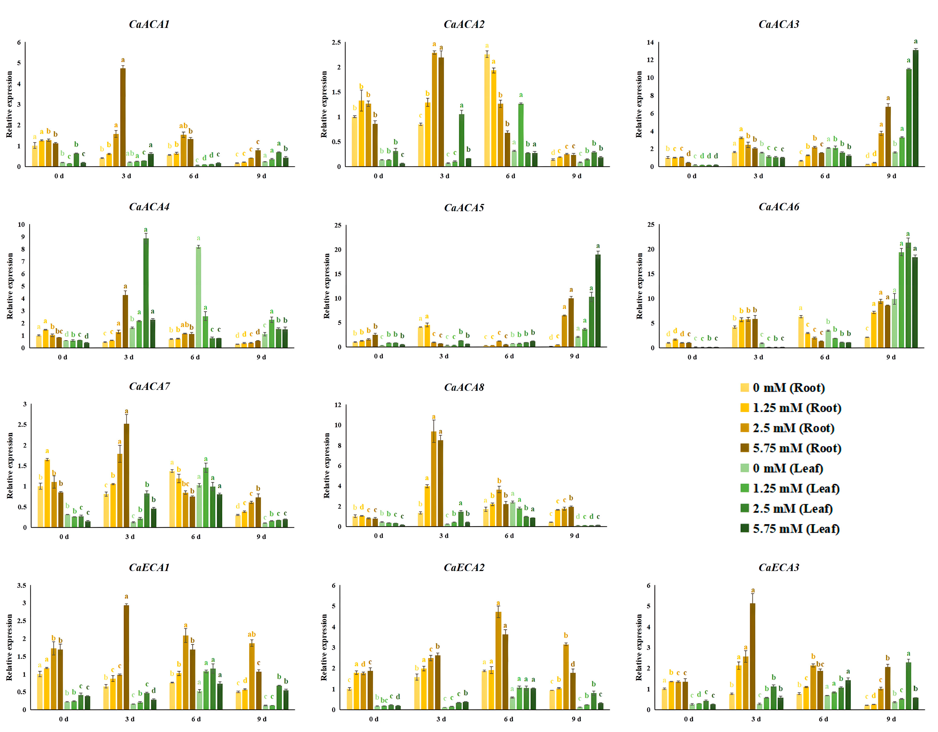
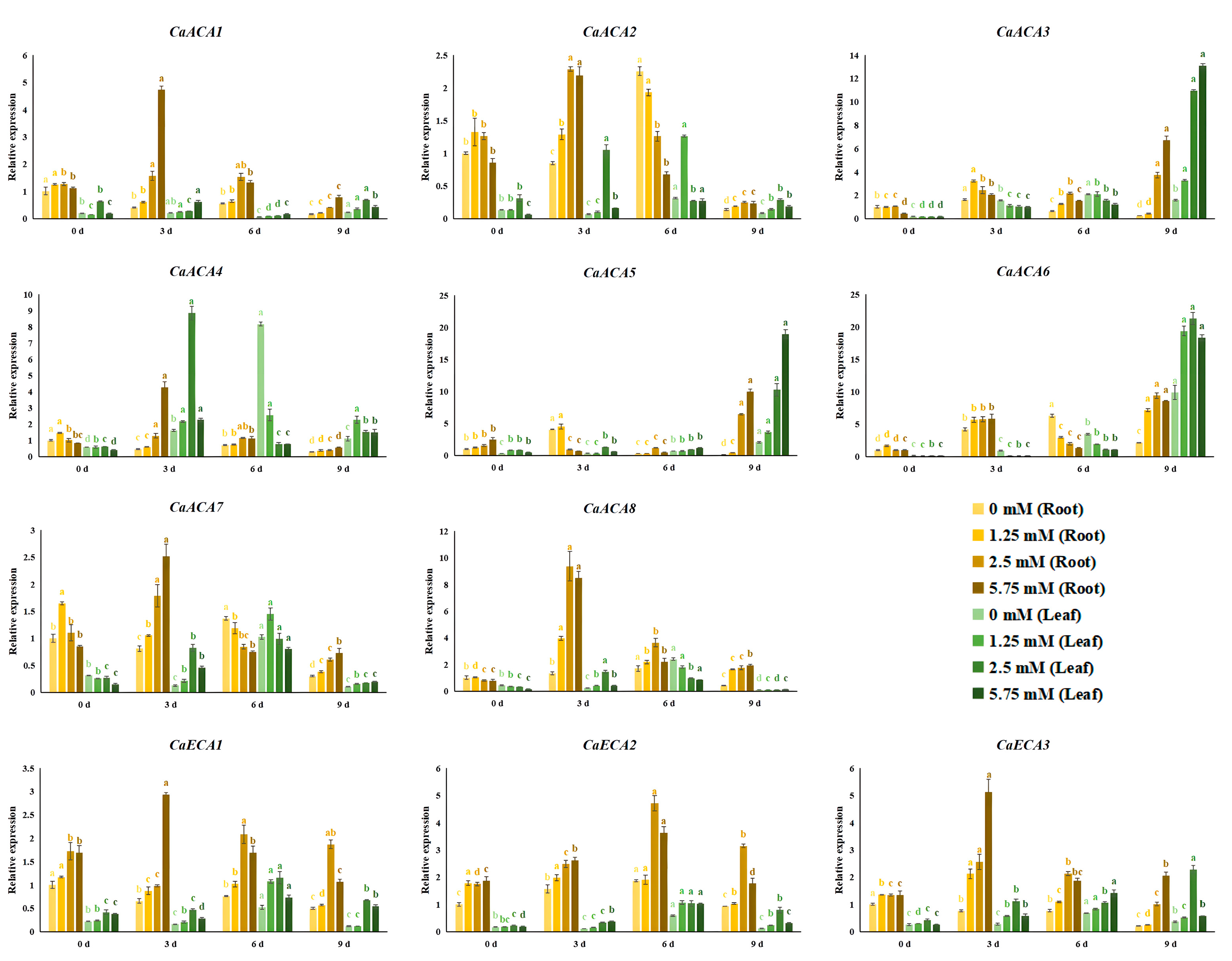
2.5. Expression of CaACA/ECAs Under Various Exogenous Ca2+ Concentrations
We conducted qRT-PCR analyses to investigate the expression dynamics of CaACA/ECA genes under various exogenous Ca2+ concentrations. The results indicate that as the treatment duration increases, the expression levels of most CaACA/ECA genes initially increase and then decrease or exhibit the opposite trend: some CaACA/ECA genes were gradually up- or downregulated. For example, CaACA6 expression was induced by calcium deficiency (0 mM Ca2+), initially increasing and then decreasing in the pepper roots, reaching a peak on the sixth day, while gradually increasing in the leaves. The expressions of CaACA3, CaACA4, CaACA5, and CaACA6 in the leaves were also induced by calcium deficiency, with CaACA3 and CaACA4 exhibiting unimodal trends, whereas CaACA5 and CaACA6 gradually increased. In contrast, the expression level of CaACA5 in the roots initially decreased and then increased under 5.75 mM Ca2+ treatment. Moreover, the expression levels of most of the CaACA/ECA genes recovered to their original levels on the ninth day, lagging behind or exceeding the initial levels, suggesting a possible self-regulation mechanism in plants (Figure 6).
Figure 6.
Expression dynamics of CaACA/ECA genes under various exogenous Ca2+ concentrations. Different letters with the same color indicate significant differences between 0, 3, 6, and 9 d (p < 0.05). The relative expression levels were calculated using the 2−∆∆Ct method with three replicates; β-TUB was used as the reference gene. The root samples from 0 mM Ca2+ treatment on day 0 were used as the control. The values are presented as the means and standard deviations obtained from three biological replicates.
2.6. Expression Analysis of CaACA/ECAs Under ABA Hormone
The ACA/ECA genes of some plants respond to ABA [12,13,14]. We evaluated the expression dynamics under ABA treatment in peppers to investigate whether CaACA/ECAs also respond and adapt to ABA. The qRT-PCR results show that the expression levels of the eleven CaACA/ECAs exhibit different temporal patterns under ABA treatment. The expression levels of CaACA1 and CaACA2 were first upregulated at 3 h and were the highest 6 h after ABA treatment, indicating that CaACA1 and CaACA2 are the most sensitive genes in the adaptation to ABA. After ABA treatment, the expressions of CaACA7, CaECA1, CaECA2, and CaECA3 were upregulated at 3 h and then downregulated, but were then rapidly upregulated again at 24 h. The expressions of CaACA3, CaACA4, CaACA5, CaACA6, and CaACA8 were first downregulated at 3 h and were the lowest at 6 h (Figure 7), suggesting that they might also be influenced by other environmental factors (light, temperature, etc.).
Figure 7.
Expression dynamics of CaACA/ECA genes under ABA treatment. The relative expression levels were calculated using the 2−∆∆Ct method with three replicates; β-TUB was used as a reference gene. The leaves prior to ABA spraying were used as the control (0 h). The values are presented as the means and standard deviations obtained from three biological replicates. Different letters indicate significant differences (p < 0.05).
2.7. Expression Analysis of CaACA/ECAs Under Salt Stress
We conducted qRT-PCR analysis to evaluate the expression dynamics of the eleven identified CaACA/ECA genes to investigate their responses and adaptations to salt stress. The qRT-PCR results indicate that the expression level of CaACA1 was suppressed under NaCl treatment. The expression patterns of CaACA5 in the leaves did not differ over time under NaCl treatment, implying that CaACA5 might not respond to salt stress. Other CaACA/ECA genes were induced at various times after exposure to salt stress, indicating that they are the genes involved in adaptation to salt stress (Figure 8).
Figure 8.
Expression dynamics of CaACA/ECA genes under salt stress. The relative expression levels were calculated using the 2−∆∆Ct method from three replicates; β-TUB was used as the reference gene. The root samples taken before NaCl irrigation were used as the control (0 d). The values are presented as the means and standard deviations obtained from three biological replicates. Different letters within the same color indicate significant differences between 0, 3, 6, and 9 d (p < 0.05).
3. Discussion
Calcium (Ca2+), a secondary macronutrient, acts in plant metabolism through molecular signaling [20]. Maintaining Ca2+ homeostasis is crucial for plants to effectively respond to various environmental stimuli. Calcium-transporting ATPase, as a vital protein for calcium transport, plays important roles in plant signaling pathways, growth and development, and abiotic stress [21]. ER-localized ACA1, ACA2, and ACA7 are crucial for plant growth and pollen fertility [22]. Inhibiting ER-type Ca2+-ATPases with cyclopiazonic acid severely disrupts Ca2+-induced stomatal closure [23,24]. Additionally, the ER-resident Ca2+-ATPase ECA1 is essential for maintaining the cytosolic Ca2+ balance and conferring tolerance to osmotic stress [25]. ACA4 and ACA11 are vital in the tonoplast for flg22-triggered Ca2+ signaling and related defense mechanisms [26]. The ACA/ECA gene family has been identified and functionally analyzed in various plants. However, reports on the ACA/ECA gene family in the pepper genome are lacking, and studies on the functions of this gene family are limited. Thus, investigating ACA/ECA genes in pepper is essential for advancing our understanding of Ca2+ regulation and stress response pathways in plants. In this study, we used various bioinformatics methods to identify the ACA/ECA gene family in pepper, analyze their expression dynamics under various exogenous Ca2+ concentrations, and predict their responses and adaptations to abiotic stresses.
In this study, a total of eleven ACA/ECA family members were identified in the pepper genome. Chromosome localization was analyzed for members of the CaACA/ECA gene family, and the eleven members identified were unevenly distributed on eight chromosomes. CaACA6 and CaECA2 are both located on chromosome 8, and CaECA1 and CaECA3 are both located on chromosome 11 (Figure 1A). Comparing their gene structures showed that CaACA6 and CaECA2, as well as CaECA1 and CaECA3, have similar intron–exon structures, which indirectly confirms that they are closely related evolutionarily. Although notable differences were found in the number of exons among the CaACA/ECA gene family members, the number of exons in the same branch is relatively conserved, and the exon/intron composition patterns are similar. In addition, the CaACA5 gene lacks introns, whereas the other CaACA genes contain at least one intron, indicating that this gene may have lost all its introns during evolution (Figure 1B). The results of the physicochemical property analyses show that the CaACA/ECA proteins differ in length, isoelectric point, molecular weight, and hydrophilicity, suggesting broad functional specificity of the family (Table 1).
The results of the phylogenetic tree analysis suggest that most CaACA/ECA proteins cluster with AtACA/ECA and SlyACA/ECA proteins rather than OsACA/ECA proteins, indicating a strong evolutionary connection between pepper, Arabidopsis, and tomato. We inferred that this is because rice is a monocotyledon, whereas Arabidopsis, pepper, and tomato are dicotyledons (Figure 2A). The collinear relationships of CaACA/ECA among Arabidopsis, rice, and tomato provide insights into the functions of pepper ACA/ECA genes. The interspecific collinearity analyses revealed that CaACA/ECA exhibits seven collinear gene pairs with Arabidopsis, one collinear gene pair with rice, and twelve collinear gene pairs with tomato. Pepper and tomato have the highest number of ACA/ECA collinear gene pairs, likely due to both species being part of the Solanaceae family. In contrast, pepper and rice have only one ACA collinear gene pair, likely because the genetic relationship between the two species is relatively distant (Figure 2B and Table S1). In the phylogenetic tree and collinearity analysis, the collinear genes of ACA/ECA were found to be closely correlated, indicating that they perform similar functions.
Studying the cis-acting regions in gene promoters is crucial for comprehending gene regulation and forecasting gene functionalities [27]. The cis-elements identified in this study can be classified into three major categories: growth and development, the phytohormone response, and the stress response. We found that most of the CaACA/ECA cis-acting elements are related to the light response, indicating that CaACA/ECA genes participate in the complex regulatory networks in the plant response to light. Additionally, plant-hormone- and stress-related cis-acting elements were identified in these promoter regions, accounting for 29.67% and 14.63% of the total, respectively (Figure 5 and Figure S2). Collectively, these results demonstrate that CaACA/ECA gene family members might be transcriptionally regulated by a wide range of developmental processes, multiple hormones, and various stresses, and these data will facilitate the understanding of the regulatory networks of CaACA/ECA genes in various biological processes.
Calcium promotes plant growth and development, as well as enhances fruit yield and quality [3]. Calcium nutrition positively affects pepper growth, photosynthesis, yield, and quality [28,29]. Ca2+ absorption by plant cells involves two processes: uptake and efflux. However, cells cannot indefinitely absorb Ca2+, as an excessively high intracellular Ca2+ concentration can be toxic. Hence, the absorption of Ca2+ by cells also maintains the intracellular Ca2+ balance. This balance is maintained by Ca2+ transporters, specifically ACA/ECAs, which are responsible for either expelling Ca2+ from the cells or pumping it into organelles, such as the endoplasmic reticulum and vacuoles, for storage. This ensures that the intracellular free Ca2+ concentration remains low [30]. The expression levels of the majority of ACA genes in bananas were high when subjected to 2 and 4 mM Ca2+ treatments, whereas their expressions were substantially suppressed under 0 and 1 mM Ca2+ treatments [16]. Bananas might expel Ca2+ from the cells or pump Ca2+ into organelles by upregulating ACA expression. Arabidopsis, an ateca1-1 mutant, displayed Ca2+ deficiency symptoms under 0.2 to 0.4 mM Ca2+ conditions [31]. In this study, the qRT-PCR results show that the expression level patterns of eleven CaACA/ECAs temporally differed under various exogenous Ca2+ concentrations, suggesting that CaACA/ECAs are sensitive to variations in Ca2+ concentration. Under 1.25, 2.5, and 5.75 mM Ca2+ treatments, the expression levels of most of the CaACA/ECA genes peaked on the third or sixth day, whereas some CaACA/ECA genes (CaACA3, CaACA5, and CaACA6) were rapidly upregulated on the ninth day (Figure 6). We speculated that the peppers maintained their intracellular Ca2+ balance by upregulating the expression levels of these genes, and Ca2+ was expelled from the cells or pumped into the endoplasmic reticulum or vacuoles for storage. Further research is needed to confirm this hypothesis.
Exogenous ABA can induce the expressions of ACA/ECA genes to a certain extent. The exogenous application of ABA during the Arabidopsis seedling stage markedly increased the expression levels of AtACA8, AtACA9, and AtACA10 [12,32]. ABA stress in rice strongly activates the expression of OsACA6 [13]. In this study, the expression levels of most of the CaACA/ECA genes were upregulated with different temporal expression patterns after ABA treatment, indicating that CaACA/ECA genes may be involved in the ABA-mediated stress response (Figure 7).
Salt stress inhibits the growth of peppers. For example, 0.2 M NaCl strongly inhibited the germination of pepper seeds and the growth of seedlings [33]. However, the expressions of ACA/ECA genes can be induced by salt stress for adaptations or as part of an adaptation mechanism. The heterologous expression of AtACA2 in yeast strain K616 enhanced its survival rate under 300 mM NaCl stress, indicating that AtACA2 is a salt-tolerance gene [34]. OsACA5 and OsACA6 expression levels substantially increased under salt stress in rice [14]. The expression levels of SlyECA1 notably increased under 50 mM NaCl treatment in tomato [35]. In this study, the qRT-PCR results indicated that most of the CaACA/ECA genes were induced at various times after NaCl stress, indicating that they respond or adapt to salt stress (Figure 8). In addition, CaACA1 and AtACA2 are in the same evolutionary branch; however, the expression level of CaACA1 was suppressed under NaCl treatment, which requires further research to understand.
4. Materials and Methods
4.1. Identification of ACA/ECA Family Members in Pepper
The ACA/ECA family protein sequences were downloaded from the Arabidopsis database (https://www.Arabidopsis.org/, accessed on 19 August 2024) and then aligned using the BlastP function from NCBI (https://blast.ncbi.nlm.nih.gov/Blast.cgi#, accessed on 19 August 2024) within the pepper genome database to identify candidate genes (with parameters E < 1.0 × 10−10 and identity > 40%). Subsequently, to eliminate the sequences lacking conserved domains, the online resources CDD (https://www.ncbi.nlm.nih.gov/cdd, accessed on 19 August 2024) [36] and PFAM (http://pfam.xfam.org, accessed on 19 August 2024) [37] were used to analyze the candidate gene sequences. After the above screening process, the genes that remained were members of the pepper ACA/ECA family. Additionally, protein sequences were analyzed using the online platform ExPASy (http://web.expasy.org/protparam/, accessed on 19 August 2024) to predict the amino acid length, molecular weight, theoretical isoelectric point (pI), overall average hydrophilicity, and other related parameters [38]. Cell-PLoc 2.0 (http://www.csbio.sjtu.edu.cn/bioinf/Cell-PLoc-2/, accessed on 19 August 2024) was used for the subcellular localization prediction of protein sequences [39].
4.2. Chromosomal Location and Gene Structure Analysis
The position of each ACA/ECA gene on the twelve pepper chromosomes was determined from the pepper genome database, and a genetic linkage map was constructed using TBtools [40].
The gene structures of the ACA/ECA family genome sequence and the CDS sequence of pepper were analyzed using online software GSDS 2.0 (http://gsds.cbi.pku.edu.cn, accessed on 20 August 2024) [41].
4.3. Protein Phylogenetic and Gene Collinearity Analyses of ACA/ECA in Arabidopsis, Rice, Tomato, and Pepper
The rice and tomato ACA/ECA family protein sequences were downloaded from NCBI (https://www.ncbi.nlm.nih.gov/, accessed on 20 August 2024). MEGA11 software was used to construct a phylogenetic tree and perform multiple sequence alignment between Arabidopsis, rice, tomato, and pepper ACA/ECA proteins, with 1000 bootstrap replications [42].
The gene annotation files (GFFs) and genome files (FASTAs) for Arabidopsis, rice, tomato, pepper were downloaded from NCBI. Then, TBtools-II software was used to visualize and analyze the collinearity results.
4.4. Conserved Motif Analysis
MEME (http://meme-suite.org/, accessed on 21 August 2024) was used to analyze the conserved motifs of the ACA/ECA family protein sequence in pepper, with a motif count of ten [43]. Finally, TBtools software was used for visual mapping. DNAMAN was used for pepper ACA/ECA protein sequence homology alignment.
4.5. Cis-Acting Elements Analysis
The upstream sequence (2 kb) of the start codon of each gene was extracted to determine the number of cis-elements in the pepper ACA/ECA gene promoter. The cis-elements of these gene promoter regions were analyzed using PlantCARE software (http://bioinformatics.psb.ugent.be/webtools/plantcare/html/, accessed on 21 August 2024) [44]. EXCEL 2016 was used to visualize the results.
4.6. Plant Material and Treatments
Experiments were conducted from July to September 2024 at the Vegetable Research Institute of Beijing Academy of Agricultural and Forestry Sciences (116°29′ E, 39°94′ N) in a solar greenhouse. Pepper cultivar JINGXUAN NO.103 was used as the experimental material. Pepper seeds were sown in a growing medium (peat/vermiculite/perlite = 3:1:1). Following 40 d of growth, the seedlings were subjected to various Ca2+ concentrations (0, 1.25, 2.5, and 5.75 mM) and abiotic stress (100 μM ABA and 0.2 M NaCl) treatments [45].
The seedlings were treated with Hoagland nutrient solution, adjusted to the aforementioned Ca2+ concentrations to investigate the expression dynamics of the ACA/ECA family genes under various exogenous Ca2+ concentrations (the Ca2+ concentration was adjusted using Ca(NO3)2, and the other components were consistent with the Hoagland nutrient solution formula). Leaf and root samples were collected at 0, 3, 6, and 9 d after treatment. The root samples from the 0 mM Ca2+ treatment at 0 d were used as the control. For the ABA treatment, leaf samples were collected at 3, 6, 12, and 24 h after spraying ABA on the leaves. The leaves before ABA spraying were used as the control (0 h). For the NaCl treatment, the seedlings were irrigated with Hoagland nutrient solution containing 0.2 M NaCl. Then, the samples (leaves and roots) were collected at 3, 6, and 9 d after treatment. The root samples taken before NaCl irrigation were used as the control (0 d). Each sample was collected in triplicate as biological replicates. Upon collection, every sample was promptly frozen in liquid nitrogen and kept in an ultra-low-temperature refrigerator at −80 °C for storage until RNA extraction. The components of the Hoagland nutrient solution are listed in Table S2.
4.7. RNA Extraction, cDNA Synthesis, and Quantitative Real-Time PCR
The total RNA was extracted from the plant material using a FastPure Universal Plant Total RNA Isolation Kit (Vazyme, Nanjing, China). Then, 1 μg of total RNA was reverse transcribed to synthesize cDNA using a HiScript III 1st Strand cDNA Synthesis Kit (+gDNA wiper) (Vazyme, Nanjing, China). qRT-PCR assays were performed using a Bio-Rad CFX Opus 96 real-time PCR system (Bio-Rad, Hercules, CA, USA) to acquire the cycle threshold (Ct). The reaction system comprised the following components: SYBR Green Mix (2×) 10.0 μL (TOYOBO, Osaka, Osaka Prefecture, Japan), upstream and downstream primers (0.5 μL each), and 2.0 μL of cDNA, with the volume adjusted to 20.0 μL using ddH2O. For the experiment, three biological replicates were established, and β-TUB was used as the reference gene. The 2−∆∆Ct method was used to calculate the relative gene expression levels [46]. The primers used for qRT-PCR are listed in Table S3.
4.8. Statistical Data Analysis
Multiple comparisons were conducted using PASW Statistics 18 (LSD and Waller–Duncan methods) to test the significance of the differences in the data. EXCEL 2016 was used to analyze the experimental data and generate charts. Different letters in the figures indicate significant differences between the treatments (p < 0.05).
5. Conclusions
In this study, eleven ACA/ECA pepper genes were identified and characterized. The distribution of these eleven ACA/ECA genes is disproportionate across the eight pepper chromosomes. The gene structures in the same evolutionary branch are relatively conserved. The genetic relationship of ACA/ECA genes between pepper and dicotyledonous plants is relatively close. The presence of all ten motifs in each of the eleven CaACA/ECA proteins suggests a high degree of conservation throughout evolutionary history. CaACA/ECA contains various plant-hormone-, growth-, and stress-related cis-acting elements. The qRT-PCR results indicate that CaACA/ECAs are sensitive to variations in Ca2+ concentrations. Most CaACA/ECA genes were induced at various times after ABA treatment and NaCl stress, indicating that they respond or adapt to ABA and salt stress. This study established a theoretical foundation for studying the functions and mechanisms of pepper ACA/ECA genes in plant development and their responses to abiotic stresses.
Supplementary Materials
The following supporting information can be downloaded at: https://www.mdpi.com/article/10.3390/ijms252312822/s1.
Author Contributions
Conceptualization, Y.Q. and J.T.; methodology, J.T. and N.L.; software, Y.Q.; validation, Y.Q.; formal analysis, Y.Q.; investigation, Y.Q.; resources, J.T., N.L., B.W. and Z.W.; data curation, Y.Q. and J.T.; writing—original draft preparation, Y.Q.; writing—review and editing, Y.Q., J.T. and Z.W.; visualization, Y.Q.; supervision, J.T., N.L., B.W. and Z.W.; project administration and funding acquisition, J.T., B.W. and Z.W. All authors have read and agreed to the published version of the manuscript.
Funding
This work was supported by the China Agriculture Research System of the MOF and MARA (CARS-24-B-02), the Beijing Academy of Agriculture and Forestry Science Youth Research Fund (QNJJ202248), and the Innovation and Development Program of Beijing Vegetable Research Center (KYCX202306).
Institutional Review Board Statement
Not applicable.
Informed Consent Statement
Not applicable.
Data Availability Statement
All the other data sets supporting the conclusions of this article are included within the article and its Supplementary Materials.
Conflicts of Interest
The authors declare no conflict of interest.
References
- Pu, K.; Li, N.; Gao, Y.; Zhang, M.; Wang, T.; Xie, J.; Li, J. Alleviating Effects of Methyl Jasmonate on Pepper (Capsicum annuum L.) Seedlings under Low-Temperature Combined with Low-Light Stress. Plants 2024, 13, 2694. [Google Scholar] [CrossRef] [PubMed]
- Li, Y.; Wu, D.; Yu, T.; Liu, B.; Gao, X.; Han, H.; Chen, J.; Zhou, Y.; Yang, Y. A Phytochrome-Interacting Factor Gene CaPIF7a Positively Regulates the Defense Response against Phytophthora capsici Infection in Pepper (Capsicum annuum L.). Agronomy 2024, 14, 2035. [Google Scholar] [CrossRef]
- Hepler, P.K. Calcium: A Central Regulator of Plant Growth and Development. Plant Cell 2005, 17, 2142–2155. [Google Scholar] [CrossRef] [PubMed]
- Dodd, A.N.; Kudla, J.; Sanders, D. The Language of Calcium Signaling. Annu. Rev. Plant Biol. 2010, 61, 593–620. [Google Scholar] [CrossRef]
- Zhang, X.; Shen, Z.D.; Sun, J.; Yu, Y.C.; Deng, S.R.; Li, Z.Y.; Sun, C.H.; Zhang, J.; Zhao, R.; Shen, X.; et al. NaCl-Elicited, Vacuolar Ca2+ Release Facilitates Prolonged Cytosolic Ca2+ Signaling in the Salt Response of Populus Euphratica Cells. Cell Calcium 2015, 57, 348–365. [Google Scholar] [CrossRef]
- Spalding, E.P.; Harper, J.F. The Ins and Outs of Cellular Ca2+ Transport. Curr. Opin. Plant Biol. 2011, 14, 715–720. [Google Scholar] [CrossRef]
- Dang, D.; Prasad, H.; Rao, R. Secretory Pathway Ca2+-ATPases Promote in Vitro Microcalcifications in Breast Cancer Cells. Mol. Carcinog. 2017, 56, 2474–2485. [Google Scholar] [CrossRef]
- Baxter, I.; Tchieu, J.; Sussman, M.R.; Boutry, M.; Palmgren, M.G.; Gribskov, M.; Harper, J.F.; Axelsen, K.B. Genomic Comparison of P-Type ATPase Ion Pumps in Arabidopsis and Rice. Plant Physiol. 2003, 132, 618–628. [Google Scholar] [CrossRef]
- Sze, H.; Liang, F.; Hwang, I.; Curran, A.C.; Harper, J.F. Diversity and Regulation of Plant Ca2+ Pumps: Insights from Expression in Yeast. Annu. Rev. Plant Physiol. Plant Mol. Biol. 2000, 51, 433–462. [Google Scholar] [CrossRef]
- Axelsen, K.B.; Palmgren, M.G. Inventory of the Superfamily of P-Type Ion Pumps in Arabidopsis. Plant Physiol. 2001, 126, 696–706. [Google Scholar] [CrossRef]
- Geisler, M.; Frangne, N.; Gomès, E.; Martinoia, E.; Palmgren, M.G. The ACA4 Gene of Arabidopsis Encodes a Vacuolar Membrane Calcium Pump That Improves Salt Tolerance in Yeast. Plant Physiol. 2000, 124, 1814–1827. [Google Scholar] [CrossRef] [PubMed]
- Cerana, M.; Bonza, M.C.; Harris, R.; Sanders, D.; Michelis, M.I. Abscisic Acid Stimulates the Expression of Two Isoforms of Plasma Membrane Ca2+-ATPase in Arabidopsis thaliana Seedlings. Plant Biol. 2006, 8, 572–578. [Google Scholar] [CrossRef] [PubMed]
- Huda, K.M.K.; Banu, M.S.A.; Garg, B.; Tula, S.; Tuteja, R.; Tuteja, N. OsACA6, a P-Type IIB Ca2+ATPase Promotes Salinity and Drought Stress Tolerance in Tobacco by ROS Scavenging and Enhancing the Expression of Stress-Responsive Genes. Plant J. 2013, 76, 997–1015. [Google Scholar] [CrossRef] [PubMed]
- Singh, A.; Kanwar, P.; Yadav, A.K.; Mishra, M.; Jha, S.K.; Baranwal, V.K.; Pandey, A.; Kapoor, S.; Tyagi, A.K.; Pandey, G.K. Genome-Wide Expressional and Functional Analysis of Calcium Transport Elements during Abiotic Stress and Development in Rice. FEBS J. 2014, 281, 894–915. [Google Scholar] [CrossRef]
- Sun, M.; Jia, B.; Cui, N.; Wen, Y.; Duanmu, H.; Yu, Q.; Xiao, J.; Sun, X.; Zhu, Y. Functional Characterization of a Glycine Soja Ca2+ATPase in Salt–Alkaline Stress Responses. Plant Mol. Biol. 2016, 90, 419–434. [Google Scholar] [CrossRef]
- Ma, R.; Tian, N.; Wang, J.; Fan, M.; Wang, B.; Qu, P.; Xu, S.; Xu, Y.; Cheng, C.; Lü, P. Genome-Wide Identification and Characterization of Banana Ca2+-ATPase Genes and Expression Analysis under Different Concentrations of Ca2+ Treatments. Int. J. Mol. Sci. 2022, 23, 11914. [Google Scholar] [CrossRef]
- Cheng, H.; Su, T.B.; Yu, S.C.; Zhang, F.L.; Yu, Y.J.; Zhang, D.S.; Zhao, X.Y.; Wang, W.H.; Lu, G.X.; Gong, Y.Q.; et al. Expression Analysis of Ca2+ Transport and Response Genes, ECA and CAS, in Cabbage under Calcium Deficiency Condition. Plant Physiol. J. 2015, 51, 566–572. [Google Scholar] [CrossRef]
- Wang, J.; Wu, X.; Liu, Y.; Duan, Q.; Huang, J. Genome-Wide Identification and Expression Analysis of ACA Gene Family in Brassica Rapa. Sci. Agric. Sin. 2021, 54, 4851–4868. [Google Scholar] [CrossRef]
- Lang, Y.H.; Liu, Z. Basic Helix-Loop-Helix (BHLH) Transcription Factor Family in Yellow Horn (Xanthoceras Sorbifolia Bunge): Genome-Wide Characterization, Chromosome Location, Phylogeny, Structures and Expression Patterns. Int. J. Biol. Macromol. 2020, 160, 711–723. [Google Scholar] [CrossRef]
- Souto, A.G.d.L.; Pessoa, A.M.d.S.; Sá, S.A.d.; Sousa, N.R.d.; Barros, E.S.; Morais, F.M.d.S.; Ferreira, F.N.; Silva, W.A.O.d.; Batista, R.O.; Silva, D.V.; et al. Potential of Ca-Complexed in Amino Acid in Attenuating Salt Stress in Sour Passion Fruit Seedlings. Plants 2024, 13, 2912. [Google Scholar] [CrossRef]
- Li, Y.X.; Zhang, C.L.; Geng, L.T.; Chen, Y.Q.; Zhang, L.; Xiang, D.J.; Liu, P. Identification and expression pattern analysis of RcACA gene family in castor under abiotic stresses. Chin. J. Biotech. 2023, 39, 2861–2873. [Google Scholar]
- Ishka, M.R.; Brown, E.; Rosenberg, A.; Romanowsky, S.; Davis, J.A.; Choi, W.-G.; Harper, J.F. Arabidopsis Ca2+-ATPases 1, 2, and 7 in the Endoplasmic Reticulum Contribute to Growth and Pollen Fitness. Plant Physiol. 2021, 185, 1966–1985. [Google Scholar] [CrossRef] [PubMed]
- Huang, S.G.; Shen, L.; Roelfsema, R.G.; Becker, D.; Hedrich, R. Light-Gated Channelrhodopsin Sparks Proton-Induced Calcium Release in Guard Cells. Science 2023, 382, 1314–1318. [Google Scholar] [CrossRef] [PubMed]
- Huang, S.G.; Roelfsema, M.R.G.; Gilliham, M.; Hetherington, A.M.; Hedrich, R. Guard Cells Count the Number of Unitary Cytosolic Ca2+ Signals to Regulate Stomatal Dynamics. Curr. Biol. 2024, 34, 1–8. [Google Scholar] [CrossRef]
- Liang, X.J.; Zhou, Y.L.; Xu, W.F.; Liang, J.S. An Intracellular Calcium Sensory Complex CPKs/ECA1 Controls Cytosolic Calcium Homeostasis for Plant Osmosensitivity. Biorxiv (Cold Spring Harb. Lab.) 2024, 10, 617954. [Google Scholar] [CrossRef]
- Hilleary, R.; Páez-Valencia, J.; Vens, C.S.; Toyota, M.; Palmgren, M.G.; Gilroy, S. Tonoplast-Localized Ca2+ Pumps Regulate Ca2+ Signals during Pattern-Triggered Immunity in Arabidopsis Thaliana. Proc. Natl. Acad. Sci. USA 2020, 117, 18849–18857. [Google Scholar] [CrossRef]
- Hernandez-Garcia, C.M.; Finer, J.J. Identification and Validation of Promoters and Cis-Acting Regulatory Elements. Plant Sci. 2014, 217–218, 109–119. [Google Scholar] [CrossRef]
- Buczkowska, H.; Michalojc, Z.; Wierdak, R.N. Yield and Fruit Quality of Sweet Pepper Depending on Foliar Application of Calcium. Turk. J. Agric. For. 2016, 40, 222–228. [Google Scholar] [CrossRef]
- Sobczak, A.; Pióro-Jabrucka, E.; Gajc-Wolska, J.; Kowalczyk, K. Effect of Salicylic Acid and Calcium on Growth, Yield, and Fruit Quality of Pepper (Capsicum annuum L.) Grown Hydroponically. Agronomy 2024, 14, 329. [Google Scholar] [CrossRef]
- Bush, D.S. Calcium Regulation in Plant Cells and Its Role in Signaling. Annu. Rev. Plant Physiol. Plant Mol. Biol. 1995, 46, 95–122. [Google Scholar] [CrossRef]
- Wu, Z.Y.; Liang, F.M.; Hong, B.; Young, J.C.; Sussman, M.R.; Harper, J.F.; Sze, H. An Endoplasmic Reticulum-Bound Ca2+/Mn2+Pump, ECA1, Supports Plant Growth and Confers Tolerance to Mn2+ Stress. Plant Physiol. 2002, 130, 128–137. [Google Scholar] [CrossRef] [PubMed]
- Schiøtt, M.; Romanowsky, S.M.; Bækgaard, L.; Jakobsen, M.K.; Palmgren, M.G.; Harper, J.F. A Plant Plasma Membrane Ca2+ Pump is Required for Normal Pollen Tube Growth and Fertilization. Proc. Natl. Acad. Sci. USA 2004, 101, 9502–9507. [Google Scholar] [CrossRef] [PubMed]
- Liu, W.; Li, J.W.; Xu, R.X.; Guo, Y.F.; Qi, Y.X.; Yang, Z.; Liu, Y.H. Effect of NaCl Stress on Seed Germination and Seedling Growth of Pepper. Mol. Plant Breed. 2024, 22, 5403–5414. [Google Scholar] [CrossRef]
- Anil, V.S.; Rajkumar, P.; Kumar, P.; Mathew, M.K. A Plant Ca2+ Pump, ACA2, Relieves Salt Hypersensitivity in Yeast. Modulation of Cytosolic Calcium Signature and Activation of Adaptive Na+ Homeostasis. J. Biol. Chem. 2008, 283, 3497–3506. [Google Scholar] [CrossRef]
- Wimmers, L.E.; Ewing, N.N.; Bennett, A.B. Higher Plant Ca2+-ATPase: Primary Structure and Regulation of mRNA Abundance by Salt. Proc. Natl. Acad. Sci. USA 1992, 89, 9205–9209. [Google Scholar] [CrossRef]
- Lu, S.; Wang, J.; Chitsaz, F.; Derbyshire, M.K.; Geer, R.C.; Gonzales, N.R.; Gwadz, M.; Hurwitz, D.I.; Marchler, G.H.; Song, J.S.; et al. CDD/SPARCLE: The conserved domain database in 2020. Nucleic Acids Res. 2020, 48, D265–D268. [Google Scholar] [CrossRef]
- Mistry, J.; Chuguransky, S.; Williams, L.; Qureshi, M.; Salazar, G.A.; Sonnhammer, E.L.L.; Tosatto, S.C.E.; Paladin, L.; Raj, S.; Richardson, L.J.; et al. Pfam: The protein families database in 2021. Nucleic Acids Res. 2021, 49, D412–D419. [Google Scholar] [CrossRef]
- Duvaud, S.; Gabella, C.; Lisacek, F.; Stockinger, H.; Ioannidis, V.; Durinx, C. Expasy, the Swiss Bioinformatics Resource Portal, as Designed by Its Users. Nucleic Acids Res. 2021, 49, W216–W227. [Google Scholar] [CrossRef]
- Chou, K.C.; Shen, H.B. Cell-PLoc 2.0: An Improved Package of Web-Servers for Predicting Subcellular Localization of Proteins in Various Organisms. Nat. Sci. 2010, 2, 1090–1103. [Google Scholar] [CrossRef]
- Chen, C.J.; Wu, Y.H.; Li, J.W.; Wang, X.; Zeng, Z.H.; Xu, J.; Liu, Y.L.; Feng, J.T.; Chen, H.; He, Y.H.; et al. TBtools-II: A “One for All, All for One” Bioinformatics Platform for Biological Big-Data Mining. Mol. Plant 2023, 16, 1733–1742. [Google Scholar] [CrossRef]
- Hu, B.; Jin, J.; Guo, A.Y.; Zhang, H.; Luo, J.; Gao, G. GSDS 2.0: An upgraded gene feature visualization server. Bioinformatics 2015, 31, 1296–1297. [Google Scholar] [CrossRef] [PubMed]
- Yin, X.Y.; He, G.R.; Bi, M.M.; Tang, Y.C.; Hao, C.L.; Qu, Y.X.; Hao, Z.H.; Xu, L.F.; Hu, F.R.; Yang, P.P.; et al. Cloning and Functional Analysis of LlLBD18 in Lilium Lancifolium. Acta Hortic. Sin. 2023, 50, 2117–2127. [Google Scholar] [CrossRef]
- Bailey, T.L.; Williams, N.; Misleh, C.; Li, W.W. MEME: Discovering and Analyzing DNA and Protein Sequence Motifs. Nucleic Acids Res. 2006, 34, W369–W373. [Google Scholar] [CrossRef] [PubMed]
- Lescot, M. PlantCARE, a Database of Plant Cis-Acting Regulatory Elements and a Portal to Tools for in Silico Analysis of Promoter Sequences. Nucleic Acids Res. 2002, 30, 325–327. [Google Scholar] [CrossRef]
- Zhang, Z.; Zhang, J.; Wang, C.; Chang, Y.; Han, K.; Gao, Y.; Xie, J. Characterization of GPX Gene Family in Pepper (Capsicum annuum L.) under Abiotic Stress and ABA Treatment. Int. J. Mol. Sci. 2024, 25, 8343. [Google Scholar] [CrossRef]
- Livak, K.J.; Schmittgen, T.D. Analysis of Relative Gene Expression Data Using Real-Time Quantitative PCR and the 2−ΔΔCT Method. Methods 2001, 25, 402–408. [Google Scholar] [CrossRef]
Disclaimer/Publisher’s Note: The statements, opinions and data contained in all publications are solely those of the individual author(s) and contributor(s) and not of MDPI and/or the editor(s). MDPI and/or the editor(s) disclaim responsibility for any injury to people or property resulting from any ideas, methods, instructions or products referred to in the content. |
© 2024 by the authors. Licensee MDPI, Basel, Switzerland. This article is an open access article distributed under the terms and conditions of the Creative Commons Attribution (CC BY) license (https://creativecommons.org/licenses/by/4.0/).







