Water as a Structural Marker in Gelatin Hydrogels with Different Cross-Linking Nature
Abstract
1. Introduction
2. Results and Discussion
2.1. Current Conceptions on Geletin Gels Structure
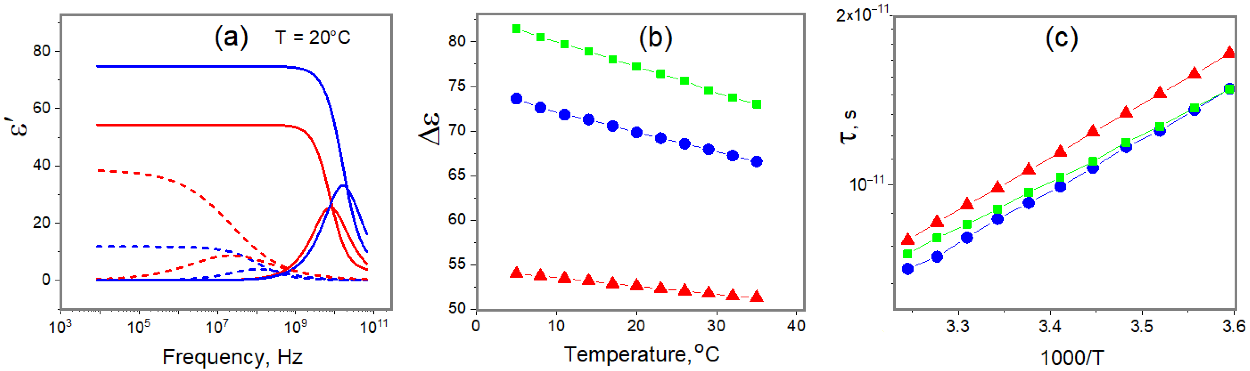
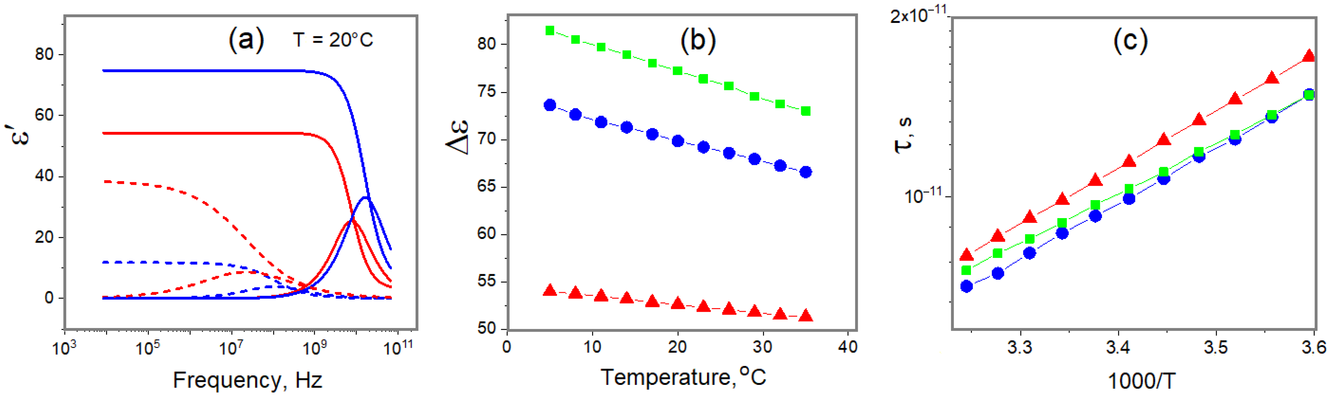
2.2. Protein and Water Molecular Properties in “Physical” and “Chemical” Hydrogels
3. Materials and Methods
3.1. Chemicals and Sample Preparations
3.2. Scanning Electron Microscopy
3.3. FTIR Spectroscopy
3.4. NMR. Relaxation and Self-Diffusion Masurements
3.5. Dielectric Spectroscopy
4. Conclusions
Author Contributions
Funding
Institutional Review Board Statement
Informed Consent Statement
Data Availability Statement
Acknowledgments
Conflicts of Interest
References
- Haug, I.J.; Draget, K.I. Gelatin. In Handbook of Hydrocolloids, 2nd ed.; Phillips, G.O., Williams, P.A., Eds.; CRC Press: Boca Raton, FL, USA, 2009; pp. 142–163. [Google Scholar]
- Zhang, T.; Sun, R.; Ding, M.; Li, L.; Tao, N.; Wang, X.; Zhong, J. Commercial cold-water fish skin gelatin and bovine bone gelatin: Structural, functional, and emulsion stability differences. LWT Food Sci. Technol. 2020, 125, 109207. [Google Scholar] [CrossRef]
- Mikhailov, O.V. Gelatin as It Is: History and Modernity. Int. J. Mol. Sci. 2023, 24, 3583. [Google Scholar] [CrossRef]
- Alipal, J.; Mohd Pu’ad, N.A.S.; Lee, T.C.; Nayan, N.H.M.; Sahari, N.; Basri, H.; Idris, M.I.; Abdullah, H.Z. A review of gelatin: Properties, sources, process, applications, and commercialisation. Mater. Today Proc. 2021, 42, 240–250. [Google Scholar] [CrossRef]
- Lv, L.-C.; Huang, Q.-Y.; Ding, W.; Xiao, X.-H.; Zhang, H.-Y.; Xiong, L.-X. Fish gelatin: The novel potential applications. J. Funct. Foods 2019, 63, 103581. [Google Scholar] [CrossRef]
- Nitsuwat, S.; Zhang, P.; Ng, K.; Fang, Z. Fish gelatin as an alternative to mammalian gelatin for food industry: A meta-analysis. LWT Food Sci. Technol. 2021, 141, 110899. [Google Scholar] [CrossRef]
- Zueva, O.S.; Gubaidullin, A.T.; Makarova, A.O.; Bogdanova, L.R.; Zakharova, L.Y.; Zuev, Y.F. Structural Features of Composite Protein-Polysaccharide Hydrogel in the Presence of a Carbon Nanomaterial. Russ. Chem. Bull. 2020, 69, 581–589. [Google Scholar] [CrossRef]
- Zuev, Y.F.; Derkach, S.R.; Bogdanova, L.R.; Voron’ko, N.G.; Kuchina, Y.A.; Gubaidullin, A.T.; Lunev, I.V.; Gnezdilov, O.I.; Sedov, I.A.; Larionov, R.A.; et al. Underused Marine Resources: Sudden Properties of Cod Skin Gelatin Gel. Gels 2023, 9, 990. [Google Scholar] [CrossRef]
- Schrieber, R.; Gareis, H. Gelatine Handbook; Wiley-VCH GmbH & Co.: Weinheim, Germany, 2007. [Google Scholar]
- Brodsky, B.; Persikov, A.V. Molecular structure of the collagen triple helix. Adv. Protein Chem. 2005, 70, 301–339. [Google Scholar] [CrossRef] [PubMed]
- Izmailova, V.N.; Derkach, S.R.; Sakvarelidze, M.A.; Levachev, S.M.; Voron’ko, N.G.; Yampol’skaya, G.P. Gelation in gelatin and gelatin-containing multicomponent blends. Polym. Sci. Ser. C 2004, 46, 73–97. [Google Scholar]
- Radhakrishnan, J.; Subramanian, A.; Krishnan, U.M.; Sethuraman, S. Injectable and 3D Bioprinted Polysaccharide Hydrogels: From Cartilage to Osteochondral Tissue Engineering. Biomacromolecules 2017, 18, 1–26. [Google Scholar] [CrossRef]
- Qi, X.; Su, T.; Zhang, M.; Tong, X.; Pan, W.; Zeng, Q.; Zhou, Z.; Shen, L.; He, X.; Shen, J. Macroporous Hydrogel Scaffolds with Tunable Physicochemical Properties for Tissue Engineering Constructed Using Renewable Polysaccharides. ACS Appl. Mater. Interfaces 2020, 12, 13256–13264. [Google Scholar] [CrossRef] [PubMed]
- Gubaidullin, A.T.; Makarova, A.O.; Derkach, S.R.; Voron’ko, N.G.; Kadyirov, A.I.; Ziganshina, S.A.; Salnikov, V.V.; Zueva, O.S.; Zuev, Y.F. Modulation of Molecular Structure and Mechanical Properties of k-Carrageenan-Gelatin Hydrogel with Multi-Walled Carbon Nanotubes. Polymers 2022, 14, 2346. [Google Scholar] [CrossRef] [PubMed]
- Nath, P.C.; Debnath, S.; Sridhar, K.; Inbaraj, B.S.; Nayak, P.K.; Sharma, M. A Comprehensive Review of Food Hydrogels: Principles, Formation Mechanisms, Microstructure, and Its Applications. Gels 2023, 9, 1. [Google Scholar] [CrossRef]
- Cao, Y.; Mezzenga, R. Design principles of food gels. Nat. Food 2020, 1, 106–118. [Google Scholar] [CrossRef]
- Zou, J.; Wang, L.; Sun, G. Sustainable and Reusable Gelatin-Based Hydrogel “Jelly Ice Cubes” as Food Coolant. I: Feasibilities and Challenges. ACS Sustain. Chem. Eng. 2021, 9, 15357–15364. [Google Scholar] [CrossRef]
- Zou, J.; Sbodio, A.O.; Blanco-Ulate, B.; Wang, L.; Sun, G. Novel Robust, Reusable, Microbial-Resistant, and Compostable Protein-Based Cooling Media. Adv. Funct. Mater. 2022, 32, 2201347. [Google Scholar] [CrossRef]
- Zou, J.; Wang, L.; Sun, G. Mechanisms and Performances of Physically and Chemically Crosslinked Gelatin-Based Hydrogels as Advanced Sustainable and Reusable “Jelly Ice Cube” Coolants. ACS Appl. Mater. Interfaces 2023, 15, 34087–34096. [Google Scholar] [CrossRef] [PubMed]
- Veis, A. The Macromolecular Chemistry of Gelatin; Academic Press: New York, NY, USA; London, UK, 1964; 478p. [Google Scholar]
- Guo, L.; Colby, R.H.; Lusignan, C.P.; Whitesides, T.H. Kinetics of Triple Helix Formation in Semidilute Gelatin Solutions. Macromolecules 2003, 36, 9999–10008. [Google Scholar] [CrossRef]
- Zhang, Z.; Wisuthiphaet, N.; Nitin, N.; Wang, L.; Kawakita, R.; Jeoh, T.; Sun, G. Photoactive Water-Soluble Vitamin K: A Novel Amphiphilic Photoinduced Antibacterial Agent. ACS Sustain. Chem. Eng. 2021, 9, 8280–8294. [Google Scholar] [CrossRef]
- Czapiewski, D.; Zielkiewicz, J. Structural Properties of Hydration Shell Around Various Conformations of Simple Polypeptides. J. Phys. Chem. B 2010, 114, 4536–4550. [Google Scholar] [CrossRef]
- Light, T.P.; Corbett, K.M.; Metrick, M.A., II; MacDonald, G. Hofmeister Ion-Induced Changes in Water Structure Correlate with Changes in Solvation of an Aggregated Protein Complex. Langmuir 2016, 32, 1360–1369. [Google Scholar] [CrossRef] [PubMed]
- Makshakova, O.N.; Bogdanova, L.R.; Faizullin, D.A.; Ermakova, E.A.; Zuev, Y.F.; Sedov, I.A. Interaction-induced structural transformation of lysozyme and kappa-carrageenan in binary complexes. Carbohydr. Polym. 2021, 252, 117181. [Google Scholar] [CrossRef]
- Derkach, S.R.; Voron’ko, N.G.; Kuchina, Y.A.; Kolotova, D.S.; Grokhovsky, V.A.; Nikiforova, A.A.; Sedov, I.A.; Faizullin, D.A.; Zuev, Y.F. Rheological Properties of Fish and Mammalian Gelatin Hydrogels as Bases for Potential Practical Formulations. Gels 2024, 10, 486. [Google Scholar] [CrossRef]
- Kong, J.; Yu, S. Fourier transform infrared spectroscopic analysis of protein secondary structures. Acta Biochim. Biophys. Sin. 2007, 39, 549–559. [Google Scholar] [CrossRef]
- Muyonga, J.N.; Cole, C.G.B.; Dyodu, K.G. Fourier transform infrared (FTIR) spectroscopy study of acid soluble collagen and gelatin from skin and bones of young and adult Nile perch (Lates niloticus). Food Chem. 2004, 86, 325–332. [Google Scholar] [CrossRef]
- Ilinskaya, O.; Ulyanova, V.; Lisevich, I.; Dudkina, E.; Zakharchenko, N.; Kusova, A.; Faizullin, D.; Zuev, Y. The Native Monomer of Bacillus Pumilus Ribonuclease Does Not Exist Extracellularly. BioMed Res. Int. 2018, 2018, 4837623. [Google Scholar] [CrossRef]
- Emde, M.F.; Baltuška, A.; Kummrow, A.; Pshenichnikov, M.S.; Wiersma, D.A. Ultrafast Librational Dynamics of the Hydrated Electron. Phys. Rev. Lett. 1998, 80, 4645–4648. [Google Scholar] [CrossRef]
- Bulychev, V.P.; Buturlimova, M.V.; Tokhadze, K.G. Isotope Effects in the Spectra of Hydrogen-Bonded Complexes. Calculation of Vibrational Absorption Spectra of (D2CO)2 and D2CO· · ·DF Dimers and D2CO · · · (DF)2 and (D2CO)2· · ·DF Trimers. Opt. Spectrosc. 2023, 131, 291–300. [Google Scholar] [CrossRef]
- Malafaev, N.T. On the nature of bond bending in water. Tech. Phys. Lett. 2003, 29, 19–21. [Google Scholar] [CrossRef]
- Malenkov, G.G. Structure and dynamics of liquid water. J. Struct. Chem. 2006, 47, S5–S35. [Google Scholar] [CrossRef]
- Verma, P.K.; Kundu, A.; Puretz, M.S.; Dhoonmoon, C.; Chegwidden, O.S.; Londergan, C.H.; Cho, M. The Bend + Libration Combination Band Is an Intrinsic, Collective, and Strongly Solute-Dependent Reporter on the Hydrogen Bonding Network of Liquid Water. J. Phys. Chem. B. 2018, 122, 2587–2599. [Google Scholar] [CrossRef] [PubMed]
- Kusova, A.M.; Safieva, R.Z.; Gnezdilov, O.I.; Zueva, O.S.; Salnikov, V.V.; Zuev, Y.F. Nanopore confinement and fluid behavior in nanocellulose–based hydro- and organogels. Carbohydr. Polym. Technol. Appl. 2021, 2, 100111. [Google Scholar] [CrossRef]
- Barbieri, R.; Quaglia, M.; Delfini, M.; Brosio, E. Investigation of water dynamic behaviour in poly(HEMA) and poly(HEMA-co-DHPMA) hydrogels by proton T2 relaxation time and self-diffusion coefficient N.M.R. measurements. Polymer 1998, 39, 1059–1066. [Google Scholar] [CrossRef]
- McConville, P.; Whittaker, M.K.; Pope, J.M. Water and Polymer Mobility in Hydrogel Biomaterials Quantified by 1H NMR: A Simple Model Describing Both T1 and T2 Relaxation. Macromolecules 2002, 35, 6961–6969. [Google Scholar] [CrossRef]
- Beilinson, Y.; Rassabina, A.; Lunev, I.; Faizullin, D.; Greenbaum, A.; Salnikov, V.; Zuev, Y.; Minibayeva, F.; Feldman, Y. The dielectric response of hydrated water as a structural signature of nanoconfined lichen melanins. Phys. Chem. Chem. Phys. 2022, 24, 22624–22633. [Google Scholar] [CrossRef] [PubMed]
- Siwach, P.; Levy, E.; Livshits, L.; Feldman, Y.; Kaganovich, D. Water is a biomarker of changes in the cellular environment in live animals. Sci. Rep. 2020, 10, 9095. [Google Scholar] [CrossRef]
- Feldman, Y.; Ben Ishai, P. The Microwave Response of Water as the Measure of Interactions in a Complex Liquid. ACS Symp. Ser. 2021, 1375, 283–300. [Google Scholar] [CrossRef]
- Richardson, S.J.; Steinberg, M.P. Applications of nuclear magnetic resonance. In Water Activity: Theory and Applications to Food; Rockland, L.B., Beuchart, L.R., Eds.; Marcel Dekker: New York, NY, USA, 1987; pp. 235–285. [Google Scholar]
- Cornillon, P.; Salim, L.C. Characterization of water mobility and distribution in low-and intermediate-moisture food systems. Magn. Reson. Imaging 2000, 18, 335–341. [Google Scholar] [CrossRef]
- Ahmad, M.U.; Tashiro, Y.; Matsukava, S.; Ogava, H. Gelation Mechanism of Surimi Studied by 1H NMR Relaxation Measurements. J. Food Sci. 2007, 72, E362–E367. [Google Scholar] [CrossRef]
- Chen, X.; Flores, S.C.; Lim, S.Y.; Zhang, Y.; Yang, T.; Kherb, J.; Cremer, P.S. Specific Anion Effects on Water Structure Adjacent to Protein Monolayers. Langmuir 2010, 26, 16447–16454. [Google Scholar] [CrossRef]
- Rakshit, S.; Saha, R.; Chakraborty, A.; Pal, S.K. Effect of Hydrophobic Interaction on Structure, Dynamics, and Reactivity of Water. Langmuir 2013, 29, 1808–1817. [Google Scholar] [CrossRef] [PubMed]
- Setny, P. GridSolvate: A Web Server for the Prediction of Biomolecular Hydration Properties. J. Chem. Inf. Model. 2020, 60, 5907–5911. [Google Scholar] [CrossRef] [PubMed]
- Kuntz, I.D.; Brassfield, T.S.; Law, G.D.; Purcell, G.V. Hydration of macromolecules. Science 1969, 163, 1329–1331. [Google Scholar] [CrossRef] [PubMed]
- Denisov, V.P.; Halle, B. Hydrogen Exchange Rates in Proteins from Water 1H Transverse Magnetic Relaxation. J. Am. Chem. Soc. 2002, 124, 10264–10265. [Google Scholar] [CrossRef]
- Zimmermann, J.R.; Brittin, W.E. Nuclear Magnetic Resonance Studies in Multiple Phase Systems: Lifetime of a Water Molecule in an Adsorbing Phase on Silica Gel. J. Phys. Chem. 1957, 61, 1328–1333. [Google Scholar] [CrossRef]
- McConville, P.; Pope, J.M. A comparison of water binding and mobility in contact lens hydrogels from NMR measurements of the water self-diffusion coefficient. Polymer 2000, 41, 9081–9088. [Google Scholar] [CrossRef]
- Bloembergen, N.; Purcell, E.M.; Pound, R.V. Relaxation effects in nuclear magnetic resonance absorption. Phys. Rev. 1948, 73, 679–712. [Google Scholar] [CrossRef]
- Ben Ishai, P.; Mamontov, E.; Nickels, J.D.; Sokolov, A.P. Influence of Ions on Water Diffusion—A Neutron Scattering Study. J. Phys. Chem. B 2013, 117, 7724–7728. [Google Scholar] [CrossRef]
- Collins, K.D.; Neilson, G.W.; Enderby, J.E. Ions in Water: Characterizing the Forces That Control Chemical Processes and Biological Structure. Biophys. Chem. 2007, 128, 95–104. [Google Scholar] [CrossRef]
- Marcus, Y. Effect of Ions on the Structure of Water: Structure Making and Breaking. Chem. Rev. 2009, 109, 1346–1370. [Google Scholar] [CrossRef]
- Söderman, O.; Stilbs, P. NMR studies of complex surfactant systems. Prog. Nucl. Magn. Reson. Spectrosc. 1994, 26, 445–482. [Google Scholar] [CrossRef]
- Zuev, Y.F.; Gnezdilov, O.I.; Zueva, O.S.; Us’yarov, O.G. Effective self-diffusion coefficients of ions in sodium dodecyl sulfate micellar solutions. Colloid J. 2011, 73, 59–64. [Google Scholar] [CrossRef]
- Fung, B.M.; McGaughy, T.W. Study of spin-lattice and spin-spin relaxation times of 1H, 2H, and 17O in muscle water. Biophys. J. 1979, 28, 293–304. [Google Scholar] [CrossRef] [PubMed]
- Hindman, J.C.; Svirmickas, A.; Wood, M. Relaxation processes in water. A study of the proton spin-lattice relaxation time. J. Chem. Phys. 1973, 59, 1517–1522. [Google Scholar] [CrossRef]
- Hills, B.P.; Takacs, S.F.; Belton, P.S. A new interpretation of proton NMR relaxation time measurements of water in food. Food Chem. 1990, 37, 95–111. [Google Scholar] [CrossRef]
- Ahmad, M.U.; Tashiro, Y.; Matsukawa, S.; Ogawa, H. Comparison of gelation mechanism of surimi between heat and pressure treatment by using rheological and NMR relaxation measurements. J. Food Sci. 2004, 69, E497–E501. [Google Scholar] [CrossRef]
- Gnezdilov, O.I.; Zuev, Y.F.; Zueva, O.S.; Potarikina, K.S.; Us’yarov, O.G. Self-Diffusion of Ionic Surfactants and Counterions in Premicellar and Micellar Solutions of Sodium, Lithium and Cesium Dodecyl Sulfates as Studied by NMR-Diffusometry. Appl. Magn. Reason. 2011, 40, 91–103. [Google Scholar] [CrossRef]
- Zuev, Y.F.; Kurbanov, R.K.; Idiyatullin, B.Z.; Us’yarov, O.G. Sodium dodecyl sulfate self-diffusion in premicellar and low-concentrated micellar solutions in the presence of a background electrolyte. Colloid J. 2007, 69, 444–449. [Google Scholar] [CrossRef]
- Fedotov, V.D.; Zuev, Y.F.; Archipov, V.P.; Idiyatullin, Z.S.; Garti, N.A. Fourier transform pulsed-gradient spin echo nuclear magnetic resonance self-diffusion study of microemulsions and the droplet size determination. Colloids Surf. A 1997, 128, 39–46. [Google Scholar] [CrossRef]
- Tanaka, K. Measurements of Self-diffusion Coefficient of Water in Pure Water and in Aqueous Electrolyte Solutions. J. Chem. Soc. Faraday Trans. 1 1975, 71, 1127–1131. [Google Scholar] [CrossRef]
- Lunev, I.; Greenbaum, A.; Feldman, Y.; Petrov, V.; Kuznetsova, N.; Averianova, N.; Makshakova, O.; Zuev, Y. Dielectric response of hydrated water as a structural component of nanofibrillated cellulose (NFC) from different plant sources. Carbohydr. Polym. 2019, 225, 115217. [Google Scholar] [CrossRef]
- Kumagai, H.; Sugiyama, T.; Iwamoto, S. Effect of Water Content on Dielectric Relaxation of Gelatin in a Glassy State. J. Agric. Food Chem. 2000, 48, 2260–2265. [Google Scholar] [CrossRef] [PubMed]
- Wolf, M.; Gulich, R.; Lunkenheimer, P.; Loidl, A. Relaxation dynamics of a protein solution investigated by dielectric spectroscopy. Biochim. Biophys. Acta (BBA)-Proteins Proteom. 2012, 1824, 723–730. [Google Scholar] [CrossRef]
- Sasaki, K.; Panagopoulou, A.; Kita, R.; Shinyashiki, N.; Yagihara, S.; Kyritsis, A.; Pissis, P. Dynamics of Uncrystallized Water, Ice, and Hydrated Protein in Partially Crystallized Gelatin−Water Mixtures Studied by Broadband Dielectric Spectroscopy. J. Phys. Chem. B 2017, 121, 265–272. [Google Scholar] [CrossRef]
- Lu, Z.; Manias, E.; Macdonald, D.D.; Lanagan, M. Dielectric Relaxation in Dimethyl Sulfoxide/Water Mixtures Studied by Microwave Dielectric Relaxation Spectroscopy. J. Phys. Chem. A 2009, 113, 12207–12214. [Google Scholar] [CrossRef] [PubMed]
- Ge, S.; Li, M.; Ji, N.; Liu, J.; Mul, H.; Xiong, L.; Sun, Q. Preparation of a Strong Gelatin–Short Linear Glucan Nanocomposite Hydrogel by an in Situ Self-Assembly Process. J. Agric. Food Chem. 2018, 66, 177–186. [Google Scholar] [CrossRef] [PubMed]
- Hilal, A.; Florowska, A.; Wroniak, M. Binary Hydrogels: Induction Methods and Recent Application Progress as Food Matrices for Bioactive Compounds Delivery—A Bibliometric Review. Gels 2023, 9, 68. [Google Scholar] [CrossRef]
- Axelrod, N.; Axelrod, E.; Gutina, A.; Puzenko, A.; Ishai, B.P.; Feldman, Y. Dielectric spectroscopy data treatment: I. Frequency domain. Meas. Sci. Technol. 2004, 15, 755. [Google Scholar] [CrossRef]








Disclaimer/Publisher’s Note: The statements, opinions and data contained in all publications are solely those of the individual author(s) and contributor(s) and not of MDPI and/or the editor(s). MDPI and/or the editor(s) disclaim responsibility for any injury to people or property resulting from any ideas, methods, instructions or products referred to in the content. |
© 2024 by the authors. Licensee MDPI, Basel, Switzerland. This article is an open access article distributed under the terms and conditions of the Creative Commons Attribution (CC BY) license (https://creativecommons.org/licenses/by/4.0/).
Share and Cite
Zuev, Y.F.; Derkach, S.R.; Lunev, I.V.; Nikiforova, A.A.; Klimovitskaya, M.A.; Bogdanova, L.R.; Skvortsova, P.V.; Kurbanov, R.K.; Kazantseva, M.A.; Zueva, O.S. Water as a Structural Marker in Gelatin Hydrogels with Different Cross-Linking Nature. Int. J. Mol. Sci. 2024, 25, 11738. https://doi.org/10.3390/ijms252111738
Zuev YF, Derkach SR, Lunev IV, Nikiforova AA, Klimovitskaya MA, Bogdanova LR, Skvortsova PV, Kurbanov RK, Kazantseva MA, Zueva OS. Water as a Structural Marker in Gelatin Hydrogels with Different Cross-Linking Nature. International Journal of Molecular Sciences. 2024; 25(21):11738. https://doi.org/10.3390/ijms252111738
Chicago/Turabian StyleZuev, Yuriy F., Svetlana R. Derkach, Ivan V. Lunev, Alena A. Nikiforova, Mariya A. Klimovitskaya, Liliya R. Bogdanova, Polina V. Skvortsova, Rauf Kh. Kurbanov, Mariia A. Kazantseva, and Olga S. Zueva. 2024. "Water as a Structural Marker in Gelatin Hydrogels with Different Cross-Linking Nature" International Journal of Molecular Sciences 25, no. 21: 11738. https://doi.org/10.3390/ijms252111738
APA StyleZuev, Y. F., Derkach, S. R., Lunev, I. V., Nikiforova, A. A., Klimovitskaya, M. A., Bogdanova, L. R., Skvortsova, P. V., Kurbanov, R. K., Kazantseva, M. A., & Zueva, O. S. (2024). Water as a Structural Marker in Gelatin Hydrogels with Different Cross-Linking Nature. International Journal of Molecular Sciences, 25(21), 11738. https://doi.org/10.3390/ijms252111738

