Design and Synthesis of New Quinazolin-4-one Derivatives with Negative mGlu7 Receptor Modulation Activity and Antipsychotic-Like Properties
Abstract
1. Introduction
2. Results
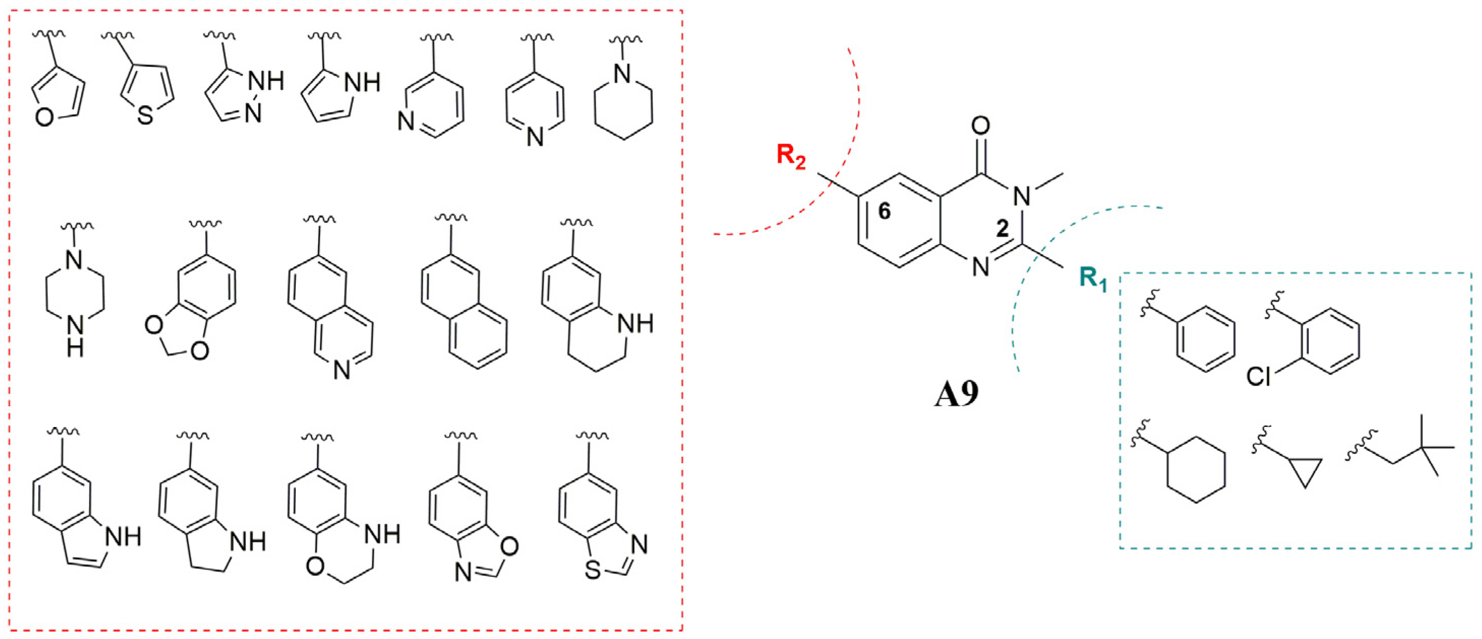
2.1. Scaffold Design
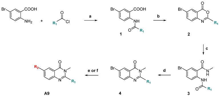
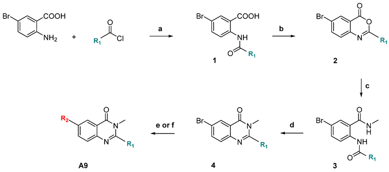
2.2. Chemistry of 2,6-Disubstituted (3H)-quinazolin-4-ones
2.3. Structural Modification of Hit Compounds
2.4. Crystal Structure Analysis
2.5. Preliminary DMPK Profile
2.5.1. Pharmacokinetic
2.5.2. In Vitro Metabolic Stability and CYP450 Inhibition
2.6. In Vivo Behavioral Tests
2.6.1. Tests Predictive of Positive Symptoms
DOI-Induced HTR
MK-801-Induced Hyperactivity
2.6.2. Test Predictive of Negative Symptoms
Social Interaction Test
2.6.3. Tests Predictive of Cognitive Symptoms
Novel Object Recognition Test
Spatial Delayed Alternation Test
Prepulse Inhibition Test
3. Discussion
4. Materials and Methods
4.1. Chemistry
4.1.1. Materials
4.1.2. Analytical Methods
4.1.3. Purity Analysis
4.1.4. Software
4.1.5. Synthesis
General Procedure for the Synthesis of 2,6-Disubstituted(3H)-quinazolin-4-ones (A9-1–A9-36)
4.1.6. Crystal Structure Determination
4.2. In Vitro
4.2.1. cDNA Constructs and Cell Lines
4.2.2. Forskolin-Induced cAMP Production Assay
4.2.3. In Vitro Activity
4.3. Pharmacokinetic Studies
LC–MS Analysis
4.4. CYP Inhibition Assay
4.5. Kinetic Solubility Assay
- − 130 mM sodium chloride, NaCl (7.600 g);
- − 5.4 mM potassium chloride, KCl (0.403 g);
- − 0.8 mM magnesium sulfate, MgSO4 × 7H2O (0.197 g);
- − 0.9 mM sodium phosphate monobasic, NaH2PO4 × 2H2O (0.140 g);
- − 25 mM D-glucose (4.500 g);
- − 20 mM HEPES sodium salt (5.210 g).
- − 1.8 mM calcium chloride, CaCl2 × 2H2O (0.265 g).
4.6. Metabolic Stability
Conditions of the Liquid Chromatography–Mass Spectrometry
4.7. Behavioral Tests
4.7.1. Animals
4.7.2. Drugs
4.7.3. DOI-Induced Head Twitch Test
4.7.4. Novel Object Recognition Test
4.7.5. MK-801-Induced Hyperactivity
4.7.6. Social Interaction Test
4.7.7. Statistics
Supplementary Materials
Author Contributions
Funding
Institutional Review Board Statement
Informed Consent Statement
Data Availability Statement
Conflicts of Interest
References
- Pin, J.P.; Galvez, T.; Prézeau, L. Evolution, Structure, and Activation Mechanism of Family 3/C G-Protein-Coupled Receptors. Pharmacol. Ther. 2003, 98, 325–354. [Google Scholar] [CrossRef] [PubMed]
- Kinzie, J.M.; Saugstad, J.A.; Westbrook, G.L.; Segerson, T.P. Distribution of Metabotropic Glutamate Receptor 7 Messenger RNA in the Developing and Adult Rat Brain. Neuroscience 1995, 69, 167–176. [Google Scholar] [CrossRef] [PubMed]
- Kinoshita, A.; Shigemoto, R.; Ohishi, H.; van der Putten, H.; Mizuno, N. Immunohistochemical Localization of Metabotropic Glutamate Receptors, MGluR7a and MGluR7b, in the Central Nervous System of the Adult Rat and Mouse: A Light and Electron Microscopic Study. J. Comp. Neurol. 1998, 393, 332–352. [Google Scholar] [CrossRef]
- Somogyi, P.; Dalezios, Y.; Luján, R.; Roberts, J.D.B.; Watanabe, M.; Shigemoto, R. High Level of MGluR7 in the Presynaptic Active Zones of Select Populations of GABAergic Terminals Innervating Interneurons in the Rat Hippocampus. Eur. J. Neurosci. 2003, 17, 2503–2520. [Google Scholar] [CrossRef] [PubMed]
- Sansig, G.; Bushell, T.J.; Clarke, V.R.J.; Rozov, A.; Burnashev, N.; Portet, C.; Gasparini, F.; Schmutz, M.; Klebs, K.; Shigemoto, R.; et al. Increased Seizure Susceptibility in Mice Lacking Metabotropic Glutamate Receptor 7. J. Neurosci. 2001, 21, 8734–8745. [Google Scholar] [CrossRef] [PubMed]
- Kosinski, C.M.; Risso Bradley, S.; Conn, P.J.; Levey, A.I.; Landwehrmeyer, G.B.; Penney, J.B.; Young, A.B.; Standaert, D.G. Localization of Metabotropic Glutamate Receptor 7 MRNA and MGluR7a Protein in the Rat Basal Ganglia. J. Comp. Neurol. 1999, 415, 266–284. [Google Scholar] [CrossRef]
- Cieślik, P.; Woźniak, M.; Kaczorowska, K.; Brański, P.; Burnat, G.; Chocyk, A.; Bobula, B.; Gruca, P.; Litwa, E.; Pałucha-Poniewiera, A.; et al. Negative Allosteric Modulators of mGlu7 Receptor as Putative Antipsychotic Drugs. Front. Mol. Neurosci. 2018, 11, 316. [Google Scholar] [CrossRef]
- Cryan, J.F.; Kelly, P.H.; Neijt, H.C.; Sansig, G.; Flor, P.J.; Van Der Putten, H. Antidepressant and Anxiolytic-like Effects in Mice Lacking the Group III Metabotropic Glutamate Receptor MGluR7. Eur. J. Neurosci. 2003, 17, 2409–2417. [Google Scholar] [CrossRef]
- Wierońska, J.M.; Pilc, A. Depression and Schizophrenia Viewed from the Perspective of Amino Acidergic Neurotransmission: Antipodes of Psychiatric Disorders. Pharmacol. Ther. 2019, 193, 75–82. [Google Scholar] [CrossRef]
- Mitsukawa, K.; Mombereau, C.; Lötscher, E.; Uzunov, D.P.; Van Der Putten, H.; Flor, P.J.; Cryan, J.F. Metabotropic Glutamate Receptor Subtype 7 Ablation Causes Dysregulation of the HPA Axis and Increases Hippocampal BDNF Protein Levels: Implications for Stress-Related Psychiatric Disorders. Neuropsychopharmacology 2006, 31, 1112–1122. [Google Scholar] [CrossRef]
- Gee, C.E.; Peterlik, D.; Neuhäuser, C.; Bouhelal, R.; Kaupmann, K.; Laue, G.; Uschold-Schmidt, N.; Feuerbach, D.; Zimmermann, K.; Ofner, S.; et al. Blocking Metabotropic Glutamate Receptor Subtype 7 (mGlu7) via the Venus Flytrap Domain (VFTD) Inhibits Amygdala Plasticity, Stress, and Anxiety-Related Behavior. J. Biol. Chem. 2014, 289, 10975–10987. [Google Scholar] [CrossRef] [PubMed]
- O’Connor, R.M.; Thakker, D.R.; Schmutz, M.; Van Der Putten, H.; Hoyer, D.; Flor, P.J.; Cryan, J.F. Adult SiRNA-Induced Knockdown of mGlu7 Receptors Reduces Anxiety in the Mouse. Neuropharmacology 2013, 72, 66–73. [Google Scholar] [CrossRef]
- Kalinichev, M.; Rouillier, M.; Girard, F.; Royer-Urios, I.; Bournique, B.; Finn, T.; Charvin, D.; Campo, B.; Le Poul, E.; Mutel, V.; et al. ADX71743, a Potent and Selective Negative Allosteric Modulator of Metabotropic Glutamate Receptor 7: In Vitro and In Vivo Characterization. J. Pharmacol. Exp. Ther. 2013, 344, 624–636. [Google Scholar] [CrossRef] [PubMed]
- Fendt, M.; Schmid, S.; Thakker, D.R.; Jacobson, L.H.; Yamamoto, R.; Mitsukawa, K.; Maier, R.; Natt, F.; Hüsken, D.; Kelly, P.H.; et al. MGluR7 Facilitates Extinction of Aversive Memories and Controls Amygdala Plasticity. Mol. Psychiatry 2008, 13, 970–979. [Google Scholar] [CrossRef]
- Golubeva, A.V.; Moloney, R.D.; O’Connor, R.M.; Dinan, T.G.; Cryan, J.F. Metabotropic Glutamate Receptors in Central Nervous System Diseases. Curr. Drug Targets 2016, 17, 538–616. [Google Scholar] [CrossRef] [PubMed]
- Toth, I.; Dietz, M.; Peterlik, D.; Huber, S.E.; Fendt, M.; Neumann, I.D.; Flor, P.J.; Slattery, D.A. Pharmacological Interference with Metabotropic Glutamate Receptor Subtype 7 but Not Subtype 5 Differentially Affects within- and between-Session Extinction of Pavlovian Conditioned Fear. Neuropharmacology 2012, 62, 1619–1626. [Google Scholar] [CrossRef]
- Abe, M.; Seto, M.; Gogliotti, R.G.; Loch, M.T.; Bollinger, K.A.; Chang, S.; Engelberg, E.M.; Luscombe, V.B.; Harp, J.M.; Bubser, M.; et al. Discovery of VU6005649, a CNS Penetrant MGlu 7/8 Receptor PAM Derived from a Series of Pyrazolo [1,5-a] Pyrimidines. ACS Med. Chem. Lett. 2017, 8, 1110–1115. [Google Scholar] [CrossRef]
- Reed, C.W.; Yohn, S.E.; Washecheck, J.P.; Roenfanz, H.F.; Quitalig, M.C.; Luscombe, V.B.; Jenkins, M.T.; Rodriguez, A.L.; Engers, D.W.; Blobaum, A.L.; et al. Discovery of an Orally Bioavailable and Central Nervous System (CNS) Penetrant MGlu 7 Negative Allosteric Modulator (NAM) in Vivo Tool Compound: N-(2-(1 H-1,2,4-Triazol-1-Yl)-5-(Trifluoromethoxy)Phenyl)-4-(Cyclopropylmethoxy)-3-Methoxybenzamide (VU6012962). J. Med. Chem. 2019, 62, 1690–1695. [Google Scholar] [CrossRef]
- Gogliotti, R.G.; Senter, R.K.; Fisher, N.M.; Adams, J.; Zamorano, R.; Walker, A.G.; Blobaum, A.L.; Engers, D.W.; Hopkins, C.R.; Daniels, J.S.; et al. MGlu7 Potentiation Rescues Cognitive, Social, and Respiratory Phenotypes in a Mouse Model of Rett Syndrome. Sci. Transl. Med. 2017, 9, eaai7459. [Google Scholar] [CrossRef]
- Niswender, C.M.; Conn, P.J. Metabotropic Glutamate Receptors: Physiology, Pharmacology, and Disease. Annu. Rev. Pharmacol. Toxicol. 2010, 50, 295–322. [Google Scholar] [CrossRef]
- Fisher, N.M.; Seto, M.; Lindsley, C.W.; Niswender, C.M. Metabotropic Glutamate Receptor 7: A New Therapeutic Target in Neurodevelopmental Disorders. Front. Mol. Neurosci. 2018, 11, 387. [Google Scholar] [CrossRef] [PubMed]
- Mick, E.; Neale, B.; Middleton, F.A.; McGough, J.J.; Faraone, S.V. Genome-Wide Association Study of Response to Methylphenidate in 187 Children with Attention-Deficit/Hyperactivity Disorder. Am. J. Med. Genet. Part B Neuropsychiatr. Genet. 2008, 147, 1412–1418. [Google Scholar] [CrossRef] [PubMed]
- Li, X.; Gardner, E.L.; Xi, Z.X. The Metabotropic Glutamate Receptor 7 (MGluR7) Allosteric Agonist AMN082 Modulates Nucleus Accumbens GABA and Glutamate, but Not Dopamine, in Rats. Neuropharmacology 2008, 54, 542–551. [Google Scholar] [CrossRef] [PubMed]
- Li, X.; Markou, A. Metabotropic Glutamate Receptor 7 (MGluR7) as a Target for the Treatment of Psychostimulant Dependence. CNS Neurol. Disord. Drug Targets 2015, 14, 738–744. [Google Scholar] [CrossRef] [PubMed]
- Hajasova, Z.; Canestrelli, C.; Acher, F.; Noble, F.; Marie, N. Role of mGlu7 Receptor in Morphine Rewarding Effects Is Uncovered by a Novel Orthosteric Agonist. Neuropharmacology 2018, 131, 424–430. [Google Scholar] [CrossRef] [PubMed]
- Jenda, M.; Gawel, K.; Marszalek, M.; Komsta, L.; Kotlinska, J.H. AMN082, a Metabotropic Glutamate Receptor 7 Allosteric Agonist, Attenuates Locomotor Sensitization and Cross-Sensitization Induced by Cocaine and Morphine in Mice. Prog. Neuro Psychopharmacol. Biol. Psychiatry 2015, 57, 166–175. [Google Scholar] [CrossRef]
- Schoepp, D.D.; Jane, D.E.; Monn, J.A. Pharmacological Agents Acting at Subtypes of Metabotropic Glutamate Receptors. Neuropharmacology 1999, 38, 1431–1476. [Google Scholar] [CrossRef]
- Sibille, P.; Lopez, S.; Brabet, I.; Valenti, O.; Oueslati, N.; Gaven, F.; Goudet, C.; Bertrand, H.O.; Neyton, J.; Marino, M.J.; et al. Synthesis and Biological Evaluation of 1-Amino-2-Phosphonomethylcyclopropanecarboxylic Acids, New Group III Metabotropic Glutamate Receptor Agonists. J. Med. Chem. 2007, 50, 3585–3595. [Google Scholar] [CrossRef]
- Mitsukawa, K.; Yamamoto, R.; Ofner, S.; Nozulak, J.; Pescott, O.; Lukic, S.; Stoehr, N.; Mombereau, C.; Kuhn, R.; McAllister, K.H.; et al. A Selective Metabotropic Glutamate Receptor 7 Agonist: Activation of Receptor Signaling via an Allosteric Site Modulates Stress Parameters In Vivo. Proc. Natl. Acad. Sci. USA 2005, 102, 18712–18717. [Google Scholar] [CrossRef]
- Sukoff Rizzo, S.J.; Leonard, S.K.; Gilbert, A.; Dollings, P.; Smith, D.L.; Zhang, M.-Y.; Di, L.; Platt, B.J.; Neal, S.; Dwyer, J.M.; et al. The Metabotropic Glutamate Receptor 7 Allosteric Modulator AMN082: A Monoaminergic Agent in Disguise? J. Pharmacol. Exp. Ther. 2011, 338, 345–352. [Google Scholar] [CrossRef]
- Bahi, A.; Fizia, K.; Dietz, M.; Gasparini, F.; Flor, P.J. Pharmacological Modulation of MGluR7 with AMN082 and MMPIP Exerts Specific Influences on Alcohol Consumption and Preference in Rats. Addict. Biol. 2011, 17, 235–247. [Google Scholar] [CrossRef]
- Pilc, A.; Wierońska, J.M.; Skolnick, P. Glutamate-Based Antidepressants: Preclinical Psychopharmacology. Biol. Psychiatry 2013, 73, 1125–1132. [Google Scholar] [CrossRef]
- Palazzo, E.; Romano, R.; Luongo, L.; Boccella, S.; De Gregorio, D.; Giordano, M.E.; Rossi, F.; Marabese, I.; Scafuro, M.A.; de Novellis, V.; et al. MMPIP, an MGluR7-Selective Negative Allosteric Modulator, Alleviates Pain and Normalizes Affective and Cognitive Behavior in Neuropathic Mice. Pain 2015, 156, 1060–1073. [Google Scholar] [CrossRef]
- Gregory, K.J.; Dong, E.N.; Meiler, J.; Conn, P.J. Neuropharmacology Allosteric Modulation of Metabotropic Glutamate Receptors: Structural Insights and Therapeutic Potential. Neuropharmacology 2011, 60, 66–81. [Google Scholar] [CrossRef]
- Finn, T.; Charvin, D.; Campo, B.; Bournique, B.; Fonsi, M.; Poli, S.; Girard, F.; Poul, E.; Tang, L.; Duvey, G. Development of Novel Metabotropic Glutamate Receptor 7 (MGluR7) Negative Allosteric Modulators for Treatment of Anxiety Disorders. Curr. Neuropharmacol. 2011, 9, 21. [Google Scholar]
- Reed, C.W.; McGowan, K.M.; Spearing, P.K.; Stansley, B.J.; Roenfanz, H.F.; Engers, D.W.; Rodriguez, A.L.; Engelberg, E.M.; Luscombe, V.B.; Loch, M.T.; et al. VU6010608, a Novel mGlu7 NAM from a Series of N-(2-(1H-1,2,4-Triazol-1-Yl)-5-(Trifluoromethoxy)Phenyl)Benzamides. ACS Med. Chem. Lett. 2017, 8, 1326–1330. [Google Scholar] [CrossRef]
- Reed, C.W.; Washecheck, J.P.; Quitlag, M.C.; Jenkins, M.T.; Rodriguez, A.L.; Engers, D.W.; Blobaum, A.L.; Jeffrey Conn, P.; Niswender, C.M.; Lindsley, C.W. Surveying Heterocycles as Amide Bioisosteres within a Series of MGlu 7 NAMs: Discovery of VU6019278. Bioorg. Med. Chem. Lett. 2019, 29, 1211–1214. [Google Scholar] [CrossRef]
- Jalan-Sakrikar, N.; Field, J.R.; Klar, R.; Mattmann, M.E.; Gregory, K.J.; Zamorano, R.; Engers, D.W.; Bollinger, S.R.; Weaver, C.D.; Days, E.L.; et al. Identi Fi Cation of Positive Allosteric Modulators VU0155094 (ML397) and VU0422288 (ML396) Reveals New Insights into the Biology of Metabotropic Glutamate Receptor 7. ACS Chem. Neurosci. 2014, 5, 1221–1237. [Google Scholar] [CrossRef]
- Suzuki, G.; Tsukamoto, N.; Fushiki, H.; Kawagishi, A.; Nakamura, M.; Kurihara, H.; Mitsuya, M.; Ohkubo, M.; Ohta, H. In Vitro Pharmacological Characterization of Novel Isoxazolopyridone Derivatives as Allosteric Metabotropic Glutamate Receptor 7 Antagonists. Pharmacology 2007, 323, 147–156. [Google Scholar] [CrossRef]
- Reed, C.W.; Kalbfleisch, J.J.; Wong, M.J.; Washecheck, J.P.; Hunter, A.; Rodriguez, A.L.; Blobaum, A.L.; Conn, P.J.; Niswender, C.M.; Lindsley, C.W. Discovery of VU6027459: A First-in-Class Selective and CNS Penetrant MGlu(7) Positive Allosteric Modulator Tool Compound. ACS Med. Chem. Lett. 2020, 11, 1773–1779. [Google Scholar] [CrossRef]
- Chruścicka, B.; Burnat, G.; Brański, P.; Chorobik, P.; Lenda, T.; Marciniak, M.; Pilc, A. Tetracycline-Based System for Controlled Inducible Expression of Group III Metabotropic Glutamate Receptors. J. Biomol. Screen. 2015, 20, 350–358. [Google Scholar] [CrossRef] [PubMed]
- Conn, P.J.; Lindsley, C.W.; Jones, C.K. Activation of Metabotropic Glutamate Receptors as a Novel Approach for the Treatment of Schizophrenia. Trends Pharmacol. Sci. 2009, 30, 25–31. [Google Scholar] [CrossRef] [PubMed]
- Burla, M.C.; Caliandro, R.; Carrozzini, B.; Cascarano, G.L.; Cuocci, C.; Giacovazzo, C.; Mallamo, M.; Mazzone, A.; Polidori, G. Crystal Structure Determination and Refinement via SIR2014. J. Appl. Crystallogr. 2015, 48, 306–309. [Google Scholar] [CrossRef]
- Moghaddam, B.; Adams, B.; Verma, A.; Daly, D. Activation of Glutamatergic Neurotransmission by Ketamine: A Novel Step in the Pathway from NMDA Receptor Blockade to Dopaminergic and Cognitive Disruptions Associated with the Prefrontal Cortex. J. Neurosci. 1997, 17, 2921–2927. [Google Scholar] [CrossRef] [PubMed]
- Cieślik, P.; Wierońska, J.M. Regulation of Glutamatergic Activity via Bidirectional Activation of Two Select Receptors as a Novel Approach in Antipsychotic Drug Discovery. Int. J. Mol. Sci. 2020, 21, 8811. [Google Scholar] [CrossRef]
- Javitt, D.C.; Zukin, S.R. Recent Advances in the Phencyclidine Model of Schizophrenia. Am. J. Psychiatry 1991, 148, 1301–1308. [Google Scholar] [CrossRef]
- Orgován, Z.; Ferenczy, G.G.; Keserű, G.M. Allosteric Molecular Switches in Metabotropic Glutamate Receptors. ChemMedChem 2021, 16, 81–93. [Google Scholar] [CrossRef]
- Fulton, M.G.; Loch, M.T.; Cuoco, C.A.; Rodriguez, A.L.; Days, E.; Vinson, P.N.; Kozek, K.A.; Weaver, C.D.; Blobaum, A.L.; Conn, P.J.; et al. Challenges in the Discovery and Optimization of MGlu2/4 Heterodimer Positive Allosteric Modulators. Lett. Drug Des. Discov. 2018, 16, 1387–1394. [Google Scholar] [CrossRef]
- Williams, R.; Johnson, K.A.; Gentry, P.R.; Niswender, C.M.; Weaver, C.D.; Conn, P.J.; Lindsley, C.W.; Hopkins, C.R. Synthesis and SAR of a Novel Positive Allosteric Modulator (PAM) of the Metabotropic Glutamate Receptor 4 (MGluR4). Bioorg. Med. Chem. Lett. 2009, 19, 4967–4970. [Google Scholar] [CrossRef]
- Wierońska, J.M.; Stachowicz, K.; Acher, F.; Lech, T.; Pilc, A. Opposing Efficacy of Group III MGlu Receptor Activators, LSP1-2111 and AMN082, in Animal Models of Positive Symptoms of Schizophrenia. Psychopharmacology 2012, 220, 481–494. [Google Scholar] [CrossRef]
- Rigaku-Oxford Diffraction. CrysAlisPro, Version 1.171.36.2, Release 27-06-2012 CN. Oxford Diffraction Ltd.: Abingdon, UK, 2006.
- Sheldrick, G.M. A Short History of SHELX. Acta Crystallogr. Sect. A Found. Crystallogr. 2008, 64, 112–122. [Google Scholar] [CrossRef] [PubMed]
- Farrugia, L.J. WinGX Suite for Small-Molecule Single-Crystal Crystallography. J. Appl. Crystallogr. 1999, 32, 837–838. [Google Scholar] [CrossRef]
- MacRae, C.F.; Sovago, I.; Cottrell, S.J.; Galek, P.T.A.; McCabe, P.; Pidcock, E.; Platings, M.; Shields, G.P.; Stevens, J.S.; Towler, M.; et al. Mercury 4.0: From Visualization to Analysis, Design and Prediction. J. Appl. Crystallogr. 2020, 53, 226–235. [Google Scholar] [CrossRef] [PubMed]
- Nilsson, M.; Hansson, S.; Carlsson, A.; Carlsson, M.L. Differential Effects of the N-Methyl-d-Aspartate Receptor Antagonist MK-801 on Different Stages of Object Recognition Memory in Mice. Neuroscience 2007, 149, 123–130. [Google Scholar] [CrossRef] [PubMed]
- Wierońska, J.M.; Sławińska, A.; Łasoń-Tyburkiewicz, M.; Gruca, P.; Papp, M.; Zorn, S.H.; Doller, D.; Kłeczek, N.; Noworyta-Sokołowska, K.; Gołembiowska, K.; et al. The Antipsychotic-like Effects in Rodents of the Positive Allosteric Modulator Lu AF21934 Involve 5-HT1A Receptor Signaling: Mechanistic Studies. Psychopharmacology 2015, 232, 259–273. [Google Scholar] [CrossRef]
- de Moura Linck, V.; Herrmann, A.P.; Goerck, G.C.; Iwu, M.M.; Okunji, C.O.; Leal, M.B.; Elisabetsky, E. The Putative Antipsychotic Alstonine Reverses Social Interaction Withdrawal in Mice. Prog. Neuro Psychopharmacol. Biol. Psychiatry 2008, 32, 1449–1452. [Google Scholar] [CrossRef]
- Woźniak, M.; Gołembiowska, K.; Noworyta-Sokołowska, K.; Acher, F.; Cieślik, P.; Kusek, M.; Tokarski, K.; Pilc, A.; Wierońska, J.M. Neurochemical and Behavioral Studies on the 5-HT1A-Dependent Antipsychotic Action of the MGlu4 Receptor Agonist LSP4-2022. Neuropharmacology 2017, 115, 149–165. [Google Scholar] [CrossRef]
- Kesten, S.J.; Degnan, M.J.; Hung, J.; McNamara, D.J.; Ortwine, D.F.; Uhlendorf, S.E.; Werbel, L.M. Synthesis and Antimalarial Properties of 1-Imino Derivatives of 7-chloro-3-substituted-3,4-dihydro-1,9(2H,10H)-acridinediones and Related Structures. J. Med. Chem. 1992, 35, 3429–3447. [Google Scholar] [CrossRef]
- Alexander, R.; Balasundaram, A.; Batchelor, M.; Brookings, D.; Crépy, K.; Crabbe, T.; Deltent, M.F.; Driessens, F.; Gill, A.; Harris, S.; et al. 4-(1,3-Thiazol-2-yl)morpholine derivatives as inhibitors of phosphoinositide 3-kinase. Bioorganic Med. Chem. Lett. 2008, 18, 4316–4320. [Google Scholar] [CrossRef]
- Senga, K.; Novinson, T.; Wilson, H.R.; Robins, R.K. Synthesis and Antischistosomal Activity of Certain Pyrazolo[1,5-a]pyrimidines. J. Med. Chem. 1981, 408, 610–613. [Google Scholar] [CrossRef]
- Castellano, S.; Kuck, D.; Viviano, M.; Yoo, J.; López-Vallejo, F.; Conti, P.; Tamborini, L.; Pinto, A.; Medina-Franco, J.L.; Sbardella, G. Synthesis and biochemical evaluation of δ 2-isoxazoline derivatives as DNA methyltransferase 1 inhibitors. J. Med. Chem. 2011, 54, 7663–7677. [Google Scholar] [CrossRef] [PubMed]
- Bode, J.W.; Hachisu, Y.; Matsuura, T.; Suzuki, K. Facile construction and divergent transformation of polycyclic isoxazoles: Direct access to polyketide architectures. Org. Lett. 2003, 5, 391–394. [Google Scholar] [CrossRef] [PubMed]
- Gudkov, A. US20200123127A1-Removal of senescence-associated macrophages 2020.
- Shiraishi, M. EP1057812A1-Aminoguanidine hydrazone derivatives, process for producing the same and drugs there of 2000.
- Presset, M.; Mailhol, D.; Coquerel, Y.; Rodriguez, J. Diazo-transfer reactions to 1,3-dicarbonyl compounds with tosyl azide. Synthesis 2011, 2549–2552. [Google Scholar] [CrossRef]
- Xia, L.; Lee, Y.R. Regioselective synthesis of highly functionalized furans through the RuII-catalyzed [3+2] cycloaddition of diazodicarbonyl compounds. Eur. J. Org. Chem. 2014, 2014, 3430–3442. [Google Scholar] [CrossRef]
- Di Fabio, R. WO2009130231A1-Pyrrolo [1, 2-a] pyrazine derivatives as vasopressin vib receptor antagonists 2009.
- Johan, D.; Oslob, C.H.Y. 20070027166 A1 2007, 1.
- Zask, A.; Verheijen, J.C.; Curran, K.; Kaplan, J.; Richard, D.J.; Nowak, P.; Malwitz, D.J.; Brooijmans, N.; Bard, J.; Svenson, K.; et al. ATP-competitive inhibitors of the mammalian target of rapamycin: Design and synthesis of highly potent and selective pyrazolopyrimidines. J. Med. Chem. 2009, 52, 5013–5016. [Google Scholar] [CrossRef]
- Faridoon; Hussein, W.M.; Vella, P.; Islam, N.U.; Ollis, D.L.; Schenk, G.; McGeary, R.P. 3-Mercapto-1,2,4-triazoles and N-acylated thiosemicarbazides as metallo-β-lactamase inhibitors. Bioorg. Med. Chem. Lett. 2012, 22, 380–386. [Google Scholar] [CrossRef]












![]() | |||
| ID | R2 | Inhibition b (%) | mGlu7 IC50 c (µM) |
| ALX-065 | ![]() | 26.5 ± 11.8 | 4.65 ± 3.46 |
| A9-4 | ![]() | Inactive | |
| A9-5 | ![]() | Inactive | |
| A9-6 | ![]() | Inactive | |
| ALX-171 | ![]() | 30.8 ± 6.44 | 6.14 ± 3.42 |
| A9-8 | ![]() | Inactive | |
| A9-9 | ![]() | Inactive | |
| A9-10 | ![]() | Inactive | |
| A9-11 | ![]() | Inactive | |
| A9-12 | ![]() | Inactive | |
| Parameters | ADX71743 | MMPIP | ALX-065 | ALX-171 | |
| (A) | Tmax a | 0.25 | 0.25 | 0.25 | 0.50 |
| T1/2 b | 0.90 | 1.16 | 1.31 | 5.20 | |
| Cmax c | 3.73 | 9.85 | 2.28 | 4.46 | |
| AUC0-t d | 1.90 | 13.52 | 1.99 | 13.41 | |
| (B) | Tmax a | 0.25 | 0.50 | 0.25 | 0.25 |
| T1/2 b | 0.34 | 1.75 | 0.49 | 5.56 | |
| Cmax c | 3.38 | 5.42 | 1.81 | 2.52 | |
| AUC0-t d | 2.27 | 8.98 | 1.32 | 13.85 |
| Administration | Tmax a | T1/2 b | Cmax c | AUC0-t d | Vd e | F f | |
| (A) | i.v. | 0.25 | 2.26 | 1.59 | 174.75 | 7630 | 58 |
| p.o. | 0.50 | 3.08 | 1.09 | 157.54 | – | ||
| (B) | i.v. | 0.25 | 3.41 | 1.85 | 196.38 | – | – |
| p.o. | 0.50 | 2.95 | 1.36 | 177.94 | – |
| Parameters | ADX71743 | MMPIP | ALX-065 | ALX-171 |
| M.W. a | 269.14 | 333.35 | 346.81 | 406.87 |
| clogP b | 3.64 | 1.79 | 5.10 | 4.79 |
| TPSA c | 43.10 | 68.46 | 32.67 | 51.13 |
| KS d | 509.87 | 5.6 | 6.88 | 15.23 |
| MML e | 0.01 | 49.78 | 0.81 | 54.01 |
| Clint f | 500.14 | 38.74 | 267.64 | 34.22 |
| Cytochrome P450 (IC50, μM) g | ||||
| 1A2 | >10 | >10 | 1.1 < IC50 < 3.3 | 3.3 < IC50 < 10 |
| 3A4 | >10 | <1.1 | >10 | 3.3 < IC50 < 10 |
| 2B6 | >10 | >10 | >10 | >10 |
| 2C19 | 3.3 < IC50 < 10 | <1.1 | 1.1<IC50 < 3.3 | 3.3 < IC50 < 10 |
| 2D6 | >10 | >10 | >10 | >10 |
| P450 Isoform | Positive Control Highest Concentration (µM) | Substrate Concentration (µM) | Enzyme Concentration (nM) | Incubation Length (min) |
| CYP1A2 | Furafylline 5 | CEC a 5 | 5 | 15 |
| CYP3A4 | Ketoconazole 0.05 | BFC b 50 | 5 | 30 |
| CYP2B6 | Tranylcypromine 50 | EFC c 2.5 | 10 | 30 |
| CYP2C19 | Tranylcypromine 10 | CEC a 25 | 10 | 30 |
| CYP2D6 | Quinidine 0.05 | AMMC d 1.5 | 15 | 30 |
Disclaimer/Publisher’s Note: The statements, opinions and data contained in all publications are solely those of the individual author(s) and contributor(s) and not of MDPI and/or the editor(s). MDPI and/or the editor(s) disclaim responsibility for any injury to people or property resulting from any ideas, methods, instructions or products referred to in the content. |
© 2023 by the authors. Licensee MDPI, Basel, Switzerland. This article is an open access article distributed under the terms and conditions of the Creative Commons Attribution (CC BY) license (https://creativecommons.org/licenses/by/4.0/).
Share and Cite
Kaczorowska, K.; Stankiewicz, A.; Bugno, R.; Paluchowska, M.H.; Burnat, G.; Brański, P.; Cieślik, P.; Wierońska, J.M.; Milik, M.; Nowak, M.; et al. Design and Synthesis of New Quinazolin-4-one Derivatives with Negative mGlu7 Receptor Modulation Activity and Antipsychotic-Like Properties. Int. J. Mol. Sci. 2023, 24, 1981. https://doi.org/10.3390/ijms24031981
Kaczorowska K, Stankiewicz A, Bugno R, Paluchowska MH, Burnat G, Brański P, Cieślik P, Wierońska JM, Milik M, Nowak M, et al. Design and Synthesis of New Quinazolin-4-one Derivatives with Negative mGlu7 Receptor Modulation Activity and Antipsychotic-Like Properties. International Journal of Molecular Sciences. 2023; 24(3):1981. https://doi.org/10.3390/ijms24031981
Chicago/Turabian StyleKaczorowska, Katarzyna, Anna Stankiewicz, Ryszard Bugno, Maria H. Paluchowska, Grzegorz Burnat, Piotr Brański, Paulina Cieślik, Joanna M. Wierońska, Mariusz Milik, Mateusz Nowak, and et al. 2023. "Design and Synthesis of New Quinazolin-4-one Derivatives with Negative mGlu7 Receptor Modulation Activity and Antipsychotic-Like Properties" International Journal of Molecular Sciences 24, no. 3: 1981. https://doi.org/10.3390/ijms24031981
APA StyleKaczorowska, K., Stankiewicz, A., Bugno, R., Paluchowska, M. H., Burnat, G., Brański, P., Cieślik, P., Wierońska, J. M., Milik, M., Nowak, M., Przybyłowicz, A., Kozioł, A., Hogendorf, A., Hogendorf, A. S., Kalinowska-Tłuścik, J., Duszyńska, B., Pilc, A., & Bojarski, A. J. (2023). Design and Synthesis of New Quinazolin-4-one Derivatives with Negative mGlu7 Receptor Modulation Activity and Antipsychotic-Like Properties. International Journal of Molecular Sciences, 24(3), 1981. https://doi.org/10.3390/ijms24031981












