Chronic Voluntary Morphine Intake Is Associated with Changes in Brain Structures Involved in Drug Dependence in a Rat Model of Polydrug Use
Abstract
:1. Introduction
2. Results
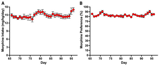
2.1. Generation and Expression of Morphine Dependence: Chronic Voluntary Morphine Intake Induces Severe Withdrawal Syndrome in UChB Rats upon Naloxone Administration
2.2. Morphine Dependence Is Associated with Alterations in Prefrontal Cortex
2.3. Morphine Dependence Is Associated with Functional Alterations in the Prefrontal Cortex
2.4. Morphine Dependence Is Associated with Neuroinflammation and Brain Oxidative Stress in: The Nucleus Accumbens Reinforcing Area
3. Discussion
4. Materials and Methods
4.1. Animals
4.2. Drugs
4.3. Induction of Voluntary Morphine Consumption
4.4. Naloxone-Precipitated Withdrawal
4.5. Determination of Neurofilament-L (NF), Myelin Basic Protein (MBP), Myelin Proteolipid Protein (PLP), Glutamate Transporter 1 (GLT-1), Glutamate-Cystine Exchanger (xCT), and Dopamine Transporter (DAT) Levels in Prefrontal Cortex
4.6. Determination of MBP and NF Immunoreactivity in Prefrontal Cortex
4.7. Determination of Astrocyte and Microglial Immunoreactivity in Nucleus Accumbens
4.8. Determination of mRNA Levels of Pro-Inflammatory Molecules in Nucleus Accumbens
4.9. Evaluation of Oxidative Stress in Neostriatum
4.10. Statistical Analyses
5. Conclusions
Supplementary Materials
Author Contributions
Funding
Institutional Review Board Statement
Data Availability Statement
Acknowledgments
Conflicts of Interest
References
- Degenhardt, L.; Grebely, J.; Stone, J.; Hickman, M.; Vickerman, P.; Marshall, B.D.L.; Bruneau, J.; Altice, F.L.; Henderson, G.; Rahimi-Movaghar, A.; et al. Global patterns of opioid use and dependence: Harms to populations, interventions, and future action. Lancet 2019, 394, 1560–1579. [Google Scholar] [CrossRef] [PubMed]
- Gould, T.J. Addiction and cognition. Addict. Sci. Clin. Pract. 2010, 5, 4–14. [Google Scholar]
- McCabe, S.E.; Cranford, J.A.; Boyd, C.J.; Teter, C.J. Motives, diversion and routes of administration associated with nonmedical use of prescription opioids. Addict. Behav. 2007, 32, 562–575. [Google Scholar] [CrossRef] [PubMed]
- Kirsh, K.; Peppin, J.; Coleman, J. Characterization of prescription opioid abuse in the United States: Focus on route of administration. J. Pain Palliat. Care Pharmacother. 2012, 26, 348–361. [Google Scholar] [CrossRef]
- Crummy, E.A.; O’Neal, T.J.; Baskin, B.M.; Ferguson, S.M. One Is Not Enough: Understanding and Modeling Polysubstance Use. Front. Neurosci. 2020, 14, 569. [Google Scholar] [CrossRef]
- Bobashev, G.V.; Warren, L.K. National polydrug use patterns among people who misuse prescription opioids and people who use heroin. Results from the National Household Survey on Drug Use and Health. Drug Alcohol Depend. 2022, 238, 109553. [Google Scholar] [CrossRef] [PubMed]
- Magura, S.; Rosenblum, A. Modulating effect of alcohol use on cocaine use. Addict. Behav. 2000, 25, 117–122. [Google Scholar] [CrossRef]
- Puigdollers, E.; Domingo-Salvany, A.; Brugal, M.T.; Torrens, M.; Alvaros, J.; Castillo, C.; Magri, N.; Martin, S.; Vazquez, J.M. Characteristics of heroin addicts entering methadone maintenance treatment: Quality of life and gender. Subst. Use Misuse 2004, 39, 1353–1368. [Google Scholar] [CrossRef]
- Gasparyan, A.; Maldonado Sanchez, D.; Navarrete, F.; Sion, A.; Navarro, D.; Garcia-Gutierrez, M.S.; Rubio Valladolid, G.; Jurado Barba, R.; Manzanares, J. Cognitive Alterations in Addictive Disorders: A Translational Approach. Biomedicines 2023, 11, 1796. [Google Scholar] [CrossRef]
- Quintanilla, M.E.; Israel, Y.; Sapag, A.; Tampier, L. The UChA and UChB rat lines: Metabolic and genetic differences influencing ethanol intake. Addict. Biol. 2006, 11, 310–323. [Google Scholar] [CrossRef]
- Quintanilla, M.E.; Morales, P.; Ezquer, F.; Ezquer, M.; Herrera-Marschitz, M.; Israel, Y. Commonality of Ethanol and Nicotine Reinforcement and Relapse in Wistar-Derived UChB Rats: Inhibition by N-Acetylcysteine. Alcohol. Clin. Exp. Res. 2018, 42, 1988–1999. [Google Scholar] [CrossRef]
- Quintanilla, M.E.; Ezquer, F.; Morales, P.; Santapau, D.; Berrios-Carcamo, P.; Ezquer, M.; Herrera-Marschitz, M.; Israel, Y. Intranasal mesenchymal stem cell secretome administration markedly inhibits alcohol and nicotine self-administration and blocks relapse-intake: Mechanism and translational options. Stem Cell Res. Ther. 2019, 10, 205. [Google Scholar] [CrossRef] [PubMed]
- Quintanilla, M.E.; Morales, P.; Ezquer, F.; Ezquer, M.; Herrera-Marschitz, M.; Israel, Y. Administration of N-acetylcysteine Plus Acetylsalicylic Acid Markedly Inhibits Nicotine Reinstatement Following Chronic Oral Nicotine Intake in Female Rats. Front. Behav. Neurosci. 2020, 14, 617418. [Google Scholar] [CrossRef] [PubMed]
- Waeiss, R.A.; Knight, C.P.; Hauser, S.R.; Pratt, L.A.; McBride, W.J.; Rodd, Z.A. Therapeutic challenges for concurrent ethanol and nicotine consumption: Naltrexone and varenicline fail to alter simultaneous ethanol and nicotine intake by female alcohol-preferring (P) rats. Psychopharmacology 2019, 236, 1887–1900. [Google Scholar] [CrossRef] [PubMed]
- Sari, Y.; Toalston, J.E.; Rao, P.S.S.; Bell, R.L. Effects of ceftriaxone on ethanol, nicotine or sucrose intake by alcohol-preferring (P) rats and its association with GLT-1 expression. Neuroscience 2016, 326, 117–125. [Google Scholar] [CrossRef] [PubMed]
- Badshah, I.; Anwar, M.; Murtaza, B.; Khan, M.I. Molecular mechanisms of morphine tolerance and dependence; novel insights and future perspectives. Mol. Cell. Biochem. 2023. [Google Scholar] [CrossRef]
- Rapeli, P.; Kivisaari, R.; Autti, T.; Kahkonen, S.; Puuskari, V.; Jokela, O.; Kalska, H. Cognitive function during early abstinence from opioid dependence: A comparison to age, gender, and verbal intelligence matched controls. BMC Psychiatry 2006, 6, 9. [Google Scholar] [CrossRef]
- Brolin, E.; Zelleroth, S.; Jonsson, A.; Hallberg, M.; Gronbladh, A.; Nyberg, F. Chronic administration of morphine using mini-osmotic pumps affects spatial memory in the male rat. Pharmacol. Biochem. Behav. 2018, 167, 1–8. [Google Scholar] [CrossRef]
- Emeterio, E.P.; Tramullas, M.; Hurle, M.A. Modulation of apoptosis in the mouse brain after morphine treatments and morphine withdrawal. J. Neurosci. Res. 2006, 83, 1352–1361. [Google Scholar] [CrossRef]
- Hu, S.; Sheng, W.S.; Lokensgard, J.R.; Peterson, P.K. Morphine induces apoptosis of human microglia and neurons. Neuropharmacology 2002, 42, 829–836. [Google Scholar] [CrossRef]
- Cunha-Oliveira, T.; Rego, A.C.; Oliveira, C.R. Cellular and molecular mechanisms involved in the neurotoxicity of opioid and psychostimulant drugs. Brain Res. Rev. 2008, 58, 192–208. [Google Scholar] [CrossRef] [PubMed]
- Ahmadi, S.; Mohammadi Talvar, S.; Masoudi, K.; Zobeiri, M. Repeated Use of Morphine Induces Anxiety by Affecting a Proinflammatory Cytokine Signaling Pathway in the Prefrontal Cortex in Rats. Mol. Neurobiol. 2023, 60, 1425–1439. [Google Scholar] [CrossRef] [PubMed]
- Hutchinson, M.R.; Lewis, S.S.; Coats, B.D.; Skyba, D.A.; Crysdale, N.Y.; Berkelhammer, D.L.; Brzeski, A.; Northcutt, A.; Vietz, C.M.; Judd, C.M.; et al. Reduction of opioid withdrawal and potentiation of acute opioid analgesia by systemic AV411 (ibudilast). Brain Behav. Immun. 2009, 23, 240–250. [Google Scholar] [CrossRef] [PubMed]
- Koob, G.F.; Volkow, N.D. Neurocircuitry of addiction. Neuropsychopharmacology 2010, 35, 217–238. [Google Scholar] [CrossRef] [PubMed]
- Hutchinson, M.R.; Bland, S.T.; Johnson, K.W.; Rice, K.C.; Maier, S.F.; Watkins, L.R. Opioid-induced glial activation: Mechanisms of activation and implications for opioid analgesia, dependence, and reward. Sci. World J. 2007, 7, 98–111. [Google Scholar] [CrossRef] [PubMed]
- Wang, X.; Loram, L.C.; Ramos, K.; de Jesus, A.J.; Thomas, J.; Cheng, K.; Reddy, A.; Somogyi, A.A.; Hutchinson, M.R.; Watkins, L.R.; et al. Morphine activates neuroinflammation in a manner parallel to endotoxin. Proc. Natl. Acad. Sci. USA 2012, 109, 6325–6330. [Google Scholar] [CrossRef] [PubMed]
- El-Hage, N.; Bruce-Keller, A.J.; Knapp, P.E.; Hauser, K.F. CCL5/RANTES gene deletion attenuates opioid-induced increases in glial CCL2/MCP-1 immunoreactivity and activation in HIV-1 Tat-exposed mice. J. Neuroimmune Pharmacol. 2008, 3, 275–285. [Google Scholar] [CrossRef] [PubMed]
- McAdams, R.M.; Juul, S.E. The role of cytokines and inflammatory cells in perinatal brain injury. Neurol. Res. Int. 2012, 2012, 561494. [Google Scholar] [CrossRef]
- Mao, J.; Sung, B.; Ji, R.R.; Lim, G. Chronic morphine induces downregulation of spinal glutamate transporters: Implications in morphine tolerance and abnormal pain sensitivity. J. Neurosci. 2002, 22, 8312–8323. [Google Scholar] [CrossRef]
- Ozawa, T.; Nakagawa, T.; Shige, K.; Minami, M.; Satoh, M. Changes in the expression of glial glutamate transporters in the rat brain accompanied with morphine dependence and naloxone-precipitated withdrawal. Brain Res. 2001, 905, 254–258. [Google Scholar] [CrossRef]
- Gibson, J.M.; Chu, T.; Zeng, W.; Wethall, A.C.; Kong, M.; Mellen, N.; Devlin Phinney, L.A.; Cai, J. Perinatal methadone exposure attenuates myelination and induces oligodendrocyte apoptosis in neonatal rat brain. Exp. Biol. Med. 2022, 247, 1067–1079. [Google Scholar] [CrossRef]
- Guo, F.; Zhang, Y.F.; Liu, K.; Huang, X.; Li, R.X.; Wang, S.Y.; Wang, F.; Xiao, L.; Mei, F.; Li, T. Chronic Exposure to Alcohol Inhibits New Myelin Generation in Adult Mouse Brain. Front. Cell. Neurosci. 2021, 15, 732602. [Google Scholar] [CrossRef]
- Bonora, M.; De Marchi, E.; Patergnani, S.; Suski, J.M.; Celsi, F.; Bononi, A.; Giorgi, C.; Marchi, S.; Rimessi, A.; Duszynski, J.; et al. Tumor necrosis factor-alpha impairs oligodendroglial differentiation through a mitochondria-dependent process. Cell Death Differ. 2014, 21, 1198–1208. [Google Scholar] [CrossRef]
- Su, Z.; Yuan, Y.; Chen, J.; Zhu, Y.; Qiu, Y.; Zhu, F.; Huang, A.; He, C. Reactive astrocytes inhibit the survival and differentiation of oligodendrocyte precursor cells by secreted TNF-alpha. J. Neurotrauma 2011, 28, 1089–1100. [Google Scholar] [CrossRef]
- Fan, R.; Schrott, L.M.; Arnold, T.; Snelling, S.; Rao, M.; Graham, D.; Cornelius, A.; Korneeva, N.L. Chronic oxycodone induces axonal degeneration in rat brain. BMC Neurosci. 2018, 19, 15. [Google Scholar] [CrossRef] [PubMed]
- Quintanilla, M.E.; Quezada, M.; Morales, P.; Berrios-Carcamo, P.; Santapau, D.; Ezquer, M.; Herrera-Marschitz, M.; Israel, Y.; Ezquer, F. Effect of human mesenchymal stem cell secretome administration on morphine self-administration and relapse in two animal models of opioid dependence. Transl. Psychiatry 2022, 12, 462. [Google Scholar] [CrossRef] [PubMed]
- Israel, Y.; Karahanian, E.; Ezquer, F.; Morales, P.; Ezquer, M.; Rivera-Meza, M.; Herrera-Marschitz, M.; Quintanilla, M.E. Acquisition, Maintenance and Relapse-Like Alcohol Drinking: Lessons from the UChB Rat Line. Front. Behav. Neurosci. 2017, 11, 57. [Google Scholar] [CrossRef]
- Skupio, U.; Sikora, M.; Korostynski, M.; Wawrzczak-Bargiela, A.; Piechota, M.; Ficek, J.; Przewlocki, R. Behavioral and transcriptional patterns of protracted opioid self-administration in mice. Addict. Biol. 2017, 22, 1802–1816. [Google Scholar] [CrossRef]
- Gaetani, L.; Hoglund, K.; Parnetti, L.; Pujol-Calderon, F.; Becker, B.; Eusebi, P.; Sarchielli, P.; Calabresi, P.; Di Filippo, M.; Zetterberg, H.; et al. A new enzyme-linked immunosorbent assay for neurofilament light in cerebrospinal fluid: Analytical validation and clinical evaluation. Alzheimers Res. Ther. 2018, 10, 8. [Google Scholar] [CrossRef] [PubMed]
- Nakagawa, T.; Satoh, M. Involvement of glial glutamate transporters in morphine dependence. Ann. N. Y. Acad. Sci. 2004, 1025, 383–388. [Google Scholar] [CrossRef]
- Carson, M.J.; Thrash, J.C.; Walter, B. The cellular response in neuroinflammation: The role of leukocytes, microglia and astrocytes in neuronal death and survival. Clin. Neurosci. Res. 2006, 6, 237–245. [Google Scholar] [CrossRef] [PubMed]
- Gold, M.S.; Baron, D.; Bowirrat, A.; Blum, K. Neurological correlates of brain reward circuitry linked to opioid use disorder (OUD): Do homo sapiens acquire or have a reward deficiency syndrome? J. Neurol. Sci. 2020, 418, 117137. [Google Scholar] [CrossRef] [PubMed]
- Schwarz, J.M.; Hutchinson, M.R.; Bilbo, S.D. Early-life experience decreases drug-induced reinstatement of morphine CPP in adulthood via microglial-specific epigenetic programming of anti-inflammatory IL-10 expression. J. Neurosci. 2011, 31, 17835–17847. [Google Scholar] [CrossRef] [PubMed]
- Herbet, M.; Korga, A.; Gawronska-Grzywacz, M.; Izdebska, M.; Piatkowska-Chmiel, I.; Poleszak, E.; Wrobel, A.; Matysiak, W.; Jodlowska-Jedrych, B.; Dudka, J. Chronic Variable Stress Is Responsible for Lipid and DNA Oxidative Disorders and Activation of Oxidative Stress Response Genes in the Brain of Rats. Oxidative Med. Cell. Longev. 2017, 2017, 7313090. [Google Scholar] [CrossRef] [PubMed]
- Carlson, K.R.; Perez, L. Ethanol and cocaine intake by rats selectively bred for oral opioid acceptance. Pharmacol. Biochem. Behav. 1997, 57, 309–313. [Google Scholar] [CrossRef] [PubMed]
- Guerri, C.; Pascual, M. Alcohol and its impact on myelin. Neuropathol. Drug Addict. Subst. Misuse 2016, 420–432. [Google Scholar] [CrossRef]
- Jo, Y.S.; Mizumori, S.J.Y. Prefrontal Regulation of Neuronal Activity in the Ventral Tegmental Area. Cereb. Cortex 2016, 26, 4057–4068. [Google Scholar] [CrossRef]
- Vetreno, R.P.; Crews, F.T. Current hypotheses on the mechanisms of alcoholism. Handb. Clin. Neurol. 2014, 125, 477–497. [Google Scholar] [CrossRef]
- Qiu, Y.W.; Jiang, G.H.; Su, H.H.; Lv, X.F.; Tian, J.Z.; Li, L.M.; Zhuo, F.Z. The impulsivity behavior is correlated with prefrontal cortex gray matter volume reduction in heroin-dependent individuals. Neurosci. Lett. 2013, 538, 43–48. [Google Scholar] [CrossRef]
- Goldstein, R.Z.; Volkow, N.D. Dysfunction of the prefrontal cortex in addiction: Neuroimaging findings and clinical implications. Nat. Rev. Neurosci. 2011, 12, 652–669. [Google Scholar] [CrossRef]
- Ceceli, A.O.; Huang, Y.; Gaudreault, P.O.; McClain, N.E.; King, S.G.; Kronberg, G.; Brackett, A.; Hoberman, G.N.; Gray, J.H.; Garland, E.L.; et al. Recovery of inhibitory control prefrontal cortex function in inpatients with heroin use disorder: A 15-week longitudinal fMRI study. medRxiv 2023. [Google Scholar] [CrossRef]
- Ceceli, A.O.; Bradberry, C.W.; Goldstein, R.Z. The neurobiology of drug addiction: Cross-species insights into the dysfunction and recovery of the prefrontal cortex. Neuropsychopharmacology 2022, 47, 276–291. [Google Scholar] [CrossRef] [PubMed]
- Morales Odia, Y.; Jinka, M.; Ziai, W.C. Severe leukoencephalopathy following acute oxycodone intoxication. Neurocritical Care 2010, 13, 93–97. [Google Scholar] [CrossRef] [PubMed]
- Offiah, C.; Hall, E. Heroin-induced leukoencephalopathy: Characterization using MRI, diffusion-weighted imaging, and MR spectroscopy. Clin. Radiol. 2008, 63, 146–152. [Google Scholar] [CrossRef]
- Bora, E.; Yucel, M.; Fornito, A.; Pantelis, C.; Harrison, B.J.; Cocchi, L.; Pell, G.; Lubman, D.I. White matter microstructure in opiate addiction. Addict. Biol. 2012, 17, 141–148. [Google Scholar] [CrossRef]
- Li, W.; Li, Q.; Zhu, J.; Qin, Y.; Zheng, Y.; Chang, H.; Zhang, D.; Wang, H.; Wang, L.; Wang, Y.; et al. White matter impairment in chronic heroin dependence: A quantitative DTI study. Brain Res. 2013, 1531, 58–64. [Google Scholar] [CrossRef] [PubMed]
- Upadhyay, J.; Maleki, N.; Potter, J.; Elman, I.; Rudrauf, D.; Knudsen, J.; Wallin, D.; Pendse, G.; McDonald, L.; Griffin, M.; et al. Alterations in brain structure and functional connectivity in prescription opioid-dependent patients. Brain 2010, 133, 2098–2114. [Google Scholar] [CrossRef]
- Boronat, M.A.; Olmos, G.; Garcia-Sevilla, J.A. Attenuation of tolerance to opioid-induced antinociception and protection against morphine-induced decrease of neurofilament proteins by idazoxan and other I2-imidazoline ligands. Br. J. Pharmacol. 1998, 125, 175–185. [Google Scholar] [CrossRef]
- Garcia-Sevilla, J.A.; Ventayol, P.; Busquets, X.; La Harpe, R.; Walzer, C.; Guimon, J. Marked decrease of immunolabelled 68 kDa neurofilament (NF-L) proteins in brains of opiate addicts. Neuroreport 1997, 8, 1561–1565. [Google Scholar] [CrossRef]
- Berrios-Carcamo, P.; Quezada, M.; Quintanilla, M.E.; Morales, P.; Ezquer, M.; Herrera-Marschitz, M.; Israel, Y.; Ezquer, F. Oxidative Stress and Neuroinflammation as a Pivot in Drug Abuse. A Focus on the Therapeutic Potential of Antioxidant and Anti-Inflammatory Agents and Biomolecules. Antioxidants 2020, 9, 830. [Google Scholar] [CrossRef]
- Berrios-Carcamo, P.; Quezada, M.; Santapau, D.; Morales, P.; Olivares, B.; Ponce, C.; Avila, A.; De Gregorio, C.; Ezquer, M.; Quintanilla, M.E.; et al. A Novel Morphine Drinking Model of Opioid Dependence in Rats. Int. J. Mol. Sci. 2022, 23, 3874. [Google Scholar] [CrossRef] [PubMed]
- Cahill, C.M.; Taylor, A.M. Neuroinflammation-a co-occurring phenomenon linking chronic pain and opioid dependence. Curr. Opin. Behav. Sci. 2017, 13, 171–177. [Google Scholar] [CrossRef] [PubMed]
- Song, P.; Zhao, Z.Q. The involvement of glial cells in the development of morphine tolerance. Neurosci. Res. 2001, 39, 281–286. [Google Scholar] [CrossRef]
- Skrabalova, J.; Drastichova, Z.; Novotny, J. Morphine as a Potential Oxidative Stress-Causing Agent. Mini Rev. Org. Chem. 2013, 10, 367–372. [Google Scholar] [CrossRef] [PubMed]
- Katebi, S.N.; Torkaman-Boutorabi, A.; Vousooghi, N.; Riahi, E.; Haghparast, A. Systemic administration of N-acetylcysteine during the extinction period and on the reinstatement day decreased the maintenance of morphine rewarding properties in the rats. Behav. Brain Res. 2021, 413, 113451. [Google Scholar] [CrossRef]
- Campbell, L.A.; Avdoshina, V.; Rozzi, S.; Mocchetti, I. CCL5 and cytokine expression in the rat brain: Differential modulation by chronic morphine and morphine withdrawal. Brain Behav. Immun. 2013, 34, 130–140. [Google Scholar] [CrossRef]
- Szabo, I.; Chen, X.H.; Xin, L.; Adler, M.W.; Howard, O.M.; Oppenheim, J.J.; Rogers, T.J. Heterologous desensitization of opioid receptors by chemokines inhibits chemotaxis and enhances the perception of pain. Proc. Natl. Acad. Sci. USA 2002, 99, 10276–10281. [Google Scholar] [CrossRef]
- Roscic-Mrkic, B.; Fischer, M.; Leemann, C.; Manrique, A.; Gordon, C.J.; Moore, J.P.; Proudfoot, A.E.; Trkola, A. RANTES (CCL5) uses the proteoglycan CD44 as an auxiliary receptor to mediate cellular activation signals and HIV-1 enhancement. Blood 2003, 102, 1169–1177. [Google Scholar] [CrossRef]
- Roberts-Wolfe, D.J.; Kalivas, P.W. Glutamate Transporter GLT-1 as a Therapeutic Target for Substance Use Disorders. CNS Neurol. Disord. Drug Targets 2015, 14, 745–756. [Google Scholar] [CrossRef]
- Abdel-Zaher, A.O.; Mostafa, M.G.; Farghaly, H.S.; Hamdy, M.M.; Abdel-Hady, R.H. Role of oxidative stress and inducible nitric oxide synthase in morphine-induced tolerance and dependence in mice. Effect of alpha-lipoic acid. Behav. Brain Res. 2013, 247, 17–26. [Google Scholar] [CrossRef]
- Abdel-Zaher, A.O.; Mostafa, M.G.; Farghly, H.M.; Hamdy, M.M.; Omran, G.A.; Al-Shaibani, N.K. Inhibition of brain oxidative stress and inducible nitric oxide synthase expression by thymoquinone attenuates the development of morphine tolerance and dependence in mice. Eur. J. Pharmacol. 2013, 702, 62–70. [Google Scholar] [CrossRef]
- Gipson, C.D.; Rawls, S.; Scofield, M.D.; Siemsen, B.M.; Bondy, E.O.; Maher, E.E. Interactions of neuroimmune signaling and glutamate plasticity in addiction. J. Neuroinflammation 2021, 18, 56. [Google Scholar] [CrossRef]
- Zou, J.Y.; Crews, F.T. TNF alpha potentiates glutamate neurotoxicity by inhibiting glutamate uptake in organotypic brain slice cultures: Neuroprotection by NF kappa B inhibition. Brain Res. 2005, 1034, 11–24. [Google Scholar] [CrossRef] [PubMed]
- Trotti, D.; Rossi, D.; Gjesdal, O.; Levy, L.M.; Racagni, G.; Danbolt, N.C.; Volterra, A. Peroxynitrite inhibits glutamate transporter subtypes. J. Biol. Chem. 1996, 271, 5976–5979. [Google Scholar] [CrossRef] [PubMed]
- Trotti, D.; Danbolt, N.C.; Volterra, A. Glutamate transporters are oxidant-vulnerable: A molecular link between oxidative and excitotoxic neurodegeneration? Trends Pharmacol. Sci. 1998, 19, 328–334. [Google Scholar] [CrossRef] [PubMed]
- Danbolt, N.C. Glutamate uptake. Prog. Neurobiol. 2001, 65, 1–105. [Google Scholar] [CrossRef] [PubMed]
- David, C.N.; Frias, E.S.; Szu, J.I.; Vieira, P.A.; Hubbard, J.A.; Lovelace, J.; Michael, M.; Worth, D.; McGovern, K.E.; Ethell, I.M.; et al. GLT-1-Dependent Disruption of CNS Glutamate Homeostasis and Neuronal Function by the Protozoan Parasite Toxoplasma gondii. PLoS Pathog. 2016, 12, e1005643. [Google Scholar] [CrossRef] [PubMed]
- Thorlin, T.; Roginski, R.S.; Choudhury, K.; Nilsson, M.; Ronnback, L.; Hansson, E.; Eriksson, P.S. Regulation of the glial glutamate transporter GLT-1 by glutamate and delta-opioid receptor stimulation. FEBS Lett. 1998, 425, 453–459. [Google Scholar] [CrossRef]
- Eidson, L.N.; Murphy, A.Z. Blockade of Toll-like receptor 4 attenuates morphine tolerance and facilitates the pain relieving properties of morphine. J. Neurosci. 2013, 33, 15952–15963. [Google Scholar] [CrossRef] [PubMed]
- Font-Mayolas, S.; Calvo, F. Polydrug Definition and Assessment: The State of the Art. Int. J. Environ. Res. Public Health 2022, 19, 13542. [Google Scholar] [CrossRef]
- Le, A.D.; Li, Z.; Funk, D.; Shram, M.; Li, T.K.; Shaham, Y. Increased vulnerability to nicotine self-administration and relapse in alcohol-naive offspring of rats selectively bred for high alcohol intake. J. Neurosci. 2006, 26, 1872–1879. [Google Scholar] [CrossRef]
- Bustamante, D.; Quintanilla, M.E.; Tampier, L.; Gonzalez-Lira, V.; Israel, Y.; Herrera-Marschitz, M. Ethanol induces stronger dopamine release in nucleus accumbens (shell) of alcohol-preferring (bibulous) than in alcohol-avoiding (abstainer) rats. Eur. J. Pharmacol. 2008, 591, 153–158. [Google Scholar] [CrossRef]
- Robinson, S.F.; Marks, M.J.; Collins, A.C. Inbred mouse strains vary in oral self-selection of nicotine. Psychopharmacology 1996, 124, 332–339. [Google Scholar] [CrossRef]
- Stolerman, I.P.; Naylor, C.; Elmer, G.I.; Goldberg, S.R. Discrimination and self-administration of nicotine by inbred strains of mice. Psychopharmacology 1999, 141, 297–306. [Google Scholar] [CrossRef] [PubMed]
- Murphy, N.P.; Lam, H.A.; Maidment, N.T. A comparison of morphine-induced locomotor activity and mesolimbic dopamine release in C57BL6, 129Sv and DBA2 mice. J. Neurochem. 2001, 79, 626–635. [Google Scholar] [CrossRef] [PubMed]
- Orsini, C.; Bonito-Oliva, A.; Conversi, D.; Cabib, S. Susceptibility to conditioned place preference induced by addictive drugs in mice of the C57BL/6 and DBA/2 inbred strains. Psychopharmacology 2005, 181, 327–336. [Google Scholar] [CrossRef]
- Diana, M. The dopamine hypothesis of drug addiction and its potential therapeutic value. Front. Psychiatry 2011, 2, 64. [Google Scholar] [CrossRef] [PubMed]
- Cicero, T.J.; Aylward, S.C.; Meyer, E.R. Gender differences in the intravenous self-administration of mu opiate agonists. Pharmacol. Biochem. Behav. 2003, 74, 541–549. [Google Scholar] [CrossRef] [PubMed]
- Mohammadian, J.; Najafi, M.; Miladi-Gorji, H. Effect of enriched environment during adolescence on spatial learning and memory, and voluntary consumption of morphine in maternally separated rats in adulthood. Dev. Psychobiol. 2019, 61, 615–625. [Google Scholar] [CrossRef] [PubMed]
- Carroll, M.E.; Morgan, A.D.; Lynch, W.J.; Campbell, U.C.; Dess, N.K. Intravenous cocaine and heroin self-administration in rats selectively bred for differential saccharin intake: Phenotype and sex differences. Psychopharmacology 2002, 161, 304–313. [Google Scholar] [CrossRef]
- Strandberg, J.J.; Kugelberg, F.C.; Alkass, K.; Gustavsson, A.; Zahlsen, K.; Spigset, O.; Druid, H. Toxicological analysis in rats subjected to heroin and morphine overdose. Toxicol. Lett. 2006, 166, 11–18. [Google Scholar] [CrossRef] [PubMed]
- Gellert, V.F.; Holtzman, S.G. Development and maintenance of morphine tolerance and dependence in the rat by scheduled access to morphine drinking solutions. J. Pharmacol. Exp. Ther. 1978, 205, 536–546. [Google Scholar] [PubMed]
- He, S.; Atkinson, C.; Qiao, F.; Chen, X.; Tomlinson, S. Ketamine-xylazine-acepromazine compared with isoflurane for anesthesia during liver transplantation in rodents. J. Am. Assoc. Lab. Anim. Sci. 2010, 49, 45–51. [Google Scholar]
- Gonzalez, L.F.; Acuna, E.; Arellano, G.; Morales, P.; Sotomayor, P.; Oyarzun-Ampuero, F.; Naves, R. Intranasal delivery of interferon-beta-loaded nanoparticles induces control of neuroinflammation in a preclinical model of multiple sclerosis: A promising simple, effective, non-invasive, and low-cost therapy. J. Control Release 2021, 331, 443–459. [Google Scholar] [CrossRef] [PubMed]
- Israel, Y.; Quintanilla, M.E.; Ezquer, F.; Morales, P.; Santapau, D.; Berrios-Carcamo, P.; Ezquer, M.; Olivares, B.; Herrera-Marschitz, M. Aspirin and N-acetylcysteine co-administration markedly inhibit chronic ethanol intake and block relapse binge drinking: Role of neuroinflammation-oxidative stress self-perpetuation. Addict. Biol. 2021, 26, e12853. [Google Scholar] [CrossRef]








Disclaimer/Publisher’s Note: The statements, opinions and data contained in all publications are solely those of the individual author(s) and contributor(s) and not of MDPI and/or the editor(s). MDPI and/or the editor(s) disclaim responsibility for any injury to people or property resulting from any ideas, methods, instructions or products referred to in the content. |
© 2023 by the authors. Licensee MDPI, Basel, Switzerland. This article is an open access article distributed under the terms and conditions of the Creative Commons Attribution (CC BY) license (https://creativecommons.org/licenses/by/4.0/).
Share and Cite
Quintanilla, M.E.; Morales, P.; Santapau, D.; Ávila, A.; Ponce, C.; Berrios-Cárcamo, P.; Olivares, B.; Gallardo, J.; Ezquer, M.; Herrera-Marschitz, M.; et al. Chronic Voluntary Morphine Intake Is Associated with Changes in Brain Structures Involved in Drug Dependence in a Rat Model of Polydrug Use. Int. J. Mol. Sci. 2023, 24, 17081. https://doi.org/10.3390/ijms242317081
Quintanilla ME, Morales P, Santapau D, Ávila A, Ponce C, Berrios-Cárcamo P, Olivares B, Gallardo J, Ezquer M, Herrera-Marschitz M, et al. Chronic Voluntary Morphine Intake Is Associated with Changes in Brain Structures Involved in Drug Dependence in a Rat Model of Polydrug Use. International Journal of Molecular Sciences. 2023; 24(23):17081. https://doi.org/10.3390/ijms242317081
Chicago/Turabian StyleQuintanilla, María Elena, Paola Morales, Daniela Santapau, Alba Ávila, Carolina Ponce, Pablo Berrios-Cárcamo, Belén Olivares, Javiera Gallardo, Marcelo Ezquer, Mario Herrera-Marschitz, and et al. 2023. "Chronic Voluntary Morphine Intake Is Associated with Changes in Brain Structures Involved in Drug Dependence in a Rat Model of Polydrug Use" International Journal of Molecular Sciences 24, no. 23: 17081. https://doi.org/10.3390/ijms242317081
APA StyleQuintanilla, M. E., Morales, P., Santapau, D., Ávila, A., Ponce, C., Berrios-Cárcamo, P., Olivares, B., Gallardo, J., Ezquer, M., Herrera-Marschitz, M., Israel, Y., & Ezquer, F. (2023). Chronic Voluntary Morphine Intake Is Associated with Changes in Brain Structures Involved in Drug Dependence in a Rat Model of Polydrug Use. International Journal of Molecular Sciences, 24(23), 17081. https://doi.org/10.3390/ijms242317081

