Circulatory miRNAs as Correlates of Elevated Intra-Pancreatic Fat Deposition in a Mixed Ethnic Female Cohort: The TOFI_Asia Study
Abstract
:1. Introduction
2. Results
2.1. Characteristics of the Study Population
2.2. Quantitative Analysis of the Eleven miRNAs
2.3. Expression of Circulating miRNAs Correlates with MR-%IPFD but Not with MR-%Liver Fat
2.4. Expression of Circulating miRNAs Correlates with HOMA2-IR, HbA1c and Fasting Plasma Insulin
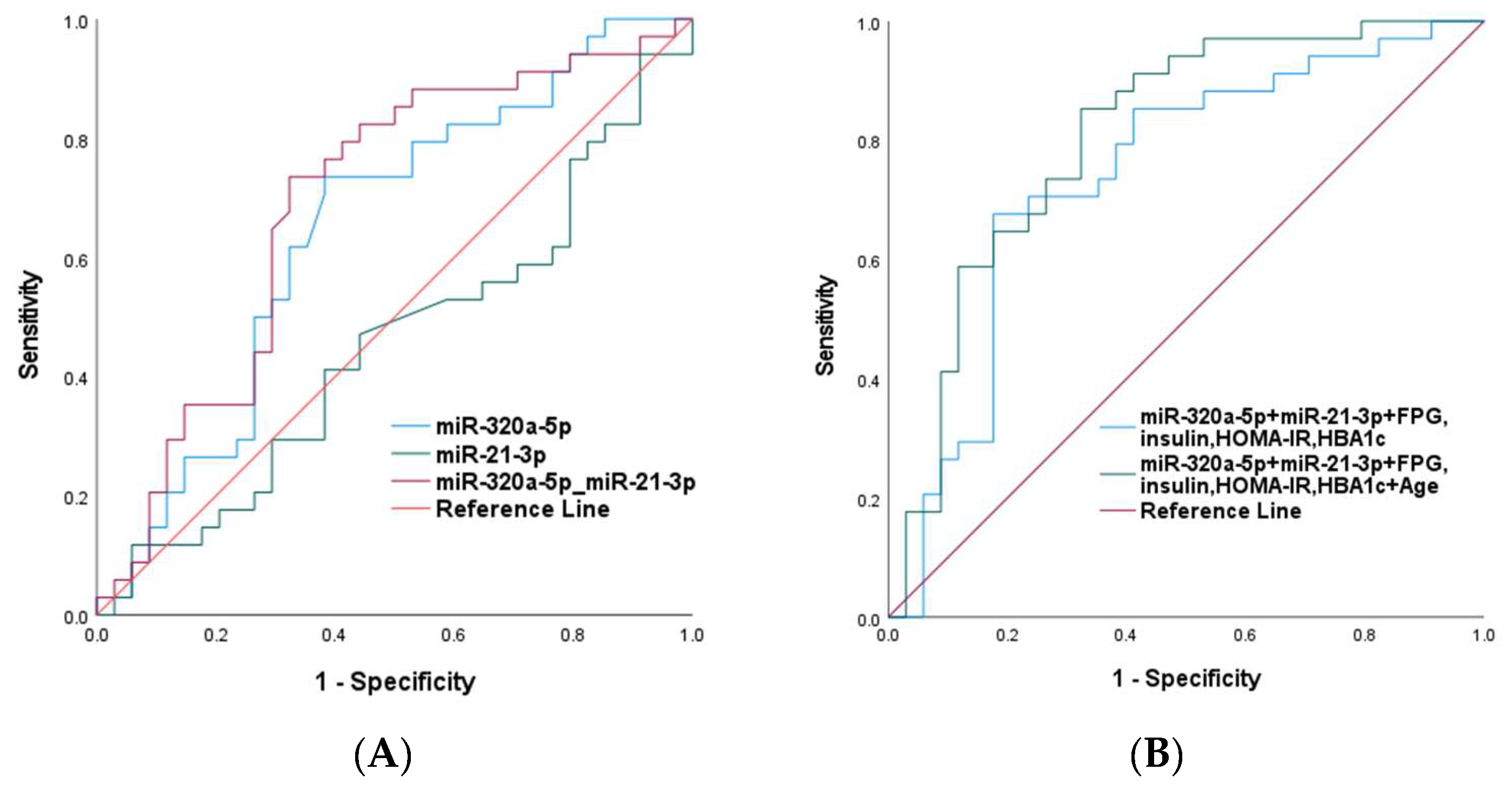
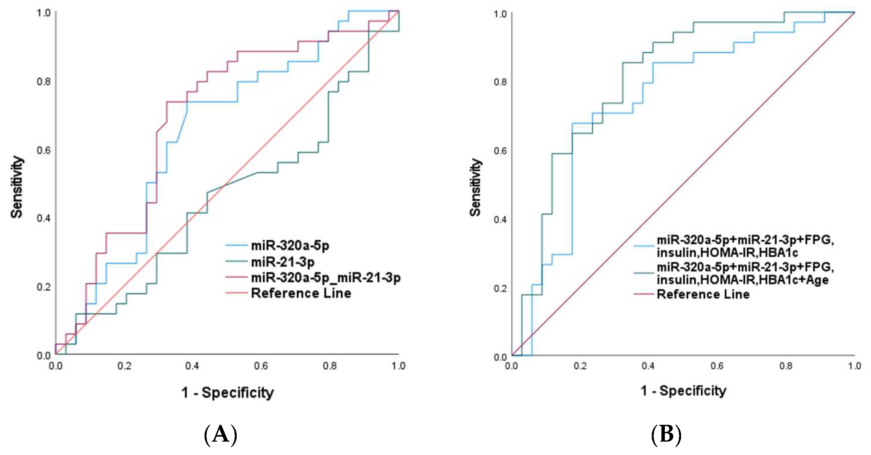
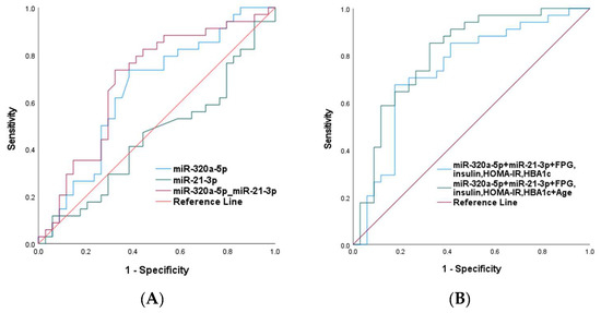
2.5. Receiver Operating Characteristic (ROC) Curve Analysis
3. Discussion
4. Methods and Materials
4.1. Study Design
4.2. Study Population
4.3. Sample Collection
4.4. Anthropometric and Biochemical Analysis
4.5. Pancreatic and Liver Fat Content Quantification by Magnetic Resonance Imaging (MRI) and Spectroscopy (MRS)
4.6. Circulating Total RNA Extraction
4.7. cDNA Synthesis
4.8. Circulating miRNA Real-Time Quantitative PCR (qPCR)
4.9. Statistical Analysis
5. Conclusions
Supplementary Materials
Author Contributions
Funding
Institutional Review Board Statement
Informed Consent Statement
Data Availability Statement
Acknowledgments
Conflicts of Interest
References
- Neeland, I.J.; Ross, R.; Després, J.P.; Matsuzawa, Y.; Yamashita, S.; Shai, I.; Seidell, J.; Magni, P.; Santos, R.D.; Arsenault, B.; et al. Visceral and Ectopic Fat, Atherosclerosis, and Cardiometabolic Disease: A Position Statement. Lancet Diabetes Endocrinol. 2019, 7, 715–725. [Google Scholar] [CrossRef] [PubMed]
- Godoy-Matos, A.F.; Silva Júnior, W.S.; Valerio, C.M. NAFLD as a Continuum: From Obesity to Metabolic Syndrome and Diabetes. Diabetol. Metab. Syndr. 2020, 12, 60. [Google Scholar] [CrossRef] [PubMed]
- Catanzaro, R.; Cuffari, B.; Italia, A.; Marotta, F. Exploring the Metabolic Syndrome: Nonalcoholic Fatty Pancreas Disease. World J. Gastroenterol. 2016, 22, 7660. [Google Scholar] [CrossRef] [PubMed]
- Cai, J.; Zhang, X.J.; Ji, Y.X.; Zhang, P.; She, Z.G.; Li, H. Nonalcoholic Fatty Liver Disease Pandemic Fuels the Upsurge in Cardiovascular Diseases. Circ. Res. 2020, 126, 679–704. [Google Scholar] [CrossRef] [PubMed]
- Mathur, A.; Marine, M.; Lu, D.; Swartz-Basile, D.A.; Saxena, R.; Zyromski, N.J.; Pitt, H.A. Nonalcoholic Fatty Pancreas Disease. HPB 2007, 9, 312–318. [Google Scholar] [CrossRef] [PubMed]
- Caldart, F.; de Pretis, N.; Luchini, C.; Ciccocioppo, R.; Frulloni, L. Pancreatic Steatosis and Metabolic Pancreatic Disease: A New Entity? Intern. Emerg. Med. 2023, 1–10. [Google Scholar] [CrossRef] [PubMed]
- Unger, R.H. Lipid Overload and Overflow: Metabolic Trauma and the Metabolic Syndrome. Trends Endocrinol. Metab. 2003, 14, 398–403. [Google Scholar] [CrossRef]
- Singh, R.G.; Yoon, H.D.; Poppitt, S.D.; Plank, L.D.; Petrov, M.S. Ectopic Fat Accumulation in the Pancreas and Its Biomarkers: A Systematic Review and Meta-Analysis. Diabetes Metab. Res. Rev. 2017, 33, e2918. [Google Scholar] [CrossRef]
- Heber, S.D.; Hetterich, H.; Lorbeer, R.; Bayerl, C.; Machann, J.; Auweter, S.; Storz, C.; Schlett, C.L.; Nikolaou, K.; Reiser, M.; et al. Pancreatic Fat Content by Magnetic Resonance Imaging in Subjects with Prediabetes, Diabetes, and Controls from a General Population without Cardiovascular Disease. PLoS ONE 2017, 12, e0177154. [Google Scholar] [CrossRef]
- Al-Mrabeh, A.; Hollingsworth, K.G.; Steven, S.; Tiniakos, D.; Taylor, R. Quantification of Intrapancreatic Fat in Type 2 Diabetes by MRI. PLoS ONE 2017, 12, e0174660. [Google Scholar] [CrossRef]
- Dong, Z.; Luo, Y.; Cai, H.; Zhang, Z.; Peng, Z.; Jiang, M.; Li, Y.; Li, C.; Li, Z.P.; Feng, S.T. Noninvasive Fat Quantification of the Liver and Pancreas May Provide Potential Biomarkers of Impaired Glucose Tolerance and Type 2 Diabetes. Medicine 2016, 95, e3858. [Google Scholar] [CrossRef] [PubMed]
- Wu, Z.E.; Fraser, K.; Kruger, M.C.; Sequeira, I.R.; Yip, W.; Lu, L.W.; Plank, L.D.; Murphy, R.; Cooper, G.J.S.; Martin, J.C.; et al. Untargeted Metabolomics Reveals Plasma Metabolites Predictive of Ectopic Fat in Pancreas and Liver as Assessed by Magnetic Resonance Imaging: The TOFI_Asia Study. Int. J. Obes. 2021, 45, 1844–1854. [Google Scholar] [CrossRef]
- LaPierre, M.P.; Stoffel, M. MicroRNAs as Stress Regulators in Pancreatic Beta Cells and Diabetes. Mol. Metab. 2017, 6, 1010–1023. [Google Scholar] [CrossRef] [PubMed]
- Mehta, R.; Otgonsuren, M.; Younoszai, Z.; Allawi, H.; Raybuck, B.; Younossi, Z. Circulating MiRNA in Patients with Non-Alcoholic Fatty Liver Disease and Coronary Artery Disease. BMJ Open Gastroenterol. 2016, 3, e000096. [Google Scholar] [CrossRef] [PubMed]
- Goncalves, B.D.S.; Meadows, A.; Pereira, D.G.; Puri, R.; Pillai, S.S. Insight into the Inter-Organ Crosstalk and Prognostic Role of Liver-Derived MicroRNAs in Metabolic Disease Progression. Biomedicines 2023, 11, 1597. [Google Scholar] [CrossRef] [PubMed]
- López-Bermudo, L.; Luque-Sierra, A.; Maya-Miles, D.; Gallego-Durán, R.; Ampuero, J.; Romero-Gómez, M.; Berná, G.; Martín, F. Contribution of Liver and Pancreatic Islet Crosstalk to β-Cell Function/Dysfunction in the Presence of Fatty Liver. Front. Endocrinol. 2022, 13, 892672. [Google Scholar] [CrossRef] [PubMed]
- Calderari, S.; Diawara; Garaud, A.; Gauguier, D. Biological Roles of MicroRNAs in the Control of Insulin Secretion and Action. Physiol. Genom. 2017, 49, 1–10. [Google Scholar] [CrossRef]
- Song, I.; Roels, S.; Martens, G.A.; Bouwens, L. Circulating MicroRNA-375 as Biomarker of Pancreatic Beta Cell Death and Protection of Beta Cell Mass by Cytoprotective Compounds. PLoS ONE 2017, 12, e0186480. [Google Scholar] [CrossRef]
- Lei, L.; Zhou, C.; Yang, X.; Li, L. Down-Regulation of MicroRNA-375 Regulates Adipokines and Inhibits Inflammatory Cytokines by Targeting AdipoR2 in Non-Alcoholic Fatty Liver Disease. Clin. Exp. Pharmacol. Physiol. 2018, 45, 819–831. [Google Scholar] [CrossRef]
- Gatfield, D.; Le Martelot, G.; Vejnar, C.E.; Gerlach, D.; Schaad, O.; Fleury-Olela, F.; Ruskeepää, A.-L.; Oresic, M.; Esau, C.C.; Zdobnov, E.M.; et al. Integration of MicroRNA MiR-122 in Hepatic Circadian Gene Expression. Genes Dev. 2009, 23, 1313–1326. [Google Scholar] [CrossRef]
- Lynn, F.C. Meta-Regulation: MicroRNA Regulation of Glucose and Lipid Metabolism. Trends Endocrinol. Metab. 2009, 20, 452–459. [Google Scholar] [CrossRef] [PubMed]
- Qu, Y.; Ding, Y.; Lu, J.; Jia, Y.; Bian, C.; Guo, Y.; Zheng, Z.; Mei, W.; Cao, F.; Li, F. Identification of Key MicroRNAs in Exosomes Derived from Patients with the Severe Acute Pancreatitis. Asian J. Surg. 2023, 46, 337–347. [Google Scholar] [CrossRef] [PubMed]
- Vychytilova-Faltejskova, P.; Kiss, I.; Klusova, S.; Hlavsa, J.; Prochazka, V.; Kala, Z.; Mazanec, J.; Hausnerova, J.; Kren, L.; Hermanova, M.; et al. MiR-21, MiR-34a, MiR-198 and MiR-217 as Diagnostic and Prognostic Biomarkers for Chronic Pancreatitis and Pancreatic Ductal Adenocarcinoma. Diagn. Pathol. 2015, 10, 38. [Google Scholar] [CrossRef] [PubMed]
- Al-Muhtaresh, H.A.; Al-Kafaji, G. Evaluation of Two-Diabetes Related MicroRNAs Suitability as Earlier Blood Biomarkers for Detecting Prediabetes and Type 2 Diabetes Mellitus. J. Clin. Med. 2018, 7, 12. [Google Scholar] [CrossRef] [PubMed]
- Qu, K.; Zhang, X.; Lin, T.; Liu, T.; Wang, Z.; Liu, S.; Zhou, L.; Wei, J.; Chang, H.; Li, K.; et al. Circulating MiRNA-21-5p as a Diagnostic Biomarker for Pancreatic Cancer: Evidence from Comprehensive MiRNA Expression Profiling Analysis and Clinical Validation. Sci. Rep. 2017, 7, 1692. [Google Scholar] [CrossRef] [PubMed]
- Xin, L.; Gao, J.; Wang, D.; Lin, J.H.; Liao, Z.; Ji, J.T.; Du, T.T.; Jiang, F.; Hu, L.H.; Li, Z.S. Novel Blood-Based MicroRNA Biomarker Panel for Early Diagnosis of Chronic Pancreatitis. Sci. Rep. 2017, 7, 40019. [Google Scholar] [CrossRef] [PubMed]
- Sequeira, I.R.; Yip, W.C.; Lu, L.W.W.; Jiang, Y.; Murphy, R.; Plank, L.D.; Cooper, G.J.S.; Peters, C.N.; Lu, J.; Hollingsworth, K.G.; et al. Pancreas Fat, an Early Marker of Metabolic Risk? A Magnetic Resonance Study of Chinese and Caucasian Women: TOFI_Asia Study. Front. Physiol. 2022, 13, 421. [Google Scholar] [CrossRef]
- Classification and Diagnosis of Diabetes: Standards of Medical Care in Diabetes-2018. Diabetes Care 2018, 41, S13–S27. [CrossRef]
- Singh, R.G.; Yoon, H.D.; Wu, L.M.; Lu, J.; Plank, L.D.; Petrov, M.S. Ectopic Fat Accumulation in the Pancreas and Its Clinical Relevance: A Systematic Review, Meta-Analysis, and Meta-Regression. Metabolism 2017, 69, 1–13. [Google Scholar] [CrossRef]
- Petäjä, E.M.; Yki-Järvinen, H. Definitions of Normal Liver Fat and the Association of Insulin Sensitivity with Acquired and Genetic NAFLD-A Systematic Review. Int. J. Mol. Sci. 2016, 17, 633. [Google Scholar] [CrossRef]
- Wang, T.; Jiang, L.; Wei, X.; Liu, B.; Zhao, J.; Xie, P.; Yang, B.; Wang, L. MiR-21-3p Aggravates Injury in Rats with Acute Hemorrhagic Necrotizing Pancreatitis by Activating TRP Signaling Pathway. Biomed. Pharmacother. 2018, 107, 1744–1753. [Google Scholar] [CrossRef]
- Kuryłowicz, A.; Wicik, Z.; Owczarz, M.; Jonas, M.I.; Kotlarek, M.; Świerniak, M.; Lisik, W.; Jonas, M.; Noszczyk, B.; Puzianowska-Kuźnicka, M. NGS Reveals Molecular Pathways Affected by Obesity and Weight Loss-Related Changes in MiRNA Levels in Adipose Tissue. Int. J. Mol. Sci. 2018, 19, 66. [Google Scholar] [CrossRef] [PubMed]
- Keller, P.; Gburcik, V.; Petrovic, N.; Gallagher, I.J.; Nedergaard, J.; Cannon, B.; Timmons, J.A. Gene-Chip Studies of Adipogenesis-Regulated MicroRNAs in Mouse Primary Adipocytes and Human Obesity. BMC Endocr. Disord. 2011, 11, 7. [Google Scholar] [CrossRef] [PubMed]
- Androsavich, J.R.; Chau, B.N.; Bhat, B.; Linsley, P.S.; Walter, N.G. Disease-Linked MicroRNA-21 Exhibits Drastically Reduced MRNA Binding and Silencing Activity in Healthy Mouse Liver. RNA 2012, 18, 1510–1526. [Google Scholar] [CrossRef]
- Calo, N.; Ramadori, P.; Sobolewski, C.; Romero, Y.; Maeder, C.; Fournier, M.; Rantakari, P.; Zhang, F.-P.; Poutanen, M.; Dufour, J.-F.; et al. Stress-Activated MiR-21/MiR-21* in Hepatocytes Promotes Lipid and Glucose Metabolic Disorders Associated with High-Fat Diet Consumption. Gut 2016, 65, 1871–1881. [Google Scholar] [CrossRef] [PubMed]
- Ko, J.; Skudder-Hill, L.; Priya, S.; Kimita, W.; Bharmal, S.H.; Petrov, M.S. Associations between Intra-Pancreatic Fat Deposition, Pancreas Size, and Pancreatic Enzymes in Health and after an Attack of Acute Pancreatitis. Obes. Facts 2022, 15, 70. [Google Scholar] [CrossRef]
- Lilly, A.C.; Astsaturov, I.; Golemis, E.A. Intrapancreatic Fat, Pancreatitis, and Pancreatic Cancer. Cell. Mol. Life Sci. 2023, 80, 206. [Google Scholar] [CrossRef] [PubMed]
- Ling, H.-Y.; Ou, H.-S.; Feng, S.-D.; Zhang, X.-Y.; Tuo, Q.-H.; Chen, L.-X.; Zhu, B.-Y.; Gao, Z.-P.; Tang, C.-K.; Yin, W.-D.; et al. Changes in MicroRNA (MiR) Profile and Effects of Mir-320 in Insulin-Resistant 3t3-L1 Adipocytes. Clin. Exp. Pharmacol. Physiol. 2009, 36, e32–e39. [Google Scholar] [CrossRef]
- Lê, K.A.; Ventura, E.E.; Fisher, J.Q.; Davis, J.N.; Weigensberg, M.J.; Punyanitya, M.; Hu, H.H.; Nayak, K.S.; Goran, M.I. Ethnic Differences in Pancreatic Fat Accumulation and Its Relationship with Other Fat Depots and Inflammatory Markers. Diabetes Care 2011, 34, 485–490. [Google Scholar] [CrossRef]
- Huang, R.S.; Gamazon, E.R.; Ziliak, D.; Wen, Y.; Im, H.K.; Zhang, W.; Wing, C.; Duan, S.; Bleibel, W.K.; Cox, N.J.; et al. Population Differences in MicroRNA Expression and Biological Implications. RNA Biol. 2011, 8, 692–701. [Google Scholar] [CrossRef]
- Tiscornia, O.M.; Cresta, M.A.; de Lehmann, E.S.; Celener, D.; Dreiling, D.A. Effects of Sex and Age on Pancreatic Secretion. Int. J. Pancreatol. 1986, 1, 95–118. [Google Scholar] [CrossRef] [PubMed]
- Zhang, J.; Li, S.; Li, L.; Li, M.; Guo, C.; Yao, J.; Mi, S. Exosome and Exosomal MicroRNA: Trafficking, Sorting, and Function. Genom. Proteom. Bioinform. 2015, 13, 17–24. [Google Scholar] [CrossRef] [PubMed]
- Sequeira, I.R.; Yip, W.; Lu, L.; Jiang, Y.; Murphy, R.; Plank, L.; Zhang, S.; Liu, H.; Chuang, C.L.; Vazhoor-Amarsingh, G.; et al. Visceral Adiposity and Glucoregulatory Peptides Are Associated with Susceptibility to Type 2 Diabetes: The TOFI_Asia Study. Obesity 2020, 28, 2368–2378. [Google Scholar] [CrossRef] [PubMed]
- Matthews, D.R.; Hosker, J.P.; Rudenski, A.S.; Naylor, B.A.; Treacher, D.F.; Turner, R.C. Homeostasis Model Assessment: Insulin Resistance and β-Cell Function from Fasting Plasma Glucose and Insulin Concentrations in Man. Diabetologia 1985, 28, 412–419. [Google Scholar] [CrossRef] [PubMed]
- D’Souza, R.F.; Markworth, J.F.; Aasen, K.M.M.; Zeng, N.; Cameron-Smith, D.; Mitchell, C.J. Acute Resistance Exercise Modulates MicroRNA Expression Profiles: Combined Tissue and Circulatory Targeted Analyses. PLoS ONE 2017, 12, e0181594. [Google Scholar] [CrossRef] [PubMed]
- Ramzan, F.; D’Souza, R.F.; Durainayagam, B.R.; Milan, A.M.; Markworth, J.F.; Miranda-Soberanis, V.; Sequeira, I.R.; Roy, N.C.; Poppitt, S.D.; Mitchell, C.J.; et al. Circulatory MiRNA Biomarkers of Metabolic Syndrome. Acta Diabetol. 2020, 57, 203–214. [Google Scholar] [CrossRef] [PubMed]
- Shah, J.S.; Soon, P.S.; Marsh, D.J. Comparison of Methodologies to Detect Low Levels of Hemolysis in Serum for Accurate Assessment of Serum MicroRNAs. PLoS ONE 2016, 11, e0153200. [Google Scholar] [CrossRef]
- Schmittgen, T.D.; Livak, K.J. Analyzing Real-Time PCR Data by the Comparative CT Method. Nat. Protoc. 2008, 3, 1101–1108. [Google Scholar] [CrossRef]



| Participant Characteristics | Asian Chinese (n = 34) | European Caucasian (n = 34) | p-Value |
|---|---|---|---|
| Age (years) | 41.0 ± 13.0 | 47.8 ± 15.4 | 0.05 |
| BMI (kg/m2) | 26.7 ± 4.2 | 28.0 ± 4.5 | 0.24 |
| Waist Circumference (cm) | 85.6 ± 11.1 | 91.7± 13.9 | 0.05 |
| BP-Systolic (mmHg) | 120 ± 22 | 120 ± 19 | 0.93 |
| BP-Diastolic (mmHg) | 65 ± 12 | 64 ± 8 | 0.61 |
| HbA1c (mmol/mol) | 35.5 ± 3.8 | 33.9 ± 3.9 | 0.09 |
| Fasting Plasma Glucose (FPG) (mmol/L) | 5.2 ± 0.5 | 5.1 ± 0.7 | 0.52 |
| Total Cholesterol (mmol/L) | 4.5 ± 0.9 | 5.2 ± 0.9 | 0.004 |
| LDL-C (mmol/L) | 2.5 ± 0.7 | 2.9 ± 0.9 | 0.02 |
| HDL-C (mmol/L) | 1.4 ± 0.4 | 1.8 ± 0.4 | 0.001 |
| Triglycerides (mmol/L) | 1.3 ± 0.7 | 1.0 ± 0.5 | 0.09 |
| HOMA2-IR | 1.8 ± 1.0 | 1.6 ± 1.2 | 0.37 |
| MR-%IPFD | 4.3 ± 2.0 | 4.1 ± 1.9 | 0.69 |
| MR-%liver fat | 4.6 ± 4.7 | 3.7 ± 4.8 | 0.47 |
| miRNA Abundance | Asian Chinese (n = 34) | European Caucasian (n = 34) | p-Value |
|---|---|---|---|
| miR-24-5p | 0.77 ± 0.52 | 0.26 ± 0.02 | 0.20 |
| miR-17-5p | 0.37 ± 0.04 | 0.75 ± 0.05 | <0.01 |
| miR-221-3p | 0.46 ± 0.03 | 0.54 ± 0.04 | 0.22 |
| miR-15a-5p | 0.29 ± 0.02 | 0.44 ± 0.04 | 0.01 |
| miR-361-5p | 1.13 ± 1.08 | 0.04 ± 0.004 | 0.19 |
| miR-21-3p | 0.007 ± 0.001 | 0.005 ± 0.001 | 0.26 |
| miR-7-5p | 0.0009 ± 0.000 | 0.001 ± 0.0002 | 0.25 |
| miR-320a-3p | 2.39 ± 0.23 | 1.76 ± 0.17 | 0.03 |
| miR-146-5p | 0.05 ± 0.01 | 0.04 ± 0.00 | 0.25 |
| miR-126-3p | 0.75 ± 0.14 | 1.11 ± 0.09 | 0.03 |
| miR-375-5p | 0.19 ± 0.18 | 0.03 ± 0.05 | 0.22 |
| Model | B | SEM | Expected (B) | p-Value |
|---|---|---|---|---|
| (Constant) | −0.29 | 0.19 | −1.48 | 0.14 |
| miR-21-3p | −3.87 | 1.63 | −2.37 | 0.02 |
| miR-320a-5p | −0.02 | 0.01 | −1.53 | 0.13 |
| BMI (kg/m2) | 0.01 | 0.00 | 3.07 | 0.00 |
| FPG (mmol/L) | 0.11 | 0.03 | 3.60 | 0.00 |
| Insulin (pg/mL) | −0.00 | 0.00 | −0.48 | 0.62 |
| Ethnicity | 0.00 | 0.03 | 0.23 | 0.81 |
| Model | B | SEM | Expected (B) | p-Value |
|---|---|---|---|---|
| (Constant) | −1.04 | 0.47 | −2.21 | 0.03 |
| miR-21-3p | −4.92 | 3.82 | −1.28 | 0.20 |
| miR-320a-5p | −0.02 | 0.04 | −0.50 | 0.61 |
| BMI (kg/m2) | 0.02 | 0.01 | 2.16 | 0.03 |
| FPG (mmol/L) | 0.12 | 0.08 | 1.52 | 0.13 |
| Insulin (pg/mL) | 0.00 | 0.00 | 1.86 | 0.06 |
| Ethnicity | 0.05 | 0.09 | 0.56 | 0.57 |
Disclaimer/Publisher’s Note: The statements, opinions and data contained in all publications are solely those of the individual author(s) and contributor(s) and not of MDPI and/or the editor(s). MDPI and/or the editor(s) disclaim responsibility for any injury to people or property resulting from any ideas, methods, instructions or products referred to in the content. |
© 2023 by the authors. Licensee MDPI, Basel, Switzerland. This article is an open access article distributed under the terms and conditions of the Creative Commons Attribution (CC BY) license (https://creativecommons.org/licenses/by/4.0/).
Share and Cite
Ramzan, F.; Sequeira-Bisson, I.R.; Lu, L.W.; Mitchell, C.J.; D’Souza, R.F.; Vickers, M.H.; Poppitt, S.D.; Cameron-Smith, D. Circulatory miRNAs as Correlates of Elevated Intra-Pancreatic Fat Deposition in a Mixed Ethnic Female Cohort: The TOFI_Asia Study. Int. J. Mol. Sci. 2023, 24, 14393. https://doi.org/10.3390/ijms241814393
Ramzan F, Sequeira-Bisson IR, Lu LW, Mitchell CJ, D’Souza RF, Vickers MH, Poppitt SD, Cameron-Smith D. Circulatory miRNAs as Correlates of Elevated Intra-Pancreatic Fat Deposition in a Mixed Ethnic Female Cohort: The TOFI_Asia Study. International Journal of Molecular Sciences. 2023; 24(18):14393. https://doi.org/10.3390/ijms241814393
Chicago/Turabian StyleRamzan, Farha, Ivana R. Sequeira-Bisson, Louise W. Lu, Cameron J. Mitchell, Randall F. D’Souza, Mark H. Vickers, Sally D. Poppitt, and David Cameron-Smith. 2023. "Circulatory miRNAs as Correlates of Elevated Intra-Pancreatic Fat Deposition in a Mixed Ethnic Female Cohort: The TOFI_Asia Study" International Journal of Molecular Sciences 24, no. 18: 14393. https://doi.org/10.3390/ijms241814393
APA StyleRamzan, F., Sequeira-Bisson, I. R., Lu, L. W., Mitchell, C. J., D’Souza, R. F., Vickers, M. H., Poppitt, S. D., & Cameron-Smith, D. (2023). Circulatory miRNAs as Correlates of Elevated Intra-Pancreatic Fat Deposition in a Mixed Ethnic Female Cohort: The TOFI_Asia Study. International Journal of Molecular Sciences, 24(18), 14393. https://doi.org/10.3390/ijms241814393

