Amyotrophic Lateral Sclerosis and Serum Lipid Level Association: A Systematic Review and Meta-Analytic Study
Abstract
1. Introduction
2. Materials and Methods
2.1. Design and Search Strategy
2.2. Eligibility Criteria
2.3. Selection Process: Study Variables and Data Extraction
2.4. Data Analyses
| Cohorte | |||||
|---|---|---|---|---|---|
| Author | Year | Location | Article Type | N Control | N ALS |
| Ingre et al. [46] | 2020 | Sweden | Clinical trial | N/D | 99 |
| Mariosa et al. [47] | 2017 | Sweden | Prospective cohort study | N/D | 623 |
| Bjornevik et al. [23] | 2021 | USA | Randomized controlled trials | 275 | 547 |
| Chelstowka et al. [48] | 2021 | Poland | Clinical studies | N/D | 203 |
| Dorst et al. [31] | 2011 | Germany | Clinical trial | N/D | 488 |
| Ikeda et al. [33] | 2012 | Japan | Clinical trial | 92 | 92 |
| Won Yang et al. [49] | 2013 | Korea | Clinical trial | 99 | 54.14 |
| Mandrioli et al. [50] | 2017 | Italy | Clinical studies: retrospective cohort study | N/D | 275 |
| Dupuis et al. [32] | 2008 | France | Randomized controlled trials: retrospective cohort study | 286 | 369 |
| Huang et al. [51] | 2014 | China | Clinical studies | 400 | 413 |
| Ahmed et al. [45] | 2018 | Australia | Clinical studies | 32 | 37 |
| Dedic et al. [30] | 2013 | Serbia | Randomized controlled trials: retrospective cohort study | N/D | 82 |
| Nakamura et al. [52] | 2022 | Japan | Clinical studies: retrospective cohort study | N/D | 78 |
| Thompson et al. [53] | 2021 | UK | Longitudinal clinical studies: prospective population cohort | 502,409 | 343 |
| Chio et al. [29] | 2009 | Italy | Clinical studies | 658 | 658 |
| Nakatsuji et al. [54] | 2017 | Japan | Clinical trial | 483 | 55 |
| Ballantyne et al. [55] | 1989 | USA | Prospective, randomized clinical trial | N/D | 39 |
| Wuolikainen et al. [56] | 2014 | USA | Clinical trial | 40 | 52 |
| Sutedja et al. [57] | 2015 | The Netherlands | Randomized controlled trials | 2100 | 303 |
3. Results
3.1. Included Studies and Lipid Levels in Control Cohort and ALS Patients

3.2. Characteristics of Studies Included in Meta-Analysis
3.3. Clinical Data
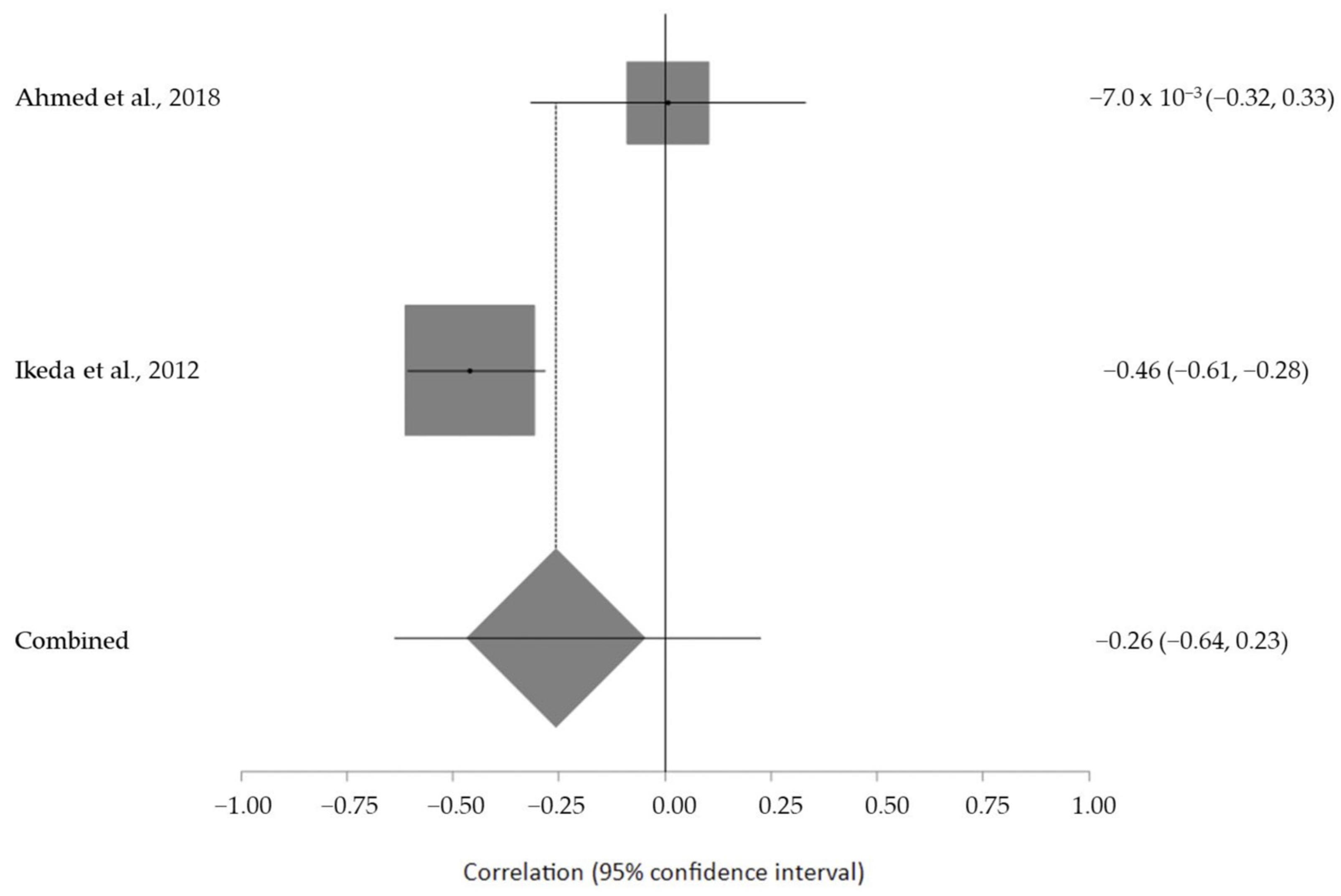
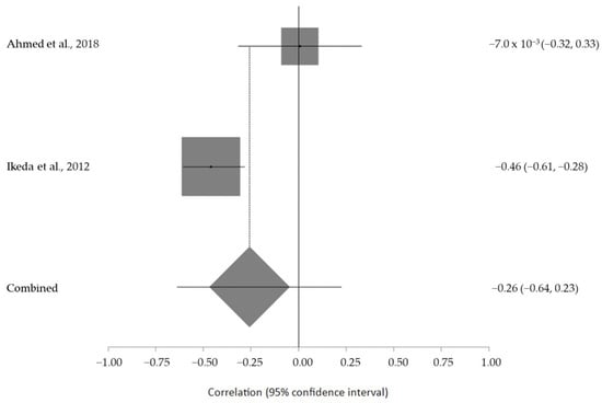
3.4. Meta-Analysis for ALS-FRS Score and Lipid Levels
4. Discussion
5. Conclusions
Author Contributions
Funding
Institutional Review Board Statement
Informed Consent Statement
Data Availability Statement
Conflicts of Interest
References
- Kiernan, M.C.; Vucic, S.; Cheah, B.C.; Turner, M.R.; Eisen, A.; Hardiman, O.; Burrell, J.R.; Zoing, M.C. Amyotrophic lateral sclerosis. Lancet 2011, 377, 942–955. [Google Scholar] [CrossRef] [PubMed]
- Feldman, E.L.; Goutman, S.A.; Petri, S.; Mazzini, L.; Savelieff, M.G.; Shaw, P.J.; Sobue, G. Amyotrophic lateral sclerosis. Lancet 2022, 400, 1363–1380. [Google Scholar] [CrossRef] [PubMed]
- Zou, Z.Y.; Zhou, Z.R.; Che, C.H.; Liu, C.Y.; He, R.L.; Huang, H.P. Genetic epidemiology of amyotrophic lateral sclerosis: A systematic review and meta-analysis. J. Neurol. Neurosurg. Psychiatry 2017, 88, 540–549. [Google Scholar] [CrossRef] [PubMed]
- Marin, B.; Logroscino, G.; Boumédiene, F.; Labrunie, A.; Couratier, P.; Babron, M.C.; Leutenegger, A.L.; Preux, P.M.; Beghi, E. Clinical and demographic factors and outcome of amyotrophic lateral sclerosis in relation to population ancestral origin. Eur. J. Epidemiol. 2016, 31, 229–245. [Google Scholar] [CrossRef]
- Hardiman, O.; Al-Chalabi, A.; Chio, A.; Corr, E.M.; Logroscino, G.; Robberecht, W.; Shaw, P.J.; Simmons, Z.; van den Berg, L.H. Amyotrophic lateral sclerosis. Nat. Rev. Dis. Prim. 2017, 3, 17071. [Google Scholar] [CrossRef]
- Elamin, M.; Bede, P.; Byrne, S.; Jordan, N.; Gallagher, L.; Wynne, B.; O’Brien, C.; Phukan, J.; Lynch, C.; Pender, N.; et al. Cognitive changes predict functional decline in ALS: A population-based longitudinal study. Neurology 2013, 80, 1590–1597. [Google Scholar] [CrossRef]
- Neumann, M.; Sampathu, D.M.; Kwong, L.K.; Truax, A.C.; Micsenyi, M.C.; Chou, T.T.; Bruce, J.; Schuck, T.; Grossman, M.; Clark, C.M.; et al. Ubiquitinated TDP-43 in frontotemporal lobar degeneration and amyotrophic lateral sclerosis. Science 2006, 314, 130–133. [Google Scholar] [CrossRef]
- Phukan, J.; Elamin, M.; Bede, P.; Jordan, N.; Gallagher, L.; Byrne, S.; Lynch, C.; Pender, N.; Hardiman, O. The syndrome of cognitive impairment in amyotrophic lateral sclerosis: A population-based study. J. Neurol. Neurosurg. Psychiatry 2012, 83, 102–108. [Google Scholar] [CrossRef]
- Rooney, J.P.K.; Visser, A.E.; D’Ovidio, F.; Vermeulen, R.; Beghi, E.; Chio, A.; Veldink, J.H.; Logroscino, G.; van den Berg, L.H.; Hardiman, O. A case-control study of hormonal exposures as etiologic factors for ALS in women: Euro-MOTOR. Neurology 2017, 89, 1283–1290. [Google Scholar] [CrossRef]
- Wang, M.D.; Little, J.; Gomes, J.; Cashman, N.R.; Krewski, D. Identification of risk factors associated with onset and progression of amyotrophic lateral sclerosis using systematic review and meta-analysis. Neurotoxicology 2017, 61, 101–130. [Google Scholar] [CrossRef]
- Ng Kee Kwong, K.C.; Gregory, J.M.; Pal, S.; Chandran, S.; Mehta, A.R. Cerebrospinal fluid cytotoxicity in amyotrophic lateral sclerosis: A systematic review of in vitro studies. Brain Commun. 2020, 2, fcaa121. [Google Scholar] [CrossRef]
- Kenna, K.P.; van Doormaal, P.T.; Dekker, A.M.; Ticozzi, N.; Kenna, B.J.; Diekstra, F.P.; van Rheenen, W.; van Eijk, K.R.; Jones, A.R.; Keagle, P.; et al. NEK1 variants confer susceptibility to amyotrophic lateral sclerosis. Nat. Genet. 2016, 48, 1037–1042. [Google Scholar] [CrossRef]
- van Rheenen, W.; Shatunov, A.; Dekker, A.M.; McLaughlin, R.L.; Diekstra, F.P.; Pulit, S.L.; van der Spek, R.A.; Võsa, U.; de Jong, S.; Robinson, M.R.; et al. Genome-wide association analyses identify new risk variants and the genetic architecture of amyotrophic lateral sclerosis. Nat. Genet. 2016, 48, 1043–1048. [Google Scholar] [CrossRef]
- Laslo, P.; Lipski, J.; Nicholson, L.F.; Miles, G.B.; Funk, G.D. GluR2 AMPA receptor subunit expression in motoneurons at low and high risk for degeneration in amyotrophic lateral sclerosis. Exp. Neurol. 2001, 169, 461–471. [Google Scholar] [CrossRef]
- Kretschmer, B.D.; Kratzer, U.; Schmidt, W.J. Riluzole, a glutamate release inhibitor, and motor behavior. Naunyn-Schmiedeberg’s Arch. Pharmacol. 1998, 358, 181–190. [Google Scholar] [CrossRef]
- Wang, S.J.; Wang, K.Y.; Wang, W.C. Mechanisms underlying the riluzole inhibition of glutamate release from rat cerebral cortex nerve terminals (synaptosomes). Neuroscience 2004, 125, 191–201. [Google Scholar] [CrossRef]
- Brooks, B.R.; Miller, R.G.; Swash, M.; Munsat, T.L. El Escorial revisited: Revised criteria for the diagnosis of amyotrophic lateral sclerosis. Amyotroph. Lateral Scler. Other Mot. Neuron Disord. 2000, 1, 293–299. [Google Scholar] [CrossRef]
- Chiò, A.; Calvo, A.; Bovio, G.; Canosa, A.; Bertuzzo, D.; Galmozzi, F.; Cugnasco, P.; Clerico, M.; De Mercanti, S.; Bersano, E.; et al. Amyotrophic lateral sclerosis outcome measures and the role of albumin and creatinine: A population-based study. JAMA Neurol. 2014, 71, 1134–1142. [Google Scholar] [CrossRef]
- Gaiani, A.; Martinelli, I.; Bello, L.; Querin, G.; Puthenparampil, M.; Ruggero, S.; Toffanin, E.; Cagnin, A.; Briani, C.; Pegoraro, E.; et al. Diagnostic and Prognostic Biomarkers in Amyotrophic Lateral Sclerosis: Neurofilament Light Chain Levels in Definite Subtypes of Disease. JAMA Neurol. 2017, 74, 525–532. [Google Scholar] [CrossRef]
- Kori, M.; Aydın, B.; Unal, S.; Arga, K.Y.; Kazan, D. Metabolic Biomarkers and Neurodegeneration: A Pathway Enrichment Analysis of Alzheimer’s Disease, Parkinson’s Disease, and Amyotrophic Lateral Sclerosis. Omics J. Integr. Biol. 2016, 20, 645–661. [Google Scholar] [CrossRef]
- Oh, S.I.; Baek, S.; Park, J.S.; Piao, L.; Oh, K.W.; Kim, S.H. Prognostic Role of Serum Levels of Uric Acid in Amyotrophic Lateral Sclerosis. J. Clin. Neurol. 2015, 11, 376–382. [Google Scholar] [CrossRef] [PubMed]
- Benatar, M.; Turner, M.R.; Wuu, J. Defining pre-symptomatic amyotrophic lateral sclerosis. Amyotroph. Lateral Scler. Front. Degener. 2019, 20, 303–309. [Google Scholar] [CrossRef] [PubMed]
- Bjornevik, K.; O’Reilly, É.J.; Cortese, M.; Furtado, J.D.; Kolonel, L.N.; Le Marchand, L.; McCullough, M.L.; Paganoni, S.; Schwarzschild, M.A.; Shadyab, A.H.; et al. Pre-diagnostic plasma lipid levels and the risk of amyotrophic lateral sclerosis. Amyotroph. Lateral Scler. Front. Degener. 2021, 22, 133–143. [Google Scholar] [CrossRef] [PubMed]
- Jia, R.; Chen, Q.; Zhou, Q.; Zhang, R.; Jin, J.; Hu, F.; Liu, X.; Qin, X.; Kang, L.; Zhao, S.; et al. Characteristics of serum metabolites in sporadic amyotrophic lateral sclerosis patients based on gas chromatography-mass spectrometry. Sci. Rep. 2021, 11, 20786. [Google Scholar] [CrossRef]
- Chen, Y.; Liu, X.H.; Wu, J.J.; Ren, H.M.; Wang, J.; Ding, Z.T.; Jiang, Y.P. Proteomic analysis of cerebrospinal fluid in amyotrophic lateral sclerosis. Exp. Ther. Med. 2016, 11, 2095–2106. [Google Scholar] [CrossRef]
- Lee, A.; Arachchige, B.J.; Henderson, R.; Pow, D.; Reed, S.; Aylward, J.; McCombe, P.A. Elevated plasma levels of D-serine in some patients with amyotrophic lateral sclerosis. Amyotroph. Lateral Scler. Front. Degener. 2021, 22, 206–210. [Google Scholar] [CrossRef]
- Kametani, F.; Obi, T.; Shishido, T.; Akatsu, H.; Murayama, S.; Saito, Y.; Yoshida, M.; Hasegawa, M. Mass spectrometric analysis of accumulated TDP-43 in amyotrophic lateral sclerosis brains. Sci. Rep. 2016, 6, 23281. [Google Scholar] [CrossRef]
- Bouteloup, C. What are the means of alimentary function supply and their indications in amyotrophic lateral sclerosis? Rev. Neurol. 2006, 162, 309–319. [Google Scholar] [CrossRef]
- Chiò, A.; Calvo, A.; Ilardi, A.; Cavallo, E.; Moglia, C.; Mutani, R.; Palmo, A.; Galletti, R.; Marinou, K.; Papetti, L.; et al. Lower serum lipid levels are related to respiratory impairment in patients with ALS. Neurology 2009, 73, 1681–1685. [Google Scholar] [CrossRef]
- Dedic, S.I.; Stevic, Z.; Dedic, V.; Stojanovic, V.R.; Milicev, M.; Lavrnic, D. Is hyperlipidemia correlated with longer survival in patients with amyotrophic lateral sclerosis? Neurol. Res. 2012, 34, 576–580. [Google Scholar] [CrossRef]
- Dorst, J.; Kühnlein, P.; Hendrich, C.; Kassubek, J.; Sperfeld, A.D.; Ludolph, A.C. Patients with elevated triglyceride and cholesterol serum levels have a prolonged survival in amyotrophic lateral sclerosis. J. Neurol. 2011, 258, 613–617. [Google Scholar] [CrossRef]
- Dupuis, L.; Corcia, P.; Fergani, A.; Gonzalez De Aguilar, J.L.; Bonnefont-Rousselot, D.; Bittar, R.; Seilhean, D.; Hauw, J.J.; Lacomblez, L.; Loeffler, J.P.; et al. Dyslipidemia is a protective factor in amyotrophic lateral sclerosis. Neurology 2008, 70, 1004–1009. [Google Scholar] [CrossRef]
- Ikeda, K.; Hirayama, T.; Takazawa, T.; Kawabe, K.; Iwasaki, Y. Relationships between disease progression and serum levels of lipid, urate, creatinine and ferritin in Japanese patients with amyotrophic lateral sclerosis: A cross-sectional study. Intern. Med. 2012, 51, 1501–1508. [Google Scholar] [CrossRef]
- Kim, S.M.; Kim, H.; Kim, J.E.; Park, K.S.; Sung, J.J.; Kim, S.H.; Lee, K.W. Amyotrophic lateral sclerosis is associated with hypolipidemia at the presymptomatic stage in mice. PLoS ONE 2011, 6, e17985. [Google Scholar] [CrossRef]
- Goldstein, M.R.; Mascitelli, L.; Pezzetta, F. Dyslipidemia is a protective factor in amyotrophic lateral sclerosis. Neurology 2008, 71, 956–957. [Google Scholar] [CrossRef]
- Paganoni, S.; Deng, J.; Jaffa, M.; Cudkowicz, M.E.; Wills, A.M. Body mass index, not dyslipidemia, is an independent predictor of survival in amyotrophic lateral sclerosis. Muscle Nerve 2011, 44, 20–24. [Google Scholar] [CrossRef]
- Fergani, A.; Oudart, H.; Gonzalez De Aguilar, J.L.; Fricker, B.; René, F.; Hocquette, J.F.; Meininger, V.; Dupuis, L.; Loeffler, J.P. Increased peripheral lipid clearance in an animal model of amyotrophic lateral sclerosis. J. Lipid Res. 2007, 48, 1571–1580. [Google Scholar] [CrossRef]
- Nakken, O.; Meyer, H.E.; Stigum, H.; Holmøy, T. High BMI is associated with low ALS risk: A population-based study. Neurology 2019, 93, e424–e432. [Google Scholar] [CrossRef]
- Reich-Slotky, R.; Andrews, J.; Cheng, B.; Buchsbaum, R.; Levy, D.; Kaufmann, P.; Thompson, J.L. Body mass index (BMI) as predictor of ALSFRS-R score decline in ALS patients. Amyotroph. Lateral Scler. Front. Degener. 2013, 14, 212–216. [Google Scholar] [CrossRef]
- Janse van Mantgem, M.R.; van Rheenen, W.; Hackeng, A.V.; van Es, M.A.; Veldink, J.H.; van den Berg, L.H.; van Eijk, R.P.A. Association Between Serum Lipids and Survival in Patients with Amyotrophic Lateral Sclerosis: A Meta-analysis and Population-Based Study. Neurology 2023, 100, e1062–e1071. [Google Scholar] [CrossRef]
- Trostchansky, A. Overview of Lipid Biomarkers in Amyotrophic Lateral Sclerosis (ALS). Adv. Exp. Med. Biol. 2019, 1161, 233–241. [Google Scholar] [CrossRef] [PubMed]
- Page, M.J.; McKenzie, J.E.; Bossuyt, P.M.; Boutron, I.; Hoffmann, T.C.; Mulrow, C.D.; Shamseer, L.; Tetzlaff, J.M.; Akl, E.A.; Brennan, S.E.; et al. The PRISMA 2020 statement: An updated guideline for reporting systematic reviews. BMJ Clin. Res. Ed. 2021, 372, n71. [Google Scholar] [CrossRef]
- Higgins, J.P.; Thompson, S.G.; Deeks, J.J.; Altman, D.G. Measuring inconsistency in meta-analyses. BMJ Clin. Res. Ed. 2003, 327, 557–560. [Google Scholar] [CrossRef] [PubMed]
- Nordestgaard, B.G.; Langsted, A.; Mora, S.; Kolovou, G.; Baum, H.; Bruckert, E.; Watts, G.F.; Sypniewska, G.; Wiklund, O.; Borén, J.; et al. Fasting is not routinely required for determination of a lipid profile: Clinical and laboratory implications including flagging at desirable concentration cut-points-a joint consensus statement from the European Atherosclerosis Society and European Federation of Clinical Chemistry and Laboratory Medicine. Eur. Heart J. 2016, 37, 1944–1958. [Google Scholar] [CrossRef]
- Ahmed, R.M.; Highton-Williamson, E.; Caga, J.; Thornton, N.; Ramsey, E.; Zoing, M.; Kim, W.S.; Halliday, G.M.; Piguet, O.; Hodges, J.R.; et al. Lipid Metabolism and Survival Across the Frontotemporal Dementia-Amyotrophic Lateral Sclerosis Spectrum: Relationships to Eating Behavior and Cognition. J. Alzheimer’s Dis. 2018, 61, 773–783. [Google Scholar] [CrossRef]
- Ingre, C.; Chen, L.; Zhan, Y.; Termorshuizen, J.; Yin, L.; Fang, F. Lipids, apolipoproteins, and prognosis of amyotrophic lateral sclerosis. Neurology 2020, 94, e1835–e1844. [Google Scholar] [CrossRef]
- Mariosa, D.; Hammar, N.; Malmström, H.; Ingre, C.; Jungner, I.; Ye, W.; Fang, F.; Walldius, G. Blood biomarkers of carbohydrate, lipid, and apolipoprotein metabolisms and risk of amyotrophic lateral sclerosis: A more than 20-year follow-up of the Swedish AMORIS cohort. Ann. Neurol. 2017, 81, 718–728. [Google Scholar] [CrossRef]
- Chełstowska, B.; Kuźma-Kozakiewicz, M. Biochemical parameters in determination of nutritional status in amyotrophic lateral sclerosis. Neurol. Sci. 2020, 41, 1115–1124. [Google Scholar] [CrossRef]
- Yang, J.W.; Kim, S.M.; Kim, H.J.; Kim, J.E.; Park, K.S.; Kim, S.H.; Lee, K.W.; Sung, J.J. Hypolipidemia in patients with amyotrophic lateral sclerosis: A possible gender difference? J. Clin. Neurol. 2013, 9, 125–129. [Google Scholar] [CrossRef]
- Mandrioli, J.; Rosi, E.; Fini, N.; Fasano, A.; Raggi, S.; Fantuzzi, A.L.; Bedogni, G. Changes in routine laboratory tests and survival in amyotrophic lateral sclerosis. Neurol. Sci. 2017, 38, 2177–2182. [Google Scholar] [CrossRef]
- Huang, R.; Guo, X.; Chen, X.; Zheng, Z.; Wei, Q.; Cao, B.; Zeng, Y.; Shang, H. The serum lipid profiles of amyotrophic lateral sclerosis patients: A study from south-west China and a meta-analysis. Amyotroph. Lateral Scler. Front. Degener. 2015, 16, 359–365. [Google Scholar] [CrossRef]
- Nakamura, R.; Kurihara, M.; Ogawa, N.; Kitamura, A.; Yamakawa, I.; Bamba, S.; Sanada, M.; Sasaki, M.; Urushitani, M. Investigation of the prognostic predictive value of serum lipid profiles in amyotrophic lateral sclerosis: Roles of sex and hypermetabolism. Sci. Rep. 2022, 12, 1826. [Google Scholar] [CrossRef]
- Thompson, A.G.; Talbot, K.; Turner, M.R. Higher blood high density lipoprotein and apolipoprotein A1 levels are associated with reduced risk of developing amyotrophic lateral sclerosis. J. Neurol. Neurosurg. Psychiatry 2022, 93, 75–81. [Google Scholar] [CrossRef]
- Nakatsuji, H.; Araki, A.; Hashizume, A.; Hijikata, Y.; Yamada, S.; Inagaki, T.; Suzuki, K.; Banno, H.; Suga, N.; Okada, Y.; et al. Correlation of insulin resistance and motor function in spinal and bulbar muscular atrophy. J. Neurol. 2017, 264, 839–847. [Google Scholar] [CrossRef]
- Ballantyne, C.M.; Podet, E.J.; Patsch, W.P.; Harati, Y.; Appel, V.; Gotto, A.M., Jr.; Young, J.B. Effects of cyclosporine therapy on plasma lipoprotein levels. JAMA 1989, 262, 53–56. [Google Scholar] [CrossRef]
- Wuolikainen, A.; Acimovic, J.; Lövgren-Sandblom, A.; Parini, P.; Andersen, P.M.; Björkhem, I. Cholesterol, oxysterol, triglyceride, and coenzyme Q homeostasis in ALS. Evidence against the hypothesis that elevated 27-hydroxycholesterol is a pathogenic factor. PLoS ONE 2014, 9, e113619. [Google Scholar] [CrossRef]
- Sutedja, N.A.; van der Schouw, Y.T.; Fischer, K.; Sizoo, E.M.; Huisman, M.H.; Veldink, J.H.; Van den Berg, L.H. Beneficial vascular risk profile is associated with amyotrophic lateral sclerosis. J. Neurol. Neurosurg. Psychiatry 2011, 82, 638–642. [Google Scholar] [CrossRef]
- Deguise, M.O.; Baranello, G.; Mastella, C.; Beauvais, A.; Michaud, J.; Leone, A.; De Amicis, R.; Battezzati, A.; Dunham, C.; Selby, K.; et al. Abnormal fatty acid metabolism is a core component of spinal muscular atrophy. Ann. Clin. Transl. Neurol. 2019, 6, 1519–1532. [Google Scholar] [CrossRef]
- Darios, F.; Mochel, F.; Stevanin, G. Lipids in the Physiopathology of Hereditary Spastic Paraplegias. Front. Neurosci. 2020, 14, 74. [Google Scholar] [CrossRef]
- González-Guevara, E.; Cárdenas, G.; Pérez-Severiano, F.; Martínez-Lazcano, J.C. Dysregulated Brain Cholesterol Metabolism Is Linked to Neuroinflammation in Huntington’s Disease. Mov. Disord. 2020, 35, 1113–1127. [Google Scholar] [CrossRef]
- Fanning, S.; Selkoe, D.; Dettmer, U. Parkinson’s disease: Proteinopathy or lipidopathy? NPJ Parkinson’s Dis. 2020, 6, 3. [Google Scholar] [CrossRef] [PubMed]
- Luchsinger, J.A.; Cheng, D.; Tang, M.X.; Schupf, N.; Mayeux, R. Central obesity in the elderly is related to late-onset Alzheimer disease. Alzheimer Dis. Assoc. Disord. 2012, 26, 101–105. [Google Scholar] [CrossRef] [PubMed]
- Tolppanen, A.M.; Ngandu, T.; Kåreholt, I.; Laatikainen, T.; Rusanen, M.; Soininen, H.; Kivipelto, M. Midlife and late-life body mass index and late-life dementia: Results from a prospective population-based cohort. J. Alzheimer’s Dis. JAD 2014, 38, 201–209. [Google Scholar] [CrossRef] [PubMed]
- Cedarbaum, J.M.; Stambler, N.; Malta, E.; Fuller, C.; Hilt, D.; Thurmond, B.; Nakanishi, A. The ALSFRS-R: A revised ALS functional rating scale that incorporates assessments of respiratory function. BDNF ALS Study Group (Phase III). J. Neurol. Sci. 1999, 169, 13–21. [Google Scholar] [CrossRef]
- Coburn, K.M.; Vevea, J.L. Publication bias as a function of study characteristics. Psychol. Methods 2015, 20, 310–330. [Google Scholar] [CrossRef]
- Rinaldi, P.; Polidori, M.C.; Metastasio, A.; Mariani, E.; Mattioli, P.; Cherubini, A.; Catani, M.; Cecchetti, R.; Senin, U.; Mecocci, P. Plasma antioxidants are similarly depleted in mild cognitive impairment and in Alzheimer’s disease. Neurobiol. Aging 2003, 24, 915–919. [Google Scholar] [CrossRef]
- Stevic, Z.; Kostic-Dedic, S.; Peric, S.; Dedic, V.; Basta, I.; Rakocevic-Stojanovic, V.; Lavrnic, D. Prognostic factors and survival of ALS patients from Belgrade, Serbia. Amyotroph. Lateral Scler. Front. Degener. 2016, 17, 508–514. [Google Scholar] [CrossRef]
- Yip, P.K.; Pizzasegola, C.; Gladman, S.; Biggio, M.L.; Marino, M.; Jayasinghe, M.; Ullah, F.; Dyall, S.C.; Malaspina, A.; Bendotti, C.; et al. The omega-3 fatty acid eicosapentaenoic acid accelerates disease progression in a model of amyotrophic lateral sclerosis. PLoS ONE 2013, 8, e61626. [Google Scholar] [CrossRef]
- The Amyotrophic Lateral Sclerosis Functional Rating Scale. Assessment of activities of daily living in patients with amyotrophic lateral sclerosis. The ALS CNTF treatment study (ACTS) phase I-II Study Group. Arch. Neurol. 1996, 53, 141–147. [Google Scholar] [CrossRef]
- Ikeda, K.; Nakamura, Y.; Kiyozuka, T.; Aoyagi, J.; Hirayama, T.; Nagata, R.; Ito, H.; Iwamoto, K.; Murata, K.; Yoshii, Y.; et al. Serological profiles of urate, paraoxonase-1, ferritin and lipid in Parkinson’s disease: Changes linked to disease progression. Neuro-Degener. Dis. 2011, 8, 252–258. [Google Scholar] [CrossRef]
- Li, L.; Cao, D.; Kim, H.; Lester, R.; Fukuchi, K. Simvastatin enhances learning and memory independent of amyloid load in mice. Ann. Neurol. 2006, 60, 729–739. [Google Scholar] [CrossRef]
- Polidori, M.C. Oxidative stress and risk factors for Alzheimer’s disease: Clues to prevention and therapy. J. Alzheimer’s Dis. 2004, 6, 185–191. [Google Scholar] [CrossRef]
- Liu, J.; Luo, X.; Chen, X.; Shang, H. Lipid Profile in Patients with Amyotrophic Lateral Sclerosis: A Systematic Review and Meta-Analysis. Front. Neurol. 2020, 11, 567753. [Google Scholar] [CrossRef]
- Area-Gomez, E.; Larrea, D.; Yun, T.; Xu, Y.; Hupf, J.; Zandkarimi, F.; Chan, R.B.; Mitsumoto, H. Lipidomics study of plasma from patients suggest that ALS and PLS are part of a continuum of motor neuron disorders. Sci. Rep. 2021, 11, 13562. [Google Scholar] [CrossRef]
- Alessenko, A.V.; Gutner, U.A.; Shupik, M.A. Involvement of Lipids in the Pathogenesis of Amyotrophic Lateral Sclerosis. Life 2023, 13, 510. [Google Scholar] [CrossRef]
- Jové, M.; Mota-Martorell, N.; Torres, P.; Portero-Otin, M.; Ferrer, I.; Pamplona, R. New insights into human prefrontal cortex aging with a lipidomics approach. Expert Rev. Proteom. 2021, 18, 333–344. [Google Scholar] [CrossRef]
- Yu, Q.; He, Z.; Zubkov, D.; Huang, S.; Kurochkin, I.; Yang, X.; Halene, T.; Willmitzer, L.; Giavalisco, P.; Akbarian, S.; et al. Lipidome alterations in human prefrontal cortex during development, aging, and cognitive disorders. Mol. Psychiatry 2020, 25, 2952–2969. [Google Scholar] [CrossRef]
- Speakman, J.R.; Westerterp, K.R. Associations between energy demands, physical activity, and body composition in adult humans between 18 and 96 y of age. Am. J. Clin. Nutr. 2010, 92, 826–834. [Google Scholar] [CrossRef]
- Park, Y.; Park, J.; Kim, Y.; Baek, H.; Kim, S.H. Association between nutritional status and disease severity using the amyotrophic lateral sclerosis (ALS) functional rating scale in ALS patients. Nutrition 2015, 31, 1362–1367. [Google Scholar] [CrossRef]
- Jhun, J.; Moon, J.; Kim, S.Y.; Cho, K.H.; Na, H.S.; Choi, J.; Jung, Y.J.; Song, K.Y.; Min, J.K.; Cho, M.L. Rebamipide treatment ameliorates obesity phenotype by regulation of immune cells and adipocytes. PLoS ONE 2022, 17, e0277692. [Google Scholar] [CrossRef]
- Godoy-Corchuelo, J.M.; Fernández-Beltrán, L.C.; Ali, Z.; Gil-Moreno, M.J.; López-Carbonero, J.I.; Guerrero-Sola, A.; Larrad-Sainz, A.; Matias-Guiu, J.; Matias-Guiu, J.A.; Cunningham, T.J.; et al. Lipid Metabolic Alterations in the ALS-FTD Spectrum of Disorders. Biomedicines 2022, 10, 1105. [Google Scholar] [CrossRef] [PubMed]
- Paganoni, S.; Wills, A.M. High-fat and ketogenic diets in amyotrophic lateral sclerosis. J. Child Neurol. 2013, 28, 989–992. [Google Scholar] [CrossRef] [PubMed]
- Corcia, P.; Lumbroso, S.; Cazeneuve, C.; Mouzat, K.; Camu, W.; Vourc’h, P. Pre-symptomatic diagnosis in ALS. Rev. Neurol. 2020, 176, 166–169. [Google Scholar] [CrossRef] [PubMed]
- Amtmann, D.; Weydt, P.; Johnson, K.L.; Jensen, M.P.; Carter, G.T. Survey of cannabis use in patients with amyotrophic lateral sclerosis. Am. J. Hosp. Palliat. Care 2004, 21, 95–104. [Google Scholar] [CrossRef]
- Manzano, R.; Toivonen, J.M.; Moreno-Martínez, L.; de la Torre, M.; Moreno-García, L.; López-Royo, T.; Molina, N.; Zaragoza, P.; Calvo, A.C.; Osta, R. What skeletal muscle has to say in amyotrophic lateral sclerosis: Implications for therapy. Br. J. Pharmacol. 2021, 178, 1279–1297. [Google Scholar] [CrossRef]
- Tarantino, N.; Canfora, I.; Camerino, G.M.; Pierno, S. Therapeutic Targets in Amyotrophic Lateral Sclerosis: Focus on Ion Channels and Skeletal Muscle. Cells 2022, 11, 415. [Google Scholar] [CrossRef]
- Camerino, G.M.; De Bellis, M.; Conte, E.; Liantonio, A.; Musaraj, K.; Cannone, M.; Fonzino, A.; Giustino, A.; De Luca, A.; Romano, R.; et al. Statin-induced myotoxicity is exacerbated by aging: A biophysical and molecular biology study in rats treated with atorvastatin. Toxicol. Appl. Pharmacol. 2016, 306, 36–46. [Google Scholar] [CrossRef]
| Site of Symptom Onset | BMI | |||||||
|---|---|---|---|---|---|---|---|---|
| Author | Year | Location | Age Control | Age ALS | Bulbar | Nonbulbar | Control | ALS |
| Ingree et al. [46] | 2020 | Sweden | N/D | 65.7 | 38 | 61 | N/D | 24.38 |
| Mariosa et al. [47] | 2017 | Sweden | N/D | 67 | N/D | N/D | N/D | N/D |
| Bjornevik et al. [23] | 2021 | USA | 64.6 | 69.4 | N/D | N/D | 26.9 | 26.2 |
| Chelstowka et al. [48] | 2021 | Poland | N/D | 56 | N/D | N/D | N/D | 24.6 |
| Dorst et al. [31] | 2011 | Germany | N/D | 57.6 | 89 | 398 | N/D | 25.4 |
| Ikeda et al. [33] | 2012 | Japan | 59.2 | 58.8 | 10 | 82 | 22.8 | 22.6 |
| Won Yang et al. [49] | 2013 | Korea | 52.5 | 54.1 | N/D | N/D | N/D | N/D |
| Mandrioli et al. [50] | 2017 | Italy | N/D | 65.2 | 83 | 30.2 | N/D | 24.5 |
| Dupuis et al. [32] | 2008 | France | N/D | 57.5 | 92.2 | 276.7 | N/D | 24.6 |
| Huang et al. [51] | 2014 | China | 51.4 | 51.8 | N/D | N/D | 21.5 | 21 |
| Ahmed et al. [45] | 2018 | Australia | 64.7 | 55.9 | 9 | 28 | 24.9 | 25.7 |
| Dedic et al. [30] | 2013 | Serbia | N/D | 53.7 | 30 | 52 | N/D | 26.7 |
| Nakamura et al. [52] | 2022 | Japan | N/D | 71 | 26 | 52 | N/D | 21.7 |
| Thompson et al. [53] | 2021 | UK | 58 | 62 | N/D | N/D | 26.7 | 27.2 |
| Chio et al. [29] | 2009 | Italy | 62.7 | 62.9 | 201 | 457 | 24.8 | 25.1 |
| Nakatsuji et al. [54] | 2017 | Japan | 53.2 | 51.1 | N/D | N/D | 24.2 | 22.7 |
| Ballantyne et al. [55] | 1989 | USA | N/D | 50 | N/D | N/D | N/D | N/D |
| Wuolikainen et al. [56] | 2014 | USA | 61.7 | 58.7 | N/D | N/D | 25.3 | 23.8 |
| Sutedja et al. [57] | 2015 | The Netherlands | 59 | 64 | 90 | 205 | 26 | 25 |
| 58.7 ± 1.5 | 59.6 ± 1.3 | 28.9% | 71.1% | 24.8 ± 0.6 | 24.5 ± 0.5 | |||
| Total Cholesterol (mmol·L−1) | Low-Density Protein (mmol·L−1) | High-Density Protein (mmol·L−1) | Triglycerides (mmol·L−1) | ||||||
|---|---|---|---|---|---|---|---|---|---|
| Author | TC Control | TC ALS Patients | LDL Control | LDL ALS Patients | HDL Control | HDL ALS Patients | TG Control | TG ALS Patients | Mean Survival (Months) |
| Ingre et al. [46] | N/D | 5.46 | N/D | 3.14 | N/D | 1.64 | N/D | 1.54 | 13.72 |
| Mariosa et al. [47] | N/D | 5.48 | 3.59 | 3.69 | N/D | 1.52 | N/D | N/D | 12.00 |
| Chelstowka et al. [48] | N/D | 5.37 | N/D | 3.28 | N/D | 1.34 | N/D | 3.50 | 19.92 |
| Dorst et al. [31] | 4.70 | 6.00 | 4.91 | 3.87 | N/D | 1.29 | 1.40 | 1.77 | 51.00 |
| Ikeda et al. [33] | 5.33 | 5.47 | 3.21 | 3.34 | 1.49 | 1.49 | 3.06 | 3.30 | 23.70 |
| Won Yang et al. [49] | 5.11 | 4.87 | 3.11 | 2.99 | 1.20 | 1.22 | 4.04 | 3.28 | N/D |
| Mandrioli et al. [50] | N/D | 5.12 | N/D | 3.36 | N/D | 1.29 | N/D | 2.59 | N/D |
| Dupuis et al. [32] | 2.10 | 2.50 | 1.20 | 1.60 | 0.60 | 0.60 | 1.30 | 1.30 | N/D |
| Huang et al. [51] | 5.31 | 5.24 | 2.81 | 2.80 | 1.36 | 1.20 | 3.14 | 3.30 | 21.80 |
| Ahmed et al. [45] | 5.51 | 6.60 | N/D | N/D | 1.90 | 1.50 | 1.00 | 1.90 | 20.40 |
| Dedic et al. [30] | N/D | 5.80 | N/D | 2.95 | N/D | 1.37 | N/D | 1.87 | 50.52 |
| Nakamura et al. [52] | N/D | N/D | N/D | 2.97 | N/D | 1.63 | N/D | 2.82 | N/D |
| Thompson et al. [53] | 5.65 | 5.64 | 3.52 | 3.54 | 1.40 | 1.30 | 1.48 | 1.67 | 14.63 |
| Chio et al. [29] | 5.38 | 5.46 | 3.25 | 3.33 | 1.54 | 1.53 | 3.05 | 2.98 | N/D |
| Nakatsuji et al. [54] | 5.56 | 5.30 | N/D | N/D | 1.45 | 1.54 | 3.66 | 3.76 | 85.20 |
| Ballantyne et al. [55] | N/D | 5.26 | N/D | 3.05 | N/D | 1.02 | N/D | 2.65 | N/D |
| Wuolikainen et al. [56] | 5.80 | 6.00 | 3.20 | 3.40 | 1.75 | 1.85 | 1.25 | 1.10 | N/D |
| Sutedja et al. [57] | 5.85 | 5.50 | 3.90 | 3.20 | 1.45 | 1.55 | N/D | N/D | N/D |
| 5.18 ± 0.3 | 5.35 ± 0.2 | 3.08 ± 0.2 | 3.15 ± 0.1 | 1.41 ± 0.1 | 1.38 ± 0.1 | 2.33 ± 0.3 | 2.45 ± 0.2 | 31.28 ± 7.46 | |
| Author | Location | Participants (ALS/Control) | Age (Years) (ALS/Control) | Symptom Onset (Bulbar/Nonbulbar) | BMI (ALS/Control) |
|---|---|---|---|---|---|
| Ikeda et al., 2012 [33] | Japan | 92/92 | 58.8/59.2 | 10/82 | 22.6/22.8 |
| Huang et al., 2015 [51] | China | 413/400 | 51.8/51.4 | N/D | 21/21.5 |
| Ahmed et al., 2018 [45] | Australia | 37/32 | 55.9/64.7 | 9/28 | 25.7/24.9 |
| Nakatsuji et al., 2017 [54] | Japan | 55/483 | 51.1/53.2 | N/D | 22.7/24.2 |
| * 54.4 ± 0.9/57.1 ± 1.5 | 19/110 |
| Total Cholesterol (mmol·L−1) | Triglycerides (mmol·L−1) | ||||
|---|---|---|---|---|---|
| Author | TC Control | TC ALS | TG Control | TG ALS | ALS-FRS |
| Ikeda et al., 2012 [33] | 5.33 | 5.47 | 3.06 | 3.30 | 40.3 |
| Huang et al., 2015 [51] | 5.31 | 5.24 | 3.14 | 3.30 | 31.2 |
| Ahmed et al., 2018 [45] | 5.51 | 6.60 | 1.00 | 1.90 | 38.5 |
| Nakatsuji et al., 2017 [54] | 5.56 | 5.3 | 3.66 | 3.76 | N/D |
| 5.42 ± 0.1 | 5.65 ± 0.3 | 2.71 ± 0.5 | 3.06 ± 0.4 | 36.6 ± 2.8 | |
Disclaimer/Publisher’s Note: The statements, opinions and data contained in all publications are solely those of the individual author(s) and contributor(s) and not of MDPI and/or the editor(s). MDPI and/or the editor(s) disclaim responsibility for any injury to people or property resulting from any ideas, methods, instructions or products referred to in the content. |
© 2023 by the authors. Licensee MDPI, Basel, Switzerland. This article is an open access article distributed under the terms and conditions of the Creative Commons Attribution (CC BY) license (https://creativecommons.org/licenses/by/4.0/).
Share and Cite
Pardo-Moreno, T.; Mohamed-Mohamed, H.; Suleiman-Martos, S.; Ramos-Rodriguez, J.J.; Rivas-Dominguez, A.; Melguizo-Rodríguez, L.; Gómez-Urquiza, J.L.; Bermudez-Pulgarin, B.; Garcia-Morales, V. Amyotrophic Lateral Sclerosis and Serum Lipid Level Association: A Systematic Review and Meta-Analytic Study. Int. J. Mol. Sci. 2023, 24, 8675. https://doi.org/10.3390/ijms24108675
Pardo-Moreno T, Mohamed-Mohamed H, Suleiman-Martos S, Ramos-Rodriguez JJ, Rivas-Dominguez A, Melguizo-Rodríguez L, Gómez-Urquiza JL, Bermudez-Pulgarin B, Garcia-Morales V. Amyotrophic Lateral Sclerosis and Serum Lipid Level Association: A Systematic Review and Meta-Analytic Study. International Journal of Molecular Sciences. 2023; 24(10):8675. https://doi.org/10.3390/ijms24108675
Chicago/Turabian StylePardo-Moreno, Teresa, Himan Mohamed-Mohamed, Sami Suleiman-Martos, Juan José Ramos-Rodriguez, Antonio Rivas-Dominguez, Lucía Melguizo-Rodríguez, José L. Gómez-Urquiza, Beatriz Bermudez-Pulgarin, and Victoria Garcia-Morales. 2023. "Amyotrophic Lateral Sclerosis and Serum Lipid Level Association: A Systematic Review and Meta-Analytic Study" International Journal of Molecular Sciences 24, no. 10: 8675. https://doi.org/10.3390/ijms24108675
APA StylePardo-Moreno, T., Mohamed-Mohamed, H., Suleiman-Martos, S., Ramos-Rodriguez, J. J., Rivas-Dominguez, A., Melguizo-Rodríguez, L., Gómez-Urquiza, J. L., Bermudez-Pulgarin, B., & Garcia-Morales, V. (2023). Amyotrophic Lateral Sclerosis and Serum Lipid Level Association: A Systematic Review and Meta-Analytic Study. International Journal of Molecular Sciences, 24(10), 8675. https://doi.org/10.3390/ijms24108675

