ABA Speeds Up the Progress of Color in Developing F. chiloensis Fruit through the Activation of PAL, CHS and ANS, Key Genes of the Phenylpropanoid/Flavonoid and Anthocyanin Pathways
Abstract
:1. Introduction
2. Results
2.1. Development of Color Changes and Secondary Metabolites during Development of F. chiloensis Fruit
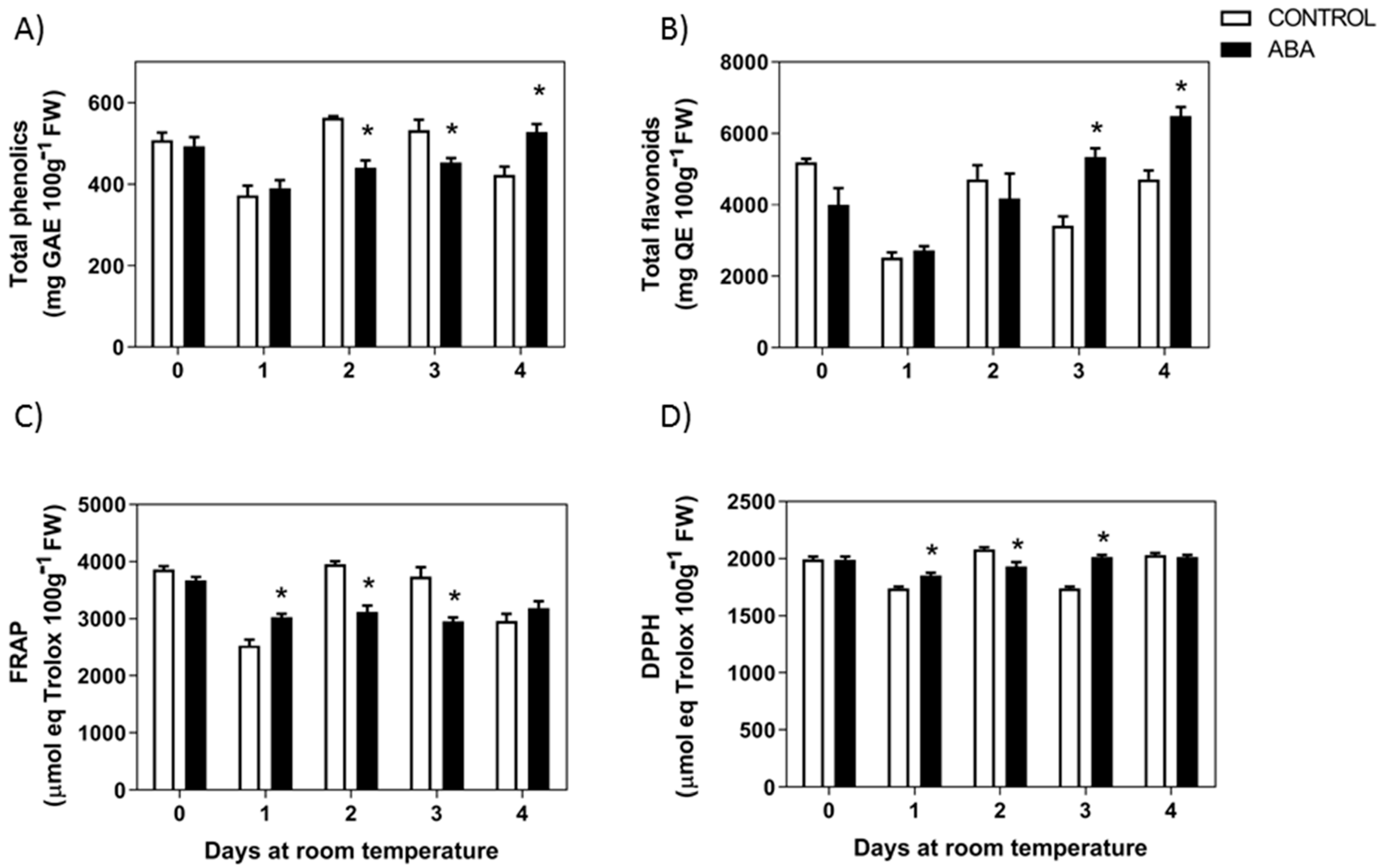
2.2. Changes in Response to ABA Treatment
2.3. Expression Level of Anthocyanin Biosynthetic Pathway Genes during Fruit Development and in Response to ABA Treatment
2.4. Expression Level of FcMYB1
3. Discussion
3.1. Changes in Fruit Appearance and Transcriptional Changes during Fruit Development
3.2. ABA Accelerates the Pinkish Color of F. chiloensis Fruit
3.3. Role of TFs in the Regulation of the Phenylpropanoid Pathway
4. Materials and Methods
4.1. Fruit Material
4.2. Hormonal Treatments
4.3. Physiological Parameters
4.4. RNA Extraction, cDNA Synthesis and qPCR Analysis
4.5. Extraction of Metabolites
4.6. Total Phenolics Content
4.7. Flavonoids Content
4.8. Anthocyanins Determination
4.9. Ferric Reducing Antioxidant Content (FRAP)
4.10. Total Antioxidant Content (DPPH)
4.11. Correlation Studies
4.12. Statistical Analysis
5. Conclusions
Supplementary Materials
Author Contributions
Funding
Institutional Review Board Statement
Data Availability Statement
Acknowledgments
Conflicts of Interest
References
- Arena, M.E.; Postemsky, P.; Curvetto, N.R. Accumulation patterns of phenolic compounds during fruit growth and ripening of Berberis buxifolia, a native Patagonian species. N. Z. J. Bot. 2012, 50, 15–28. [Google Scholar] [CrossRef] [Green Version]
- Letelier, L.; Gaete-Eastman, C.; Peñailillo, P.; Moya-León, M.A.; Herrera, R. Southern species from the biodiversity hotspot of central Chile: A source of color, aroma, and metabolites for global agriculture and food industry in a scenario of climate change. Front. Plant Sci. 2020, 11, 1002. [Google Scholar] [CrossRef]
- Staudt, G. Taxonomic studies in the genus fragaria typification of fragaria species known at the time of linnaeus. Can. J. Bot. 1962, 40, 869–886. [Google Scholar] [CrossRef]
- Kesselmeier, J.; Staudt, M. Biogenic volatile organic compounds (VOC): An overview on emission, physiology and ecology. J. Atmos. Chem. 1999, 33, 23–88. [Google Scholar] [CrossRef]
- Cheel, J.; Theoduloz, C.; Rodriguez, J.A.; Caligari, P.D.S.; Schmeda-Hirschmann, G. Free radical scavenging activity and phenolic content in achenes and thalamus from Fragaria chiloensis ssp. chiloensis, F. vesca and F. × ananassa cv. Chandler. Food Chem. 2007, 102, 36–44. [Google Scholar] [CrossRef]
- Simirgiotis, M.J.; Theoduloz, C.; Caligari, P.D.S.; Schmeda-Hirschmann, G. Comparison of phenolic composition and antioxidant properties of two native Chilean and one domestic strawberry genotypes. Food Chem. 2009, 113, 377–385. [Google Scholar] [CrossRef]
- Molinett, S.; Nuñez, F.; Moya-León, M.A.; Zúniga-Hernández, J. Chilean strawberry consumption protects against LPS-induced liver injury by anti-inflammatory and antioxidant capability in Sprague-Dawley rats. Evid.-Based Compl. Alt. Med. 2015, 2015, 320136. [Google Scholar] [CrossRef] [PubMed] [Green Version]
- Avila, F.; Theoduloz, C.; López-Alarcón, C.; Dorta, E.; Schmeda-Hirschmann, G. Cytoprotective mechanisms mediated by polyphenols from Chilean native berries against free radical-induced damage on AGS cells. Oxid. Med. Cell. Longev. 2017, 2017, 9808520. [Google Scholar] [CrossRef]
- Parra-Palma, C.; Fuentes, E.; Palomo, I.; Torres, C.A.; Moya-León, M.A.; Ramos, P. Linking the platelet antiaggregation effect of different strawberries species with antioxidants: Metabolomic and transcript profiling of polyphenols. Bol. Latinoam. Caribe Plantas Med. Aromat. 2018, 17, 36–52. [Google Scholar]
- Figueroa, C.R.; Pimentel, P.; Gaete-Eastman, C.; Moya, M.; Herrera, R.; Caligari, P.D.S.; Moya-León, M.A. Softening rate of the Chilean strawberry (Fragaria chiloensis) fruit reflects the expression of polygalacturonase and pectate lyase genes. Postharvest Biol. Technol. 2008, 49, 210–220. [Google Scholar] [CrossRef]
- Salvatierra, A.; Pimentel, P.; Moya-León, M.A.; Caligari, P.D.S.; Herrera, R. Comparison of transcriptional profiles of flavonoid genes and anthocyanin contents during fruit development of two botanical forms of Fragaria chiloensis ssp. chiloensis. Phytochemistry 2010, 71, 1839–1847. [Google Scholar] [CrossRef] [PubMed]
- Aharoni, A.; Vos, C.H.R.D.; Wein, M.; Sun, Z.; Greco, R.; Kroon, A.; Mol, J.N.M.; O’Connell, A.P. The strawberry FaMYB1 transcription factor suppresses anthocyanin and flavonol accumulation in transgenic tobacco. Plant J. 2001, 28, 319–332. [Google Scholar] [CrossRef] [PubMed]
- Kadomura-Ishikawa, Y.; Miyawaki, K.; Takahashi, A.; Noji, S. RNAi-mediated silencing and overexpression of the FaMYB1 gene and its effect on anthocyanin accumulation in strawberry fruit. Biol. Plantarum 2015, 59, 677–685. [Google Scholar] [CrossRef]
- Salvatierra, A.; Pimentel, P.; Moya-León, M.A.; Herrera, R. Increased accumulation of anthocyanins in Fragaria chiloensis fruits by transient suppression of FcMYB1 gene. Phytochemistry 2013, 90, 25–36. [Google Scholar] [CrossRef] [PubMed]
- Jia, H.-F.; Chai, Y.-M.; Li, C.-L.; Lu, D.; Luo, J.-J.; Qin, L.; Shen, Y.-Y. Abscisic acid plays an important role in the regulation of strawberry fruit ripening. Plant Physiol. 2011, 157, 188–199. [Google Scholar] [CrossRef] [Green Version]
- Wang, H.; Zhang, H.; Yang, Y.; Li, M.; Zhang, Y.; Liu, J.; Dong, J.; Li, J.; Butelli, E.; Xue, Z.; et al. The control of red colour by a family of MYB transcription factors in octoploid strawberry (Fragaria × ananassa) fruits. Plant Biotechnol. J. 2020, 18, 1169–1184. [Google Scholar] [CrossRef] [Green Version]
- Mattus-Araya, E.; Stappung, Y.; Herrera, R.; Moya-León, M.A. Molecular actors involved in the softening of Fragaria chiloensis fruit accelerated by ABA treatment. J. Plant Growth Regul. 2022, 41, 1–16. [Google Scholar] [CrossRef]
- Parra-Palma, C.; Morales-Quintana, L.; Ramos, P. Phenolic content, color development and pigment-related gene expression: A comparative analysis in different cultivars of strawberry during the ripening process. Agronomy 2020, 10, 588. [Google Scholar] [CrossRef] [Green Version]
- Liu, W.; Feng, Y.; Yu, S.; Fan, Z.; Li, X.; Li, J.; Yin, H. The flavonoid biosynthesis network in plants. Int. J. Mol. Sci. 2021, 22, 12824. [Google Scholar] [CrossRef]
- Chang, C.-C.; Yang, M.-H.; Wen, H.-M.; Chern, J.-C. Estimation of total flavonoid content in propolis by two complementary colometric methods. J. Food Drug Anal. 2002, 10, 178–182. [Google Scholar] [CrossRef]
- Allan, A.C.; Hellens, R.P.; Laing, W.A. MYB transcription factors that colour our fruit. Trends Plant Sci. 2008, 13, 99–102. [Google Scholar] [CrossRef] [PubMed]
- Allan, A.C.; Espley, R.V. MYBs drive novel consumer traits in fruits and vegetables. Trends Plant Sci. 2018, 23, 693–705. [Google Scholar] [CrossRef] [PubMed]
- Dubos, C.; Stracke, R.; Grotewold, E.; Weisshaar, B.; Martin, C.; Lepiniec, L. MYB transcription factors in Arabidopsis. Trends Plant Sci. 2010, 15, 573–581. [Google Scholar] [CrossRef] [PubMed]
- Schaart, J.G.; Dubos, C.; De La Fuente, I.R.; van Houwelingen, A.M.M.L.; de Vos, R.C.H.; Jonker, H.H.; Xu, W.; Routaboul, J.-M.; Lepiniec, L.; Bovy, A.G. Identification and characterization of MYB-bHLH-WD40 regulatory complexes controlling proanthocyanidin biosynthesis in strawberry (Fragaria × ananassa) fruits. New Phytol. 2013, 197, 454–467. [Google Scholar] [CrossRef] [PubMed]
- McGuire, R.G. Reporting of objective color measurements. HortScience 1992, 27, 1254–1255. [Google Scholar] [CrossRef] [Green Version]
- Singleton, V.L.; Orthofer, R.; Lamuela-Raventós, R.M. Analysis of total phenols and other oxidation substrates and antioxidants by means of folin-ciocalteu reagent. In Methods in Enzymology; Academic Press: Cambridge, MA, USA, 1999; Volume 299, pp. 152–178. [Google Scholar] [CrossRef]
- Lee, J.; Rennaker, C.; Wrolstad, R.E. Correlation of two anthocyanin quantification methods: HPLC and spectrophotometric methods. Food Chem. 2008, 110, 782–786. [Google Scholar] [CrossRef]
- Benzie, I.F.F.; Strain, J.J. The ferric reducing ability of plasma (FRAP) as a measure of “antioxidant power”: The FRAP assay. Anal. Biochem. 1996, 239, 70–76. [Google Scholar] [CrossRef] [Green Version]
- Brand-Williams, W.; Cuvelier, M.E.; Berset, C. Use of a free radical method to evaluate antioxidant activity. LWT Food Sci. Technol. 1995, 28, 25–30. [Google Scholar] [CrossRef]










| Color chroma | Color a | Anthocyanins | Phenolics | Antiox (FRAP) | Antiox (DPPH) | Flavonoid | FcMYB1 | FcPAL2 | FcPAL4 | FcC4H | Fc4CL | FcCHS | FcCHI | FcF3’H | FcF3H | FcDFR1 | FcANS | FcUFGT | FcFLS | FcLAR | FcANR | |
|---|---|---|---|---|---|---|---|---|---|---|---|---|---|---|---|---|---|---|---|---|---|---|
| Color chroma | 1 | |||||||||||||||||||||
| Color a | −0.98 | 1 | ||||||||||||||||||||
| Anthocyanin | −0.82 | 0.87 | 1 | |||||||||||||||||||
| Phenolic comp | 0.99 | −0.95 | −0.76 | 1 | ||||||||||||||||||
| Antiox (FRAP) | 0.99 | −0.95 | −0.77 | 1 | 1 | |||||||||||||||||
| Antiox (DPPH) | 0.95 | −0.90 | −0.76 | 0.98 | 0.98 | 1 | ||||||||||||||||
| Flavonoid | 0.99 | −0.97 | −0.76 | 0.99 | 0.99 | 0.94 | 1 | |||||||||||||||
| FcMYB1 | −0.11 | 0.23 | 0.66 | −0.02 | −0.03 | −0.06 | −0.01 | 1 | ||||||||||||||
| FcPAL2 | 0.86 | −0.88 | −0.59 | 0.82 | 0.82 | 0.69 | 0.90 | 0.10 | 1 | |||||||||||||
| FcPAL4 | −0.85 | 0.90 | 0.69 | −0.79 | −0.79 | −0.65 | −0.87 | 0.09 | −0.98 | 1 | ||||||||||||
| FcC4H | −0.94 | 0.88 | 0.59 | −0.97 | −0.97 | −0.94 | −0.97 | −0.21 | −0.84 | 0.77 | 1 | |||||||||||
| Fc4CL | 0.58 | −0.71 | −0.69 | 0.47 | 0.47 | 0.32 | 0.57 | −0.46 | 0.75 | −0.86 | −0.37 | 1 | ||||||||||
| FcCHS | −0.96 | 0.91 | 0.62 | −0.97 | −0.97 | −0.93 | −0.98 | −0.18 | −0.88 | 0.82 | 1.00 | −0.44 | 1 | |||||||||
| FcCHI | −0.98 | 0.99 | 0.80 | −0.94 | −0.94 | −0.86 | −0.98 | 0.12 | −0.94 | 0.95 | 0.90 | −0.72 | 0.93 | 1 | ||||||||
| FcF3’H | −0.74 | 0.81 | 0.57 | −0.67 | −0.67 | −0.51 | −0.77 | 0.04 | −0.96 | 0.98 | 0.67 | −0.89 | 0.72 | 0.87 | 1 | |||||||
| FcF3H | −0.80 | 0.70 | 0.32 | −0.85 | −0.85 | −0.82 | −0.85 | −0.50 | −0.76 | 0.63 | 0.95 | −0.16 | 0.94 | 0.76 | 0.56 | 1 | ||||||
| FcDFR1 | −0.88 | 0.91 | 0.63 | −0.83 | −0.83 | −0.70 | −0.91 | −0.04 | −1.00 | 0.99 | 0.84 | −0.78 | 0.88 | 0.96 | 0.97 | 0.74 | 1 | |||||
| FcANS | −1.00 | 0.99 | 0.82 | −0.98 | −0.98 | −0.92 | −0.99 | 0.12 | −0.90 | 0.90 | 0.93 | −0.65 | 0.95 | 0.99 | 0.80 | 0.78 | 0.92 | 1 | ||||
| FcUFGT | 0.91 | −0.91 | −0.60 | 0.89 | 0.89 | 0.78 | 0.95 | 0.14 | 0.99 | −0.95 | −0.91 | 0.67 | −0.94 | −0.96 | −0.91 | −0.84 | −0.99 | −0.94 | 1 | |||
| FcFLS | 0.86 | −0.90 | −0.63 | 0.82 | 0.81 | 0.68 | 0.89 | 0.02 | 1.00 | −0.99 | −0.82 | 0.80 | −0.86 | −0.95 | −0.97 | −0.71 | −1.00 | −0.91 | 0.98 | 1 | ||
| FcLAR | 0.15 | −0.11 | −0.46 | 0.18 | 0.19 | 0.37 | 0.05 | −0.57 | −0.36 | 0.30 | −0.03 | −0.27 | 0.01 | 0.03 | 0.46 | 0.13 | 0.32 | −0.08 | −0.27 | −0.33 | 1 | |
| FcANR | 0.83 | −0.87 | −0.61 | 0.77 | 0.77 | 0.63 | 0.86 | 0.01 | 0.99 | −0.99 | −0.77 | 0.83 | −0.82 | −0.93 | −0.99 | −0.67 | −0.99 | −0.88 | 0.96 | 1.00 | −0.38 | 1 |
Publisher’s Note: MDPI stays neutral with regard to jurisdictional claims in published maps and institutional affiliations. |
© 2022 by the authors. Licensee MDPI, Basel, Switzerland. This article is an open access article distributed under the terms and conditions of the Creative Commons Attribution (CC BY) license (https://creativecommons.org/licenses/by/4.0/).
Share and Cite
Mattus-Araya, E.; Guajardo, J.; Herrera, R.; Moya-León, M.A. ABA Speeds Up the Progress of Color in Developing F. chiloensis Fruit through the Activation of PAL, CHS and ANS, Key Genes of the Phenylpropanoid/Flavonoid and Anthocyanin Pathways. Int. J. Mol. Sci. 2022, 23, 3854. https://doi.org/10.3390/ijms23073854
Mattus-Araya E, Guajardo J, Herrera R, Moya-León MA. ABA Speeds Up the Progress of Color in Developing F. chiloensis Fruit through the Activation of PAL, CHS and ANS, Key Genes of the Phenylpropanoid/Flavonoid and Anthocyanin Pathways. International Journal of Molecular Sciences. 2022; 23(7):3854. https://doi.org/10.3390/ijms23073854
Chicago/Turabian StyleMattus-Araya, Elena, Joselin Guajardo, Raúl Herrera, and María A. Moya-León. 2022. "ABA Speeds Up the Progress of Color in Developing F. chiloensis Fruit through the Activation of PAL, CHS and ANS, Key Genes of the Phenylpropanoid/Flavonoid and Anthocyanin Pathways" International Journal of Molecular Sciences 23, no. 7: 3854. https://doi.org/10.3390/ijms23073854
APA StyleMattus-Araya, E., Guajardo, J., Herrera, R., & Moya-León, M. A. (2022). ABA Speeds Up the Progress of Color in Developing F. chiloensis Fruit through the Activation of PAL, CHS and ANS, Key Genes of the Phenylpropanoid/Flavonoid and Anthocyanin Pathways. International Journal of Molecular Sciences, 23(7), 3854. https://doi.org/10.3390/ijms23073854

