Atom Transfer Radical Polymerization of Pyrrole-Bearing Methacrylate for Production of Carbonyl Iron Particles with Conducting Shell for Enhanced Electromagnetic Shielding
Abstract
:1. Introduction
2. Results and Discussion
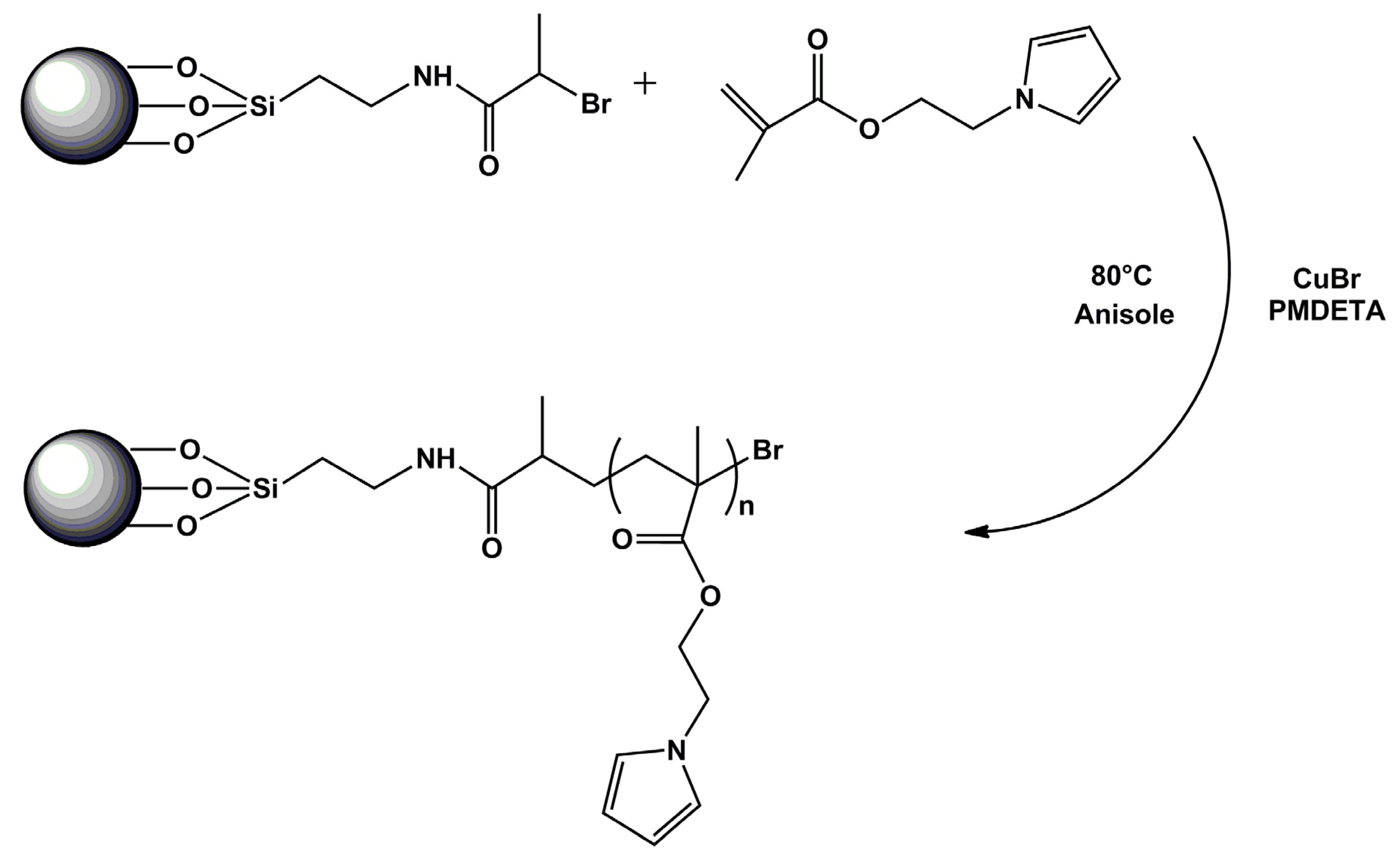
2.1. SI-ATRP Grafting from the CI Surface
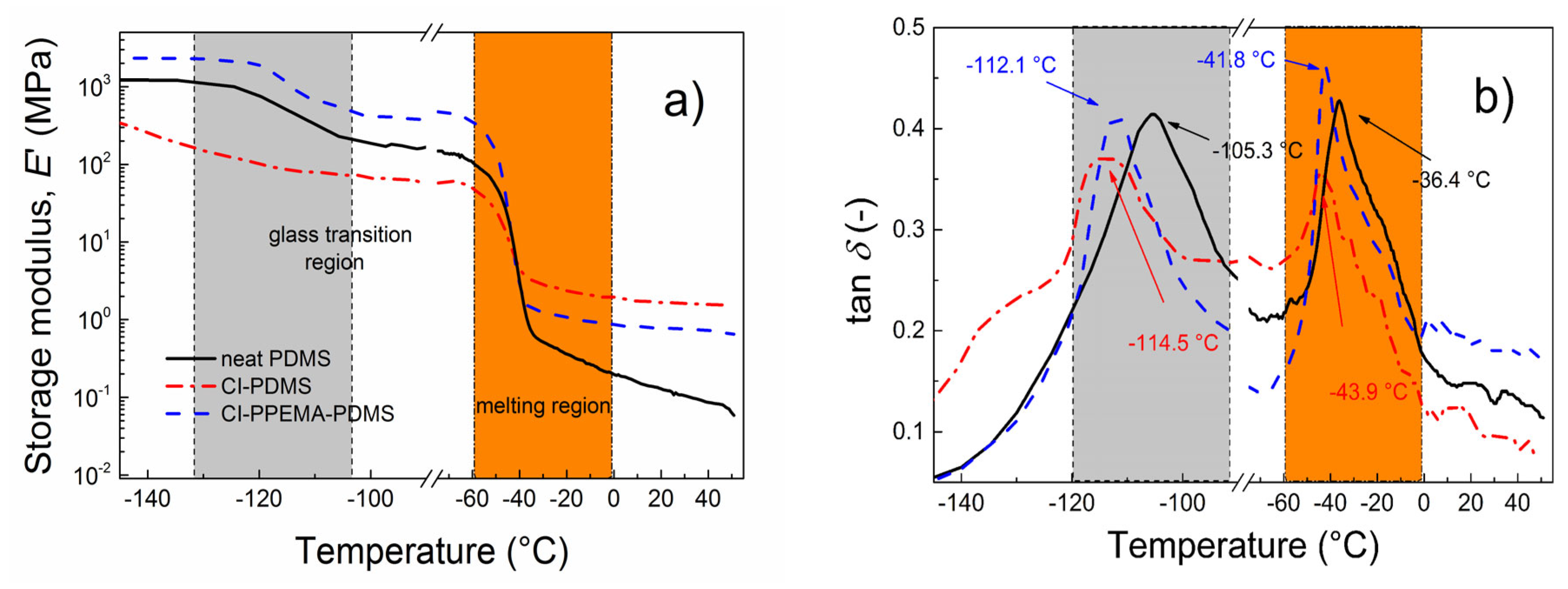
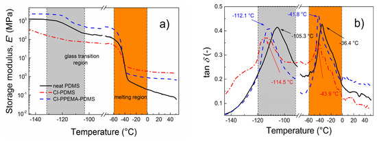
2.2. Dynamic Mechanical Analysis
2.3. Interference Shielding
3. Methods and Materials
3.1. Materials
3.2. Initiator Bonding
3.3. Synthesis of 2-(1H-Pyrrole-1-yl)ethyl Methacrylate Monomer
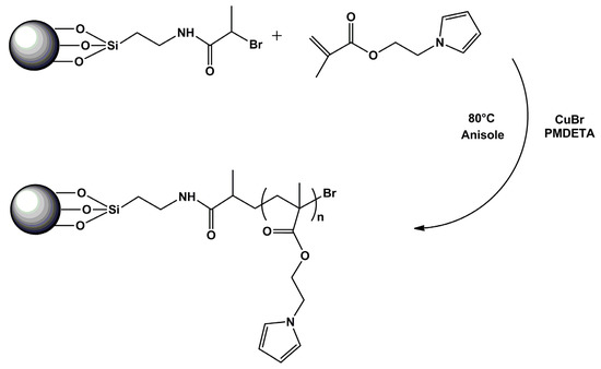
3.4. Surface Initiated ATRP Polymerization of 2-(1H-Pyrrole-1-yl)ethyl Methacrylate (PyEMA) from the CI Particles
3.5. Fabrication of the Neat SE and SE Containing Neat and SI-ATRP Modified CI Particles
3.5.1. Characterization
3.5.2. Dynamic Mechanical Analysis
4. Conclusions
Author Contributions
Institutional Review Board Statement
Informed Consent Statement
Data Availability Statement
Acknowledgments
Conflicts of Interest
References
- Ge, L.; Gong, X.L.; Wang, Y.; Xuan, S.H. The conductive three dimensional topological structure enhanced magnetorheological elastomer towards a strain sensor. Compos. Sci. Technol. 2016, 135, 92–99. [Google Scholar] [CrossRef]
- Yang, J.; Sun, S.S.; Du, H.; Li, W.H.; Alici, G.; Deng, H.X. A novel magnetorheological elastomer isolator with negative changing stiffness for vibration reduction. Smart Mater. Struct. 2014, 23, 11. [Google Scholar] [CrossRef]
- Zhao, L.J.; Yu, M.; Fu, J.; Zhu, M.; Li, B.S. A miniature MRE isolator for lateral vibration suppression of bridge monitoring equipment: Design and verification. Smart Mater. Struct. 2017, 26, 16. [Google Scholar] [CrossRef]
- Mietta, J.L.; Jorge, G.; Negri, R.M. A flexible strain gauge exhibiting reversible piezoresistivity based on an anisotropic magnetorheological polymer. Smart Mater. Struct. 2014, 23, 12. [Google Scholar] [CrossRef]
- Perales-Martinez, I.A.; Palacios-Pineda, L.M.; Lozano-Sanchez, L.M.; Martinez-Romero, O.; Puente-Cordova, J.G.; Elias-Zuniga, A. Enhancement of a magnetorheological PDMS elastomer with carbonyl iron particles. Polym. Test. 2017, 57, 78–86. [Google Scholar] [CrossRef]
- Karl, C.W.; McIntyre, J.; Alshuth, T.; Kluppel, M. Magneto-Rheological Elastomers with switchable mechanical Properties. KGK-Kautsch. Gummi Kunstst. 2013, 66, 46–53. [Google Scholar]
- Lokander, M.; Stenberg, B. Performance of isotropic magnetorheological rubber materials. Polym. Test. 2003, 22, 245–251. [Google Scholar] [CrossRef] [Green Version]
- Goshkoderia, A.; Rudykh, S. Stability of magnetoactive composites with periodic microstructures undergoing finite strains in the presence of a magnetic field. Compos. Pt. B-Eng. 2017, 128, 19–29. [Google Scholar] [CrossRef]
- Sedlacik, M.; Mrlik, M.; Babayan, V.; Pavlinek, V. Magnetorheological elastomers with efficient electromagnetic shielding. Compos. Struct. 2016, 135, 199–204. [Google Scholar] [CrossRef]
- Cvek, M.; Mrlik, M.; Ilcikova, M.; Mosnacek, J.; Munster, L.; Pavlinek, V. Synthesis of Silicone Elastomers Containing Silyl-Based Polymer Grafted Carbonyl Iron Particles: An Efficient Way to Improve Magnetorheological, Damping, and Sensing Performances. Macromolecules 2017, 50, 2189–2200. [Google Scholar] [CrossRef]
- Sykora, R.; Babayan, V.; Usakova, M.; Kruzelak, J.; Hudec, I. Rubber Composite Materials with the Effects of Electromagnetic Shielding. Polym. Compos. 2016, 37, 2933–2939. [Google Scholar] [CrossRef]
- Darwish, M.S.A.; Mostafa, M.H.; Al-Harbi, L.M. Polymeric Nanocomposites for Environmental and Industrial Applications. Int. J. Mol. Sci. 2022, 23, 1023. [Google Scholar] [CrossRef] [PubMed]
- Darwish, M.S.A.; Bakry, A.; Al-Harbi, L.M.; Khowdiary, M.M.; El-Henawy, A.A.; Yoon, J. Core/shell PA6 @ Fe3O4 nanofibers: Magnetic and shielding behavior. J. Dispers. Sci. Technol. 2020, 41, 1711–1719. [Google Scholar] [CrossRef]
- Joseph, N.; Sebastian, M.T. Electromagnetic interference shielding nature of PVDF-carbonyl iron composites. Mater. Lett. 2013, 90, 64–67. [Google Scholar] [CrossRef]
- Osicka, J.; Ilcikova, M.; Mrlik, M.; Minarik, A.; Pavlinek, V.; Mosnacek, J. The Impact of Polymer Grafting from a Graphene Oxide Surface on Its Compatibility with a PDMS Matrix and the Light-Induced Actuation of the Composites. Polymers 2017, 9, 264. [Google Scholar] [CrossRef] [Green Version]
- Babayan, V.; Kazantseva, N.E.; Moucka, R.; Stejskal, J. Electromagnetic shielding of polypyrrole-sawdust composites: Polypyrrole globules and nanotubes. Cellulose 2017, 24, 3445–3451. [Google Scholar] [CrossRef]
- Kashi, S.; Gupta, R.K.; Baum, T.; Kao, N.; Bhattacharya, S.N. Morphology, electromagnetic properties and electromagnetic interference shielding performance of poly lactide/graphene nanoplatelet nanocomposites. Mater. Des. 2016, 95, 119–126. [Google Scholar] [CrossRef]
- Moucka, R.; Mravcakova, M.; Vilcakova, J.; Omastova, M.; Saha, P. Electromagnetic absorption efficiency of polypropylene/montmorillonite/polypyrrole nanocomposites. Mater. Des. 2011, 32, 2006–2011. [Google Scholar] [CrossRef] [Green Version]
- Yuan, X.Y.; Cheng, L.F.; Zhang, Y.J.; Guo, S.W.; Zhang, L.T. Fe-doped SiC/SiO2 composites with ordered inter-filled structure for effective high-temperature microwave attenuation. Mater. Des. 2016, 92, 563–570. [Google Scholar] [CrossRef]
- Liu, X.F.; Zhang, L.T.; Yin, X.W.; Ye, F.; Liu, Y.S.; Cheng, L.F. Flexible thin SiC fiber fabrics using carbon nanotube modification for improving electromagnetic shielding properties. Mater. Des. 2016, 104, 68–75. [Google Scholar] [CrossRef]
- Babayan, V.; Kazantseva, N.E.; Sapurina, I.; Moucka, R.; Stejskal, J.; Saha, P. Increasing the high-frequency magnetic permeability of MnZn ferrite in polyaniline composites by incorporating silver. J. Magn. Magn. Mater. 2013, 333, 30–38. [Google Scholar] [CrossRef]
- Singh, A.P.; Mishra, M.; Sambyal, P.; Gupta, B.K.; Singh, B.P.; Chandra, A.; Dhawan, S.K. Encapsulation of γ-Fe2O3 decorated reduced graphene oxide in polyaniline core-shell tubes as an exceptional tracker for electromagnetic environmental pollution. J. Mater. Chem. A 2014, 2, 3581–3593. [Google Scholar] [CrossRef]
- Ohlan, A.; Singh, K.; Chandra, A.; Dhawan, S.K. Microwave Absorption Behavior of Core-Shell Structured Poly (3,4-Ethylenedioxy Thiophene)-Barium Ferrite Nanocomposites. ACS Appl. Mater. Interfaces 2010, 2, 927–933. [Google Scholar] [CrossRef] [PubMed]
- Azadmanjiri, J.; Hojati-Talemi, P.; Simon, G.P.; Suzuki, K.; Selomulya, C. Synthesis and Electromagnetic Interference Shielding Properties of Iron Oxide/Polypyrrole Nanocomposites. Polym. Eng. Sci. 2011, 51, 247–253. [Google Scholar] [CrossRef]
- Vu, Q.T.; Duong, N.T.; Duong, N.H. Polypyrrole/Al2O3 nanocomposites: Preparation, characterisation and electromagnetic shielding properties. J. Exp. Nanosci. 2009, 4, 213–219. [Google Scholar] [CrossRef]
- Zhao, H.; Hou, L.; Lu, Y.X. Electromagnetic interference shielding of layered linen fabric/polypyrrole/nickel (LF/PPy/Ni) composites. Mater. Des. 2016, 95, 97–106. [Google Scholar] [CrossRef]
- Cagnolati, R.; Lucchesi, M.; Rolla, P.A.; Castelvetro, V.; Ciardelli, F.; Colligiani, A. DC electrical transport in a new conducting polymer—Oxidized poly(n-vinylpyrrole). Synth. Met. 1992, 46, 127–131. [Google Scholar] [CrossRef]
- Ruggeri, G.; Bianchi, M.; Puncioni, G.; Ciardelli, F. Molecular control of electric conductivity and structural properties of polymers of pyrrole derivatives. Pure Appl. Chem. 1997, 69, 143–149. [Google Scholar] [CrossRef]
- Radtke, M.; Ignaszak, A. Carbon allotropes grafted with poly(pyrrole) derivatives via living radical polymerizations: Electrochemical analysis of nano-composites for energy storage. RSC Adv. 2017, 7, 35060–35074. [Google Scholar] [CrossRef] [Green Version]
- Yoon, J.T.; Lee, S.C.; Jeong, Y.G. Effects of grafted chain length on mechanical and electrical properties of nanocomposites containing polylactide-grafted carbon nanotubes. Compos. Sci. Technol. 2010, 70, 776–782. [Google Scholar] [CrossRef]
- Cheng, Q.L.; He, Y.; Pavlinek, V.; Li, C.Z.; Saha, P. Surfactant-assisted polypyrrole/titanate composite nanofibers: Morphology, structure and electrical properties. Synth. Met. 2008, 158, 953–957. [Google Scholar] [CrossRef]
- Cvek, M.; Mrlik, M.; Ilcikova, M.; Mosnacek, J.; Babayan, V.; Kucekova, Z.; Humpolicek, P.; Pavlinek, V. The chemical stability and cytotoxicity of carbonyl iron particles grafted with poly(glycidyl methacrylate) and the magnetorheological activity of their suspensions. RSC Adv. 2015, 5, 72816–72824. [Google Scholar] [CrossRef] [Green Version]
- Mrlik, M.; Pavlinek, V. Magnetorheological suspensions based on modified carbonyl iron particles with an extremely thin poly(n-butyl acrylate) layer and their enhanced stability properties. Smart Mater. Struct. 2016, 25, 085011. [Google Scholar] [CrossRef]
- Cvek, M.; Kollar, J.; Mrlik, M.; Masar, M.; Suly, P.; Urbanek, M.; Mosnacek, J. Surface-initiated mechano-ATRP as a convenient tool for tuning of bidisperse magnetorheological suspensions toward extreme kinetic stability. Polym. Chem. 2021, 12, 5093–5105. [Google Scholar] [CrossRef]
- Mrlik, M.; Ilcikova, M.; Pavlinek, V.; Mosnacek, J.; Peer, P.; Filip, P. Improved thermooxidation and sedimentation stability of covalently-coated carbonyl iron particles with cholesteryl groups and their influence on magnetorheology. J. Colloid Interface Sci. 2013, 396, 146–151. [Google Scholar] [CrossRef] [PubMed]
- Mrlik, M.; Ilcikova, M.; Cvek, M.; Pavlinek, V.; Zahoranova, A.; Kronekova, Z.; Kasak, P. Carbonyl iron coated with a sulfobetaine moiety as a biocompatible system and the magnetorheological performance of its silicone oil suspensions. RSC Adv. 2016, 6, 32823–32830. [Google Scholar] [CrossRef]
- Stejskal, J.; Omastova, M.; Fedorova, S.; Prokes, J.; Trchova, M. Polyaniline and polypyrrole prepared in the presence of surfactants: A comparative conductivity study. Polymer 2003, 44, 1353–1358. [Google Scholar] [CrossRef]
- Cvek, M.; Mrlik, M.; Sevcik, J.; Sedlacik, M. Tailoring Performance, Damping, and Surface Properties of Magnetorheological Elastomers via Particle-Grafting Technology. Polymers 2018, 10, 1411. [Google Scholar] [CrossRef] [PubMed] [Green Version]
- Ilcikova, M.; Mrlik, M.; Sedlacek, T.; Doroshenko, M.; Koynov, K.; Danko, M.; Mosnacek, J. Tailoring of viscoelastic properties and light-induced actuation performance of triblock copolymer composites through surface modification of carbon nanotubes. Polymer 2015, 72, 368–377. [Google Scholar] [CrossRef]
- Ilcikova, M.; Mrlik, M.; Sedlacek, T.; Slouf, M.; Zhigunov, A.; Koynov, K.; Mosnacek, J. Synthesis of Photoactuating Acrylic Thermoplastic Elastomers Containing Diblock Copolymer-Grafted Carbon Nanotubes. ACS Macro Lett. 2014, 3, 999–1003. [Google Scholar] [CrossRef]
- Possinger, T.; Bolzmacher, C.; Bodelot, L.; Triantafyllidis, N. Interfacial adhesion between the iron fillers and the silicone matrix in magneto-rheological elastomers at high deformations. In Smart Sensors, Actuators, and Mems Vi; Schmid, U., Aldavero, J., Leester Schaedel, M., Eds.; SPIE-Int. Soc. Optical Engineering: Bellingham, WA, USA, 2013; Volume 8763. [Google Scholar]
- Yao, F.; Wu, Q.L.; Lei, Y.; Xu, Y.J. Rice straw fiber-reinforced high-density polyethylene composite: Effect of fiber type and loading. Ind. Crops Prod. 2008, 28, 63–72. [Google Scholar] [CrossRef]
- Kirchberg, S.; Ziegmann, G. Thermogravimetry and Dynamic Mechanical Analysis of Iron Silicon Particle filled Polypropylene. J. Compos. Mater. 2009, 43, 1323–1334. [Google Scholar] [CrossRef]
- Lakshmi, N.V.; Tambe, P.; Panda, B. Surface modified iron oxide (Fe3O4) nanosheets reinforced PVDF nanocomposites: Influence on morphology, thermal and magnetic properties. Plast. Rubber Compos. 2022, 51, 205–216. [Google Scholar] [CrossRef]
- Anju, R.S.; Yadav, R.S.; Potschke, P.; Pionteck, J.; Krause, B.; Kuritka, I.; Vilcakova, J.; Skoda, D.; Urbanek, P.; Machovsky, M.; et al. CuxCo1-xFe2O4 (x = 0.33, 0.67, 1) Spinel Ferrite Nanoparticles Based Thermoplastic Polyurethane Nanocomposites with Reduced Graphene Oxide for Highly Efficient Electromagnetic Interference Shielding. Int. J. Mol. Sci. 2022, 23, 2610. [Google Scholar] [CrossRef] [PubMed]
- Gupta, S.; Chang, C.; Lai, C.H.; Tai, N.H. Hybrid composite mats composed of amorphous carbon, zinc oxide nanorods and nickel zinc ferrite for tunable electromagnetic interference shielding. Compos. Pt. B-Eng. 2019, 164, 447–457. [Google Scholar] [CrossRef]
- Kumar, A.; Singh, A.K.; Tomar, M.; Gupta, V.; Kumar, P.; Singh, K. Electromagnetic interference shielding performance of lightweight NiFe2O4/rGO nanocomposite in X- band frequency range. Ceram. Int. 2020, 46, 15473–15481. [Google Scholar] [CrossRef]
- Li, X.H.; Shu, R.W.; Wu, Y.; Zhang, J.B.; Wan, Z.L. Fabrication of nitrogen-doped reduced graphene oxide/cobalt ferrite hybrid nanocomposites as broadband electromagnetic wave absorbers in both X and Ku bands. Synth. Met. 2021, 271, 116621. [Google Scholar] [CrossRef]
- Lopatin, A.V.; Kazantsev, Y.N.; Kazantseva, N.E.; Apletalin, V.N.; Mal’tsev, V.P.; Shatrov, A.D.; Saha, P. Radio absorbers based on magnetic polymer composites and frequency-selective surfaces. J. Commun. Technol. Electron. 2008, 53, 1114–1122. [Google Scholar] [CrossRef]











| Polymer Matrix | Filler | Thickness (mm) | Shielding (Reflection) (dB) | Frequency Band (GHz) | Ref. (DOI) |
|---|---|---|---|---|---|
| TPU | CuCoF1/rGO | 1.0 | 19.8 | 8.2–12.4 | [45] |
| PA | NiFe2O4/rGO | 2.0 | 13.4 | 8.2–12.4 | [47] |
| PS | rGO/ CoFe2O4 | 1.9 | 48.4 | 0.1–20 | [48] |
| TPU | CI/TEOS | 0.5 | 18.0 | 0.1–3 | [9] |
| PDMS | CI | 0.5 | 21.1 | 0.1–3 | This work |
| PDMS | CI/PPEMA | 0.5 | 29.9 | 0.1–3 | This work |
Publisher’s Note: MDPI stays neutral with regard to jurisdictional claims in published maps and institutional affiliations. |
© 2022 by the authors. Licensee MDPI, Basel, Switzerland. This article is an open access article distributed under the terms and conditions of the Creative Commons Attribution (CC BY) license (https://creativecommons.org/licenses/by/4.0/).
Share and Cite
Mrlík, M.; Kollár, J.; Borská, K.; Ilčíková, M.; Gorgol, D.; Osicka, J.; Sedlačík, M.; Ronzová, A.; Kasák, P.; Mosnáček, J. Atom Transfer Radical Polymerization of Pyrrole-Bearing Methacrylate for Production of Carbonyl Iron Particles with Conducting Shell for Enhanced Electromagnetic Shielding. Int. J. Mol. Sci. 2022, 23, 8540. https://doi.org/10.3390/ijms23158540
Mrlík M, Kollár J, Borská K, Ilčíková M, Gorgol D, Osicka J, Sedlačík M, Ronzová A, Kasák P, Mosnáček J. Atom Transfer Radical Polymerization of Pyrrole-Bearing Methacrylate for Production of Carbonyl Iron Particles with Conducting Shell for Enhanced Electromagnetic Shielding. International Journal of Molecular Sciences. 2022; 23(15):8540. https://doi.org/10.3390/ijms23158540
Chicago/Turabian StyleMrlík, Miroslav, Jozef Kollár, Katarína Borská, Markéta Ilčíková, Danila Gorgol, Josef Osicka, Michal Sedlačík, Alena Ronzová, Peter Kasák, and Jaroslav Mosnáček. 2022. "Atom Transfer Radical Polymerization of Pyrrole-Bearing Methacrylate for Production of Carbonyl Iron Particles with Conducting Shell for Enhanced Electromagnetic Shielding" International Journal of Molecular Sciences 23, no. 15: 8540. https://doi.org/10.3390/ijms23158540
APA StyleMrlík, M., Kollár, J., Borská, K., Ilčíková, M., Gorgol, D., Osicka, J., Sedlačík, M., Ronzová, A., Kasák, P., & Mosnáček, J. (2022). Atom Transfer Radical Polymerization of Pyrrole-Bearing Methacrylate for Production of Carbonyl Iron Particles with Conducting Shell for Enhanced Electromagnetic Shielding. International Journal of Molecular Sciences, 23(15), 8540. https://doi.org/10.3390/ijms23158540

