Abstract
Wheat leaf rust (caused by Puccinia triticina Erikss.) is among the major diseases of common wheat. The lack of resistance genes to leaf rust has limited the development of wheat cultivars. Wheat–Agropyron cristatum (A. cristatum) 2P addition line II-9-3 has been shown to provide broad-spectrum immunity to leaf rust. To identify the specific A. cristatum resistance genes and related regulatory pathways in II-9-3, we conducted a comparative transcriptome analysis of inoculated and uninoculated leaves of the resistant addition line II-9-3 and the susceptible cultivar Fukuhokomugi (Fukuho). The results showed that there were 66 A. cristatum differentially expressed genes (DEGs) and 1389 wheat DEGs in II-9-3 during P. triticina infection. Kyoto Encyclopedia of Genes and Genomes (KEGG) pathway enrichment and gene set enrichment analysis (GSEA) revealed that the DEGs of II-9-3 were associated with plant–pathogen interaction, MAPK signaling pathway–plant, plant hormone signal transduction, glutathione metabolism, and phenylpropanoid biosynthesis. Furthermore, many defense-related A. cristatum genes, such as two NLR genes, seven receptor kinase-encoding genes, and four transcription factor-encoding genes, were identified. Our results indicated that the key step of resistance to leaf rust involves, firstly, the gene expression of chromosome 2P upstream of the immune pathway and, secondly, the effect of chromosome 2P on the co-expression of wheat genes in II-9-3. The disease resistance regulatory pathways and related genes in the addition line II-9-3 thus could play a critical role in the effective utilization of innovative resources for leaf rust resistance in wheat breeding.
1. Introduction
Wheat leaf rust caused by Puccinia triticina Erikss. is one of the main diseases hindering wheat production [1]. The life cycle of P. triticina consists of five spore stages. Urediniospores are formed on the wheat host, and they will develop into black teliospores on leaves at plant maturity. After the teliospores germinate, they produce basidiospores and are carried to the alternate hosts by the wind. Then, the basidiospores develop into pycniospores and aeciospores. When the aeciospores are spread to wheat hosts, and urediniospores are produced in the right environment, the life cycle is complete [1,2]. Leaf rust spreads urediniospores by airflow and can spread widely in a short period of time under suitable environmental conditions, resulting in severe yield reductions, up to 50% in severe cases [3]. Compared with chemical control, the cultivation of disease-resistant varieties is more economical and environmentally friendly and plays a key role in the control of wheat leaf rust [4,5,6]. At present, the leaf rust disease resistance genes Lr1, Lr2a, Lr2c, Lr3, Lr16, Lr26, Lr11, Lr17, Lr10, Lr14a, Lr2b, Lr3bg, Lr14b, Lr32, Lr33 and Lr50 have lost disease resistance to most P. triticina races due to environmental changes and variations in physiological races in China [7,8,9]. The discovery and utilization of new genes for resistance to leaf rust can overcome the epidemics of leaf rust caused by long-term and widely used resistance genes. The leaf rust resistance gene Lr42 from Aegilops tauschii is widely used in wheat breeding programs, which is attributed to broad-spectrum leaf rust resistance [10]. Broad-spectrum leaf rust resistance genes have important value in wheat disease resistance breeding, but they are very scarce in wheat varieties [11]. Therefore, the continual discovery of new broad-spectrum leaf rust resistance genes is of great significance to wheat disease resistance breeding.
Wild relatives of wheat provide abundant genetic resources associated with high yield, disease resistance, and stress resistance for wheat, and the introduction of excellent genes of the relatives into cultivated wheat is beneficial to the improvement of wheat varieties [12,13]. Resistance genes such as Yr9, Pm8, Lr26, and Sr31 of rye (Secale cereale) chromosome 1RS [14,15,16]; powdery mildew resistance genes Pm21 and Pm67 of Haynaldia villosa chromosome 6V and 1V [17,18,19]; Fusarium head blight resistance gene Fhb7 of Thinopyrum elongatum [20]; stripe rust resistance gene YrAS2388; and leaf rust resistance gene Lr42 of Ae. tauschii [10,21] have been successfully applied in wheat breeding. Agropyron cristatum (A. cristatum) (2n = 4x = 28, PPPP), a wild relative of wheat, has resistance to some major diseases, such as wheat rust, powdery mildew, and yellow dwarfing; thus, this species can be used as an excellent genetic source for wheat [22,23,24,25,26].
We identified and obtained a wheat–A. cristatum 2P disomic addition line II-9-3. Chromosome 2P of wheat–A. cristatum addition line II-9-3 carries genes that provide broad-spectrum immunity to leaf rust and high resistance to powdery mildew, according to genetic analysis [27]. The wheat–A. cristatum 2P disomic addition line II-9-3 is immune or nearly immune to 50 leaf rust races collected from 102 different locations in 13 provinces in China, so it carries broad-spectrum leaf rust resistance genes. The postulation of resistant genes showed that the leaf rust resistance gene of the addition line II-9-3 was a new and broad-spectrum resistance gene, which had a wider resistance spectrum than the total spectrum of the leaf rust resistance gene Lr1, Lr2c, Lr3, Lr16, Lr26, Lr3ka, Lr11, Lr17, and Lr30 [28]. Therefore, we explored the excellent leaf rust resistance genes from A. cristatum chromosome 2P and analyzed the regulatory mechanism of the wheat–A. cristatum 2P addition line, given that wheat leaf rust resistance is highly important for wheat disease resistance breeding.
Transcriptome sequencing technology can quickly and comprehensively provide almost all the gene information of a species in a certain state, so it has become an important tool to study gene transcript levels and identify functional genes [29]. A large number of disease resistance genes have been mapped via RNA sequencing (RNA-seq). Li et al. performed RNA-seq analysis on the homozygous translocation line TA3465 of Chinese spring wheat–goatgrass and mapped the powdery mildew resistance gene Pm66 to the short arm of 4Sl [30]. Wang et al. mapped the stripe rust resistance gene YrZH22 to a 5.92 cM genetic range on wheat chromosome 4BL via bulked segregant RNA-seq (BSR-Seq) [31]. Using RNA-seq, Yang et al. identified and cloned the powdery mildew resistance gene Pm40 [32]. Therefore, this study involved evaluating the transcriptome of inoculated and uninoculated leaves of a resistant addition line, II-9-3, and susceptible cultivar, Fukuhokomugi (Fukuho). The promising disease-responsive gene candidates were profiled, and the pathways involved were analyzed. It is expected that this work will provide a basis for further gene discovery and effective utilization in wheat leaf rust resistance breeding.
2. Results
2.1. Cytological Identification and P. Triticina Response to wheat–A. Cristatum 2P Addition Line II-9-3
To confirm the stability of the addition chromosome 2P in II-9-3, II-9-3 was identified by genome in situ hybridization (GISH). In total, 10 II-9-3 seeds were randomly selected for GISH identification, and the results showed that the 10 individual plants of II-9-3 had 2 chromosomes from A. cristatum and 42 chromosomes from wheat (Figure 1). To assay the resistance of II-9-3 to P. triticina race THT, the addition line II-9-3 and the susceptible cultivar Fukuho were inoculated with physiological race THT at the seedling stage. Seedling responses to THT at 10 days post-inoculation THT indicated that II-9-3 was immune with IT = 0, whereas Fukuho was highly susceptible with IT = 3 (Figure 2A,B). Thus, chromosome 2P has at least one gene that provides moderate resistance to leaf rust.
Figure 1.
GISH results of wheat–A. cristatum 2P addition line II-9-3. Probe: A. cristatum genomic DNA. Block: wheat genomic DNA from Fukuho. Bar = 5 μm.
Figure 2.
Response of wheat–A. cristatum 2P addition line II-9-3 and susceptible Fukuho to P. triticina race THT: (A) disease symptoms of leaves at 10 days after inoculation with P. triticina race THT (bar = 5 mm); (B) Coomassie brilliant blue staining of the leaves at 72 h post-inoculation (hpi) with THT to visualize spores (bar = 100 µm).
2.2. RNA-Seq Quantity Analysis of the Addition Line II-9-3 and Susceptible Cultivar Fukuho
To understand the transcriptional regulation of disease-resistance-related genes in the addition line II-9-3, we used treated and nontreated leaves from the II-9-3 and Fukuho for RNA-seq. In total, 12 cDNA libraries comprising the II-9-3 and Fukuho inoculated groups (II-9-3_T, Fukuho_T) and the control group (II-9-3_CK, Fukuho_CK), with 3 biological replications, were used for each sample. In all, II-9-3 and Fukuho provided 343,794,274 and 348,383,084 clean reads after the quality filtering process. The Q20 and Q30 percentages of II-9-3 and Fukuho were greater than 96.55% and 91.73%, respectively (Table S1). At least 89.42% of the clean reads were mapped to the wheat reference genome (IWGSC RefSeq v2.1) and chromosome 2P of the A. cristatum genome. A total of 2500 A. cristatum genes and 46,754 wheat genes were detected among the 12 libraries. Subsequently, the correlation based on fragments per kilobase of exon per million fragments mapped (FPKM) among the 12 samples indicated high quality and reproducibility (Figure S1).
2.3. DEGs Related to Disease Resistance
We adopted stringent criteria (|log2 (fold change) (log2FC)| > 1 and an adjusted p value < 0.05) to detect DEGs between the inoculated and uninoculated groups. A total of 1675 DEGs comprising 1427 upregulated genes (52 A. cristatum genes and 1375 wheat genes) and 248 downregulated genes (14 A. cristatum genes and 234 wheat genes) were detected in II-9-3_CK vs. II-9-3_T (Figure 3A). However, a total of 833 DEGs were identified in Fukuho, 119 of which were downregulated, and 714 of which were upregulated (Figure 3B,C). These results suggested that more genes were involved in the resistance to leaf rust in the II-9-3, and the expression of the 2P genes in II-9-3 might affect the gene expression of recipient wheat.
Figure 3.
Analysis of DEGs of the addition line II-9-3 and Fukuho before and after inoculation: (A) Number of DEGs; (B) Venn diagram of DEGs before and after inoculation; (C) Heatmap of DEGs of each sample.
To further understand the biological pathways of resistance responses of II-9-3 to leaf rust, Kyoto Encyclopedia of Genes and Genomes (KEGG) pathways enrichment was mined for specific DEGs in II-9-3_CK vs. II-9-3_T (Figure 4, Table S3). The most represented pathway of the A. cristatum gene was the basal transcription factor pathway. The pathways in which A. cristatum and wheat genes were involved include plant–pathogen interaction, plant hormone signal transduction, flavonoid biosynthesis, phenylpropanoid biosynthesis, alpha-linolenic acid metabolism, and stilbenoid, diarylheptanoid, and gingerol biosynthesis. These results indicated that transcription factors of A. cristatum play an important role in activating the expression of genes related to disease resistance and lead to the broad-spectrum immunity of the addition line II-9-3.
Figure 4.
The top 20 KEGG enrichment results of DEGs in the addition line II-9-3: (A) KEGG enrichment of A. cristatum DEGs; (B) KEGG enrichment of wheat DEGs.
As KEGG enrichment focuses only on significant DEGs, the contribution of genes to disease resistance phenotypes cannot be determined. Thus, the special genes in II-9-3 after inoculation with P. triticina were examined using gene set enrichment analysis (GSEA) to identify the key pathways associated with disease-resistant gene expression (Figure 5, Table S4). This analysis revealed N-glycan biosynthesis, glyoxylate and dicarboxylate metabolism, and protein processing in the endoplasmic reticulum and peroxisome as the targets of specific gene sets of A. cristatum. Plant–pathogen interaction, MAPK signaling pathway–plant, plant hormone signal transduction, glutathione metabolism, phenylpropanoid biosynthesis, and amino sugar and nucleotide sugar metabolism were shared gene sets of A. cristatum and wheat. Both KEGG pathway enrichment analysis and GSEA indicated that the important biological processes associated with disease resistance in II-9-3 were plant–pathogen interaction, MAPK signaling pathway–plant, plant hormone signal transduction, glutathione metabolism, and phenylpropanoid biosynthesis. In addition, A. cristatum genes play important roles in transcription factors, N-glycan biosynthesis, glyoxylate and dicarboxylate metabolism, and protein processing in the endoplasmic reticulum and the peroxisome.
Figure 5.
GSEA of genes in the addition line II-9-3: (A) GSEA of A. cristatum genes; (B) GSEA of wheat genes.
2.4. Identification of A. cristatum Genes Related to Plant Disease Resistance Pathways
Plants initiate pathogen attacks via pattern-triggered immunity (PTI) and effector-triggered immunity (ETI), which are initiated by cell-surface-localized pattern-recognition receptors (PRRs) and intracellular nucleotide-binding domain leucine-rich repeat-containing receptors (NLRs), respectively [33]. In the addition line II-9-3, 25 A. cristatum genes and 70 wheat genes were enriched in the plant–pathogen interaction pathway. Although the number of A. cristatum genes from chromosome 2P was lower than that of wheat, the genes played a key role in the upstream of the PTI and ETI (Figure 6). An FLS2 homolog (Ac2P01G432500) with a serine/threonine protein kinase structure and a chitin receptor CEBIP homolog (Ac2P01G18549) were upregulated upstream of PTI. The upstream ETI pathway was annotated with two NLR genes (Ac2P01G359200 and Ac2P01G19996), two serine/threonine protein kinases (Ac2P01G277300 and Ac2P01G19571), and two RPM1-interacting proteins (Ac2P01G28240 and Ac2P01G19498). However, wheat genes were annotated only in the downstream signaling pathways of PTI and ETI.
Figure 6.
Schematic diagram of the plant–pathogen interaction pathway involving DEGs in the addition line II-9-3. Red boxes: proteins encoded by genes of A. cristatum; green boxes: proteins encoded by genes of wheat. Genes from A. cristatum encoding these enzymes as well as their expression are presented in the heatmap.
In addition, nine A. cristatum resistance-associated genes were identified in the MAPK signaling pathway–plant: four genes encoding serine/threonine protein kinases (Ac2P01G327800, Ac2P01G18007, Ac2P01G19645 and Ac2P01G581900), four genes encoding chitin recognition proteins (Ac2P01G590000, Ac2P01G591200, Ac2P01G591500 and Ac2P01G581800), and one gene encoding a mitogen-activated protein kinase (MAPK) (Ac2P01G381300). Two genes encoding glutathione transferase (GST) were identified in the glutathione metabolic pathway (Ac2P01G563000 and Ac2P01G18556). Four genes encoding transcription factors were identified in the plant hormone signal transduction pathway: These genes included one bZIP transcription factor (Ac2P01G498600), two TGA transcription factors (Ac2P01G498500 and Ac2P01G20623), and one BES1/BZR1 transcription factor (Ac2P01G18927). A universal transcription factor, TFIIB (Ac2P01G20658), was identified via the basic transcription factor pathway.
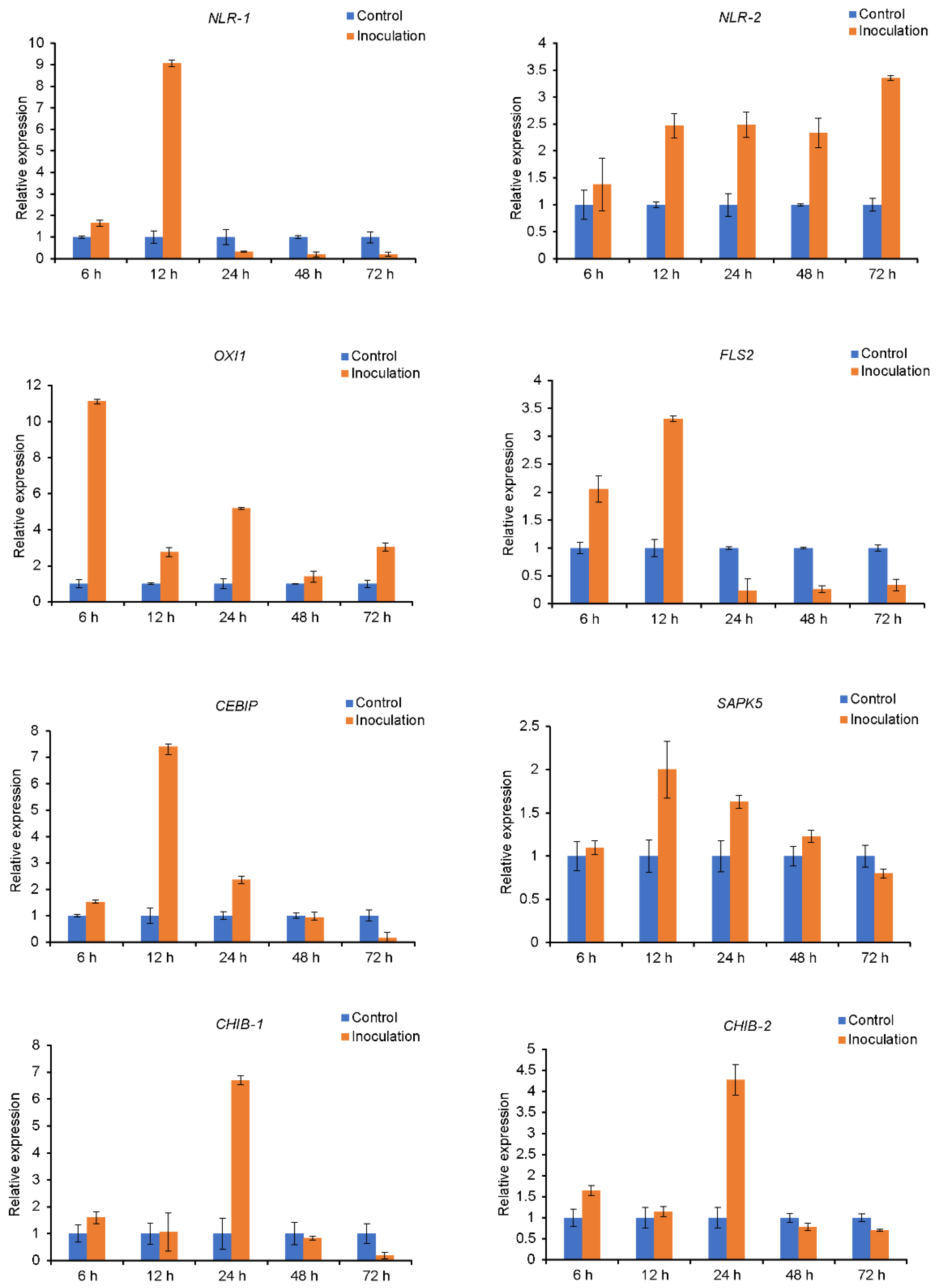
2.5. Verification of the Expression Patterns for Quantitative Real-Time PCR (qRT-PCR) of Disease Resistance-Related A. Cristatum Genes
The expression patterns of eight A. cristatum genes related to disease resistance at five time points in the addition line II-9-3 were determined via qRT-PCR (Figure 7). At five different time points after inoculation, two NLR encoding transcripts showed differential expression patterns in II-9-3. The NLR-1 gene showed the highest expression at 12 h and ultimately abruptly decreased 24 h after inoculation, whereas the expression of the NLR-2 gene was significantly higher than that in the uninoculated leaves. Accordingly, the differences in the expression patterns of NLR-1 and NLR-2 were in accordance with the various roles of these genes. Genes associated with fungal cell wall chitin were upregulated in the early phase of infection. One gene encoding chitin-binding protein (CEBIP) exhibited the highest expression levels at 12 hpi, and two genes encoding chitin recognition enzyme (CHIB) showed the highest expression at 24 hpi. In addition, the expression levels of genes encoding the receptor kinases FLS2, OXI1, and SAPK5 peaked at 12 hpi and then decreased. The mean relative expression at the five time points indicated that the expression levels of the abovementioned eight genes were upregulated after rust inoculation. Their qPCR results were in accordance with the results of RNA-seq.
Figure 7.
Expression patterns of disease resistance-related genes of the addition line II-9-3 at five time points after inoculation.
2.6. Chromosome 2P of the Addition line II-9-3 Influenced the Gene Expression Pattern of Recipient Wheat
The expression of genes from chromosome 2P of the addition line II-9-3 may also affect the gene expression of the recipient wheat. To further analyze the effects of chromosome 2P on the gene expression of wheat in the addition line II-9-3, trend clustering of wheat DEGs in each sample was carried out via FPKM. The results indicated that the expression patterns of a large number of wheat genes in II-9-3 were different from those in Fukuho (Figure S2). The expression levels of 640 wheat genes did not change in Fukuho but were significantly upregulated in II-9-3 after inoculation (Figure 2A,D). These results indicated that these genes are regulated by chromosome 2P. To further identify wheat genes expressed or inhibited specifically in II-9-3, the criteria were based on |log2FC| ≥ 4 and adjusted p value < 0.05 [34]. A total of 1355 wheat genes were upregulated in the inoculation group (II-9-3_T vs. Fukuho_T), and 969 wheat genes were downregulated (Figure 8A). These genes were mapped onto the chromosome of wheat genomes, and it was found that genes whose expression changed were more distributed at the chromosomal ends, among which chromosome 2B had the largest number of DEGs (Figure 8B,C). These results indicated that the wheat genes involved in resistance to leaf rust showed different expression patterns after inoculation with II-9-3 due to the influence of chromosome 2P.
Figure 8.
Wheat DEGs of II-9-3_T vs. Fukuho_T: (A) number of wheat DEGs of the addition line II-9-3; (B) heatmap of the gene density distribution of wheat DEGs. The inner circle represents the downregulated genes, and the outer circle represents the upregulated genes; (C) distribution of DEGs across the 21 wheat chromosomes.
3. Discussion
In the process of plant growth, development, and stress tolerance, significant changes in gene expression occur. With the development of sequencing technology and related methods, transcriptome analysis has been widely used to reveal the molecular regulatory mechanisms underlying plant disease responses [35,36]. Our study involved the use of the P. triticina resistant addition line II-9-3 and the susceptible cultivar Fukuho to explore the transcriptional changes after inoculation. Compared with the susceptible cultivar Fukuho, II-9-3 had more DEGs involved in the response to P. triticina race THT infection, and there were 1455 specific DEGs, namely, 66 A. cristatum genes and 1389 wheat genes. The two A. cristatum chromosomes in the addition line accounted for only 4.55% of the total 44 chromosomes, and there were relatively few DEGs in the addition line II-9-3. The genes of A. cristatum may be upstream of the regulatory pathway in response to II-9-3 disease resistance, which is upregulated at individual time points in response to P. triticina, and the statistical significance of the gene expression may have been affected by sample mixing.
KEGG enrichment analysis counted only genes that were significantly differentially expressed, while GSEA, from the perspective of the enrichment of gene sets, was not limited to the DEGs, so it was theoretically easier to identify some genes that had small changes in expression but played a role in biological functions [37]. GSEA has been widely used for gene functional analysis in plants [38]. In this study, both KEGG enrichment analysis and GSEA revealed the disease resistance pathways of II-9-3. Plant–pathogen interaction was the most critical pathway, and the MAPK signaling pathway–plant, plant hormone signal transduction, glutathione metabolism, and phenylpropanoid metabolism have also been suggested to play important roles in regulating plant–fungus interactions [39,40]. In the key plant–pathogen interaction pathways, the A. cristatum genes were annotated as functioning upstream of PTI and ETI, while the wheat genes were annotated as functioning downstream. Recent advances have shown that ETI intensity limits plant resistance, but the PTI component is an important feature of ETI [41,42]. The results described above demonstrated that the key role of the addition line II-9-3 in the immunity of leaf rust first involves the upstream expression of genes from A. cristatum.
Receptor-like kinases (RLKs) and receptor-like proteins (RLPs) serve as PRRs to recognize danger signals of pathogens in plants [41]. The LRR receptor-like serine/threonine protein kinase gene is a PRR gene, which plays an important role in PTI [43]. A large number of receptor kinases in crops are related to disease resistance regulation; for example, the LRK10 gene is closely linked to the wheat leaf rust resistance gene Lr10 [44]. Stpk-V, a key member of the powdery mildew resistance gene Pm21, encodes serine/threonine protein kinases, and the wall-associated receptor kinase gene OsWAK1 also plays an important role against rice blast fungus [45,46]. In this study, six A. cristatum receptor kinase genes were identified in the interaction of II-9-3 inoculated with P. triticina. ETI is activated by pathogen-effector proteins via NLRs [47]. The leaf rust disease resistance genes Lr1, Lr10, Lr13, Lr21, Lr22a, and Lr42 [10,48,49,50,51,52,53] and the powdery mildew resistance gene Pm21 are NLR genes [17,18]. Two upregulated NLR genes were identified, which had different expression patterns in the addition line II-9-3. Their role in disease resistance regulation needs to be verified via further experiments. In addition, the gene coding for GST was shown to play an important role in Th. elongatum [20]. Two A. cristatum GST genes were identified in this study, which may play an important role in disease resistance.
The expression of A. cristatum genes in the addition line II-9-3 resulted in more substantial differential changes in the expression of wheat genes. A total of 1355 wheat genes were upregulated, and 969 wheat genes were downregulated in II-9-3_T vs. Fukuho_T, which accounted for 5.93% of the total expressed wheat genes. The effect of chromosome 2P on Fukuho gene expression was higher than that of Elodie et al. [54]. Elodie et al. identified 960 DEGs between the Chinese spring wheat and Chinese spring wheat–barley 7H addition line, namely, 509 downregulated genes and 451 upregulated genes, accounting for 2.7% of the total expressed genes in wheat. However, chromosome 2P of the addition line II-9-3 affected only the transcriptional activity of part of some genes, while most genes maintained their regular transcriptional activity.
4. Materials and Methods
4.1. Experimental Materials and Leaf Rust Inoculation
The plant materials in this study included A. cristatum accession Z559 (2n = 4x = 28, PPPP), the common wheat cultivar Fukuho (2n = 6x = 42, AABBDD), and wheat–A. cristatum 2P addition line II-9-3 (2n = 42 + 2). All the materials were provided by the Wheat Resources Laboratory, Institute of Crop Science, Chinese Academy of Agricultural Sciences.
The wheat–A. cristatum 2P addition line II-9-3 and common wheat cultivar Fukuho were planted in a greenhouse under 16 h of light and 8 h of darkness. When the seedlings were at the one-leaf stage, the spray method was used for inoculation [22,28]. The urediniospores (P. triticina isolate THT, collected from Beijing, China) suspension used was prepared by resuspending spore powder in light mineral oil (Chevron Phillips Chemical, Houston, TX, USA); the spore suspension was sprayed evenly on the wheat leaves, and the uninoculated control group was evenly sprayed with light mineral oil only. After the volatilization of mineral oil, a 0.05% Tween-20 (Sigma-Aldrich, St. Louis, MO, USA) aqueous solution was sprayed evenly onto the leaves of wheat. Then, plants were subjected to 18 °C in the dark, under 100% relative humidity for 24 h, and then moved to a greenhouse at 18–25 °C. A 0–4 scale was used to record the plants’ response to leaf rust infection according to the methods of Roelfs et al. [55].
4.2. GISH for II-9-3 Identification
GISH was performed as described by Liu et al. [56]. Genomic DNA of A. cristatum was used as a probe, and the common wheat cultivar Fukuho was used as a blocker to detect A. cristatum chromosome fragments in the background of wheat. Fluorescence signals were captured using an Olympus Zeiss AX10 (Olympus Corporation, Tokyo, Japan) microscope equipped with a charge-coupled device (CCD) (Diagnostic Institute, Inc., Sterling Height, MI, USA) camera, and in conjunction with Isis analyzed software (Metasystems GmbH, Altlussheim, Germany).
4.3. Histochemical Observations
Leaves were cut into 2 cm segments and then fixed in ethanol: glacial acetic acid (v/v = 1:1) (Aladdin Biochemical Technology, Shanghai, China) for 24 h. Staining with Coomassie brilliant blue was performed after rinsing twice with deionized water. The number of fungal colonies was counted under an Olympus BX53F microscope (Olympus Corporation, Tokyo, Japan).
4.4. RNA Sequencing and Transcriptome Analysis
Leaf tissues were collected from inoculated and uninoculated plants at five time points (6, 12, 24, 48, and 72 hpi) for three biological replicates. The leaf samples were instantly frozen and ground into a fine powder in liquid nitrogen in a mortar and pestle to isolate RNA using an RNA Isolation Kit (Zoman Biotechnology, Beijing, China). The RNA integrity was assessed using the RNA Nano 6000 Assay Kit of the Bioanalyzer 2100 system (Agilent Technologies, Palo Alto, CA, USA). RNA-seq of the resulting 12 libraries was conducted on an Illumina HiSeq 2500 sequencing platform at Novogene (Novogene, Tianjin, China). RNA-seq data for this study have been deposited in the NCBI database under BioProject accession number PRJNA838495.
The mapping of 12 sample reads to the wheat genome (IWGSC RefSeq v2.1) and chromosome 2P of the A. cristatum Z559 genome (data to be published in our laboratory) was performed with the help of HISAT2 software with the default parameters [57]. The new transcripts were assembled with StringTie with default settings [58]. Differential expression analysis of the two conditions was performed using DESeq2 [59]. KEGG functional annotation of differentially expressed genes was implemented by Eggnog-Mapper (accessed on 22 January 2022, http://eggnog-mapper.embl.de/). KEGG enrichment analysis was performed using the OmicShare tools (accessed on 9 March 2022, https://www.om-icshare.com/tools), and TBtools software (v1.075) was used to construct heatmaps and Venn diagrams [60].
4.5. Quantitative Real-Time PCR
To verify the RNA-seq data, eight A. cristatum genes were selected for qRT-PCR. The qRT-PCR primers were designed using Primer 5 (Table S2). Total RNA was reverse transcribed into cDNA using a HiScript III 1st Strand cDNA Synthesis Kit (Vazyme Biotech, Nanjing, China). On an ABI StepOne Plus Real-Time PCR System (Applied Biosystems, Carlsbad, CA, USA), RT-qPCR was performed using 2–Realstar Fast SYBR qPCR Mix (Genstar Technologies, Beijing, China). The ARF gene was used as a housekeeping gene [61]. Three technical replicates were included for each biological sample, and relative quantifications were calculated using the comparative 2−ΔΔCT method.
5. Conclusions
Overall, our comprehensive analysis of the transcriptome data provided insights into the gene expression profile and disease resistance processes of the addition line II-9-3. II-9-3 might protect against rust infection mainly through genes associated with plant–pathogen interaction, the MAPK signaling pathway–plant, plant hormone signal transduction, glutathione metabolism, and phenylpropanoid biosynthesis. We further identified genes that encode receptor protein kinases, NLRs, and transcription factors from A. cristatum involved in key immune regulatory pathways. The present findings provide support for the resistance mechanism of the addition line II-9-3 and set the stage for the exploration, cloning, and functional research of leaf rust resistance genes from chromosome 2P of A. cristatum.
Supplementary Materials
The following supporting information can be downloaded at: https://www.mdpi.com/article/10.3390/ijms23137370/s1.
Author Contributions
W.L., L.L. and T.L. designed the study. X.J. wrote the paper. X.J., H.H., S.Z. and B.G. performed the bioinformatics analysis. S.X. and Z.W. performed the experiment. J.Z., X.Y. and X.L. provided materials and reagents for the study. All authors have read and agreed to the published version of the manuscript.
Funding
This research was supported by Grants from the National Key Research and Development Program of China (2016YFD0100102).
Institutional Review Board Statement
Not applicable.
Informed Consent Statement
Not applicable.
Data Availability Statement
The data for this study have been deposited in the NCBI database under BioProject accession number PRJNA838495.
Conflicts of Interest
The authors declare no conflict of interest.
References
- Bolton, M.D.; Kolmer, J.A.; Garvin, D.F. Wheat leaf rust caused by Puccinia triticina. Mol. Plant Pathol. 2008, 9, 563–575. [Google Scholar] [CrossRef] [PubMed]
- Cuomo, C.A.; Bakkeren, G.; Khalil, H.B.; Panwar, V.; Joly, D.; Linning, R.; Sakthikumar, S.; Song, X.; Adiconis, X.; Fan, L.; et al. Comparative analysis highlights variable genome content of wheat rusts and divergence of the mating loci. G3 Genes Genomes Genet. 2017, 7, 361–376. [Google Scholar] [CrossRef] [PubMed]
- Chai, Y.; Pardey, P.G.; Hurley, T.M.; Senay, S.D.; Beddow, J.M. A probabilistic bio-economic assessment of the global consequences of wheat leaf rust. Phytopathology 2020, 110, 1886–1896. [Google Scholar] [CrossRef] [PubMed]
- Park, R.F.; Golegaonkar, P.G.; Derevnina, L.; Sandhu, K.S.; Karaoglu, H.; Elmansour, H.M.; Dracatos, P.M.; Singh, D. Leaf rust of cultivated barley: Pathology and control. Annu. Rev. Phytopathol. 2015, 53, 565–589. [Google Scholar] [CrossRef] [PubMed]
- Dinh, H.X.; Singh, D.; Periyannan, S.; Park, R.F.; Pourkheirandish, M. Molecular genetics of leaf rust resistance in wheat and barley. Theor. Appl. Genet. 2020, 133, 2035–2050. [Google Scholar] [CrossRef]
- Elshafei, A.; Motawei, M.; Esmail, R.; Al-Doss, A.A.; Hussien, A.X.; Ibrahim, E.; Amer, M.A. Molecular breeding for rust resistance in wheat genotypes. Mol. Biol. Rep. 2021, 48, 731–742. [Google Scholar] [CrossRef]
- Zhang, L.; Shi, C.; Li, L.; Li, M.; Meng, Q.; Yan, H.; Liu, D. Race and virulence analysis of Puccinia triticina in China in 2014 and 2015. Plant Dis. 2020, 104, 455–464. [Google Scholar] [CrossRef]
- Zhang, L.; Xiao, Y.; Gao, Y.; Zhao, N.; An, Y.; Yang, W.; Meng, Q.; Yan, H.; Liu, D. Race and virulence analysis of Puccinia triticina in China during 2011 to 2013. Plant Dis. 2020, 104, 2095–2101. [Google Scholar] [CrossRef]
- Liu, T.G.; Chen, W.Q. Race and virulence dynamics of Puccinia triticina in China during 2000–2006. Plant Dis. 2012, 96, 1601–1607. [Google Scholar] [CrossRef]
- Lin, G.; Chen, H.; Tian, B.; Sehgal, S.K.; Singh, L.; Xie, J.; Rawat, N.; Juliana, P.; Singh, N.; Shrestha, S.; et al. Cloning of the broadly effective wheat leaf rust resistance gene Lr42 transferred from Aegilops Tauschii. Nat. Commun. 2022, 13, 1. [Google Scholar] [CrossRef]
- Jin, Y.; Shi, F.; Liu, W.; Fu, X.; Gu, T.; Han, G.; Shi, Z.X.; Sheng, Y.; Xu, H.; Li, L.; et al. Identification of resistant germplasm and detection of genes for resistance to powdery mildew and leaf rust from 2978 wheat accessions. Plant Dis. 2021, 105, 3900–3908. [Google Scholar] [CrossRef] [PubMed]
- Ghimire, B.; Sapkota, S.; Bahri, B.A.; Martinez-Espinoza, A.D.; Buck, J.W.; Mergoum, M. Fusarium head blight and rust diseases in soft red winter wheat in the southeast United States: State of the art, challenges and future perspective for breeding. Front. Plant Sci. 2020, 11, 1080. [Google Scholar] [CrossRef] [PubMed]
- Ellis, J.G.; Lagudah, E.S.; Spielmeyer, W.; Dodds, P.N. The past, present and future of breeding rust resistant wheat. Front. Plant Sci. 2014, 5, 641. [Google Scholar] [CrossRef] [PubMed]
- Hurni, S.; Brunner, S.; Buchmann, G.; Herren, G.; Jordan, T.; Krukowski, P.; Wicker, T.; Yahiaoui, N.; Mago, R.; Keller, B. Rye Pm8 and wheat Pm3 are orthologous genes and show evolutionary conservation of resistance function against powdery mildew. Plant J. 2013, 76, 957–969. [Google Scholar] [CrossRef]
- Ren, T.; Jiang, Q.; Sun, Z.; Zhao, L.; Peng, W.; Ren, Z.; Tan, F.; Luo, P.; Li, Z. Development and molecular cytogenetic characterization of novel primary wheat-rye 1RS.1BL translocation lines from multiple rye sources with resistance to stripe rust. Plant Dis. 2022; online ahead of print. [Google Scholar] [CrossRef]
- Gultyaeva, E.I.; Bespalova, L.A.; Ablova, I.B.; Shaydayuk, E.L.; Khudokormova, Z.N.; Yakovleva, D.R.; Titova, Y.A. Wild grasses as the reservoirs of infection of rust species for winter soft wheat in the Northern Caucasus. Vavilovskii Zhurnal Genet. Selektsii 2021, 25, 638–646. [Google Scholar]
- He, H.; Zhu, S.; Zhao, R.; Jiang, Z.; Ji, Y.; Ji, J.; Qiu, D.; Li, H.; Bie, T. Pm21, encoding a typical CC-NBS-LRR protein, confers broad-spectrum resistance to wheat powdery mildew disease. Mol. Plant 2018, 11, 879–882. [Google Scholar] [CrossRef]
- Xing, L.; Hu, P.; Liu, J.; Witek, K.; Zhou, S.; Xu, J.; Zhou, W.; Gao, L.; Huang, Z.; Zhang, R.; et al. Pm21 from Haynaldia villosa encodes a CC-NBS-LRR protein conferring powdery mildew resistance in wheat. Mol. Plant 2018, 11, 874–878. [Google Scholar] [CrossRef]
- Zhang, R.; Xiong, C.; Mu, H.; Yao, R.; Meng, X.; Kong, L.; Xing, L.; Wu, J.; Feng, Y.; Cao, A. Pm67, a new powdery mildew resistance gene transferred from Dasypyrum villosum chromosome 1V to common wheat (Triticum aestivum L.). Crop J. 2020, 9, 882–888. [Google Scholar] [CrossRef]
- Wang, H.; Sun, S.; Ge, W.; Zhao, L.; Hou, B.; Wang, K.; Lyu, Z.; Chen, L.A.; Xu, S.; Guo, J.; et al. Horizontal gene transfer of Fhb7 from fungus underlies Fusarium head blight resistance in wheat. Science 2020, 368, eaba5435. [Google Scholar] [CrossRef]
- Zhang, C.; Huang, L.; Zhang, H.; Hao, Q.; Lyu, B.; Wang, M.; Epstein, L.; Liu, M.; Kou, C.; Qi, J.; et al. An ancestral NB-LRR with duplicated 3’UTRs confers stripe rust resistance in wheat and barley. Nat. Commun. 2019, 10, 4023. [Google Scholar] [CrossRef]
- Song, L.; Lu, Y.; Zhang, J.; Pan, C.; Yang, X.; Li, X.; Liu, W.; Li, L. Physical mapping of Agropyron cristatum chromosome 6P using deletion lines in common wheat background. Theor. Appl. Genet. 2016, 129, 1023–1034. [Google Scholar] [CrossRef]
- Li, H.; Jiang, B.; Wang, J.; Lu, Y.; Zhang, J.; Pan, C.; Yang, X.; Li, X.; Liu, W.; Li, L. Mapping of novel powdery mildew resistance gene(s) from Agropyron cristatum chromosome 2P. Theor. Appl. Genet. 2017, 130, 109–121. [Google Scholar] [CrossRef] [PubMed]
- Sun, Y.; Lyu, M.; Han, H.; Zhou, S.; Lu, Y.; Liu, W.; Yang, X.; Li, X.; Zhang, J.; Liu, X.; et al. Identification and fine mapping of alien fragments associated with enhanced grain weight from Agropyron cristatum chromosome 7P in common wheat backgrounds. Theor. Appl. Genet. 2021, 134, 3759–3772. [Google Scholar] [CrossRef] [PubMed]
- Zhang, Z.; Song, L.; Han, H.; Zhou, S.; Zhang, J.; Yang, X.; Li, X.; Liu, W.; Li, L. Physical localization of a locus from Agropyron cristatum conferring resistance to stripe rust in common wheat. Int. J. Mol. Sci. 2017, 18, 2403. [Google Scholar] [CrossRef] [PubMed]
- Dong, Y.S.; Zhou, R.H.; Xu, S.J.; Li, L.H.; Cauderon, Y.; Wang, R.R.C. Desirable characteristics in perennial Triticeae collected in China for wheat improvement. Hereditas 1992, 116, 175–178. [Google Scholar] [CrossRef]
- Li, H.; Lv, M.; Song, L.; Zhang, J.; Gao, A.; Li, L.; Liu, W. Production and identification of wheat-Agropyron cristatum 2P translocation lines. PLoS ONE 2016, 11, e0145928. [Google Scholar] [CrossRef]
- Jiang, B.; Liu, T.; Li, H.; Han, H.; Li, L.; Zhang, J.; Yang, X.; Zhou, S.; Li, X.; Liu, W. Physical mapping of a novel locus conferring leaf rust resistance on the long arm of Agropyron cristatum chromosome 2P. Front. Plant Sci. 2018, 9, 817. [Google Scholar] [CrossRef]
- Zhang, H.; He, L.; Cai, L. Transcriptome sequencing: RNA-Seq. Methods Mol. Biol. 2018, 1754, 15–27. [Google Scholar]
- Li, H.; Dong, Z.; Ma, C.; Xia, Q.; Tian, X.; Sehgal, S.; Koo, D.H.; Friebe, B.; Ma, P.; Liu, W.A. spontaneous wheat-Aegilops longissima translocation carrying Pm66 confers resistance to powdery mildew. Theor. Appl. Genet. 2020, 133, 1149–1159. [Google Scholar] [CrossRef]
- Wang, Y.; Xie, J.; Zhang, H.; Guo, B.; Ning, S.; Chen, Y.; Lu, P.; Wu, Q.; Li, M.; Zhang, D.; et al. Mapping stripe rust resistance gene YrZH22 in Chinese wheat cultivar Zhoumai 22 by bulked segregant RNA-Seq (BSR-Seq) and comparative genomics analyses. Theor. Appl. Genet. 2017, 130, 2191–2201. [Google Scholar] [CrossRef]
- Yang, H.; Zhong, S.; Chen, C.; Yang, H.; Chen, W.; Tan, F.; Zhang, M.; Chen, W.; Ren, T.; Li, Z.; et al. Identification and cloning of a CC-NBS-NBS-LRR gene as a candidate of Pm40 by integrated analysis of both the available transcriptional data and published linkage mapping. Int. J. Mol. Sci. 2021, 22, 239. [Google Scholar] [CrossRef] [PubMed]
- Jones, J.D.; Dangl, J.L. The plant immune system. Nature 2006, 444, 323–329. [Google Scholar] [CrossRef]
- Zhou, S.; Zhang, J.; Han, H.; Zhang, J.; Ma, H.; Zhang, Z.; Lu, Y.; Liu, W.; Yang, X.; Li, X.; et al. Full-length transcriptome sequences of Agropyron cristatum facilitate the prediction of putative genes for thousand-grain weight in a wheat-A. cristatum translocation line. BMC Genom. 2019, 20, 1025. [Google Scholar] [CrossRef] [PubMed]
- Rathod, V.; Hamid, R.; Tomar, R.S.; Patel, R.; Padhiyar, S.; Kheni, J.; Thirumalaisamy, P.P.; Munshi, N.S. Comparative RNA-Seq profiling of a resistant and susceptible peanut (Arachis hypogaea) genotypes in response to leaf rust infection caused by Puccinia arachidis. 3 Biotech. 2020, 10, 284. [Google Scholar] [CrossRef]
- Dorostkar, S.; Dadkhodaie, A.; Ebrahimie, E.; Heidari, B.; Ahmadi-Kordshooli, M. Comparative transcriptome analysis of two contrasting resistant and susceptible Aegilops tauschii accessions to wheat leaf rust (Puccinia triticina) using RNA-sequencing. Sci. Rep. 2022, 12, 821. [Google Scholar] [CrossRef] [PubMed]
- Subramanian, A.; Tamayo, P.; Mootha, V.K.; Mukherjee, S.; Ebert, B.L.; Gillette, M.A.; Paulovich, A.; Pomeroy, S.L.; Golub, T.R.; Lander, E.S.; et al. Gene set enrichment analysis: A knowledge-based approach for interpreting genome-wide expression profiles. Proc. Natl. Acad. Sci. USA 2005, 102, 15545–15550. [Google Scholar] [CrossRef] [PubMed]
- Mahmood, K.; Orabi, J.; Kristensen, P.S.; Sarup, P.; Jorgensen, L.N.; Jahoor, A.A. Comparative transcriptome analysis, conserved regulatory elements and associated transcription factors related to accumulation of fusariotoxins in grain of rye (Secale cereale L.) hybrids. Int. J. Mol. Sci. 2020, 21, 7418. [Google Scholar] [CrossRef]
- Zhang, X.; Wang, Z.; Jiang, C.; Xu, J.R. Regulation of biotic interactions and responses to abiotic stresses by MAP kinase pathways in plant pathogenic fungi. Stress Biol. 2021, 1, 1–19. [Google Scholar] [CrossRef]
- Hao, Y.; Xu, S.; Lyu, Z.; Wang, H.; Kong, L.; Sun, S.A.-O. Comparative analysis of the glutathione s-transferase gene family of four Triticeae species and transcriptome analysis of GST genes in common wheat responding to salt stress. Int. J. Genom. 2021, 2021, 6289174. [Google Scholar] [CrossRef]
- Yuan, M.; Ngou, B.P.M.; Ding, P.; Xin, X.F. PTI-ETI crosstalk: An integrative view of plant immunity. Curr. Opin. Plant Biol. 2021, 62, 102030. [Google Scholar] [CrossRef]
- Ngou, B.; Ahn, H.K.; Ding, P.; Jones, J. Mutual potentiation of plant immunity by cell-surface and intracellular receptors. Nature 2021, 592, 110–115. [Google Scholar] [CrossRef] [PubMed]
- Laohavisit, A.; Wakatake, T.; Ishihama, N.; Mulvey, H.A.; Takizawa, K.; Suzuki, T.A.; Shirasu, K.A. Quinone perception in plants via leucine-rich-repeat receptor-like kinases. Nature 2020, 587, 92–97. [Google Scholar] [CrossRef] [PubMed]
- Cheng, D.W.; Armstrong, K.C.; Drouin, G.; McElroy, A.; Fedak, G.; Molnar, S.D. Isolation and identification of Triticeae chromosome 1 receptor-like kinase genes (Lrk10) from diploid, tetraploid, and hexaploid species of the genus Avena. Genome 2003, 46, 119–127. [Google Scholar] [CrossRef] [PubMed]
- Tian, T.; Chen, L.; Ai, Y.; He, H. Selection of Candidate Genes Conferring blast resistance and heat tolerance in rice through integration of Meta-QTLs and RNA-Seq. Genes 2022, 13, 224. [Google Scholar] [CrossRef] [PubMed]
- Cao, A.; Xing, L.; Wang, X.; Yang, X.; Wang, W.; Sun, Y.; Qian, C.; Ni, J.; Chen, Y.; Liu, D.; et al. Serine/threonine kinase gene Stpk-V, a key member of powdery mildew resistance gene Pm21, confers powdery mildew resistance in wheat. Proc. Natl. Acad. Sci. USA 2011, 108, 7727–7732. [Google Scholar] [CrossRef]
- Steuernagel, B.; Witek, K.; Krattinger, S.G.; Ramirez-Gonzalez, R.H.; Schoonbeek, H.J.; Yu, G.; Baggs, E.; Witek, A.I.; Yadav, I.; Krasileva, K.V.; et al. The NLR-Annotator tool enables annotation of the intracellular immune receptor repertoire. Plant Physiol. 2020, 183, 468–482. [Google Scholar] [CrossRef]
- Sela, H.; Loutre, C.; Keller, B.; Schulman, A.; Nevo, E.; Korol, A.; Fahima, T. Rapid linkage disequilibrium decay in the Lr10 gene in wild emmer wheat (Triticum dicoccoides) populations. Theor. Appl. Genet. 2011, 122, 175–187. [Google Scholar] [CrossRef]
- Thind, A.K.; Wicker, T.; Simkova, H.; Fossati, D.; Moullet, O.; Brabant, C.; Vrana, J.; Dolezel, J.; Krattinger, S.G. Rapid cloning of genes in hexaploid wheat using cultivar-specific long-range chromosome assembly. Nat. Biotechnol. 2017, 35, 793–796. [Google Scholar] [CrossRef]
- Huang, L.; Brooks, S.A.; Li, W.; Fellers, J.P.; Trick, H.N.; Gill, B.S. Map-based cloning of leaf rust resistance gene Lr21 from the large and polyploid genome of bread wheat. Genetics 2003, 164, 655–664. [Google Scholar] [CrossRef]
- Cloutier, S.; McCallum, B.D.; Loutre, C.; Banks, T.W.; Wicker, T.; Feuillet, C.; Keller, B.; Jordan, M.C. Leaf rust resistance gene Lr1, isolated from bread wheat (Triticum aestivum L.) is a member of the large psr567 gene family. Plant Mol. Biol. 2007, 65, 93–106. [Google Scholar] [CrossRef]
- Yan, X.; Li, M.; Zhang, P.; Yin, G.; Zhang, H.; Gebrewahid, T.W.; Zhang, J.; Dong, L.; Liu, D.; Liu, Z.; et al. High-temperature wheat leaf rust resistance gene Lr13 exhibits pleiotropic effects on hybrid necrosis. Mol. Plant 2021, 14, 1029–1032. [Google Scholar] [CrossRef] [PubMed]
- Hewitt, T.; Zhang, J.; Huang, L.; Upadhyaya, N.; Li, J.; Park, R.; Hoxha, S.; McIntosh, R.; Lagudah, E.; Zhang, P. Wheat leaf rust resistance gene Lr13 is a specific Ne2 allele for hybrid necrosis. Mol. Plant 2021, 14, 1025–1028. [Google Scholar] [CrossRef] [PubMed]
- Rey, E.; Abrouk, M.; Keeble-Gagnere, G.; Karafiatova, M.; Vrana, J.; Balzergue, S.; Soubigou-Taconnat, L.; Brunaud, V.; Martin-Magniette, M.L.; Endo, T.R.; et al. Transcriptome reprogramming due to the introduction of a barley telosome into bread wheat affects more barley genes than wheat. Plant Biotechnol. J. 2018, 16, 1767–1777. [Google Scholar] [CrossRef] [PubMed]
- Roelfs, A.P.; Singh, R.P.; Saari, E.E. Rust Diseases of Wheat: Concepts and Methods of Disease Management; CIMMYT: Texcoco, Mexico, 1992; pp. 34–56. [Google Scholar]
- Liu, W.H.; Luan, Y.; Wang, J.C.; Wang, X.G.; Su, J.J.; Zhang, J.P.; Yang, X.M.; Gao, A.N.; Li, L.H. Production and identification of wheat-Agropyron cristatum (1.4P) alien translocation lines. Genome 2010, 53, 472–481. [Google Scholar] [CrossRef] [PubMed]
- Kim, D.; Paggi, J.M.; Park, C.; Bennett, C.; Salzberg, S. Graph-based genome alignment and genotyping with HISAT2 and HISAT-genotype. Nat. Biotechnol. 2019, 37, 907–915. [Google Scholar] [CrossRef]
- Pertea, M.; Kim, D.; Pertea, G.M.; Leek, J.T.; Salzberg, S.L. Transcript-level expression analysis of RNA-seq experiments with HISAT, StringTie and Ballgown. Nat. Protoc. 2016, 11, 1650–1667. [Google Scholar] [CrossRef]
- Gill, N.; Dhillon, B. RNA-seq data analysis for differential expression. Methods Mol. Biol. 2022, 2391, 45–54. [Google Scholar]
- Chen, C.; Chen, H.; Zhang, Y.; Thomas, H.R.; Frank, M.H.; He, Y.; Xia, R. TBtools: An integrative toolkit developed for interactive analyses of big biological data. Mol. Plant 2020, 13, 1194–1202. [Google Scholar] [CrossRef]
- Scholtz, J.J.; Visser, B. Reference gene selection for qPCR gene expression analysis of rust-infected wheat. Physiol. Mol. Plant Pathol. 2013, 81, 22–25. [Google Scholar] [CrossRef]
Publisher’s Note: MDPI stays neutral with regard to jurisdictional claims in published maps and institutional affiliations. |
© 2022 by the authors. Licensee MDPI, Basel, Switzerland. This article is an open access article distributed under the terms and conditions of the Creative Commons Attribution (CC BY) license (https://creativecommons.org/licenses/by/4.0/).







