Molecular Characterization of PGC-1β (PPAR Gamma Coactivator 1β) and its Roles in Mitochondrial Biogenesis in Blunt Snout Bream (Megalobrama amblycephala)
Abstract
1. Introduction
2. Results
2.1. Identification and Characterization of PGC-1β
2.2. Phylogenetic Analyses
2.3. Expression of PGC-1β in Tissues
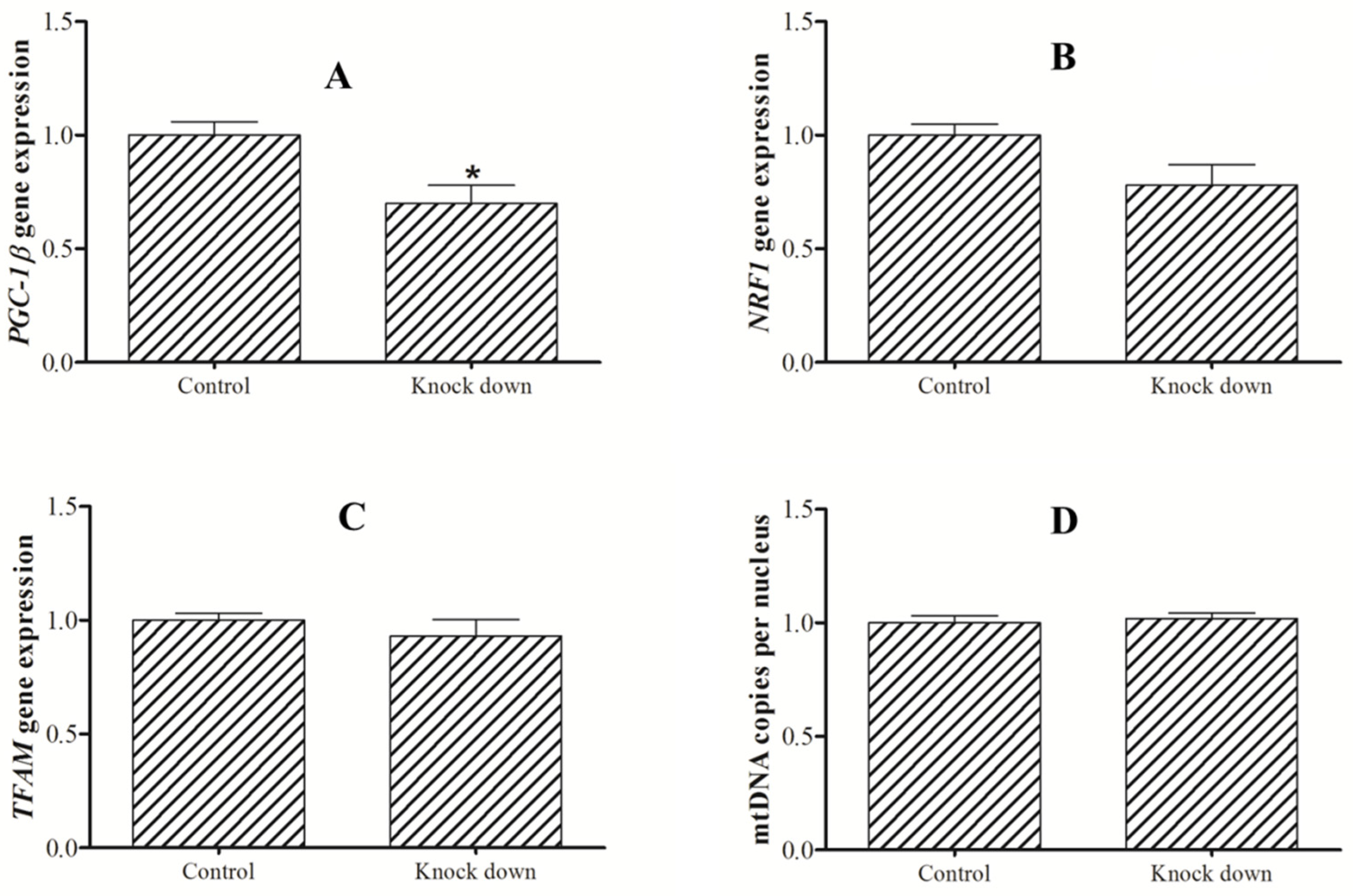
2.4. Mitochondrial Biogenesis after Overexpression and Knock Down of PGC-1β
2.5. Mitochondrial Biogenesis and Bioenergetics after High-Fat Intake
3. Discussion and Conclusions
4. Materials and Methods
4.1. Experimental Fish and Sample Collection
4.2. cDNA Cloning of PGC-1β
4.3. Alignment, Phylogenetic, and Codon-Based Sequence Analysis
4.4. Overexpression of PGC-1β
4.5. Knockdown of PGC-1β
4.6. Feeding Trial
4.7. Gene Expression (qPCR)
4.8. Mitochondrial DNA Copies and Enzymes Assay
4.9. Statistical Analysis
Supplementary Materials
Author Contributions
Funding
Conflicts of Interest
References
- Scarpulla, R.C. Metabolic control of mitochondrial biogenesis through the PGC-1 family regulatory network. Biochim. Biophys. Acta Mol. Cell Res. 2011, 1813, 1269–1278. [Google Scholar] [CrossRef]
- Puigserver, P.; Wu, Z.; Park, C.W.; Graves, R.; Wright, M.; Spiegelman, B.M. A Cold-Inducible Coactivator of Nuclear Receptors Linked to Adaptive Thermogenesis. Cell 1998, 92, 829–839. [Google Scholar] [CrossRef]
- Andersson, U.; Scarpulla, R.C. PGC-1-Related Coactivator, a Novel, Serum-Inducible Coactivator of Nuclear Respiratory Factor 1-Dependent Transcription in Mammalian Cells. Mol. Cell. Biol. 2001, 21, 3738–3749. [Google Scholar] [CrossRef]
- Puigserver, P.; Spiegelman, B.M. Peroxisome Proliferator-Activated Receptor-γ Coactivator 1α (PGC-1α): Transcriptional Coactivator and Metabolic Regulator. Endocr. Rev. 2003, 24, 78–90. [Google Scholar] [CrossRef]
- Northam, C.; LeMoine, C.M.R. Metabolic regulation by the PGC-1α and PGC-1β coactivators in larval zebrafish (Danio rerio). Comp. Biochem. Physiol. Part A Mol. Integr. Physiol. 2019, 234, 60–67. [Google Scholar] [CrossRef]
- LeMoine, C.M.R.; Genge, C.E.; Moyes, C.D. Role of the PGC-1 family in the metabolic adaptation of goldfish to diet and temperature. J. Exp. Biol. 2008, 211, 1448–1455. [Google Scholar] [CrossRef]
- Bremer, K.; Moyes, C.D. Origins of variation in muscle cytochrome C oxidase activity within and between fish species. J. Exp. Biol. 2011, 214, 1888–1895. [Google Scholar] [CrossRef]
- Bremer, K.; Kocha, K.M.; Snider, T.; Moyes, C.D. Sensing and responding to energetic stress: The role of the AMPK-PGC1α-NRF1 axis in control of mitochondrial biogenesis in fish. Comp. Biochem. Physiol. Part B Biochem. Mol. Biol. 2016, 199, 4–12. [Google Scholar] [CrossRef]
- Song, X.; Rahimnejad, S.; Zhou, W.; Cai, L.; Lu, K. Molecular Characterization of Peroxisome Proliferator-Activated Receptor-Gamma Coactivator-1α (PGC1α) and Its Role in Mitochondrial Biogenesis in Blunt Snout Bream (Megalobrama amblycephala). Front. Physiol. 2019, 9, 1957. [Google Scholar] [CrossRef]
- Goto, M.; Terada, S.; Kato, M.; Katoh, M.; Yokozeki, T.; Tabata, I.; Shimokawa, T. cDNA Cloning and mRNA Analysis of PGC-1 in Epitrochlearis Muscle in Swimming-Exercised Rats. Biochem. Biophys. Res. Commun. 2000, 274, 350–354. [Google Scholar] [CrossRef]
- Mortensen, O.H.; Frandsen, L.; Schjerling, P.; Nishimura, E.; Grunnet, N. PGC-1α and PGC-1β have both similar and distinct effects on myofiber switching toward an oxidative phenotype. Am. J. Physiol. Metab. 2006, 291, E807–E816. [Google Scholar] [CrossRef]
- Uldry, M.; Yang, W.; St-Pierre, J.; Lin, J.; Seale, P.; Spiegelman, B.M. Complementary action of the PGC-1 coactivators in mitochondrial biogenesis and brown fat differentiation. Cell Metab. 2006, 3, 333–341. [Google Scholar] [CrossRef]
- St-Pierre, J.; Lin, J.; Krauss, S.; Tarr, P.T.; Yang, R.; Newgard, C.B.; Spiegelman, B.M. Bioenergetic Analysis of Peroxisome Proliferator-activated Receptor γ Coactivators 1α and 1β (PGC-1α and PGC-1β) in Muscle Cells. J. Biol. Chem. 2003, 278, 26597–26603. [Google Scholar] [CrossRef]
- Frier, B.C.; Williams, D.B.; Wright, D.C. The effects of apelin treatment on skeletal muscle mitochondrial content. Am. J. Physiol. Integr. Comp. Physiol. 2009, 297, R1761–R1768. [Google Scholar] [CrossRef]
- LeMoine, C.M.R.; Lougheed, S.C.; Moyes, C.D. Modular Evolution of PGC-1α in Vertebrates. J. Mol. Evol. 2010, 70, 492–505. [Google Scholar] [CrossRef]
- Handschin, C.; Spiegelman, B.M. Peroxisome Proliferator-Activated Receptor γ Coactivator 1 Coactivators, Energy Homeostasis, and Metabolism. Endocr. Rev. 2006, 27, 728–735. [Google Scholar] [CrossRef]
- Meirhaeghe, A.; Crowley, V.; Lenaghan, C.; Lelliott, C.; Green, K.; Stewart, A.; Hart, K.; Schinner, S.; Sethi, J.K.; Yeo, G.; et al. Characterization of the human, mouse and rat PGC1 beta (peroxisome-proliferator-activated receptor-gamma co-activator 1 beta) gene in vitro and in vivo. Biochem. J. 2003, 373, 155–165. [Google Scholar] [CrossRef]
- Vercauteren, K.; Gleyzer, N.; Scarpulla, R.C. PGC-1-related coactivator complexes with HCF-1 and NRF-2beta in mediating NRF-2(GABP)-dependent respiratory gene expression. J. Biol. Chem. 2008, 283, 12102–12111. [Google Scholar] [CrossRef]
- 14-3-3alpha BT-Encyclopedia of Signaling Molecules; Choi, S., Ed.; Springer International Publishing: Cham, Switzerland, 2018; p. 11. ISBN 978-3-319-67199-4. [Google Scholar]
- Wilson-Fritch, L.; Burkart, A.; Bell, G.; Mendelson, K.; Leszyk, J.; Nicoloro, S.; Czech, M.; Corvera, S. Mitochondrial Biogenesis and Remodeling during Adipogenesis and in Response to the Insulin Sensitizer Rosiglitazone. Mol. Cell. Biol. 2003, 23, 1085–1094. [Google Scholar] [CrossRef]
- Nagai, Y.; Yonemitsu, S.; Erion, D.M.; Iwasaki, T.; Stark, R.; Weismann, D.; Dong, J.; Zhang, D.; Jurczak, M.J.; Löffler, M.G.; et al. The role of peroxisome proliferator-activated receptor gamma coactivator-1 beta in the pathogenesis of fructose-induced insulin resistance. Cell Metab. 2009, 9, 252–264. [Google Scholar] [CrossRef]
- Lu, R.; Ji, H.; Chang, Z.; Su, S.; Yang, G. Mitochondrial development and the influence of its dysfunction during rat adipocyte differentiation. Mol. Biol. Rep. 2010, 37, 2173–2182. [Google Scholar] [CrossRef]
- Bremer, K.; Monk, C.T.; Gurd, B.J.; Moyes, C.D. Transcriptional regulation of temperature-induced remodeling of muscle bioenergetics in goldfish. Am. J. Physiol. Integr. Comp. Physiol. 2012, 303, R150–R158. [Google Scholar] [CrossRef][Green Version]
- Gao, C.-L.; Liu, G.-L.; Liu, S.; Chen, X.-H.; Ji, C.-B.; Zhang, C.-M.; Xia, Z.-K.; Guo, X. Overexpression of PGC-1β improves insulin sensitivity and mitochondrial function in 3T3-L1 adipocytes. Mol. Cell. Biochem. 2011, 353, 215–223. [Google Scholar] [CrossRef]
- Picca, A.; Lezza, A.M.S. Regulation of mitochondrial biogenesis through TFAM–mitochondrial DNA interactions: Useful insights from aging and calorie restriction studies. Mitochondrion 2015, 25, 67–75. [Google Scholar] [CrossRef]
- Wu, Z.; Puigserver, P.; Andersson, U.; Zhang, C.; Adelmant, G.; Mootha, V.; Troy, A.; Cinti, S.; Lowell, B.; Scarpulla, R.C.; et al. Mechanisms Controlling Mitochondrial Biogenesis and Respiration through the Thermogenic Coactivator PGC-1. Cell 1999, 98, 115–124. [Google Scholar] [CrossRef]
- Shao, D.; Liu, Y.; Liu, X.; Zhu, L.; Cui, Y.; Cui, A.; Qiao, A.; Kong, X.; Liu, Y.; Chen, Q.; et al. PGC-1β-Regulated mitochondrial biogenesis and function in myotubes is mediated by NRF-1 and ERRα. Mitochondrion 2010, 10, 516–527. [Google Scholar] [CrossRef]
- Gacias, M.; Pérez-Martí, A.; Pujol-Vidal, M.; Marrero, P.F.; Haro, D.; Relat, J. PGC-1β regulates mouse carnitine–acylcarnitine translocase through estrogen-related receptor α. Biochem. Biophys. Res. Commun. 2012, 423, 838–843. [Google Scholar] [CrossRef]
- Hood, D.; Takahashi, M.; Connor, M.; Freyssenet, D. Assembly of the cellular powerhouse: Current issues in muscle mitochondrial biogenesis. Exerc. Sport Sci. Rev. 2000, 28, 68–73. [Google Scholar]
- Raftery, T.D.; Jayasundara, N.; Di Giulio, R.T. A bioenergetics assay for studying the effects of environmental stressors on mitochondrial function in vivo in zebrafish larvae. Comp. Biochem. Physiol. Part C Toxicol. Pharmacol. 2017, 192, 23–32. [Google Scholar] [CrossRef]
- Lagouge, M.; Argmann, C.; Gerhart-Hines, Z.; Meziane, H.; Lerin, C.; Daussin, F.; Messadeq, N.; Milne, J.; Lambert, P.; Elliott, P.; et al. Resveratrol Improves Mitochondrial Function and Protects against Metabolic Disease by Activating SIRT1 and PGC-1α. Cell 2006, 127, 1109–1122. [Google Scholar] [CrossRef]
- Csiszar, A.; Labinskyy, N.; Pinto, J.T.; Ballabh, P.; Zhang, H.; Losonczy, G.; Pearson, K.; de Cabo, R.; Pacher, P.; Zhang, C.; et al. Resveratrol induces mitochondrial biogenesis in endothelial cells. Am. J. Physiol. Heart Circ. Physiol. 2009, 297, H13–H20. [Google Scholar] [CrossRef]
- García-Ruiz, I.; Solís-Muñoz, P.; Fernández-Moreira, D.; Muñoz-Yagüe, T.; Solís-Herruzo, J.A. In vitro treatment of HepG2 cells with saturated fatty acids reproduces mitochondrial dysfunction found in nonalcoholic steatohepatitis. Dis. Model. Mech. 2015, 8, 183–191. [Google Scholar] [CrossRef]
- Lee, M.-S.; Kim, I.-H.; Kim, Y. Effects of Eicosapentaenoic Acid and Docosahexaenoic Acid on Uncoupling Protein 3 Gene Expression in C2C12 Muscle Cells. Nutrients 2013, 5, 1660–1671. [Google Scholar] [CrossRef]
- Verdin, E.; Hirschey, M.D.; Finley, L.W.S.; Haigis, M.C. Sirtuin regulation of mitochondria: Energy production, apoptosis, and signaling. Trends Biochem. Sci. 2010, 35, 669–675. [Google Scholar] [CrossRef]
- Paradies, G.; Petrosillo, G.; Paradies, V.; Ruggiero, F.M. Oxidative stress, mitochondrial bioenergetics, and cardiolipin in aging. Free Radic. Biol. Med. 2010, 48, 1286–1295. [Google Scholar] [CrossRef]
- Rato, L.; Duarte, A.I.; Tomás, G.D.; Santos, M.S.; Moreira, P.I.; Socorro, S.; Cavaco, J.E.; Alves, M.G.; Oliveira, P.F. Pre-diabetes alters testicular PGC1-α/SIRT3 axis modulating mitochondrial bioenergetics and oxidative stress. Biochim. Biophys. Acta Bioenerg. 2014, 1837, 335–344. [Google Scholar] [CrossRef]
- Ronquist, F.; Teslenko, M.; van der Mark, P.; Ayres, D.L.; Darling, A.; Höhna, S.; Larget, B.; Liu, L.; Suchard, M.A.; Huelsenbeck, J.P. MrBayes 3.2: Efficient Bayesian Phylogenetic Inference and Model Choice Across a Large Model Space. Syst. Biol. 2012, 61, 539–542. [Google Scholar] [CrossRef]
- Livak, K.J.; Schmittgen, T.D. Analysis of Relative Gene Expression Data Using Real-Time Quantitative PCR and the 2−ΔΔCT Method. Methods 2001, 25, 402–408. [Google Scholar] [CrossRef]






| Phosphorylation Sites | Homo Sapiens | Danio Rerio | Megalobrama amblycephala |
|---|---|---|---|
| 190 S | HKDGSVHRH | ||
| 229 T | PVRPTGRLC | ||
| 376 T | PASQTRPRM | . | |
| 391 S | HSKASWAEF | ||
| 603 S | QKSSSYKPS | QKTNSHKAS | |
| 657 T | QSDPTFGKK | ||
| 716 S | KADLSTKSS | KAELTTKSS | |
| 762 T | SKGGTQRAY | SKGESQRAY | |
| 931 S | RQLCSRSRS | ||
| 997 T | SVTQTMLRK | SFTQSMLRK |
| Control | High-Fat | |
|---|---|---|
| CS (U/g prot) | 14.99 ± 1.46 | 8.53 ± 0.68 * |
| SDH (U/mg prot) | 3.69 ± 0.21 | 3.34 ± 0.31 |
| Complex I (nmolNADH/min/mgprot) | 1.42 ± 0.27 | 0.60 ± 0.03 * |
| Complex III (nmolCytC/min/mgprot) | 0.21 ± 0.07 | 0.15 ± 0.01 |
© 2020 by the authors. Licensee MDPI, Basel, Switzerland. This article is an open access article distributed under the terms and conditions of the Creative Commons Attribution (CC BY) license (http://creativecommons.org/licenses/by/4.0/).
Share and Cite
Lu, K.; Policar, T.; Song, X.; Rahimnejad, S. Molecular Characterization of PGC-1β (PPAR Gamma Coactivator 1β) and its Roles in Mitochondrial Biogenesis in Blunt Snout Bream (Megalobrama amblycephala). Int. J. Mol. Sci. 2020, 21, 1935. https://doi.org/10.3390/ijms21061935
Lu K, Policar T, Song X, Rahimnejad S. Molecular Characterization of PGC-1β (PPAR Gamma Coactivator 1β) and its Roles in Mitochondrial Biogenesis in Blunt Snout Bream (Megalobrama amblycephala). International Journal of Molecular Sciences. 2020; 21(6):1935. https://doi.org/10.3390/ijms21061935
Chicago/Turabian StyleLu, Kangle, Tomas Policar, Xiaojun Song, and Samad Rahimnejad. 2020. "Molecular Characterization of PGC-1β (PPAR Gamma Coactivator 1β) and its Roles in Mitochondrial Biogenesis in Blunt Snout Bream (Megalobrama amblycephala)" International Journal of Molecular Sciences 21, no. 6: 1935. https://doi.org/10.3390/ijms21061935
APA StyleLu, K., Policar, T., Song, X., & Rahimnejad, S. (2020). Molecular Characterization of PGC-1β (PPAR Gamma Coactivator 1β) and its Roles in Mitochondrial Biogenesis in Blunt Snout Bream (Megalobrama amblycephala). International Journal of Molecular Sciences, 21(6), 1935. https://doi.org/10.3390/ijms21061935
