Abstract
We designed and synthesized 1-pyrimidinyl-2-aryl-4, 6-dihydropyrrolo [3,4-d] imidazole-5(1H)-carboxamide derivatives as selective inhibitors of c-Jun-N-terminal Kinase 3 (JNK3), a target for the treatment of neurodegenerative diseases. Based on the compounds found in previous studies, a novel scaffold was designed to improve pharmacokinetic characters and activity, and compound 18a, (R)-1-(2-((1-(cyclopropanecarbonyl)pyrrolidin-3-yl)amino)pyrimidin-4-yl)-2-(3,4-dichlorophenyl)-4,6-dihydro pyrrolo [3,4-d]imidazole-5(1H)-carboxamide, showed the highest IC50 value of 2.69 nM. Kinase profiling results also showed high selectivity for JNK3 among 38 kinases, having mild activity against JNK2, RIPK3, and GSK3β, which also known to involve in neuronal apoptosis.
1. Introduction
Alzheimer’s disease (AD) is one of the most common neurodegenerative diseases and features both amyloid β plaques and neurofibrillary tangles (NFTs) as pathological hallmarks [1]. Although the cause of AD, which affects many, is not clearly identified, many therapeutic agents have been studied to inhibit the formation of these two hallmarks, and we aim to develop a treatment for Alzheimer’s disease that targets and inhibits JNK3, which is deeply involved in the formation of amyloid β protein and NFT [2].
The c-Jun N-terminal kinase (JNK), also called stress-activated protein kinase, is a protein kinase that belongs to the mitogen-activated protein kinase (MAPK) family [3]. JNKs are encoded by the jnk1, jnk2, and jnk3 genes [2], and there are approximately 10 isoforms with molecular weights of 46–55 kDa, depending on splicing. The signaling system of JNKs is activated by UV rays, inflammatory cytokines, and oxidative stress. The activated MKK4 and MKK7 phosphorylate the Thr183 and Tyr185 of JNKs. The activated JNKs promote the phosphorylation of proteins (AP-1, c-Jun, etc.) involved in cell apoptosis, proliferation, and differentiation [4,5,6,7,8]. JNK1 and JNK2 are expressed in most cells, whereas JNK3 is mainly expressed in the brain [9,10,11].
Most importantly, JNK3 expressed in the brain phosphorylates Thr668 of the amyloid precursor protein (APP), so that APP is located on the cell membrane and cleaved by β-secretase and γ-secretase to induce the formation of amyloid β protein [12,13]. The produced amyloid β protein is known to form amyloid plaques, causing neuronal cell apoptosis, and the amyloid β protein also causes positive feedback to reactivate JNK3 [12]. In addition, JNK3 phosphates Ser422 of the tau protein to form NFTs. The formed NFTs disrupt the transport of neurotransmitters by breaking down the structure of microfabrication in neurons, leading to the apoptosis of nerve cells [14].
We studied protein kinase inhibitors targeting JNK3 to develop effective treatments for Alzheimer’s disease by impeding these mechanisms.
2. Results and Discussion
In previous studies [15], we discovered a 1-phenyl-2-pyrimidyl-1H-benzimidazole derivative, a hit compound that has JNK3 inhibitory activity, especially excellent selectivity versus other protein kinases. Therefore, we derivatized the hit compound further for better inhibitory activity on JNK3, and the lead compound, 1-(2-aminopyrimidin-4-yl)-2-(naphthalen-2-yl)-1H-benzo[d]imidazol-6-ol, was found. Moreover, we continued the efforts to improve the pharmacokinetic problem in the previous scaffold, and also to increase the activity against JNK3, having identified the main interactions through the docking study of the previous scaffold (hydrogen bonds in the hinge region, hydrophobic interaction of the aromatic ring, and the hydrogen bond of phenol in the benzimidazole scaffold). As a result, 1-pyrimidinyl-2-aryl-4, 6-dihydropyrrolo[3,4-d]imidazole-5(1H)-carboxamide derivatives were designed; these compounds had a five-membered ring, 2,5-dihydropyrrole, instead of the benzene in the previous benzimidazole scaffold (Figure 1).
Figure 1.
Docking structures of the previous c-Jun N-terminal kinase 3 (JNK3) inhibitor (PDB: 3OY1) and design of the present 1-pyrimidinyl-2-aryl-4, 6-dihydropyrrolo[3,4-d]imidazole-5(1H)-carboxamide scaffold. The important pharmacophores have been colored in blue in previous scaffold and red in present scaffold.
We proceeded with the synthesis of 1-pyrimidinyl-2-aryl-4, 6-dihydropyrrolo[3,4-d]imidazole-5(1H)-carboxamide derivatives via Scheme 1. For the synthesis of the core structure, dihydropyrrolo[3,4-d]imidazole-bicycle, we started to synthesize a 1,2-diaminopyrrolidine ring. The commercially available 1, 4-dichlorobut-2-ene (1) and tert-butyl carbamate were reacted to form Boc-pyrrolidine (2). The dihydroxylation using osmium tetroxide was performed to give diol (3), and it was transformed to diazide (5) through mesylation (4) (SN2 reaction). Following the reduction of diazide, using palladium as a catalyst gave the diamine (6).
Scheme 1.
Synthesis of 1-pyrimidinyl-2-aryl-4,6-dihydropyrrolo[3,4-d]imidazole-5(1H)-carboxamide. (rt: room temperature, *: Stereocenter).
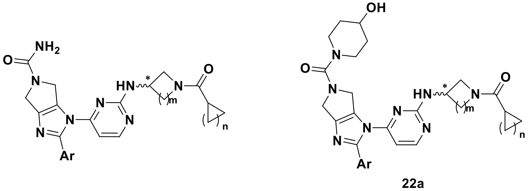
In order to form the next imidazoline (7) ring, the corresponding aryl imidate was reacted with diamino-N-Boc pyrrolidine; then, the Swern oxidation was accomplished to synthesize the 2,5-dihydropyrrolo imidazole core (8). Next, 4-chloro-2-methylthio-pyrimidine was introduced to the core through SNAr reaction under microwave irradiation (9). The methyl sulfide was oxidized to methyl sulfone (10) by potassium peroximonosulfate and substituted with the amide-coupled amine group through another SNAr (11a–d, 12a–d, 13a–d, 14a, 14c and 15a). The final products (17a–d, 18a–d, 19a–d, 20a, 20c and 21a) were obtained after Boc deprotection by HCl and phenylcarbamate treatment. Another final product (22a) was obtained using 4-nitrophenyl chloroformate.
After synthesis of all the compounds (17a–d, 18a–d, 19a–d, 20a, 20c and 21a), the JNK3 inhibitory activity of each compound was evaluated (Table 1). Most of the synthesized compounds exhibited good activity against JNK3. In particular, 18a showed the most potent activity against JNK3, with an IC50 value of 2.69 nM. Structure activity relationships (SARs) were inferred from potency data. First, when comparing the activity by the aryl group substitution, the compounds with the relatively large groups such as naphtyl and dichlorophenyl groups showed good inhibitory activity toward JNK3, rather than those with dioxolphenyl and dihydrobenzofuranphenyl groups (a and b vs. c and d). We think that the aryl group occupied a larger hydrophobic space under the roof and induced hydrophobic interaction. This was assumed from the docking studies of the previous inhibitor of JNK3. Moreover, the napthyl and dichlorophenyl rings have higher electron densities, so could form stronger interactions with the surrounded residues, supporting better activities. Secondly, when the piperidin-4-ol (17a) was substituted in the position of the carboxamide in 2, 5-dihydropyrrolo-1-carboxamide, the activity falls to half that of the corresponding carboxamide (17a vs. 22a). Next, when the cyclopropyl group in the solvent exposure part was replaced with a cyclobutyl or cyclopentyl group, the inhibitory activity decreased approximately two- to three-fold (17a vs. 20a, 20c, and 21a). In an effort to reduce the molecular weight, the piperidine ring was diversified into pyrrolidine with less carbon atoms (n = 2). Surprisingly, when (R)-aminopyrrolidine was coupled to the pyrimidyl group instead of the (S)-aminopiperidine, the activities were increased by approximately seven- to ten-fold (17 vs. 19). Interestingly, when (R)-aminopyrrolidine was introduced, the activity was significantly increased by approximately four- to five-fold (17 vs. 18). This also suggested that the size and configuration of the amino group in the ring should be considered important for binding, even in the solvent exposure part for optimal extra-hydrogen bonding. The extra hydrogen bonding seemed more plausible in (R)-pyrrolidine (18) than in the cases of (S)-piperidine (17) and (S)-pyrrolidine (19).
Table 1.
Enzymatic activities of 1-pyrimidinyl-2-aryl-4, 6-dihydropyrrolo[3,4-d]imidazole-5(1H)-carboxamide derivatives.
A docking study was conducted to understand the binding mode of the novel JNK3 inhibitor 18a (Figure 2). When we performed the docking experiment of 18a with a known JNK3 structure (3OY1), it was shown that many of the interactions could contribute to complex stabilization. First, the amino pyrimidine is a hinge binder and forms two hydrogen interactions with the Met149 of JNK3. The oxygen of cyclopropyl carboxamide in compound 18a could form hydrogen bond interaction with Gln155 in the extended hinge region. The two hydrogen bonds were monitored between the oxygen in the carboxamide of 2,5-dihydropyrrole and the side chain of Asn152, and between the NH2 in the carboxamide of 2,5-dihydropyrrole-1-carboxamide and the side chain of Ser72. Finally, the dichlorophenyl ring of compound 18a fits into the hydrophobic pocket and forms a halogen bond with Ala93.
Figure 2.
Docking structures of 18a at JNK3 (PDB: 3OY1) and 2D interaction map.
Next, we performed kinases panel screening in duplicate for compound 18a on 38 different protein kinases at a single-dose concentration of 10μM (Table 2). The compound 18a was indeed a selective JNK3 inhibitor with an excellent selectivity profile, only having slight activities on JNK2, GSK3β, and RIPK3 more than 50%. When we further determine the IC50 of 18a on these three protein kinases and compared with it on JNK3, the selectivity was still maintained. And since the GSK3β and RIPK3 are said to be associated with neurodegenerative disease caused by all neuronal apoptosis [18,19,20,21,22,23], we could manipulate these characters of 18a for further developments.
Table 2.
Percentages of enzymatic inhibition exerted by 10 μM of 18a on 38 selected protein kinases [24] and enzymatic activities on selected protein kinases.
3. Materials and Methods
3.1. Chemistry
3.1.1. General Chemical Methods
All chemicals were of reagent grade and were purchased from Sigma-Aldrich, Inc. (Seoul, Korea). Separation of the compounds by column chromatography was carried out with silica gel 60 (200–300 mesh ASTM, E. Merck, Darmstadt, Germany). The quantity of silica gel used was 50–100 times the weight charged on the column. Thin layer chromatography (TLC) was run on silica gel-coated aluminum sheets (silica gel 60 GF254, E. Merck, Darmstadt, Germany) and visualized under ultraviolet (UV) light (254 nm). Both 1H Nuclear Magnetic Resonance (NMR )and 13C NMR spectra were recorded on a Bruker model digital AVANCE III 400 MHz spectrometer (Billerica, MA, USA) at 25 °C using tetramethylsilane (TMS) as an internal standard. High-resolution Mass Spectra (HR/MS) experiments were conducted with a Finnigan LTQ Orbitrap mass spectrometer (Thermo Fisher Scientific Inc., New York, NY, USA) operated in positive-ion electrospray mode.
3.1.2. General Syntheses of tert-Butyl 2, 5-Dihydro-1H-Pyrrole-1-Carboxylate (2)
Compound 1 (4.65 mmol) was dissolved in dimethyl formamide (5 mL), and then sodium hydride (10.23 mmol) was added at 0 °C and stirred for 10 min. Compound 1 was added to the mixture and stirred at room temperature for 15 min, followed by stirring at 65 °C for 4 to 6 h. It was then cooled to ambient temperature, extracted with an organic layer (Ethylacetate:n-Hexane (EA:HEX) = 1:4), and washed with water. This was followed by drying with anhydrous magnesium sulfate and evaporation of the solvent to obtain compound 3 as a yellow oil. (45%); 1H NMR (400 MHz, CDCl3): δ 5.76 (s, 2H), 4.11 (s, 4H), 1.47 (s, 9H); HRMS m/z calcd for C9H15NO2 169.2240; found 170.0130 (M+H+).
3.1.3. General Syntheses of Tert-Butyl (3R, 4S)-3, 4-Dihydroxypyrrolidine-1-Carboxylate (3)
Compound 2 (6.3 mmol) was dissolved in tetrahydrofuran (15.8 mL) and we then slowly dropped the mixture of osmium tetroxide (0.113 mmol) and N-methylmorpholine-N-oxide (8.29 mmol) in 15.8 mL of water. The mixture was stirred at room temperature for 3 to 5 h. It was then concentrated in vacuo, extracted with ethyl acetate, and washed with water. This was followed by drying with anhydrous magnesium sulfate, evaporation of the solvent, and then purification of the product by column chromatography on silica gel using a mobile phase of EA: HEX (3: 1) to obtain compound 3 as a yellow oil. (59%); 1H NMR (400 MHz, CDCl3): δ 4.25 (qd, J = 4.4, 2.1 Hz, 2H), 3.59 (dd, J = 11.4, 5.7 Hz, 2H), 3.34 (dd, J = 11.3, 3.8 Hz, 2H), 1.45 (s, 9H); HRMS m/z calcd for C9H17NO4 203.2380; found 204.4411 (M+H+).
3.1.4. General Syntheses of Tert-Butyl (3R, 4S)-3, 4-Bis((Methylsulfonyl)Oxy)Pyrrolidine-1-Carboxylate (4)
Compound 3 (0.96 mmol) was dissolved in dichloromethane (4.8 mL), and then methanesulfonyl chloride (2.11 mmol) and triethylamine (2.11 mmol) were added and stirred at room temperature for 30 min to 1 h. The reaction mixture was washed with water and brine. This was followed by drying with anhydrous magnesium sulfate and evaporation of the solvent to obtain compound 4 as a white solid. (90%); 1H NMR (400 MHz, CDCl3): δ 5.17 (t, J = 4.0 Hz, 2H), 3.84–3.74 (m, 2H), 3.68–3.59 (m, 2H), 3.14 (d, J = 5.6 Hz, 6H), 1.46 (s, 9H); HRMS m/z calcd for C11H21NO8S2 359.4080; found 360.0501 (M+H+).
3.1.5. General Syntheses of Tert-Butyl (3S, 4R)-3,4-Diazidopyrrolidine-1-Carboxylate (5)
Compound 4 (3.3 mmol) was dissolved in dimethylformamide (33 mL), and then sodium azide (33 mmol) was added and the mixture was stirred at 90 °C for 24 h. The mixture was then cooled to ambient temperature, extracted with ethyl acetate, and washed with brine. After drying with anhydrous magnesium sulfate and concentration of the solvent in vacuo, the product was purified by column chromatography on silica gel using a mobile phase of EA:HEX (1:4) to obtain compound 5 as a yellow oil. (79%); 1H NMR (400 MHz, CDCl3): δ 4.08 (d, J = 3.3 Hz, 2H), 3.63 (dd, J = 8.8, 5.5 Hz, 2H), 3.44 (ddd, J = 16.3, 10.8, 4.1 Hz, 2H), 1.46 (s, 9H); HRMS m/z calcd for C9H15N7O2 253.2660; found 254.3558 (M+H+).
3.1.6. General Synthesis of Tert-Butyl (3S, 4R)-3,4-Diaminopyrrolidine-1-Carboxylate (6)
Compound 5 (2.6 mmol) was dissolved in methanol (10.4 mL), and then palladium hydroxide on carbon (0.52 mmol) was added. It was stirred for 4 h at room temperature under hydrogen gas. The mixture was filtered through a celitepad, and the filtrate was concentrated to obtain compound 6 as a yellow oil. (98%); 1H NMR (400 MHz, DMSO-d6): δ 3.26 (dd, J = 10.9, 5.9 Hz, 3H), 3.14 (dq, J = 9.6, 4.8 Hz, 2H), 2.95 (dd, J = 10.6, 4.9 Hz, 2H), 1.38 (s, 9H). HRMS m/z calcd for C9H19N3O2 201.2700; found 202.3284 (M+H+).
3.1.7. General Syntheses of Compounds 7a-d
Tert-Butyl (3aS,6aR)-2-(3,4-Dichlorophenyl)-3a,4,6,6a-Tetrahydropyrrolo-Imidazole-5(1H)-Carboxylate (7a)
Compound 6 (2.69 mmol) and aryl-substituted imidate (2.5 mmol) were dissolved in ethanol (13.4 mL) and stirred at 80 °C for 1 to 2 h. The mixture was cooled to ambient temperature and then concentrated in vacuo. The concentrated mixture was extracted with ethyl acetate and washed with brine. This was followed by drying with anhydrous magnesium sulfate, and the solvent was purified by column chromatography on silica gel using a mobile phase of EA:HEX (3:1) to obtain compound 7a as a white solid. (47%); 1H NMR (400 MHz, MeOD): δ 7.96 (d, J = 2.0 Hz, 1H), 7.71 (dd, J = 8.4, 2.0 Hz, 1H), 7.63 (d, J = 8.4 Hz, 1H), 4.65 (s, 2H), 3.71 (d, J = 12.0 Hz, 2H), 3.55–3.44 (m, 2H), 1.43 (s, 9H); HRMS m/z calcd for C16H19Cl2N3O2 356.2470; found 357.4684 (M+H+).
Tert-Butyl (3aS,6aR)-2-(Naphthalen-2-yl)-3a,4,6,6a-Tetrahydropyrrolo[3,4-d]Imidazole-5(1H)-Carboxylate (7b)
Compound 7b was obtained as a white solid by the same procedure as above. (crude yield: 95%); 1H NMR (400 MHz, DMSO-d6): δ 8.77 (d, J = 1.4 Hz, 1H), 8.18 (d, J = 8.7 Hz, 1H), 8.10–8.03 (m, 3H), 7.74 (ddd, J = 14.4, 7.9, 1.2 Hz, 2H), 4.94 (d, J = 1.4 Hz, 2H), 3.82 (d, J = 12.5 Hz, 2H), 3.45 (d, J = 12.4 Hz, 2H), 3.32 (s, 1H), 1.32 (s, 9H); HRMS m/z calcd for C20H23N3O2 337.4230; found 338.3165 (M+H+).
Tert-Butyl (3aS,6aR)-2-(Benzo[d][1,3]Dioxol-5-yl)-3a,4,6,6a-Tetrahydro Pyrrolo[3,4-d]Imidazole-5(1H)-Carboxylate (7c)
Compound 7c was obtained as a white solid by the same procedure as above. (crude yield: 98%); 1H NMR (400 MHz, DMSO-d6): δ 7.68 (d, J = 11.4 Hz, 2H), 7.21 (d, J = 8.1 Hz, 1H), 6.21 (s, 2H), 4.85 (s, 2H), 3.76 (d, J = 12.5 Hz, 2H), 3.39 (d, J = 12.1 Hz, 2H), 3.32 (s, 1H), 1.34 (s, 9H); HRMS m/z calcd for C17H21N3O4 331.3720; found 332.3018 (M+H+).
Tert-Butyl (3aS,6aR)-2-(2,3-Dihydrobenzofuran-5-yl)-3a,4,6,6a-Tetrahyd Ropyrrolo[3,4-d]Imidazole-5(1H)-Carboxylate (7d)
Compound 7d was obtained as a white solid by the same procedure as above. (crude yield: 98%); 1H NMR (400 MHz, CDCl3): δ 8.15 (s, 1H), 8.08 (d, J = 8.5 Hz, 1H), 6.74 (d, J = 8.5 Hz, 1H), 4.85 (s, 2H), 4.62 (t, J = 8.8 Hz, 2H), 4.01 (d, J = 12.5 Hz, 2H), 3.44 (d, J = 12.1 Hz, 2H), 3.18 (t, J = 8.7 Hz, 2H), 1.39 (s, 9H); HRMS m/z calcd for C18H23N3O3 329.4000; found 330.3653 (M+H+).
3.1.8. General Syntheses of Compounds 8a-d
Tert-Butyl 2-(3,4-Dichlorophenyl)-4,6-Dihydropyrrolo[3,4-d]Imidazole-5 (1H)-Carboxylate (8a)
Oxalyl chloride (0.59 mmol) and dimethyl sulfoxide (1.18 mmol) were dissolved in 7 mL of dichloromethane, stirred at −78 °C for 10 min, and then slowly added to compound 7a (0.59 mmol) dissolved in 5 mL of dichloromethane at −78 °C for 30 min. Then, triethylamine (5.9 mmol) was added slowly and stirred at room temperature for 1 h 30 min. The reaction mixture was washed with water and brine, followed by drying with anhydrous magnesium sulfate and concentration of the solvent in vacuo to obtain compound 8a as a white solid. (50%); 1H NMR (400 MHz, Dimethyl sulfoxide-d6 (DMSO-d6): δ 12.82 (d, J = 24.4 Hz, 1H), 8.41 (s, 1H), 8.07 (d, J = 8.6 Hz, 1H), 7.99–7.88 (m, 3H), 7.59–7.48 (m, 2H), 4.50 (s, 2H), 4.33 (d, J = 10.1 Hz, 2H), 1.47 (s, 9H); HRMS m/z calcd for C16H17Cl2N3O2 354.2310; found 355.4510 (M+H+).
Tert-Butyl 2-(Naphthalen-2-yl)-4,6-Dihydropyrrolo[3,4-d]Imidazole-5(1H)-Carboxylate (8b)
Compound 8b was obtained as a white solid by the same procedure as above. (51%); 1H NMR (400 MHz, DMSO): δ 12.82 (d, J = 24.4 Hz, 1H), 8.41 (s, 1H), 8.07 (d, J = 8.6 Hz, 1H), 7.99–7.88 (m, 3H), 7.59–7.48 (m, 2H), 4.50 (s, 2H), 4.33 (d, J = 10.1 Hz, 2H), 1.47 (s, 9H); HRMS m/z calcd for C20H21N3O2 335.4070; found 336.2996 (M+H+).
Tert-Butyl 2-(Benzo[d][1,3]Dioxol-5-yl)-4,6-Dihydropyrrolo[3,4-d]Imidazole-5(1H)-Carboxylate (8c)
Compound 8c was obtained as a white solid by the same procedure as above. (50%); 1H NMR (400 MHz, CDCl3): δ 7.32 (dd, J = 10.6, 1.6 Hz, 2H), 6.81 (d, J = 8.0 Hz, 1H), 5.99 (s, 2H), 4.49–4.39 (m, 4H), 1.51 (s, 9H); HRMS m/z calcd for C17H19N3O4 329.3560; found 330.3209 (M+H+).
Tert-Butyl 2-(2,3-Dihydrobenzofuran-5-yl)-4,6-Dihydropyrrolo[3,4-d]Imidazole-5(1H)-Carboxylate (8d)
Compound 8d was obtained as a white solid by the same procedure as above. (50%); 1H NMR (400 MHz, CDCl3): δ 7.75 (s, 1H), 7.55 (dd, J = 8.3, 1.9 Hz, 1H), 6.78 (d, J = 8.3 Hz, 1H), 4.61 (t, J = 8.8 Hz, 2H), 4.50–4.41 (m, 4H), 3.22 (t, J = 8.7 Hz, 2H), 1.51 (s, 9H); HRMS m/z calcd for C18H21N3O3 327.3840; found 328.3040 (M+H+).
3.1.9. General Syntheses of Compounds 9a–d
Tert-Butyl 2-(3,4-Dichlorophenyl)-1-(2-(Methylthio)Pyrimidin-4-yl)-4,6-Dihydropyrrolo[3,4-d]Imidazole-5(1H)-Carboxylate (9a)
Compound 8a (0.75 mol), 4-chloro-2-(methylthio)pyrimidine (0.75 mmol) and cesium carbonate (0.9 mmol) were dissolved in 7.5 mL of N, N-dimethylformamide and stirred for 2 h at 100 °C in a microwave reactor. After 2 h, the reaction mixture was extracted with ethyl acetate and washed with water and brine. After drying over anhydrous magnesium sulfate and concentration, the product was purified by column chromatography on silica gel using a mobile phase of EA:HEX (1:2) to obtain compound 9a as a yellow solid. (50%); 1H NMR (400 MHz, CDCl3) δ 8.28 (dd, J = 7.6, 5.5 Hz, 1H), 8.13 (d, J = 16.5 Hz, 1H), 7.88 (t, J = 8.7 Hz, 3H), 7.62–7.53 (m, 3H), 6.42 (d, J = 5.5 Hz, 1H), 4.86–4.79 (m, 2H), 4.59 (s, 2H), 2.55 (d, J = 3.4 Hz, 3H), 1.54 (s, 9H).; HRMS m/z calcd for C21H21Cl2N5O2S 477.3920, Found 478.4457 (M+H+).
Tert-Butyl 1-(2-(Methylthio)Pyrimidin-4-yl)-2-(Naphthalen-2-yl)-4,6-Dihydropyrrolo [3,4-d]Imidazole-5(1H)-Carboxylate (9b)
Compound 9b was obtained as a yellow solid by the same procedure as above. (22%); 1H NMR (400 MHz, CDCl3): δ 8.28 (dd, J = 7.6, 5.5 Hz, 1H), 8.13 (d, J = 16.5 Hz, 1H), 7.89 (d, J = 9.0 Hz, 3H), 7.62–7.53 (m, 2H), 7.53–7.47 (m, 1H), 6.42 (d, J = 5.5 Hz, 1H), 4.86–4.79 (m, 2H), 4.59 (s, 2H), 2.55 (d, J = 3.4 Hz, 3H), 1.54 (s, 9H); HRMS m/z calcd for C25H25N5O2S 459.5680; found 460.4038 (M+H).
Tert-Butyl 2-(Benzo[d][1,3]Dioxol-5-yl)-1-(2-(Methylthio)Pyrimidin-4-yl)-4,6-Dihydropyrrolo[3,4-d]Imidazole-5(1H)-Carboxylate (9c)
Compound 9c was obtained as a yellow solid by the same procedure as above. (47%); 1H NMR (400 MHz, CDCl3): δ 8.35 (dd, J = 5.5, 1.1 Hz, 1H), 7.00–6.93 (m, 2H), 6.85 (d, J = 7.9 Hz, 1H), 6.46 (t, J = 5.6 Hz, 1H), 6.04 (s, 2H), 4.83–4.72 (m, 2H), 4.54–4.45 (m, 2H), 2.56 (d, J = 2.1 Hz, 3H), 1.52 (d, J = 1.8 Hz, 9H); HRMS m/z calcd for C22H23N5O4S 453.5170; found 454.3178 (M+H+).
Tert-Butyl 2-(2,3-Dihydrobenzofuran-5-yl)-1-(2-(Methylthio)Pyrimidin-4-yl)-4,6-Dihydropyrrolo[3,4-d]Imidazole-5(1H)-Carboxylate (9d)
Compound 9d was obtained as a yellow solid by the same procedure as above. (52%); 1H NMR (400 MHz, CDCl3): δ 8.32 (d, J = 5.5 Hz, 1H), 7.38 (s, 1H), 7.19 (d, J = 8.3 Hz, 1H), 6.80 (d, J = 8.3 Hz, 1H), 6.46 (t, J = 5.5 Hz, 1H), 4.82–4.74 (m, 2H), 4.65 (t, J = 8.8 Hz, 2H), 4.51 (dd, J = 12.7, 9.5 Hz, 2H), 3.24 (t, J = 8.8 Hz, 2H), 2.57 (d, J = 1.3 Hz, 3H), 1.53 (d, J = 1.7 Hz, 9H); HRMS m/z calcd for C23H25N5O3S 454.5450; found 452.6696 (M+H+).
3.1.10. General Syntheses of Compounds 11a–d
Tert-Butyl (S)-1-(2-((1-(Cyclopropanecarbonyl)Piperidin-3-yl)Amino)Pyrimidin-4-yl)-2-(3,4-Dichlorophenyl)-4,6-Dihydropyrrolo[3,4-d]Imidazole-5(1H)-Carboxylate (11a)
Compound 9a (0.16 mmol) was dissolved in 2 mL of methanol, and then potassium peroxomonosulfate (0.8 mmol) dissolved in 2 mL of water was added, followed by stirring at ambient temperature for 2 h. Methanol was concentrated and extracted with ethyl acetate and washed with water and brine, followed by drying with anhydrous magnesium sulfate and concentration of the solvent in vacuo to obtain compound 10a as a white solid. Next, (S)-(3-aminopiperidin-1-yl)(cyclopropyl)methanone (0.32 mmol) was dissolved in 1 mL of dimethylformamide, and 44.5 µL (0.32 mmol) of triethylamine were added. Then, compound 10a (0.14 mmol) dissolved in 3 mL of tetrahydrofuran was added and stirred at 80 °C for 24 h. Tetrahydrofuran was concentrated in vacuo, extracted with ethyl acetate, and washed with water and brine. After drying over anhydrous magnesium sulfate and concentration, the product was purified by column chromatography on silica gel using a mobile phase of EA:HEX (5:1) to obtain compound 11a as a yellow solid. (48%); 1H NMR (400 MHz, CDCl3): δ 8.20 (s, 1H), 7.66 (s, 1H), 7.47 (d, J = 8.3 Hz, 1H), 7.35–7.27 (m, 1H), 6.13 (d, J = 5.4 Hz, 1H), 4.71 (d, J = 33.9 Hz, 2H), 4.49 (d, J = 25.9 Hz, 2H), 3.75 (d, J = 31.6 Hz, 5H), 1.79–1.59 (m, 5H), 1.52 (d, J = 2.8 Hz, 9H), 1.01 (s, 2H), 0.77 (s, 2H); HRMS m/z calcd for C29H33Cl2N7O3 598.5290; found 599.5036 (M+H+).
Tert-Butyl (S)-1-(2-((1-(Cyclopropanecarbonyl)Piperidin-3-yl)Amino)Pyrimidin-4-yl)-2-(Naphthalen-2-yl)-4,6-Dihydropyrrolo[3,4-d]Imidazole-5(1H)-Carboxylate (11b)
Compound 11b was obtained as a yellow solid by the same procedure as above. (38%); 1H NMR (400 MHz, MeOD): δ 8.34–8.26 (m, 1H), 7.76–7.70 (m, 1H), 7.62 (dd, J = 8.3, 1.1 Hz, 1H), 7.41 (ddd, J = 8.2, 4.0, 2.0 Hz, 1H), 6.31 (d, J = 5.2 Hz, 1H), 4.77 (d, J = 12.9 Hz, 2H), 4.48 (d, J = 2.6 Hz, 2H), 3.96–3.54 (m, 4H), 2.32–2.03 (m, 4H), 1.56 (d, J = 2.5 Hz, 9H), 0.94–0.85 (m, 4H); HRMS m/z calcd for C33H37N7O3 579.2958; found 580.5351 (M+H).
Tert-Butyl (S)-2-(Benzo[d][1,3]Dioxol-5-yl)-1-(2-((1-(Cyclopropanecarbonyl)Piperidin-3-yl)Amino)Pyrimidin-4-yl)-4,6-Dihydropyrrolo[3,4-d]Imidazole-5(1H)-Carboxylate (11c)
Compound 11c was obtained as a yellow solid by the same procedure as above. (52%); 1H NMR (400 MHz, CDCl3): δ 8.11 (s, 1H), 6.98–6.88 (m, 2H), 6.81 (d, J = 8.0 Hz, 1H), 6.02 (d, J = 8.7 Hz, 3H), 4.69 (d, J = 27.0 Hz, 2H), 4.46 (d, J = 26.1 Hz, 2H), 3.97–3.52 (m, 5H), 1.82–1.56 (m, 5H), 1.50 (d, J = 2.4 Hz, 9H), 1.02–0.92 (m, 2H), 0.76 (d, J = 3.2 Hz, 2H); HRMS m/z calcd for C30H35N7O5 573.6540; found 574.4855 (M+H).
Tert-Butyl (S)-1-(2-((1-(Cyclopropanecarbonyl)Piperidin-3-yl)Amino)Pyrimidin-4-yl)-2-(2,3-Dihydrobenzofuran-5-yl)-4,6-Dihydropyrrolo[3,4-d]Imidazole-5(1H)-Carboxylate (11d)
Compound 11d was obtained as a yellow solid by the same procedure as above. (52%); 1H NMR (400 MHz, CDCl3): δ 8.09 (s, 1H), 7.35 (d, J = 8.2 Hz, 1H), 7.17 (s, 1H), 6.76 (d, J = 8.3 Hz, 1H), 6.07 (s, 1H), 4.71 (d, J = 29.1 Hz, 2H), 4.62 (t, J = 8.8 Hz, 2H), 4.47 (d, J = 26.7 Hz, 2H), 3.70 (dd, J = 91.3, 72.0 Hz, 6H), 3.22 (t, J = 8.7 Hz, 2H), 1.80–1.56 (m, 5H), 1.51 (d, J = 2.5 Hz, 9H), 1.00 (s, 2H), 0.88 (d, J = 6.5 Hz, 2H); HRMS m/z calcd for C31H37N7O4 571.6820; found 572.2907 (M+H).
3.1.11. General Syntheses of Compounds 12a–d
Tert-Butyl (R)-1-(2-((1-(Cyclopropanecarbonyl)Pyrrolidin-3-yl)Amino)Pyrimidin-4-yl)-2-(3,4-Dichlorophenyl)-4,6-Dihydropyrrolo[3,4-d]Imidazole-5(1H)-Carboxylate (12a)
Compound 9a (0.16 mmol) was dissolved in 2 mL of methanol, and then potassium peroxomonosulfate (0.8 mmol) dissolved in 2 mL of water was added, followed by stirring at ambient temperature for 2 h. Methanol was concentrated and extracted with ethyl acetate and washed with water and brine. This was followed by drying with anhydrous magnesium sulfate and concentration of the solvent in vacuo to obtain compound 10a as white solid. Next, (R)-(3-aminopirrolidine-1-yl)(cyclopropyl)methanone (0.32 mmol) was dissolved in 1 mL of dimethylformamide, and 44.5 µl (0.32 mmol) of triethylamine were added. Then, compound 10a (0.14 mmol) dissolved in 3 mL of tetrahydrofuran was added and stirred at 80 °C for 24 h. Tetrahydrofuran was concentrated in vacuo, extracted with ethyl acetate, and washed with water and brine. After drying over anhydrous magnesium sulfate and concentration, the product was purified by column chromatography on silica gel using a mobile phase of EA: HEX (5: 1) to obtain compound 12a as a yellow solid. (38%); 1H NMR (400 MHz, MeOD): δ 8.34–8.26 (m, 1H), 7.76–7.70 (m, 1H), 7.62 (dd, J = 8.3, 1.1 Hz, 1H), 7.41 (ddd, J = 8.2, 4.0, 2.0 Hz, 1H), 6.31 (d, J = 5.2 Hz, 1H), 4.77 (d, J = 12.9 Hz, 2H), 4.48 (d, J = 2.6 Hz, 2H), 3.96–3.54 (m, 4H), 2.32–2.03 (m, 4H), 1.56 (d, J = 2.5 Hz, 9H), 0.94–0.85 (m, 4H); HRMS m/z calcd for C28H31Cl2N7O3 584.5020; found 585.3686 (M+H).
Tert-Butyl (R)-1-(2-((1-(Cyclopropanecarbonyl)Pyrrolidin-3-yl)Amino)Pyrimidin-4-yl)-2-(Naphthalen-2-yl)-4,6-Dihydropyrrolo[3,4-d]Imidazole-5(1H)-Carboxylate (12b)
Compound 12b was obtained as a yellow solid by the same procedure as above. (30%); 1H NMR (400 MHz, CDCl3): δ 8.14–8.00 (m, 2H), 7.85 (d, J = 7.9 Hz, 3H), 7.58–7.49 (m, 3H), 6.16–6.03 (m, 1H), 4.77 (d, J = 16.4 Hz, 2H), 4.53 (d, J = 26.8 Hz, 2H), 3.79–3.50 (m, 4H), 2.18 (d, J = 13.6 Hz, 4H), 1.53 (s, 9H), 1.00 (s, 2H), 0.78 (d, J = 5.1 Hz, 2H); HRMS m/z calcd for C32H35N7O3 565.6780; found 566.2753 (M+H).
Tert-Butyl (R)-2-(Benzo[d][1,3]Dioxol-5-yl)-1-(2-((1-(Cyclopropanecarbonyl) Pyrrolidine-3-yl)Amino)Pyrimidin-4-yl)-4,6-Dihydropyrrolo[3,4-d]Imidazole-5(1H)-Carboxylate (12c)
Compound 12c was obtained as a yellow solid by the same procedure as above. (44%); 1H NMR (400 MHz, CDCl3): δ 8.11 (dd, J = 11.3, 5.3 Hz, 1H), 6.98–6.92 (m, 2H), 6.81 (dd, J = 8.0, 5.6 Hz, 1H), 6.06–6.00 (m, 3H), 4.71 (dd, J = 23.3, 9.4 Hz, 2H), 4.43 (s, 2H), 3.80–3.58 (m, 4H), 2.37–1.95 (m, 4H), 1.52–1.48 (m, 9H), 0.98 (d, J = 4.8 Hz, 2H), 0.78–0.74 (m, 2H); HRMS m/z calcd for C29H33N7O5 559.6270; found 560.4778 (M+H).
Tert-Butyl (R)-1-(2-((1-(Cyclopropanecarbonyl)Pyrrolidin-3-yl)Amino)Pyrimidin-4-yl)-2-(2,3-Dihydrobenzofuran-5-yl)-4,6-Dihydropyrrolo[3,4-d]Imidazole-5(1H)-Carboxylate (12d)
Compound 12d was obtained as a yellow solid by the same procedure as above. (48%); 1H NMR (400 MHz, CDCl3): δ 8.09 (dd, J = 12.1, 5.2 Hz, 1H), 7.35 (d, J = 10.3 Hz, 1H), 7.21–7.14 (m, 1H), 6.77 (dd, J = 8.2, 3.7 Hz, 1H), 6.10 (ddd, J = 15.8, 12.2, 5.4 Hz, 1H), 4.82–4.68 (m, 2H), 4.63 (d, J = 8.8 Hz, 2H), 4.43 (s, 2H), 3.99–3.53 (m, 5H), 3.22 (t, J = 8.7 Hz, 2H), 2.39–2.05 (m, 2H), 1.92 (dd, J = 12.5, 6.2 Hz, 1H), 1.53–1.48 (m, 9H), 0.77 (dd, J = 7.8, 4.7 Hz, 4H); HRMS m/z calcd for C30H35N7O4 557.6550; found 558.2751 (M+H).
3.1.12. General Syntheses of Compounds 13a–d
Tert-Butyl (S)-1-(2-((1-(Cyclopropanecarbonyl)Pyrrolidin-3-yl)Amino)Pyrimidin-4-yl)-2-(3,4-Dichlorophenyl)-4,6-Dihydropyrrolo[3,4-d]Imidazole-5(1H)-Carboxylate (13a)
Compound 9a (0.16 mmol) was dissolved in 2 mL of methanol, and then potassium peroxomonosulfate (0.8 mmol) dissolved in 2 mL of water was added, followed by stirring at ambient temperature for 2 h. Methanol was concentrated and extracted with ethyl acetate and washed with water and brine, followed by drying with anhydrous magnesium sulfate and concentration of the solvent in vacuo to obtain compound 10a as white solid. (S)-(3-aminopirrolidine-1-yl)(cyclopropyl)methanone (0.32 mmol) was dissolved in 1 mL of dimethylformamide, and 44.5 µL (0.32 mmol) of triethylamine were added. Then, compound 10a (0.14 mmol) dissolved in 3 mL of tetrahydrofuran was added and stirred at 80 °C for 24 h. Tetrahydrofuran was concentrated in vacuo, extracted with ethyl acetate, and washed with water and brine. After drying over anhydrous magnesium sulfate and concentration, the product was purified by column chromatography on silica gel using a mobile phase of EA: HEX (5: 1) to obtain compound 13a as a yellow solid. (32%); 1H NMR (400 MHz, MeOD): δ 8.34–8.26 (m, 1H), 7.76–7.70 (m, 1H), 7.62 (dd, J = 8.3, 1.1 Hz, 1H), 7.41 (ddd, J = 8.2, 4.0, 2.0 Hz, 1H), 6.31 (d, J = 5.2 Hz, 1H), 4.77 (d, J = 12.9 Hz, 2H), 4.48 (d, J = 2.6 Hz, 2H), 3.89–3.48 (m, 4H), 2.25–2.02 (m, 4H), 1.56 (d, J = 2.5 Hz, 9H), 0.96–0.84 (m, 4H); HRMS m/z calcd for C28H31Cl2N7O3 584.5020; found 585.3209 (M+H).
Tert-Butyl (S)-1-(2-((1-(Cyclopropanecarbonyl)Pyrrolidin-3-yl)Amino)Pyrimidin-4-yl)-2-(Naphthalen-2-yl)-4,6-Dihydropyrrolo[3,4-d]Imidazole-5(1H)-Carboxylate (13b)
Compound 13b was obtained as a yellow solid by the same procedure as above. (30%); 1H NMR (400 MHz, CDCl3): δ 8.10–8.02 (m, 2H), 7.85 (d, J = 7.2 Hz, 3H), 7.56–7.48 (m, 3H), 6.18–6.02 (m, 1H), 4.77 (d, J = 16.3 Hz, 2H), 4.53 (d, J = 27.3 Hz, 2H), 3.76–3.55 (m, 4H), 2.28–2.03 (m, 4H), 1.53 (s, 9H), 1.00–0.95 (m, 2H), 0.77 (d, J = 4.3 Hz, 2H); HRMS m/z calcd for C32H35N7O3 565.6780; found 566.5274 (M+H).
Tert-Butyl (S)-2-(Benzo[d][1,3]Dioxol-5-yl)-1-(2-((1-(Cyclopropanecarbonyl) Pyrrolidine-3-yl)Amino)Pyrimidin-4-yl)-4,6-Dihydropyrrolo[3,4-d]Imidazole-5(1H)-Carboxylate (13c)
Compound 13c was obtained as a yellow solid by the same procedure as above. (26%); 1H NMR (400 MHz, CDCl3): δ 8.18–8.09 (m, 1H), 6.97 (ddd, J = 8.7, 5.3, 1.5 Hz, 2H), 6.83 (d, J = 8.0 Hz, 1H), 6.19–6.06 (m, 1H), 6.02 (d, J = 1.1 Hz, 2H), 4.83–4.64 (m, 2H), 4.57–4.42 (m, 2H), 4.03–3.52 (m, 5H), 2.44–2.07 (m, 2H), 1.99–1.81 (m, 1H), 1.52–1.43 (m, 9H), 1.01 (d, J = 2.4 Hz, 2H), 0.78 (dd, J = 7.5, 4.3 Hz, 2H); HRMS m/z calcd for C29H33N7O5 559.6270; found 560.2543 (M+H).
Tert-Butyl (S)-1-(2-((1-(Cyclopropanecarbonyl)Pyrrolidin-3-yl)Amino)Pyrimidin-4-yl)-2-(2,3-Dihydrobenzofuran-5-yl)-4,6-Dihydropyrrolo[3,4-d]Imidazole-5(1H)-Carboxylate (13d)
Compound 13d was obtained as a yellow solid by the same procedure as above. (52%); 1H NMR (400 MHz, CDCl3) δ 8.14–8.03 (m, 1H), 7.35 (d, J = 11.0 Hz, 1H), 7.18 (d, J = 7.2 Hz, 1H), 6.78 (dd, J = 8.2, 3.9 Hz, 1H), 6.10 (ddd, J = 15.7, 12.5, 5.5 Hz, 1H), 4.75 (d, J = 1.9 Hz, 2H), 4.62 (d, J = 8.8 Hz, 2H), 4.44 (s, 2H), 3.85–3.53 (m, 5H), 3.21 (d, J = 8.7 Hz, 2H), 2.37–2.07 (m, 2H), 1.93 (dd, J = 12.4, 6.0 Hz, 1H), 1.54–1.49 (m, 9H), 1.00 (d, J = 2.3 Hz, 2H), 0.79–0.74 (m, 2H); HRMS m/z calcd for C30H35N7O4 557.6550; found 558.1865 (M+H).
3.1.13. General Syntheses of Compounds 14a and 14c
Tert-Butyl (S)-1-(2-((1-(Cyclobutanecarbonyl)Piperidin-3-yl)Amino)Pyrimidin-4-yl)-2-(3,4-Dichlorophenyl)-4,6-Dihydropyrrolo[3,4-d]Imidazole-5(1H)-Carboxylate (14a)
Compound 9a (0.16 mmol) was dissolved in 2 mL of methanol, and then potassium peroxomonosulfate (0.8 mmol) dissolved in 2 mL of water was added, followed by stirring at ambient temperature for 2 h. Methanol was concentrated and extracted with ethyl acetate and washed with water and brine, followed by drying with anhydrous magnesium sulfate and concentration of the solvent in vacuo to obtain compound 10a as white solid. (S)-(3-aminopiperidin-1-yl)(cyclobutyl)methanone (0.32 mmol) was dissolved in 1 mL of dimethylformamide, and 44.5 µl (0.32 mmol) of triethylamine were added. Then, compound 10a (0.14 mmol) dissolved in 3 mL of tetrahydrofuran was added and stirred at 80 °C for 24 h. Tetrahydrofuran was concentrated in vacuo, extracted with ethyl acetate, and washed with water and brine. After drying over anhydrous magnesium sulfate and concentration, the product was purified by column chromatography on silica gel using a mobile phase of EA: HEX (5: 1) to obtain compound 14a as a yellow solid. (49%); 1H NMR (400 MHz, CDCl3): δ 8.25–8.05 (m, 1H), 7.71–7.62 (m, 1H), 7.47 (dd, J = 10.5, 4.8 Hz, 1H), 7.29 (d, J = 7.6 Hz, 1H), 6.16 (d, J = 5.0 Hz, 1H), 4.70 (dd, J = 31.8, 22.8 Hz, 2H), 4.46 (t, J = 17.4 Hz, 2H), 3.97–3.54 (m, 3H), 3.42–3.13 (m, 3H), 2.39–2.09 (m, 4H), 2.00–1.62 (m, 6H), 1.50 (d, J = 2.4 Hz, 9H); HRMS m/z calcd for C30H35Cl2N7O3 612.5560; found 613.3670 (M+H).
Tert-Butyl (S)-2-(Benzo[d][1,3]Dioxol-5-yl)-1-(2-((1-(Cyclobutanecarbonyl)Piperidin-3-yl)Amino)Pyrimidin-4-yl)-4,6-Dihydropyrrolo[3,4-d]Imidazole-5(1H)-Carboxylate (14c)
Compound 14c was obtained as a yellow solid by the same procedure as above. (20%); 1H NMR (400 MHz, MeOD): δ 8.28–8.14 (m, 1H), 7.03–6.83 (m, 3H), 6.28 (s, 1H), 6.04 (d, J = 2.2 Hz, 2H), 4.80 (s, 2H), 4.47 (d, J = 12.3 Hz, 2H), 4.06 (d, J = 81.6 Hz, 2H), 3.12–3.02 (m, 1H), 2.94 (s, 1H), 2.15–1.43 (m, 12H); HRMS m/z calcd for C31H37N7O5 587.6810; found 588.5726 (M+H).
3.1.14. General Syntheses of Tert-Butyl (S)-1-(2-((1-(Cyclopentanecarbonyl)Piperidin-3-yl)Amino)Pyrimidin-4-yl)-2-(3,4-Dichlorophenyl)-4,6-Dihydropyrrolo[3,4-d]Imidazole-5(1H)-Carboxylate (15a)
Compound 9a (0.16 mmol) was dissolved in 2 mL of methanol, and then potassium peroxomonosulfate (0.8 mmol) dissolved in 2 mL of water was added, followed by stirring at ambient temperature for 2 h. Methanol was concentrated and extracted with ethyl acetate and washed with water and brine, followed by drying with anhydrous magnesium sulfate and concentration of the solvent in vacuo to obtain compound 10a as white solid. (S)-(3-aminopiperidin-1-yl)(cyclopentyl)methanone (0.32 mmol) was dissolved in 1 mL of dimethylformamide, and 44.5 µl (0.32 mmol) of triethylamine were added. Then, compound 10a (0.14 mmol) dissolved in 3 mL of tetrahydrofuran was added and stirred at 80 °C for 24 h. Tetrahydrofuran was concentrated in vacuo, extracted with ethyl acetate, and washed with water and brine. After drying over anhydrous magnesium sulfate and concentration, the product was purified by column chromatography on silica gel using a mobile phase of EA: HEX (5: 1) to obtain compound 15a as a yellow solid. (8%); 1H NMR (400 MHz, CDCl3): δ 8.19 (t, J = 30.4 Hz, 1H), 7.68 (s, 1H), 7.51 (dd, J = 13.1, 6.2 Hz, 1H), 7.35–7.28 (m, 1H), 6.22 (s, 1H), 4.85–4.66 (m, 2H), 4.49 (d, J = 20.4 Hz, 2H), 3.80–3.50 (m, 4H), 2.92 (s, 2H), 1.75 (d, J = 38.6 Hz, 12H), 1.51 (d, J = 2.5 Hz, 9H); HRMS m/z calcd for C31H37Cl2N7O3 626.5830; found 627.3383 (M+H).
3.1.15. General Syntheses of Compounds 17a–d, 18a–d, 19a–d, 20a, 20c, and 21a
(S)-1-(2-((1-(Cyclopropanecarbonyl)Piperidin-3-yl)Amino)Pyrimidin-4-yl)-2-(3,4-Dichlorophenyl)-4,6-Dihydropyrrolo[3,4-d]Imidazole-5(1H)-Carboxamide (17a)
Compound 11a (0.05 mol) was dissolved in 0.5 mL of 1,4-dioxane, and 0.25 mL of 4 M HCl in 1,4-dioxane was added. The mixture was stirred at ambient temperature for 1 h 30 min. After concentrating 1,4-dioxane in vacuo, compound 16 was obtained. Compound 16 (0.048 mol) was dissolved in 0.48 mL of 1,4-dioxane, and then phenyl carbamate (0.048 mmol) and triethylamine (0.048 mmol) were added, and the mixture was stirred at ambient temperature for 24 h. 1,4-Dioxane was concentrated in vacuo, extracted with ethyl acetate, and washed with water and brine. After drying with anhydrous magnesium sulfate and concentration of the solvent in vacuo, the product was purified by column chromatography on silica gel using a mobile phase of MC:MeOH (10:1) to obtain compound 17a as a white solid. (31%); 1H NMR (400 MHz, MeOD): δ 8.36–8.23 (m, 1H), 7.69 (s, 1H), 7.59 (d, J = 8.2 Hz, 1H), 7.37 (t, J = 6.3 Hz, 1H), 6.33 (d, J = 75.5 Hz, 1H), 4.76 (s, 2H), 4.49 (dd, J = 11.6, 8.5 Hz, 2H), 4.06 (d, J = 60.6 Hz, 2H), 3.40–3.05 (m, 5H), 2.10–1.40 (m, 5H), 0.96–0.53 (m, 4H); HRMS m/z calcd for C25H26Cl2N8O2 541.4370; found 542.4286 (M+H).
(S)-1-(2-((1-(Cyclopropanecarbonyl)piperidin-3-yl)Amino)Pyrimidin-4-yl)-2-(Naphthalen-2-yl)-4,6-Dihydropyrrolo[3,4-d]Imidazole-5(1H)-Carboxamide (17b)
Compound 17b was obtained as a white solid by the same procedure as above. (31%); 1H NMR (400 MHz, MeOD): δ 8.29–8.05 (m, 2H), 7.92 (s, 3H), 7.65–7.39 (m, 3H), 6.26 (d, J = 102.0 Hz, 1H), 4.69 (d, J = 17.1 Hz, 2H), 4.63–4.48 (m, 2H), 4.19–3.72 (m, 2H), 3.29–2.31 (m, 3H), 2.17–1.43 (m, 5H), 0.90 (dt, J = 73.7, 30.3 Hz, 4H); HRMS m/z calcd for C29H30N8O2 522.6130; found 523.4595 (M+H).
(S)-2-(Benzo[d][1,3]Dioxol-5-yl)-1-(2-((1-(Cyclopropanecarbonyl)Piperidin-3-yl)Amino)Pyrimidin-4-yl)-4,6-Dihydropyrrolo[3,4-d]Imidazole-5(1H)-Carboxamide (17c)
Compound 17c was obtained as a white solid by the same procedure as above. (47%); 1H NMR (400 MHz, MeOD): δ 8.28–8.11 (m, 1H), 6.92 (dt, J = 20.5, 4.7 Hz, 3H), 6.34–5.99 (m, 3H), 4.76 (s, 2H), 4.47 (s, 2H), 3.98 (ddd, J = 139.3, 60.2, 35.9 Hz, 3H), 2.14–1.45 (m, 7H), 0.92–0.68 (m, 4H); HRMS m/z calcd for C26H28N8O4 516.5620; found 517.4097 (M+H).
(S)-1-(2-((1-(Cyclopropanecarbonyl)Piperidin-3-yl)Amino)Pyrimidin-4-yl)-2-(2,3-Dihydrobenzofuran-5-yl)-4,6-Dihydropyrrolo[3,4-d]Imidazole-5(1H)-Carboxamide (17d)
Compound 17d was obtained as a white solid by the same procedure as above. (40%); 1H NMR (400 MHz, MeOD): δ 8.24–8.09 (m, 1H), 7.32 (s, 1H), 7.19 (d, J = 7.8 Hz, 1H), 6.78 (d, J = 8.1 Hz, 1H), 6.17 (d, J = 77.2 Hz, 1H), 4.77 (s, 2H), 4.61 (t, J = 8.8 Hz, 2H), 4.48 (d, J = 2.8 Hz, 2H), 4.26–3.52 (m, 3H), 3.23 (dd, J = 10.2, 8.0 Hz, 2H), 2.19–1.43 (m, 6H), 1.31 (dd, J = 12.7, 5.3 Hz, 1H), 0.81 (ddd, J = 94.9, 52.5, 36.9 Hz, 4H); HRMS m/z calcd for C27H30N8O3 514.5900; found 515.4652 (M+H).
(R)-1-(2-((1-(Cyclopropanecarbonyl)Pyrrolidin-3-yl)Amino)Pyrimidin-4-yl)-2-(3,4-Dichlorophenyl)-4,6-Dihydropyrrolo[3,4-d]Imidazole-5(1H)-Carboxamide (18a)
Compound 18a was obtained as a white solid by the same procedure as above. (21%); 1H NMR (400 MHz, MeOD): δ 8.29 (dd, J = 10.5, 5.3 Hz, 1H), 7.72 (t, J = 1.8 Hz, 1H), 7.61 (dd, J = 8.3, 2.0 Hz, 1H), 7.42–7.38 (m, 1H), 6.30 (s, 1H), 4.78 (d, J = 3.0 Hz, 2H), 4.50 (s, 2H), 3.90–3.42 (m, 4H), 2.30–1.71 (m, 4H), 0.87 (ddd, J = 10.2, 7.3, 3.4 Hz, 4H); HRMS m/z calcd for C24H24Cl2N8O2 527.4100; found 528.3486 (M+H).
(R)-1-(2-((1-(Cyclopropanecarbonyl)Pyrrolidin-3-yl)Amino)Pyrimidin-4-yl)-2-(Naphthalen-2-yl)-4,6-Dihydropyrrolo[3,4-d]Imidazole-5(1H)-Carboxamide (18b)
Compound 18b was obtained as a white solid by the same procedure as above. (37%); 1H NMR (400 MHz, MeOD): δ 8.26–8.12 (m, 1H), 8.06 (d, J = 3.9 Hz, 1H), 7.96–7.85 (m, 3H), 7.62–7.46 (m, 3H), 6.24 (s, 1H), 4.82 (d, J = 2.4 Hz, 2H), 4.53 (t, J = 3.0 Hz, 2H), 3.99–3.41 (m, 4H), 1.86 (dt, J = 102.9, 33.3 Hz, 4H), 0.96–0.70 (m, 4H); HRMS m/z calcd for C28H28N8O2 508.5860; found 509.4154 (M+H).
(R)-2-(Benzo[d][1,3]Dioxol-5-yl)-1-(2-((1-(Cyclopropanecarbonyl)Pyrrolidin-3-yl)Amino)Pyrimidin-4-yl)-4,6-Dihydropyrrolo[3,4-d]Imidazole-5(1H)-Carboxamide (18c)
Compound 18c was obtained as a white solid by the same procedure as above. (13%); 1H NMR (400 MHz, MeOD): δ 8.21 (dd, J = 11.0, 5.4 Hz, 1H), 6.97 (tt, J = 3.1, 1.4 Hz, 2H), 6.90 (d, J = 8.5 Hz, 1H), 6.18 (s, 1H), 6.04 (dd, J = 2.5, 1.3 Hz, 2H), 4.78 (s, 2H), 4.49 (d, J = 3.0 Hz, 2H), 3.93–3.39 (m, 5H), 2.40–1.73 (m, 3H), 0.87 (dddd, J = 12.5, 9.8, 5.8, 2.2 Hz, 4H); HRMS m/z calcd for C25H26N8O4 502.5350; found 503.4016 (M+H).
(R)-1-(2-((1-(Cyclopropanecarbonyl)Pyrrolidin-3-yl)Amino)Pyrimidin-4-yl)-2-(2,3-Dihydrobenzofuran-5-yl)-4,6-Dihydropyrrolo[3,4-d]Imidazole-5(1H)-Carboxamide (18d)
Compound 18d was obtained as a white solid by the same procedure as above. (40%); 1H NMR (400 MHz, MeOD): δ 8.17 (dd, J = 12.3, 5.4 Hz, 1H), 7.33 (dd, J = 5.0, 1.3 Hz, 1H), 7.19 (d, J = 8.3 Hz, 1H), 6.79 (dd, J = 8.3, 1.6 Hz, 1H), 6.13 (s, 1H), 4.77 (s, 2H), 4.61 (td, J = 8.8, 2.0 Hz, 2H), 4.48 (d, J = 2.8 Hz, 2H), 4.37 (s, 1H), 3.83 (dddd, J = 29.1, 23.2, 18.4, 16.3 Hz, 2H), 3.68–3.38 (m, 2H), 3.23 (t, J = 8.7 Hz, 2H), 2.36–1.95 (m, 2H), 1.87–1.71 (m, 1H), 0.97–0.76 (m, 4H); HRMS m/z calcd for C26H28N8O3 500.5630; found 501.4210 (M+H).
(S)-1-(2-((1-(Cyclopropanecarbonyl)Pyrrolidin-3-yl)Amino)Pyrimidin-4-yl)-2-(3,4-Dichlorophenyl)-4,6-Dihydropyrrolo[3,4-d]Imidazole-5(1H)-Carboxamide (19a)
Compound 19a was obtained as a white solid by the same procedure as above. (35%); 1H NMR (400 MHz, MeOD): δ 8.29 (dd, J = 10.6, 5.3 Hz, 1H), 7.72 (t, J = 1.8 Hz, 1H), 7.61 (dd, J = 8.3, 2.0 Hz, 1H), 7.42–7.37 (m, 1H), 6.31 (s, 1H), 4.77 (d, J = 2.9 Hz, 2H), 4.50 (s, 2H), 3.92–3.46 (m, 4H), 2.30–1.68 (m, 4H), 0.93–0.81 (m, 4H); HRMS m/z calcd for C24H24Cl2N8O2 527.4100; found 528.3846 (M+H).
(S)-1-(2-((1-(Cyclopropanecarbonyl)Pyrrolidin-3-yl)Amino)Pyrimidin-4-yl)-2-(3,4-Dichlorophenyl)-4,6-Dihydropyrrolo[3,4-d]Imidazole-5(1H)-Carboxamide (19b)
Compound 19b was obtained as a white solid by the same procedure as above. (27%); 1H NMR (400 MHz, MeOD): δ 8.25–8.13 (m, 1H), 8.09–8.04 (m, 1H), 7.97–7.86 (m, 3H), 7.64–7.47 (m, 3H), 6.24 (s, 1H), 4.82 (d, J = 2.4 Hz, 2H), 4.53 (t, J = 2.9 Hz, 2H), 3.91–3.40 (m, 4H), 2.14–1.50 (m, 4H), 0.93–0.76 (m, 4H); HRMS m/z calcd for C28H28N8O2 508.5860; found 509.4514 (M+H).
(S)-2-(Benzo[d][1,3]Dioxol-5-yl)-1-(2-((1-(Cyclopropanecarbonyl)Pyrrolidin-3-yl)Amino)Pyrimidin-4-yl)-4,6-Dihydropyrrolo[3,4-d]Imidazole-5(1H)-Carboxamide (19c)
Compound 19c was obtained as a white solid by the same procedure as above. (34%); 1H NMR (400 MHz, MeOD): δ 8.21 (dd, J = 11.0, 5.4 Hz, 1H), 7.01–6.95 (m, 2H), 6.90 (d, J = 8.5 Hz, 1H), 6.21 (d, J = 29.0 Hz, 1H), 6.07–6.02 (m, 2H), 4.78 (s, 2H), 4.48 (t, J = 3.0 Hz, 2H), 4.35 (s, 1H), 4.02–3.73 (m, 2H), 3.61–3.41 (m, 2H), 2.36–2.05 (m, 2H), 1.80 (dddd, J = 28.7, 12.7, 7.9, 4.7 Hz, 1H), 0.92–0.77 (m, 4H); HRMS m/z calcd for C25H26N8O4 502.5350; found 503.4160 (M+H).
(S)-1-(2-((1-(Cyclopropanecarbonyl)Pyrrolidin-3-yl)Amino)Pyrimidin-4-yl)-2-(2,3-Dihydrobenzofuran-5-yl)-4,6-Dihydropyrrolo[3,4-d]Imidazole-5(1H)-Carboxamide (19d)
Compound 19d was obtained as a white solid by the same procedure as above. (30%); 1H NMR (400 MHz, MeOD): δ 8.18 (dd, J = 12.2, 5.4 Hz, 1H), 7.34 (d, J = 3.8 Hz, 1H), 7.20 (d, J = 8.3 Hz, 1H), 6.79 (dd, J = 8.3, 1.6 Hz, 1H), 6.13 (s, 1H), 4.78 (s, 2H), 4.61 (td, J = 8.8, 2.0 Hz, 2H), 4.48 (s, 2H), 4.38 (s, 1H), 4.07–3.69 (m, 2H), 3.65–3.38 (m, 2H), 3.23 (t, J = 8.7 Hz, 2H), 2.36–1.95 (m, 2H), 1.79 (dddd, J = 29.6, 12.7, 7.9, 4.7 Hz, 1H), 0.96–0.77 (m, 4H); HRMS m/z calcd for C26H28N8O3 500.5630; found 501.2041 (M+H).
(S)-1-(2-((1-(Cyclobutanecarbonyl)Piperidin-3-yl)Amino)Pyrimidin-4-yl)-2-(3,4-Dichlorophenyl)-4,6-Dihydropyrrolo[3,4-d]Imidazole-5(1H)-Carboxamide (20a)
Compound 20a was obtained as a white solid by the same procedure as above. (24%); 1H NMR (400 MHz, MeOD): δ 8.40–8.22 (m, 1H), 7.71 (d, J = 15.5 Hz, 1H), 7.61 (dd, J = 8.3, 4.8 Hz, 1H), 7.43–7.35 (m, 1H), 6.39 (d, J = 97.2 Hz, 1H), 4.81 (s, 2H), 4.50 (dd, J = 12.3, 2.9 Hz, 2H), 3.68 (s, 1H), 3.53–3.39 (m, 1H), 3.03 (d, J = 16.4 Hz, 1H), 2.91 (dd, J = 18.5, 8.5 Hz, 1H), 2.42–2.17 (m, 4H), 2.12–1.98 (m, 2H), 1.91–1.71 (m, 3H), 1.66–1.41 (m, 3H).; HRMS m/z calcd for C26H28Cl2N8O2 555.4640; found 556.4531 (M+H).
(S)-2-(Benzo[d][1,3]Dioxol-5-yl)-1-(2-((1-(Cyclobutanecarbonyl)Piperidin-3-yl)Amino)Pyrimidin-4-yl)-4,6-Dihydropyrrolo[3,4-d]Imidazole-5(1H)-Carboxamide (20c)
Compound 20c was obtained as a white solid by the same procedure as above. (29%); 1H NMR (400 MHz, MeOD): δ 8.28–8.14 (m, 1H), 7.03–6.83 (m, 3H), 6.20 (d, J = 61.5 Hz, 3H), 4.80 (s, 2H), 4.48 (s, 2H), 4.06 (d, J = 81.6 Hz, 2H), 3.13–3.02 (m, 1H), 2.94 (s, 1H), 2.15–1.43 (m, 12H); HRMS m/z calcd for C27H30N8O4 530.5890; found 531.2490 (M+H).
(S)-1-(2-((1-(Cyclopentanecarbonyl)Piperidin-3-yl)Amino)Pyrimidin-4-yl)-2-(3,4-Dichlorophenyl)-4,6-Dihydropyrrolo[3,4-d]Imidazole-5(1H)-Carboxamide (21a)
Compound 21a was obtained as a white solid by the same procedure as above. (68%); 1H NMR (400 MHz, MeOD): δ 8.38–8.24 (m, 1H), 7.71 (d, J = 10.9 Hz, 1H), 7.60 (d, J = 8.3 Hz, 1H), 7.42–7.34 (m, 1H), 6.36 (d, J = 86.1 Hz, 1H), 4.82 (s, 2H), 4.52 (d, J = 9.3 Hz, 2H), 4.21 (s, 1H), 3.97 (d, J = 35.3 Hz, 1H), 3.26–3.04 (m, 2H), 2.87 (s, 2H), 2.06–1.56 (m, 12H); HRMS m/z calcd for C27H30Cl2N8O2 569.4910; found 570.3722 (M+H).
3.1.16. General Synthesis of (S)-(1-(2-((1-(Cyclopropanecarbonyl)piperidin-3-yl)amino)pyrimidin-4-yl)-2-(3,4-dichlorophenyl)-4,6-dihydropyrrolo[3,4-d]Imidazol-5(1H)-yl)(4-hydroxypiperidin-1-yl)methanone (22a)
Compound 11a (0.05 mol) was dissolved in 0.5 mL of 1,4-dioxane, and 0.25 mL of 4 M HCl in 1,4-dioxane was added. The mixture was stirred at ambient temperature for 1 h 30 min. After concentrating 1,4-dioxane in vacuo, compound 16 was obtained. Compound 16 (0.044 mmol) was dissolved in 0.44 mL of 1,4-dioxane and treated with 4-nitrophenyl chloroformate (0.044 mmol) and dimethylformamide (0.22 mL) and stirred at ambient temperature for 1 h. 4-Piperidinol (0.22 mmol) was added and stirred at ambient temperature for 48 h. We concentrated the 1,4-dioxane in vacuo, extracted with ethyl acetate, and washed with water and brine. Drying over anhydrous magnesium sulfate, the solvent was concentrated in vacuo and the product purified using column chromatography on silica gel using a mobile phase of MC: MeOH (10: 1) to afford compound 22a as a white solid. (16%); 1H NMR (400 MHz, MeOD): δ 8.27 (dd, J = 17.3, 5.0 Hz, 1H), 7.70 (d, J = 1.9 Hz, 1H), 7.60 (d, J = 8.2 Hz, 1H), 7.38 (s, 1H), 6.29 (s, 1H), 4.95 (s, 2H), 4.58 (t, J = 11.4 Hz, 2H), 4.35 (s, 1H), 4.10 (dd, J = 14.3, 7.1 Hz, 1H), 3.82 (ddd, J = 12.9, 8.6, 3.9 Hz, 1H), 3.71 (d, J = 13.7 Hz, 2H), 3.45 (d, J = 28.8 Hz, 1H), 3.00 (dd, J = 66.0, 53.2 Hz, 4H), 1.90 (dd, J = 42.4, 32.4 Hz, 5H), 1.55 (td, J = 12.9, 3.6 Hz, 4H), 0.83 (dd, J = 32.6, 25.9 Hz, 4H); HRMS m/z calcd for C30H34Cl2N8O3 625.5550; found 626.4741 (M+H).
3.2. Molecular Modeling
Compounds were docked into the JNK3 structure (PDB: 3OY1). Protein and ligand preparations were performed with the Schrödinger Maestro program (New York, NY, USA) with standard settings, and Glide was used for docking and scoring. The 3D X-ray protein structures of JNK3 as a complex with a ligand were obtained from the PDB (code: 3OY1) and prepared using the Protein Preparation Wizard of the Schrödinger Maestro program. All water molecules were removed from the structure, and it was selected as a template. The structures of inhibitors were drawn using ChemDraw (Seoul, Korea), and their 3D conformations were generated using the Schrödinger LigPrep program with the OPLS 2005 force field (New York, NY, USA). Molecular dockings of compounds into the structure of JNK3 (PDB code: 3OY1) were carried out using Schrodinger Glide (Version 12.2).
3.3. Evaluation of IC50 Values and Selected Kinase Profiling
We used Reaction Biology Corp.’s Kinase HotSpotSM service (www.reactionbiology.com) for IC50 determination of all compounds and kinase profiles. Assay protocol: in a final reaction volume of 25 μL, ATF, 5 μM, ATP 10 μM, and JNK3 (h) (5–10 mU) were incubated with 25 mM Tris (pH 7.5), 0.02 mM EGTA, 0.66 mg/mL myelin basic protein, 10 mM Mg acetate, and [γ-33P-ATP] (specific activity approx. 500 cpm/pmol, concentration as required). The reaction was initiated by the addition of the Mg-ATP mix. After incubation for 40 min at room temperature, the reaction was stopped by the addition of 5 μL of a 3% phosphoric acid solution. Then, 10 μL of the reaction was spotted onto a P30 filtermat and washed three times for 5 min in 75 mM phosphoric acid and once in methanol prior to drying and scintillation counting.
4. Conclusions
We successfully synthesized 1-pyrimidinyl-2-aryl-4,6-dihydropyrrolo[3,4-d]imidazole-5(1H)-carboxamide derivatives that were designed as novel JNK3 inhibitors with better inhibitory activity than the previous lead in an effort to maintain the main interactions identified through the previous docking study [14]. Sixteen compounds were synthesized and measured for their enzyme activity against JNK3. In particular, compounds 17a, 18a, 17b, and 18b showed competitive activities against JNK3 with IC50 values of 10.4 nM, 2.69 nM, 4.81 nM, and 4.52 nM, respectively. Compound 18a was, indeed, a selective JNK3 inhibitor with an excellent selectivity profile, especially compared to its activity against similar protein kinases such as p38α, Erk, and JNK1. We believe that this novel scaffold of 1-pyrimidinyl-2-aryl-4,6-dihydropyrrolo[3,4-d]imidazole-5(1H)-carboxamide derivatives will be highly useful in the development of JNK3-selective inhibitors as therapeutic agents for neurodegenerative diseases.
Author Contributions
Conceptualization, J.-M.H.; methodology, M.J., Y.O., S.Y., H.M., D.I. and J.-M.H.; software, H.C.; writing—original draft preparation, M.J., and J.-M.H.; writing—review and editing, J.-M.H.; funding acquisition, J.-M.H. All authors have read and agreed to the published version of the manuscript.
Funding
This work was financially supported by a National Research Foundation of Korea grant (NRF-2017R1A2B4006447 and NRF-2019M3A9A8066500; J.-M.H.).
Conflicts of Interest
The authors declare no conflict of interest.
References
- Ahn, J.-H.; So, S.-P.; Kim, N.-Y.; Kim, H.-J.; Yoon, S.-Y.; Kim, D.-H. c-Jun N-terminal Kinase (JNK) induces phosphorylation of amyloid precursor protein (APP) at Thr668, in okadaic acid-induced neurodegeneration. BMB Rep. 2016, 49, 376–381. [Google Scholar] [CrossRef]
- Yarza, R.; Vela, S.; Solas, M.; Ramirez, M.J. c-Jun N-terminal Kinase (JNK) Signaling as a Therapeutic Target for Alzheimer’s Disease. Front. Pharmacol. 2016, 6, 321. [Google Scholar]
- Yamasaki, T.; Kawasaki, H.; Nishina, H. Diverse Roles of JNK and MKK Pathways in the Brain. J. Signal Transduct. 2012, 2012, 1–9. [Google Scholar] [CrossRef] [PubMed]
- Spencer, J.P.E. The interactions of flavonoids within neuronal signalling pathways. Genes Nutr. 2007, 2, 257–273. [Google Scholar] [PubMed]
- Bogoyevitch, M.A.; Ngoei, K.R.; Zhao, T.T.; Yeap, Y.Y.C.; Ng, D.C.H. c-Jun N-terminal kinase (JNK) signaling: Recent advances and challenges. Biochim. Biophys. Acta 2010, 1804, 463–475. [Google Scholar] [CrossRef] [PubMed]
- Chambers, J.W.; Pachori, A.; Howard, S.; Iqbal, S.; LoGrasso, P.V. Inhibition of JNK mitochondrial localization and signaling is protective against ischemia/reperfusion injury in rats. J. Biol. Chem. 2013, 288, 4000–4011. [Google Scholar] [CrossRef] [PubMed]
- Haeusgen, W.; Boehm, R.; Zhao, Y.; Herdegen, T.; Waetzig, V. Specific activities of individual c-Jun N-terminal kinases in the brain. Neuroscience 2009, 161, 951–959. [Google Scholar] [CrossRef]
- LoGrasso, P.; Kamenecka, T. Inhibitors of c-jun-N-terminal kinase (JNK). Mini-Rev. Med. Chem. 2008, 8, 755–766. [Google Scholar] [CrossRef]
- Kyriakis, J.M.; Banerjee, P.; Nikolakaki, E.; Dai, T.; Rubie, E.A. The stress-activated protein kinase subfamily of c-Jun kinases. Nature 1994, 369, 156–160. [Google Scholar] [CrossRef]
- Kim, E.K.; Choi, E.J. Pathological roles of MAPK signaling pathways in human diseases. Biochim. Biophys. Acta Mol. Basis Dis. 2010, 1802, 396–405. [Google Scholar] [CrossRef]
- Salh, B. c-Jun N-terminal kinases as potential therapeutic targets. Expert Opin. Ther. Targets 2007, 11, 1339–1353. [Google Scholar] [CrossRef] [PubMed]
- Mazzitelli, S.; Xu, P.; Ferrer, I.; Davis, R.J.; Tournier, C. The Loss of c-Jun N-Terminal Protein Kinase Activity Prevents the Amyloidogenic Cleavage of Amyloid Precursor Protein and the Formation of Amyloid Plaques In Vivo. J. Neurosci. 2011, 31, 16969–16976. [Google Scholar] [CrossRef] [PubMed]
- Yoon, S.O.; Park, D.J.; Ryu, J.C.; Ozer, H.G.; Tep, C.; Shin, Y.J.; Lim, T.H.; Pastorino, L.; Kunwar, A.J.; Walton, J.C.; et al. JNK3 perpetuates metabolic stress induced by Abeta peptides. Neuron 2012, 75, 824–837. [Google Scholar] [CrossRef]
- Yoshida, H.; Hastie, C.J.; McLauchlan, H.; Cohen, P.; Goedert, M. Phosphorylation of microtubule-associated protein tau by isoforms of c-Jun N-terminal kinase (JNK). J. Neurochem. 2004, 90, 352–358. [Google Scholar] [CrossRef] [PubMed]
- Kim, M.; Lee, J.; Hah, J.M.; Kim, M.; Park, Y.-J.; Ahn, H.; Kwon, Y.H.; Hah, J.-M. Syntheses and biological evaluation of 1-heteroaryl-2-aryl-1 H -benzimidazole derivatives as c-Jun N-terminal kinase inhibitors with neuroprotective effects. Bioorganic Med. Chem. 2013, 21, 2271–2285. [Google Scholar] [CrossRef]
- Vivanco, I.; Palaskas, N.; Tran, C.; Finn, S.P.; Getz, G.; Kennedy, N.J.; Jiao, J.; Rose, J.; Xie, W.; Loda, M.; et al. Identification of the JNK Signaling Pathway as a Functional Target of the Tumor Suppressor PTEN. Cancer Cell 2007, 11, 555–569. [Google Scholar] [CrossRef]
- Szczepankiewicz, B.G.; Kosogof, C.; Nelson, L.T.J.; Liu, G.; Liu, B.; Zhao, H.; Serby, M.D.; Xin, Z.; Liu, M.; Gum, R.J.; et al. Aminopyridine-based c-Jun N-terminal kinase inhibitors with cellular activity and minimal cross-kinase activity. J. Med. Chem. 2006, 49, 3563–3580. [Google Scholar] [CrossRef]
- Linkermann, A.; Green, D.R. Necroptosis. N. Engl. J. Med. 2014, 370, 455–465. [Google Scholar] [CrossRef]
- Vandenabeele, P.; Galluzzi, L.; Vanden Berghe, T.; Kroemer, G. Molecular mechanisms of necroptosis: An ordered cellular explosion. Nat. Rev. Mol. Cell Biol. 2010, 11, 700–714. [Google Scholar] [CrossRef]
- Jha, N.K.; Jha, S.K.; Kar, R.; Nand, P.; Swati, K.; Goswami, V.K. Nuclear factor-kappa β as a therapeutic target for Alzheimer’s disease. J. Neurochem. 2019, 150, 113–137. [Google Scholar] [CrossRef]
- Caccamo, A.; Branca, C.; Piras, I.S.; Ferreira, E. Necroptosis activation in Alzheimer’s disease. Nat. Neurosci. 2017, 20, 1236–1246. [Google Scholar] [CrossRef] [PubMed]
- TurabNaqvi, A.A.; Hasan, G.M.; Hassan, M.I. Targeting tau hyperphosphorylation via kinase inhibition- Strategy to address Alzheimers’ disease. Curr. Top. Med. Chem. 2020, 20. [Google Scholar] [CrossRef] [PubMed]
- Das, T.K.; Jana, P.; Chakrabarti, S.K.; Abdul Hamid, M.R.W. Curcumin Downregulates GSK3 and Cdk5 in Scopolamine-Induced Alzheimer’s Disease Rats Abrogating Aβ40/42 and Tau Hyperphosphorylation. J. Alzheimer’s Dis. Rep. 2019, 3, 257–267. [Google Scholar] [CrossRef] [PubMed]
- Reaction Biology Corp. Kinase HotSpotSM service was used for screening of 18a. Available online: www.reactionbiology.com (accessed on 3 December 2019).
© 2020 by the authors. Licensee MDPI, Basel, Switzerland. This article is an open access article distributed under the terms and conditions of the Creative Commons Attribution (CC BY) license (http://creativecommons.org/licenses/by/4.0/).








