Genetic Base of Behavioral Disorders in Mucopolysaccharidoses: Transcriptomic Studies
Abstract
1. Introduction
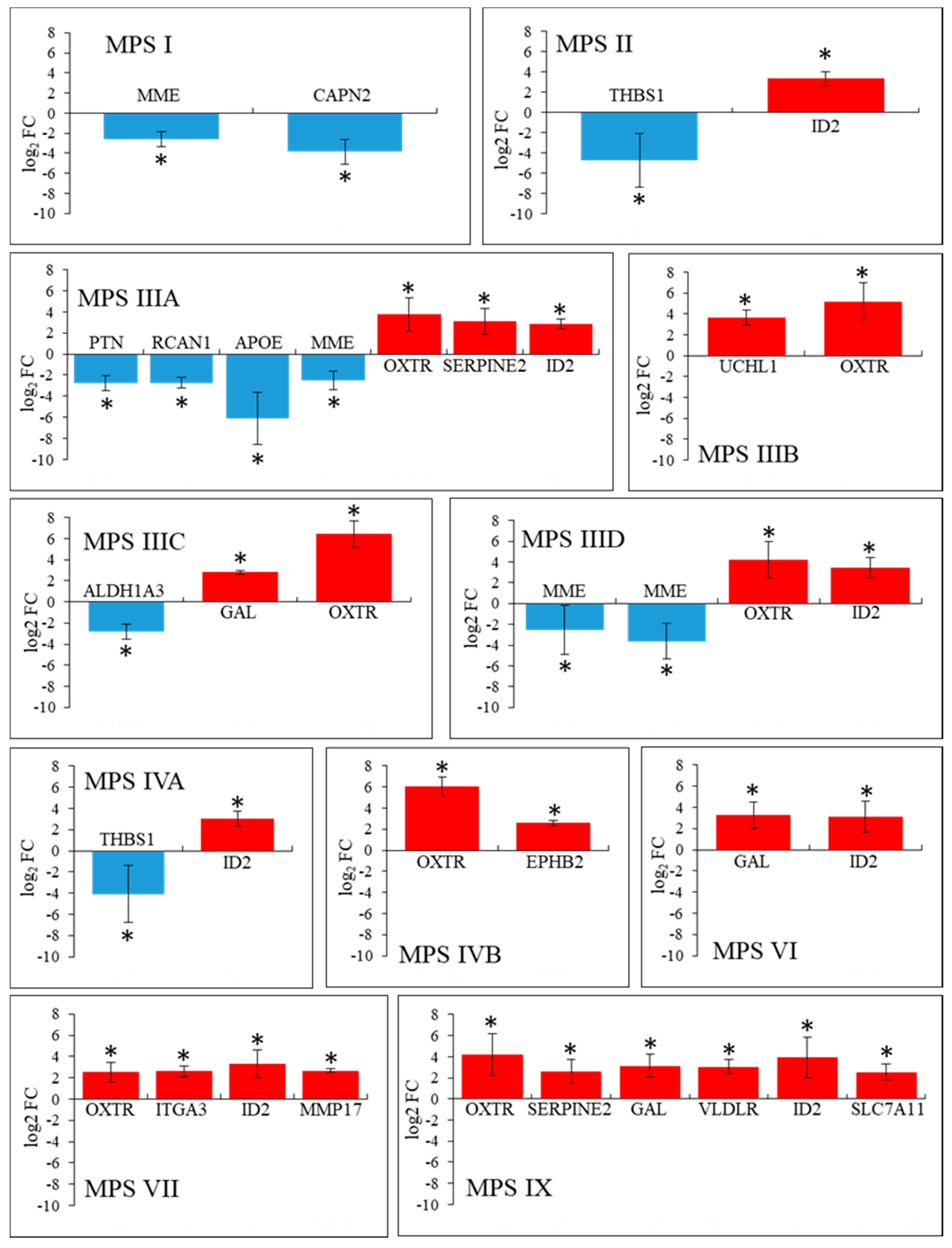
2. Results
3. Discussion
4. Materials and Methods
4.1. Cell Lines
4.2. RNA Isolation and Purification
4.3. RNA-seq Analysis
4.4. RT-qPCR Analysis
Author Contributions
Funding
Acknowledgments
Conflicts of Interest
Abbreviations
| DMEM | Dulbecco’s Modifies Eagle Medium |
| FC | Fold change |
| FDR | False discovery rate |
| FPKM | Fragments Per Kilobase Million |
| GAG | Glycosaminoglycan |
| HS | Heparan sulfate |
| LSD | Lysosomal storage diseases |
| MPS | Mucopolysaccharidosis |
| RT-qPCR | Reverse transcription quantitative polymerase chain reaction |
References
- Sun, A. Lysosomal storage disease overview. Ann. Transl. Med. 2018, 6, 476. [Google Scholar] [CrossRef] [PubMed]
- Tomatsu, S.; Lavery, C.; Giugliani, R.; Harmatz, P.; Scarpa, M.; Wegrzyn, G.; Orii, T. Mucopolysaccharidoses Update; Nova Science Publishers: Hauppauge, NY, USA, 2018. [Google Scholar]
- Lamanna, W.C.; Lawrence, R.; Sarrazin, S.; Esko, J.D. Secondary storage of dermatan sulfate in Sanfilippo disease. J. Biol. Chem. 2011, 286, 6955–6962. [Google Scholar] [CrossRef] [PubMed]
- Kobayashi, H. Recent trends in mucopolysaccharidosis research. J. Hum. Genet. 2019, 64, 127–137. [Google Scholar] [CrossRef] [PubMed]
- Montaño, A.M.; Lock-Hock, N.; Steiner, R.D.; Graham, B.H.; Szlago, M.; Greenstein, R.; Pineda, M.; Gonzalez-Meneses, A.; Çoker, M.; Bartholomew, D.; et al. Clinical course of sly syndrome (mucopolysaccharidosis type VII). J. Med. Genet. 2016, 53, 403–418. [Google Scholar] [CrossRef]
- Shapiro, E.G.; Escolar, M.L.; Delaney, K.A.; Mitchell, J.J. Assessments of neurocognitive and behavioral function in the mucopolysaccharidoses. Mol. Genet. Metab. 2017, 122S, 8–16. [Google Scholar] [CrossRef]
- Shapiro, E.G.; Jones, S.A.; Escolar, M.L. Developmental and behavioral aspects of mucopolysaccharidoses with brain manifestations—Neurological signs and symptoms. Mol. Genet. Metab. 2017, 122, 1–7. [Google Scholar] [CrossRef]
- Van der Lee, J.H.; Morton, J.; Adams, H.R.; Clarke, L.; Ebbink, B.J.; Escolar, M.L.; Giugliani, R.; Harmatz, P.; Hogan, M.; Jones, S.; et al. Cognitive endpoints for therapy development for neuronopathic mucopolysaccharidoses: Results of a consensus procedure. Mol. Genet. Metab. 2017, 121, 70–79. [Google Scholar] [CrossRef]
- Barone, R.; Pellico, A.; Pittalà, A.; Gasperini, S. Neurobehavioral phenotypes of neuronopathic mucopolysaccharidoses. Ital. J. Pediatrics 2018, 44, 121. [Google Scholar] [CrossRef]
- Bigger, B.W.; Begley, D.J.; Virgintino, D.; Pshezhetsky, A.V. Anatomical changes and pathophysiology of the brain in mucopolysaccharidosis disorders. Mol. Genet. Metab. 2018, 125, 322–331. [Google Scholar] [CrossRef]
- Escolar, M.L.; Jones, S.A.; Shapiro, E.G.; Horovitz, D.D.G.; Lampe, C.; Amartino, H. Practical management of behavioral problems in mucopolysaccharidoses. Disord. Mol. Genet. Metab. 2017, 122, 35–40. [Google Scholar] [CrossRef]
- Węgrzyn, G.; Jakóbkiewicz-Banecka, J.; Narajczyk, M.; Wiśniewski, A.; Piotrowska, E.; Gabig-Cimińska, M.; Kloska, A.; Słomińska-Wojewódzka, M.; Korzon-Burakowska, A.; Węgrzyn, A. Why are behaviors of children suffering from various neuronopathic types of mucopolysaccharidoses different? Med. Hypotheses 2010, 75, 605–609. [Google Scholar] [CrossRef] [PubMed]
- Fedele, A.O. Sanfilippo syndrome: Causes, consequences, and treatments. Appl. Clin. Genet. 2015, 25, 269–281. [Google Scholar] [CrossRef] [PubMed]
- Jakobkiewicz-Banecka, J.; Gabig-Ciminska, M.; Kloska, A.; Malinowska, M.; Piotrowska, E.; Banecka-Majkutewicz, Z.; Banecki, B.; Wegrzyn, A.; Wegrzyn, G. Glycosaminoglycans and mucopolysaccharidosis type III. Front. Biosci. (Landmark Ed.). 2016, 1, 1393–1409. [Google Scholar] [CrossRef]
- Gaffke, L.; Pierzynowska, K.; Piotrowska, E.; Węgrzyn, G. How close are we to therapies for Sanfilippo disease? Metab. Brain Dis. 2018, 33, 1–10. [Google Scholar] [CrossRef]
- Harmatz, P.; Shediac, R. Mucopolysaccharidosis VI: Pathophysiology, diagnosis and treatment. Front. Biosci. (Landmark Ed.) 2017, 1, 385–406. [Google Scholar] [CrossRef]
- Callahan, J.W. Molecular basis of GM1 gangliosidosis and Morquio disease, type B. Structure-function studies of lysosomal beta-galactosidase and the non-lysosomal beta-galactosidase-like protein. Biochim. Biophys. Acta 1999, 1455, 85–103. [Google Scholar] [CrossRef]
- Natowicz, M.R.; Short, M.P.; Wang, Y.; Dickersin, G.R.; Gebhardt, M.C.; Rosenthal, D.I.; Sims, K.B.; Rosenberg, A.E. Clinical and biochemical manifestations of hyaluronidase deficiency. N. Engl. J. Med. 1996, 335, 1029–1033. [Google Scholar] [CrossRef]
- Parente, M.K.; Rozen, R.; Seeholzer, S.H.; Wolfe, J.H. Integrated analysis of proteome and transcriptome changes in the mucopolysaccharidosis type VII mouse hippocampus. Mol. Genet. Metab. 2016, 118, 41–54. [Google Scholar] [CrossRef]
- Tops, S.; Habel, U.; Radke, S. Genetic and epigenetic regulatory mechanisms of the oxytocin receptor gene (OXTR) and the (clinical) implications for social behavior. Horm. Behav. 2019, 108, 84–93. [Google Scholar] [CrossRef]
- Wijburg, F.A.; Węgrzyn, G.; Burton, B.K.; Tylki-Szymańska, A. Mucopolysaccharidosis type III (Sanfilippo syndrome) and misdiagnosis of idiopathic developmental delay, attention deficit/hyperactivity disorder or autism spectrum disorder. Acta Paediatr. 2013, 102, 462–470. [Google Scholar] [CrossRef]
- McGrath, J.A. Recently Identified Forms of Epidermolysis Bullosa. Ann. Dermatol. 2015, 6, 658–666. [Google Scholar] [CrossRef] [PubMed]
- Hamill, K.J.; McLean, W.H. The alpha-3 polypeptide chain of laminin 5: Insight into wound healing responses from the study of genodermatoses. Clin. Exp. Dermatol. 2005, 30, 398–404. [Google Scholar] [CrossRef] [PubMed]
- Wright, C.; Shin, J.H.; Rajpurohit, A.; Deep-Soboslay, A.; Collado-Torres, L.; Brandon, N.J.; Hyde, T.M.; Kleinman, J.E.; Jaffe, A.E.; Cross, A.J.; et al. Altered expression of histamine signaling genes in autism spectrum disorder. Transl. Psychiatry 2017, 7, 1126. [Google Scholar] [CrossRef]
- Bartkowska, K.; Tepper, B.; Turlejski, K.; Djavadian, R.L. Roles of the exon junction complex components in the central nervous system: A mini review. Rev. Neurosci. 2018, 29, 817–824. [Google Scholar] [CrossRef] [PubMed]
- McMahon, J.J.; Miller, E.E.; Silver, D.L. The exon junction complex in neural development and neurodevelopmental disease. Int. J. Dev. Neurosci. 2016, 55, 117–123. [Google Scholar] [CrossRef] [PubMed]
- Chen, X.S.; Zhang, Y.H.; Cai, Q.Y.; Yao, Z.X. ID2: A negative transcription factor regulating oligodendroglia differentiation. J. Neurosci. Res. 2012, 90, 925–932. [Google Scholar] [CrossRef]
- Park, H.R.; Jung, W.W.; Kim, H.S.; Santini-Araujo, E.; Kalil, R.K.; Bacchini, P.; Bertoni, F.; Unni, K.K.; Park, Y.K. Upregulation of the oncogenic helix-loop-helix protein Id2 in Ewing sarcoma. Tumori 2006, 92, 236–240. [Google Scholar] [CrossRef]
- Worley, P.F.; Zeng, W.; Huang, G.; Kim, J.Y.; Shin, D.M.; Kim, M.S.; Yuan, J.P.; Kiselyov, K.; Muallem, S. Homer proteins in Ca2+ signaling by excitable and non-excitable cells. Cell Calcium 2007, 42, 363–371. [Google Scholar] [CrossRef]
- Lee, K.M.; Coelho, M.A.; Sern, K.R.; Szumlinski, K.K. Homer2 within the central nucleus of the amygdala modulates withdrawal-induced anxiety in a mouse model of binge-drinking. Neuropharmacology 2018, 128, 448–459. [Google Scholar] [CrossRef]
- Wilkinson, F.L.; Holley, R.J.; Langford-Smith, K.J.; Badrinath, S.; Liao, A.; Langford-Smith, A.; Cooper, J.D.; Jones, S.A.; Wraith, J.E.; Wynn, R.F.; et al. Neuropathology in mouse models of mucopolysaccharidosis type I, IIIA and IIIB. PLoS ONE 2012, 7, e35787. [Google Scholar] [CrossRef]
- Shiraishi-Yamaguchi, Y.; Furuichi, T. The Homer family proteins. Genome Biol. 2007, 8, 206. [Google Scholar] [CrossRef] [PubMed]
- Li, L.; Dong, M.; Wang, X.G. The implication and significance of beta 2 microglobulin: A conservative multifunctional regulator. Chin. Med. J. (Engl.) 2016, 129, 448–455. [Google Scholar] [CrossRef] [PubMed]
- Chen, Y.; Huang, L.; Qi, X.; Chen, C. Insulin Receptor Trafficking: Consequences for Insulin Sensitivity and Diabetes. Int. J. Mol. Sci. 2019, 20, 5007. [Google Scholar] [CrossRef] [PubMed]
- Tanokashira, D.; Fukuokaya, W.; Taguchi, A. Involvement of insulin receptor substrates in cognitive impairment and Alzheimer’s disease. Neural Regen. Res. 2019, 14, 1330–1334. [Google Scholar] [CrossRef] [PubMed]
- Pareyson, D.; Saveri, P.; Pisciotta, C. New developments in Charcot-Marie-Tooth neuropathy and related diseases. Curr. Opin. Neurol. 2017, 30, 471–480. [Google Scholar] [CrossRef] [PubMed]
- Wang, Y.; Bi, X.; Baudry, M. Calpain-2 as a therapeutic target for acute neuronal injury. Expert Opin. Ther. Targets 2018, 22, 19–29. [Google Scholar] [CrossRef]
- Foulsham, W.; Dohlman, T.H.; Mittal, S.K.; Taketani, Y.; Singh, R.B.; Masli, S.; Dana, R. Thrombospondin-1 in ocular surface health and disease. Ocul. Surf. 2019, 17, 374–383. [Google Scholar] [CrossRef]
- Papadimitriou, E.; Pantazaka, E.; Castana, P.; Tsalios, T.; Polyzos, A.; Beis, D. Pleiotrophin and its receptor protein tyrosine phosphatase beta/zeta as regulators of angiogenesis and cancer. Biochim. Biophys. Acta 2016, 1866, 252–265. [Google Scholar] [CrossRef]
- Peiris, H.; Keating, D.J. The neuronal and endocrine roles of RCAN1 in health and disease. Clin. Exp. Pharmacol. Physiol. 2018, 45, 377–383. [Google Scholar] [CrossRef]
- Marais, A.D. Apolipoprotein E in lipoprotein metabolism, health and cardiovascular disease. Pathology 2019, 51, 165–176. [Google Scholar] [CrossRef]
- Monard, D. SERPINE2/Protease Nexin-1 in vivo multiple functions: Does the puzzle make sense? Semin. Cell Dev. Biol. 2017, 62, 160–169. [Google Scholar] [CrossRef] [PubMed]
- Fang, Y.; Shen, X. Ubiquitin carboxyl-terminal hydrolases: Involvement in cancer progression and clinical implications. Cancer Metastasis Rev. 2017, 36, 669–682. [Google Scholar] [CrossRef] [PubMed]
- Bishop, P.; Rocca, D.; Henley, J.M. Ubiquitin C-terminal hydrolase L1 (UCH-L1): Structure, distribution and roles in brain function and dysfunction. Biochem. J. 2016, 473, 2453–2462. [Google Scholar] [CrossRef] [PubMed]
- Bifsha, P.; Landry, K.; Ashmarina, L.; Durand, S.; Seyrantepe, V.; Trudel, S.; Quiniou, C.; Chemtob, S.; Xu, Y.; Gravel, R.A.; et al. Altered gene expression in cells from patients with lysosomal storage disorders suggests impairment of the ubiquitin pathway. Cell Death Differ. 2007, 14, 511–523. [Google Scholar] [CrossRef][Green Version]
- Duan, J.J.; Cai, J.; Guo, Y.F.; Bian, X.W.; Yu, S.C. ALDH1A3, a metabolic target for cancer diagnosis and therapy. Int. J. Cancer 2016, 139, 965–975. [Google Scholar] [CrossRef]
- Vassalli, G. Aldehyde Dehydrogenases: Not Just Markers, but Functional Regulators of Stem Cells. Stem Cells Int. 2019, 2019, 3904645. [Google Scholar] [CrossRef]
- Genders, S.G.; Scheller, K.J.; Djouma, E. Neuropeptide modulation of addiction: Focus on galanin. Neurosci. Biobehav. Rev. 2018. [Google Scholar] [CrossRef]
- Pozniak, P.D.; White, M.K.; Khalili, K. TNF-α/NF-κB signaling in the CNS: Possible connection to EPHB2. J. Neuroimmune Pharmacol. 2014, 9, 133–141. [Google Scholar] [CrossRef]
- Dlugosz, P.; Nimpf, J. The Reelin Receptors Apolipoprotein E receptor 2 (ApoER2) and VLDL Receptor. Int. J. Mol. Sci. 2018, 19, 3090. [Google Scholar] [CrossRef]
- Koppula, P.; Zhang, Y.; Zhuang, L.; Gan, B. Amino acid transporter SLC7A11/xCT at the crossroads of regulating redox homeostasis and nutrient dependency of cancer. Cancer Commun. (Lond.) 2018, 38, 12. [Google Scholar] [CrossRef]
- Swaroop, M.; Brooks, M.J.; Gieser, L.; Swaroop, A.; Zheng, W. Patient iPSC-derived neural stem cells exhibit phenotypes in concordance with the clinical severity of mucopolysaccharidosis I. Hum. Mol. Genet. 2018, 27, 3612–3626. [Google Scholar] [CrossRef] [PubMed]
- Salvalaio, M.; D′Avanzo, F.; Rigon, L.; Zanetti, A.; D′Angelo, M.; Valle, G.; Scarpa, M.; Tomanin, R. Brain RNA-seq profiling of the mucopolysaccharidosis type II mouse model. Int. J. Mol. Sci. 2017, 18, 1072. [Google Scholar] [CrossRef] [PubMed]
- Parente, M.K.; Rozen, R.; Cearley, C.N.; Wolfe, J.H. Dysregulation of gene expression in a lysosomal storage disease varies between brain regions implicating unexpected mechanisms of neuropathology. PLoS ONE 2012, 7, e32419. [Google Scholar] [CrossRef] [PubMed]
- Jędrak, P.; Mozolewski, P.; Węgrzyn, G.; Więckowski, M.R. Mitochondrial alterations accompanied by oxidative stress conditions in skin fibroblasts of Huntington’s disease patients. Metab. Brain Dis. 2018, 33, 2005–2017. [Google Scholar] [CrossRef] [PubMed]
- Pierzynowska, K.; Gaffke, L.; Cyske, Z.; Wegrzyn, G. Genistein induces degradation of mutant huntingtin in fibroblasts from Huntington’s disease patients. Metab. Brain Dis. 2019, 34, 715–720. [Google Scholar] [CrossRef] [PubMed]








| MPS Type | Stored GAG(s) | Behavioral Symptoms |
|---|---|---|
| MPS I | Heparan sulfate, Dermatan sulfate | Cognitive decline (in some patients), fearful behavior, attention problems, low self-esteem, depression, social withdrawal |
| MPS II | Heparan sulfate, Dermatan sulfate | Cognitive decline (in most patients), hyperactivity, challenging behaviors, frustration, impulsivity, perseverative chewing behavior, seizure-like behavior, staring, myoclonus episodes, seizures, sleeping problems (reduced rapid eye movement sleep, night-time wakening, difficulty settling, insomnia), depression, social withdrawal |
| MPS III A,B,C,D | Heparan sulfate (less efficient secondary storage of dermatan sulfate) | Hyperactivity, expression of frustration, aggressive-like behavior, decreased attention, intellectual decline, autistic-like behaviors, primarily social and emotional abnormalities, reduced fear, sleep disturbances (daytime sleepiness, difficulties settling, night-time and early morning wakening, insomnia, laughing and singing during the night), disturbances in the circadian rhythm |
| MPS IV A,B | Keratan sulfate, Chondroitin sulfate | None |
| MPS VI | Dermatan sulfate | None |
| MPS VII | Heparan sulfate, Dermatan sulfate, Chondroitin sulfate | Mental retardation |
| MPS IX | Hyaluronic acid | None a |
| Cell Line | Race * | Sex * | Age *# | Mutated Gene and Its Locus * | Mutation * | Catalog Number * |
|---|---|---|---|---|---|---|
| MPS I | Caucasian | Female | 1 | IDUA, 4p16.3 | Homozygote p.Trp402Ter/p.Trp402Ter | GM00798 |
| MPS II | Caucasian (ethnicity: Haitian) | Male | 3 | IDS, Xp28 | Hemizygote p.His70ProfsTer29 | GM13203 |
| MPS IIIA | Caucasian | Female | 3 | SGSH, 17q25.3 | Complex heterozygote p.Glu447Lys/p.Arg245His | GM00879 |
| MPS IIIB | Caucasian | Male | 7 | NAGLU, 17q21 | Homozygote p.Arg626Ter/p.Arg626Ter | GM00156 |
| MPS IIIC | Unknown | Male | 8 | HGSNAT, 8p11.1 | Not determined | GM05157 |
| MPS IIID | Asian Indian | Male | 7 | GNS, 12q14 | Homozygote p.Arg355Ter/p.Arg355Ter | GM05093 |
| MPS IVA | Caucasian (ethnicity: Mexican) | Female | 7 | GALNS, 16q24.3 | Not determined | GM00593 |
| MPS IVB | Caucasian | Female | 4 | GLB1, 3p22.3 | Complex heterozygote p.Trp273Leu/p.Trp509Cys | GM03251 |
| MPS VI | Black | Female | 3 | ARSB, 4q14.1 | Not determined | GM03722 |
| MPS VII | African American | Male | 3 | GUSB, 7q21.11 | Complex heterozygote p.Trp627Cys/p.Arg356Ter | GM00121 |
| MPS IX | Unknown | Female | 14 | HYAL1, 3p.21.3 | Not determined | GM17494 |
| Control line 1 (HDFa) | Unknown | Male | Adult | N/A | N/A | N/A |
| Control line 2 | Caucasian | Female | 41 | N/A | N/A | N/A |
| Control line 3 (IDUA heterozygote) | Caucasian | Male | 51 | IDUA, 4p16.3 | Heterozygote WT/p. Δ349 | N/A |
| Transcripts | Number of Significantly Changed Transcripts in Particular MPS Type vs. HDFa Line | ||||||||||
|---|---|---|---|---|---|---|---|---|---|---|---|
| I | II | III A | III B | III C | III D | IVA | IVB | VI | VII | IX | |
| Up-regulated | 12 | 7 | 16 | 13 | 15 | 13 | 4 | 16 | 5 | 17 | 21 |
| Down-regulated | 9 | 4 | 23 | 13 | 7 | 8 | 6 | 13 | 3 | 8 | 8 |
| Total | 21 | 11 | 39 | 26 | 22 | 21 | 10 | 29 | 8 | 25 | 29 |
| Transcript | log2FC of Selected Transcripts in Particular MPS Type vs HDFa Line | ||||||||||
|---|---|---|---|---|---|---|---|---|---|---|---|
| I | II | III A | III B | III C | III D | IVA | IVB | VI | VII | IX | |
| OXTR | 4.08 | 1.67 | 3.77 | 5.20 | 6.43 | 4.20 | 5.61 | 6.07 | 3.13 | 2.55 | 4.23 |
| ITGA3 | 1.63 | 0.40 | 1.46 | 2.46 | 1.98 | 1.84 | 2.15 | 1.56 | 1.14 | 2.63 | 1.59 |
| HRH1 | 1.16 | 1.06 | 0.63 | 0.41 | 0.84 | 1.01 | 0.57 | 1.10 | 0.76 | 1.11 | 1.19 |
| EIF4A3 | 1.21 | 1.05 | 0.94 | −0.68 | 1.14 | 0.22 | 1.28 | 1.60 | 0.96 | −0.01 | 0.88 |
| ID2 | 3.08 | 3.32 | 2.85 | 2.58 | 2.86 | 3.45 | 3.00 | 2.90 | 3.11 | 3.32 | 3.91 |
| HOMER2 | 1.48 | 0.55 | 1.66 | 1.82 | 1.81 | 1.00 | 1.59 | 1.63 | 1.07 | 2.27 | 1.58 |
| B2M | −1.23 | −0.61 | −1.57 | −1.82 | −1.27 | −0.39 | −1.05 | −1.37 | −0.25 | −0.43 | −1.23 |
| INSR | −0.38 | −0.54 | −0.41 | −0.70 | −0.66 | −0.57 | −0.42 | −0.34 | −0.32 | −0.50 | −0.01 |
| Gene with Expression Changed in Various MPS Types | Gene Product | Disease(s) Associated with the Gene | Symptoms | Similar Symptoms in MPS |
|---|---|---|---|---|
| Six or More MPS Types | ||||
| OXTR | Oxytocin receptor | Autism spectrum disorder, prosopagnosia, adenomyosis | Autism, inability to recognize faces (prosopagnosia) | Autism, cognitive dysfunctions |
| ITGA3 | Integrin subunit alpha 3 | Ilneb | Interstitial lung disease, nephrotic syndrome, and epidermolysis bullosa | None reported |
| HRH1 | Histamine receptor H1 | Allergic rhinitis, autism spectrum disorder | Tinnitus, snoring and rhinorrhea, autism | Snoring and rhinorrhea, autism |
| EIF4A3 | Eukaryotic translation initiation factor 4A3 | Mandibulofacial dysostosis, Guion-Almeida type | Growth and mental retardation (learning and memory deficits), mandibulofacial dysostosis, microcephaly | Growth and mental retardation (learning and memory deficits), dysostosis multiplex |
| ID2 | Inhibitor of DNA binding 2 | Ewing sarcoma | Fever, visual disturbance and eye manifestations | Visual disturbance and eye manifestations |
| HOMER2 | Homer scaffold protein 2 | Deafness, autosomal dominant 68 | Sensorineural hearing loss, anxiety | Hearing deficiency, anxiety |
| B2M | β-2-microglobulin | Immunodeficiency 43 | Recurrent respiratory tract infections and severe skin disease | Recurrent respiratory tract infections and severe skin disease |
| INSR | Insulin receptor | Donohue syndrome, dementia and cognitive impairment | Insulin resistance, dementia and cognitive impairment | Diabetes, cognitive impairment |
| MPS I (log2FC > 2.5) | ||||
| MME | Membrane metalloendopeptidase | Axonal Charcot-Marie-Tooth Disease type 2t | Progressive weakness and atrophy of muscles | Progressive weakness of muscles |
| CAPN2 | Calpain 2 | Alzheimer Disease | Gradual loss of memory, judgment, and the ability to function socially | Gradual loss of memory and the ability to function socially |
| MPS II (log2FC > 2.5) | ||||
| THBS1 | Thrombospondin 1 | Thrombotic thrombocytopenic purpura | Bleeding problems, impaired vision | Impaired vision |
| MPS IIIA (log2FC > 2.5) | ||||
| PTN | Pleiotrophin | Macrodactyly | Fibrofatty tissue enlargement and bony overgrowth | None reported |
| RCAN1 | Regulator of calcineurin 1 | Down syndrome, Alzheimer’s disease | Dysmorphology, Mental retardation, hearing and vision problems | Mental retardation, hearing and vision problems |
| APOE | Apolipoprotein E | Lipoprotein glomerulopathy, hyperlipoproteinemia type III | Proteinuria, progressive kidney failure, tremor, angina pectoris and edema, neurodegeneration | Neurodegeneration |
| MME | Membrane metalloendopeptidase | Axonal Charcot-Marie-Tooth disease type 2t | progressive weakness and atrophy of muscles | progressive weakness of muscles |
| MPS IIIB (log2FC > 2.5) | ||||
| UCHL1 | Ubiquitin C-Terminal Hydrolase L1 | Spastic Paraplegia 79 | gradual, progressive weakness and spasticity of the lower limbs, neurodegeneration | Weakness of muscles, neurodegeneration |
| MPS IIIC (log2FC > 2.5) | ||||
| ALDH1A3 | Aldehyde dehydrogenase 1 family member A3 | Microphthalmia type 8 | Small size of a single eye to complete bilateral absence of ocular tissues | Impaired vision |
| GAL | Galanin and GMAP prepropeptide | Epilepsy, familial temporal lobe, type 8 | Temporal lobe epilepsy | Epilepsy |
| MPS IIID (log2FC > 2.5) | ||||
| MME | Membrane metalloendopeptidase | Axonal Charcot-Marie-Tooth disease type 2t | progressive weakness and atrophy of muscles | progressive weakness of muscles |
| MPS IVA (log2FC > 2.5) | ||||
| THBS1 | Thrombospondin 1 | Thrombotic thrombocytopenic purpura | Bleeding problems | None reported |
| MPS IVB (log2FC > 2.5) | ||||
| EPHB2 | Ephrin receptor B2 | Prostate cancer/brain cancer susceptibility | Prostate and brain cancers | None reported |
| MPS VI (log2FC > 2.5) | ||||
| GAL | Galanin and GMAP prepropeptide | Epilepsy, familial temporal lobe, type 8 | Temporal lobe epilepsy | None reported |
| MPS VII (log2FC > 2.5) | ||||
| None | ||||
| MPS IX (log2FC > 2.5) | ||||
| SERPINE2 | Serpin family E member 2 | Visceral heterotaxy | Abnormal distribution of the major visceral organs | None reported |
| GAL | Galanin and GMAP prepropeptide | Epilepsy, familial temporal lobe, type 8 | Temporal lobe epilepsy | None reported |
| VLDLR | Very low-density lipoprotein receptor | Cerebellar ataxia, mental retardation, and dysequilibrium syndrome 1 | Ataxia associated with an intellectual disability | None reported |
| SLC7A11 | Solute carrier family 7 member 11 | Dyscalculia | learning disability involving a math disability | None reported |
| Gene | Forward Primer Sequence | Reverse Primer Sequence |
|---|---|---|
| OXTR | 5′-CTGCTACGGCCTTATCAGCTT-3′ | 5′-CGCTCCACATCTGCACGAA-3′ |
| MME | 5′-AGAAGAAACAGCGATGGACTCC-3′ | 5′-CATAGAGTGCGATCATTGTCACA-3′ |
| THBS1 | 5′-AGACTCCGCATCGCAAAGG-3′ | 5′-TCACCACGTTGTTGTCAAGGG-3′ |
| APOE | 5′-GTTGCTGGTCACATTCCTGG-3′ | 5′-GCAGGTAATCCCAAAAGCGAC-3′ |
| ALDH1A3 | 5′-TGAATGGCACGAATCCAAGAG-3′ | 5′-CACGTCGGGCTTATCTCCT-3′ |
| SGK1 | 5′-AGGATGGGTCTGAACGACTTT-3′ | 5′-GCCCTTTCCGATCACTTTCAAG-3′ |
| PENK | 5′-CGGTTCCTGACACTTTGCACT-3′ | 5′-CACATTCCATTACGCAAGCCA-3′ |
| UCHL1 | 5′-CCTGTGGCACAATCGGACTTA-3′ | 5′-CATCTACCCGACATTGGCCTT-3′ |
| GAL | 5′-CCGGCCAAGGAAAAACGAG-3′ | 5′-GAGGCCATTCTTGTCGCTGA-3′ |
| GAPDH | 5′-GGAGCGAGATCCCTCCAAAAT-3′ | 5′-GGCTGTTGTCATACTTCTCATGG-3′ |
| G6PD | 5′-CGAGGCCGTCACCAAGAAC-3′ | 5′-GTAGTGGTCGATGCGGTAGA-3′ |
© 2020 by the authors. Licensee MDPI, Basel, Switzerland. This article is an open access article distributed under the terms and conditions of the Creative Commons Attribution (CC BY) license (http://creativecommons.org/licenses/by/4.0/).
Share and Cite
Pierzynowska, K.; Gaffke, L.; Podlacha, M.; Węgrzyn, G. Genetic Base of Behavioral Disorders in Mucopolysaccharidoses: Transcriptomic Studies. Int. J. Mol. Sci. 2020, 21, 1156. https://doi.org/10.3390/ijms21031156
Pierzynowska K, Gaffke L, Podlacha M, Węgrzyn G. Genetic Base of Behavioral Disorders in Mucopolysaccharidoses: Transcriptomic Studies. International Journal of Molecular Sciences. 2020; 21(3):1156. https://doi.org/10.3390/ijms21031156
Chicago/Turabian StylePierzynowska, Karolina, Lidia Gaffke, Magdalena Podlacha, and Grzegorz Węgrzyn. 2020. "Genetic Base of Behavioral Disorders in Mucopolysaccharidoses: Transcriptomic Studies" International Journal of Molecular Sciences 21, no. 3: 1156. https://doi.org/10.3390/ijms21031156
APA StylePierzynowska, K., Gaffke, L., Podlacha, M., & Węgrzyn, G. (2020). Genetic Base of Behavioral Disorders in Mucopolysaccharidoses: Transcriptomic Studies. International Journal of Molecular Sciences, 21(3), 1156. https://doi.org/10.3390/ijms21031156
