Development of Heterocycle-Substituted and Fused Azulenes in the Last Decade (2010–2020)
Abstract
1. Introduction
2. Synthesis and Reactivity of Azulene Derivatives with 6-Membered Ring Heterocycles
2.1. Azulene Derivatives with N-Containing 6-Membered Heterocycles
2.2. Azulene Derivatives with O-Containing 6-Membered Heterocycles
3. Synthesis and Reactivity of Azulene Derivatives with 4-, 5-, 6-, and 7-Membered Ring Heterocycles
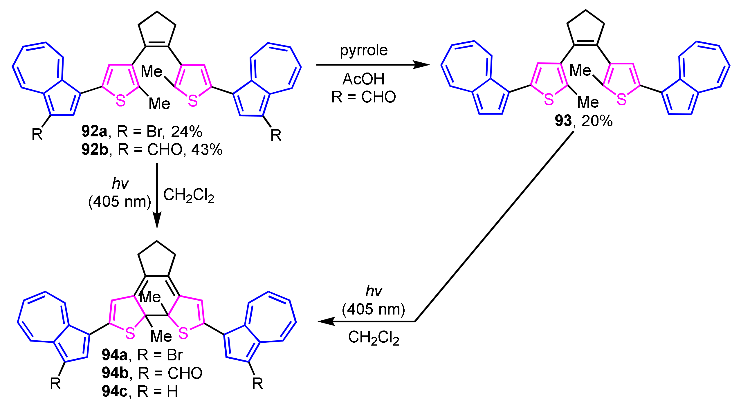
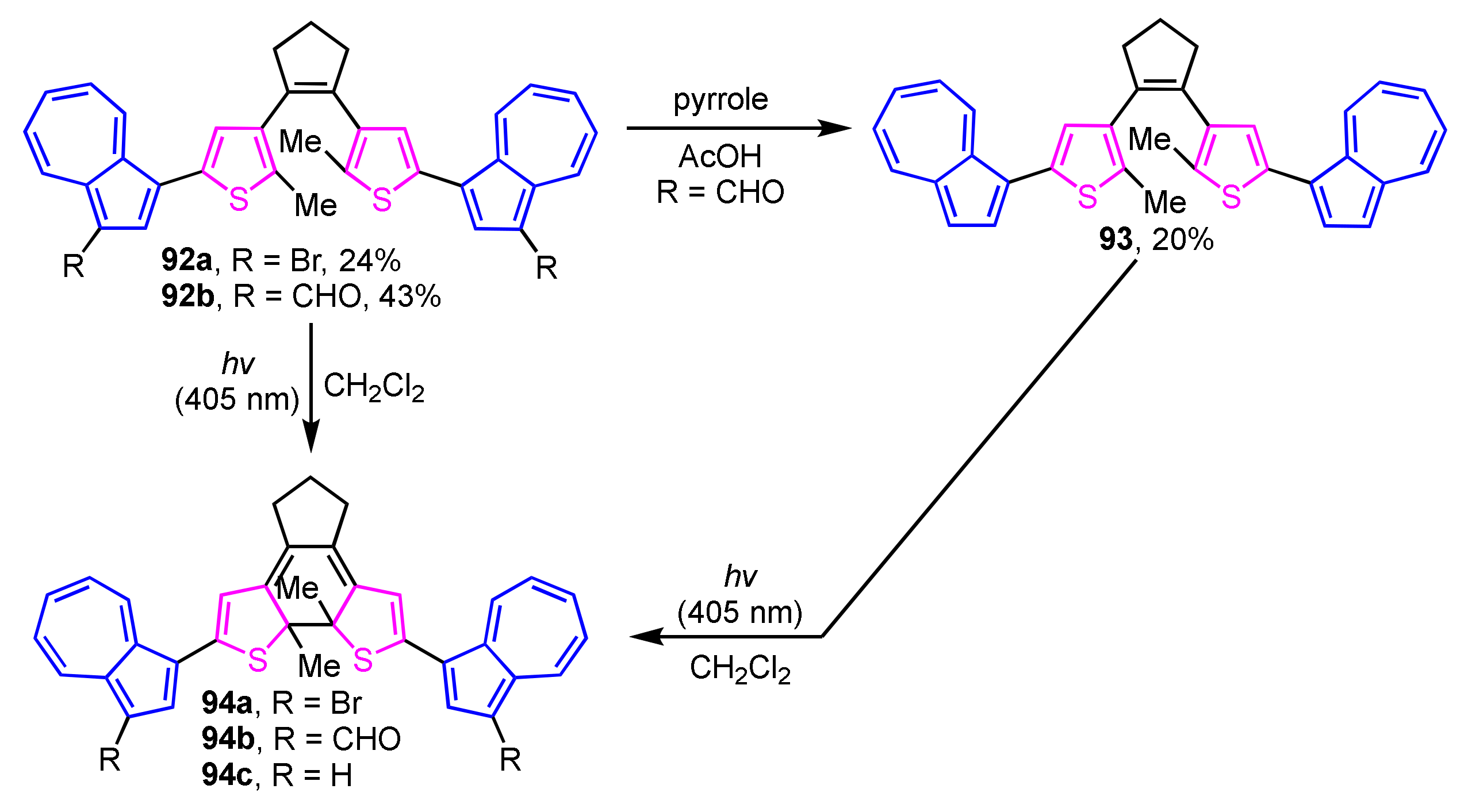
3.1. Azulene Derivatives with S-Containing 4-, 5-, 6-, and 7-Membered Heterocycles
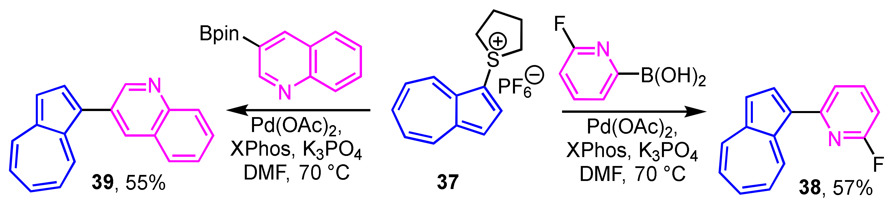
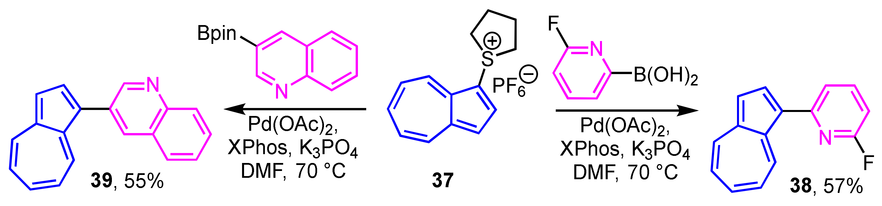
3.2. Azulene Derivatives with N-Containing 5- and 6-Membered Heterocycles
3.3. Azulene Derivatives with O-Containing 5-Membered Heterocycles
3.4. Azulene Derivatives with Other Ring Heterocycles
4. Synthesis of Azulene-Fused Imide Derivatives
5. Synthesis of Azulene Derivatives Incorporated with Porphyrinoid
6. Conclusions
Author Contributions
Funding
Conflicts of Interest
References
- Yanagisawa, T.; Wakabayashi, S.; Tomiyama, T.; Yasunami, M.; Takase, K. Synthesis and Anti-ulcer Activities of Sodium Alkylazulene Sulfonates. Chem. Pharm. Bull. 1988, 36, 641–647. [Google Scholar] [CrossRef] [PubMed]
- Yanagisawa, T.; Kosakai, K.; Tomiyama, T.; Yasunami, M.; Takase, K. Studies on Anti-ulcer Agents. II. Synthesis and Anti-ulcer Activities of 6-Isopropylazulene-1-sodium Sulfonate Derivatives. Chem. Pharm. Bull. 1990, 38, 3355–3358. [Google Scholar] [CrossRef] [PubMed][Green Version]
- Yanagisawa, T.; Kosakai, K.; Izawa, C.; Tomiyama, T.; Yasunami, M. Synthesis and Anti-peptic Activity of Compounds Related to the Metabolites of Sodium 3-Ethyl-7-isopropyl-1-azulenesulfonate (KT1-32). Chem. Pharm. Bull. 1991, 39, 2429–2432. [Google Scholar] [CrossRef] [PubMed]
- Wada, T.; Maruyama, R.; Irie, Y.; Hashimoto, M.; Wakabayashi, H.; Okudaira, N.; Uesawa, Y.; Kagaya, H.; Sakagami, H. In Vitro Anti-tumor Activity of Azulene Amide Derivatives. In Vivo 2018, 32, 479–486. [Google Scholar] [PubMed]
- Uehara, M.; Minemura, H.; Ohno, T.; Hashimoto, M.; Wakabayashi, H.; Okudaira, N.; Sakagami, H. In Vitro Antitumor Activity of Alkylaminoguaiazulenes. In Vivo 2018, 32, 541–547. [Google Scholar] [PubMed]
- Imanari, K.; Hashimoto, M.; Wakabayashi, H.; Okudaira, N.; Bandow, K.; Nagai, J.; Tomomura, M.; Tomomura, A.; Uesawa, Y.; Sakagami, H. Quantitative Structure–Cytotoxicity Relationship of Azulene Amide Derivatives. Anticancer Res. 2019, 39, 3507–3518. [Google Scholar] [CrossRef]
- Ayaz, F.; Yuzer, A.; Ince, T.; Ince, M. Anti-Cancer and Anti-Inflammatory Activities of Bromo- and Cyano-Substituted Azulene Derivatives. Inflammation 2020, 43, 1009–1018. [Google Scholar] [CrossRef]
- Fischer, G. Azulenes Fused to Heterocycles. Adv. Heterocyclic Chem. 2009, 97, 131–218. [Google Scholar]
- Abe, N.; Gunji, T. The Chemistry of Azaazulenes. Heterocycles 2010, 82, 201–248. [Google Scholar] [CrossRef]
- Ito, S.; Shoji, T.; Morita, N. Recent Advances in the Development of Methods for the Preparation of Functionalized Azulenes for Electrochromic Applications. Synlett 2011, 16, 2279–2298. [Google Scholar] [CrossRef]
- Dong, J.-X.; Zhang, H.-L. Azulene-based organic functional molecules for optoelectronics. Chin. Chem. Lett. 2016, 27, 1097–1104. [Google Scholar] [CrossRef]
- Shoji, T.; Ito, S. Azulene-Based Donor–Acceptor Systems: Synthesis, Optical, and Electrochemical Properties. Chem. Eur. J. 2017, 23, 16696–16709. [Google Scholar] [CrossRef] [PubMed]
- Xin, H.; Gao, X. Application of Azulene in Constructing Organic Optoelectronic Materials: New Tricks for an Old Dog. ChemPlusChem 2017, 82, 945–956. [Google Scholar] [CrossRef] [PubMed]
- Shoji, T.; Ito, S. The Preparation and Properties of Heteroarylazulenes and Hetero-Fused Azulenes. Adv. Heterocyclic Chem. 2018, 126, 1–54. [Google Scholar]
- Abe, N. Recent Advances in the Chemistry of Azaazulenes and Related Compounds. Heterocycles 2018, 101, 33–89. [Google Scholar] [CrossRef]
- Razus, A.C.; Birzan, L. Synthesis of azulenic compounds substituted in the 1-position with heterocycles. Monatsh. Chem. 2019, 150, 139–161. [Google Scholar] [CrossRef]
- Ou, L.; Zhou, Y.; Wu, B.; Zhu, L. The unusual physicochemical properties of azulene and azulene-based compounds. Chin. Chem. Lett. 2019, 30, 1903–1907. [Google Scholar] [CrossRef]
- Wu, C.-P.; Devulapally, R.; Li, T.-C.; Ku, C.-K.; Chung, H.-C. Efficient syntheses of 3H-azuleno[8,1-cd]pyridazines and their thermal and photochemical reactions. Tetrahedron Lett. 2010, 51, 4819–4822. [Google Scholar] [CrossRef]
- Wang, D.-L.; Li, Y.-F.; Xu, J.; Li, W.; Li, S.-F.; Lin, L.-N. A Facile Synthesis of 2-Substituted 2,3-Dihydro-4(1H)-azuleno[1,2-d]pyrimidinones. Heterocycles 2011, 83, 365–370. [Google Scholar] [CrossRef]
- Kiriazis, A.; Aumuller, I.B.; Yli-Kauhaluoma, J. Synthesis of 4-aminoguaiazulene and its δ-lactam derivatives. Tetrahedron Lett. 2011, 52, 1151–1153. [Google Scholar] [CrossRef]
- Wakabayashi, S.; Yamaoka, R.; Matsumoto, E.; Nishiguchi, M.; Ishiura, M.; Tsuji, M.; Shimizu, M. Sulfur-Containing Pyridylazulenes: Synthesis and Chromogenic Behaviors for Heavy Metal Ions. Heterocycles 2012, 85, 2251–2258. [Google Scholar] [CrossRef]
- Wang, D.-L.; Dong, Z.; Cui, Q.-T.; Yang, F.-F.; Zhao, W. Synthesis of Some Pyrazole-Fused Pyrido[3,2-a]azulenes. Heterocycles 2013, 87, 2343–2350. [Google Scholar] [CrossRef]
- Wang, D.-L.; Ma, J.; Shi, X.-C.; Wu, J.-Y. An Efficient One-Pot Synthesis of Azuleno[2,1-b]pyridazines. Heterocycles 2016, 92, 133–140. [Google Scholar] [CrossRef]
- Shoji, T.; Okada, K.; Ito, S.; Toyota, K.; Morita, N. Synthesis of 1-(pyridyl, quinolyl, and isoquinolyl)azulenes by Reissert–Henze type reaction. Tetrahedron Lett. 2010, 51, 5127–5130. [Google Scholar] [CrossRef]
- Shoji, T.; Inoue, Y.; Ito, S.; Okujima, T.; Morita, N. First Synthesis of 2-Heteroarylazulenes by the Electrophilic Substitution of Azulene with Triflate of N-Containing Heterocycles. Heterocycles 2012, 85, 35–41. [Google Scholar] [CrossRef]
- Shoji, T.; Maruyama, A.; Ito, S.; Okujima, T.; Yasunami, M.; Higashi, J.; Morita, N. Synthesis of 2-Aryl- and 6-Heteroaryl-1,3-di(4-pyridyl)azulenes by Katritzky’s Pyridylation of 2-Aryl- and 6-Heteroarylazulenes. Heterocycles 2014, 89, 2588–2603. [Google Scholar] [CrossRef]
- Dubovik, J.; Bredihhin, A. A Convenient Synthesis of Functionalized Azulenes via Negishi Cross-Coupling. Synthesis 2015, 47, 538–548. [Google Scholar]
- Dubovik, J.; Bredihhin, A. The First Preparation of Azulenylzinc Reagents and Their Use in Negishi Cross-Coupling. Synthesis 2015, 47, 2663–2669. [Google Scholar]
- Cowper, P.; Jin, Y.; Turton, M.D.; Kociok-Koehn, G.; Lewis, S.E. Azulenesulfonium Salts: Accessible, Stable, and Versatile Reagents for Cross-Coupling. Angew. Chem. Int. Ed. 2016, 55, 2564–2568. [Google Scholar] [CrossRef]
- Ion, A.E.; Cristian, L.; Voicescu, M.; Bangesh, M.; Madalan, A.M.; Bala, D.; Mihailciuc, C.; Nica, S. Synthesis and properties of fluorescent 4’-azulenyl-functionalized 2,2’:6’,2”-terpyridines. Beilstein J. Org. Chem. 2016, 12, 1812–1825. [Google Scholar] [CrossRef]
- Xin, H.; Li, J.; Yang, X.; Gao, X. Azulene-Based BN-Heteroaromatics. J. Org. Chem. 2020, 85, 70–78. [Google Scholar] [CrossRef] [PubMed]
- Wang, D.-L.; Feng, S.-S.; Cui, Q.-T.; Yu, J.-Y. An Efficient One-Pot Synthesis of 1-Amino-3-cyano-4-aryl-10-ethoxycarbonylazuleno[2,1-b]pyrans. Heterocycles 2012, 85, 441–448. [Google Scholar] [CrossRef]
- Sato, K.; Yokoo, E.; Takenaga, N. An Efficient One-Pot Synthesis of 1-Amino-3-cyano-4-aryl-10-ethoxycarbonylazuleno[2,1-b]pyrans. Heterocycles 2013, 87, 807–814. [Google Scholar] [CrossRef]
- Ito, S.; Yamazaki, S.; Kudo, S.; Sekiguchi, R.; Kawakami, J.; Takahashi, M.; Matsuhashi, T.; Toyota, K.; Morita, N. Synthesis and redox behavior of 1,2-dihydro-1-oxabenz[a]azulen-2-ones. Tetrahedron 2014, 70, 2796–2803. [Google Scholar] [CrossRef]
- Shoji, T.; Tanaka, M.; Takagaki, S.; Miura, K.; Ohta, A.; Sekiguchi, R.; Ito, S.; Mori, S.; Okujima, T. Synthesis of azulene-substituted benzofurans and isocoumarins via intramolecular cyclization of 1-ethynylazulenes, and their structural and optical properties. Org. Biomol. Chem. 2018, 16, 480–489. [Google Scholar] [CrossRef] [PubMed]
- Shoji, T.; Tanaka, M.; Araki, T.; Takagaki, S.; Sekiguchi, R.; Ito, S. Synthesis of 1-azulenyl ketones by Brønsted acid mediated hydration of 1-azulenylalkynes. RSC Adv. 2016, 6, 78303–78306. [Google Scholar] [CrossRef][Green Version]
- Okujima, T.; Toda, A.; Miyashita, Y.; Nonoshita, A.; Yamada, H.; Ono, N.; Uno, H. Synthesis and Properties of Azulene-Substituted Thiophenes, Terthiophenes and Dithienothiophenes. Heterocycles 2012, 86, 637–648. [Google Scholar] [CrossRef]
- Sato, O.; Sakai, A.; Aoki, M.; Kuramochi, T.; Nakayama, J. Azulenopentathiepin: Preparation and Conversion into Azulenes with Sulfur Groups at The 1- and 2-Positions. Heterocycles 2012, 86, 1253–1260. [Google Scholar] [CrossRef]
- Sato, O.; Saito, T.; Aoki, M.; Sakai, A. Azulene-Based Tetrathiafulvalenes: Preparation and Their Electron-Donating Ability. Heterocycles 2017, 95, 1254–1260. [Google Scholar] [CrossRef]
- Shoji, T.; Ito, S.; Okujima, T.; Morita, N. Synthesis of push–pull chromophores by the sequential [2 + 2] cycloaddition of 1-azulenylbutadiynes with tetracyanoethylene and tetrathiafulvalene. Org. Biomol. Chem. 2012, 10, 8308–8313. [Google Scholar] [CrossRef]
- Shoji, T.; Araki, T.; Sugiyama, S.; Ohta, A.; Sekiguchi, R.; Ito, S.; Okujima, T.; Toyota, K. Synthesis of 2-Azulenyltetrathiafulvalenes by Palladium-Catalyzed Direct Arylation of 2-Chloroazulenes with Tetrathiafulvalene and Their Optical and Electrochemical Properties. J. Org. Chem. 2017, 82, 1657–1665. [Google Scholar] [CrossRef]
- Shoji, T.; Shimomura, E.; Inoue, Y.; Maruyama, M.; Yamamoto, A.; Fujimori, K.; Ito, S.; Yasunami, M.; Morita, N. Synthesis of Novel Thiophene-Fused 1,1’-Biazulene Derivative by the Reaction of Azuleno[1,2-b]thiophene with N-Iodosuccinimide. Heterocycles 2013, 87, 303–306. [Google Scholar] [CrossRef]
- Shoji, T.; Miura, K.; Ariga, Y.; Yamazaki, A.; Ito, S.; Yasunami, M. Synthesis of Thiophene-fused Heptalenes by Cycloaddition of Azulenothiophenes with Dimethyl Acetylenedicarboxylate. Sci. Rep. 2020, 1012477. [Google Scholar]
- Kitai, J.-I.; Kobayashi, T.; Uchida, W.; Hatakeyama, M.; Yokojima, S.; Nakamura, S.; Uchida, K. Photochromism of a Diarylethene Having an Azulene Ring. J. Org. Chem. 2012, 77, 3270–3276. [Google Scholar] [CrossRef] [PubMed]
- Yamaguchi, Y.; Maruya, Y.; Katagiri, H.; Nakayama, K.-I.; Ohba, Y. Synthesis, Properties, and OFET Characteristics of 5,5′-Di(2-azulenyl)-2,2′-bithiophene (DAzBT) and 2,5-Di(2-azulenyl)-thieno[3,2-b]thiophene (DAzTT). Org. Lett. 2012, 14, 2316–2319. [Google Scholar] [CrossRef] [PubMed]
- Wang, F.; Lin, T.T.; He, C.; Chi, H.; Tanga, T.; Lai, Y.-H. Azulene-containing organic chromophores with tunable near-IR absorption in the range of 0.6 to 1.7 μm. J. Mater. Chem. 2012, 22, 10448–10451. [Google Scholar] [CrossRef]
- Shoji, T.; Maruyama, A.; Araki, T.; Ito, S.; Okujima, T. Synthesis of 2- and 6-thienylazulenes by palladium-catalyzed direct arylation of 2- and 6-haloazulenes with thiophene derivatives. Org. Biomol. Chem. 2015, 13, 10191–10197. [Google Scholar] [CrossRef] [PubMed]
- Dragu, E.A.; Ion, A.E.; Shova, S.; Bala, D.; Mihailciuc, C.; Voicescu, M.; Ionescu, S.; Nica, S. Visible-light triggered photoswitching systems based on fluorescent azulenyl-substituted dithienylcyclopentenes. RSC Adv. 2015, 5, 63282–63286. [Google Scholar] [CrossRef]
- Amir, E.; Amir, R.J.; Campos, L.M.; Hawker, C.J. Stimuli-Responsive Azulene-Based Conjugated Oligomers with Polyaniline-like Properties. J. Am. Chem. Soc. 2011, 133, 10046–10049. [Google Scholar] [CrossRef]
- Amir, E.; Murai, M.; Amir, R.J.; Cowart, J.S., Jr.; Chabinyc, M.L.; Hawker, C.J. Conjugated oligomers incorporating azulene building blocks – seven- vs. five-membered ring connectivity. Chem. Sci. 2014, 5, 4483–4489. [Google Scholar] [CrossRef]
- Cowper, P.; Pockett, A.; Kociok-Köhn, G.; Cameron, P.J.; Lewis, S.E. Azulene – Thiophene – Cyanoacrylic acid dyes with donor-π-acceptor structures. Synthesis, characterisation and evaluation in dye-sensitized solar cells. Tetrahedron 2018, 74, 2775–2786. [Google Scholar] [CrossRef]
- Shoji, T.; Miura, K.; Ohta, A.; Sekiguchi, R.; Ito, S.; Endo, Y.; Nagahata, T.; Mori, S.; Okujima, T. Synthesis of azuleno[2,1-b]thiophenes by cycloaddition of azulenylalkynes with elemental sulfur and their structural, optical and electrochemical properties. Org. Chem. Front. 2019, 6, 2801–2811. [Google Scholar] [CrossRef]
- Hyoudou, M.; Nakagawa, H.; Gunji, T.; Ito, Y.; Kawai, Y.; Ikeda, R.; Konakahara, T.; Abe, N. Synthesis, Cyclization, and Evaluation of the Anticancer Activity against HeLa S-3 Cells of Ethyl 2-Acetylamino-3-ethynylazulene-1-carboxylates. Heterocycles 2012, 86, 233–244. [Google Scholar] [CrossRef]
- Tsukada, S.; Nakazawa, M.; Okada, Y.; Ohtsu, K.; Abe, N.; Gunji, T. Synthesis of 2-Arylamino-1-azaazulenes. Heterocycles 2017, 95, 624–635. [Google Scholar] [CrossRef]
- Shoji, T.; Inoue, Y.; Ito, S. First synthesis of 1-(indol-2-yl)azulenes by the Vilsmeier–Haack type arylation with triflic anhydride as an activating reagent. Tetrahedron Lett. 2012, 53, 1493–1496. [Google Scholar] [CrossRef]
- Shoji, T.; Takagaki, S.; Tanaka, M.; Araki, T.; Sugiyama, S.; Sekiguchi, R.; Ohta, A.; Ito, S.; Okujima, T. Synthesis of Azulene-Substituted Tetraarylpyrroles by Reaction of 1-Azulenyl Ketones with Benzoin and Ammonium Acetate. Heterocycles 2017, 94, 1870–1883. [Google Scholar] [CrossRef]
- Poronik, Y.M.; Mazur, L.M.; Samoć, M.; Jacquemin, D.; Gryko, D.T. 2,5-Bis(azulenyl)pyrrolo[3,2-b]pyrroles—the key influence of the linkage position on the linear and nonlinear optical properties. J. Mater. Chem. C 2017, 5, 2620–2628. [Google Scholar] [CrossRef]
- Zhang, L.; Wang, D.-L.; Xing, J.-J.; Liu, L. One-Pot Synthesis of 3-(Guaiazulen-3-yl)dihydro-1H- indol-4(5H)-ones via Domino Reaction. Heterocycles 2019, 98, 1547–1554. [Google Scholar]
- Zhang, L.; Wang, D.-L.; Xing, J.-J.; Liu, L. Facile Synthesis of (Guaiazulen-1-yl)-1H-pyrroles via Paal-Knorr Reaction. Heterocycles 2019, 98, 1555–1562. [Google Scholar]
- Kogawa, C.; Fujiwara, A.; Sekiguchi, R.; Shoji, T.; Kawakami, J.; Okazaki, M.; Ito, S. Synthesis and photophysical properties of azuleno[1′,2′:4,5]pyrrolo[2,1-b]quinazoline-6,14-diones: Azulene analogs of tryptanthrin. Tetrahedron 2018, 74, 7018–7029. [Google Scholar] [CrossRef]
- Wu, C.-P.; Devendar, B.; Su, H.-C.; Chang, Y.-H.; Ku, C.-K. Efficient synthesis and applications of 2-substituted azulene derivatives: Towards highly functionalized carbo- and heterocyclic molecules. Tetrahedron Lett. 2012, 53, 5019–5022. [Google Scholar] [CrossRef]
- Wang, D.-L.; Dong, Z.; Xu, J.; Li, D. An efficient synthesis of 2-(guaiazulen-1-yl)furan derivatives via intramolecular Wittig reactions. Chin. Chem. Lett. 2013, 24, 622–624. [Google Scholar] [CrossRef]
- Murai, M.; Ku, S.-Y.; Treat, N.D.; Robb, M.J.; Chabinyc, M.L.; Hawker, C.J. Modulating structure and properties in organic chromophores: Influence of azulene as a building block. Chem. Sci. 2014, 5, 3753–3760. [Google Scholar] [CrossRef]
- Shoji, T.; Nagai, D.; Tanaka, M.; Araki, T.; Ohta, A.; Sekiguchi, R.; Ito, S.; Mori, S.; Okujima, T. Synthesis of 2-Aminofurans by Sequential [2+2] Cycloaddition–Nucleophilic Addition of 2-Propyn-1-ols with Tetracyanoethylene and Amine-Induced Transformation into 6-Aminopentafulvenes. Chem. Eur. J. 2017, 23, 5126–5136. [Google Scholar] [CrossRef] [PubMed]
- Shoji, T.; Iida, N.; Yamazaki, A.; Ariga, Y.; Ohta, A.; Sekiguchi, R.; Nagahata, T.; Nagasawa, T.; Ito, S. Synthesis of phthalimides cross-conjugated with an azulene ring, and their structural, optical and electrochemical properties. Org. Biomol. Chem. 2020, 18, 2274–2282. [Google Scholar] [CrossRef] [PubMed]
- Matano, Y.; Kon, Y.; Saito, A.; Kimura, Y.; Murafuji, T.; Imahori, H. Divergent Synthesis of 2,5-Diarylphospholes Based on Cross-coupling Reactions: Substituent Effects on the Optical and Redox Properties of Benzene–Phosphole–Benzene π-Systems. Chem. Lett. 2011, 40, 919–921. [Google Scholar] [CrossRef]
- Shoji, T.; Fujiwara, Y.; Maruyama, A.; Maruyama, M.; Ito, S.; Yasunami, M.; Yokoyama, R.; Morita, N. Synthesis of 2,6-Diaminoazulenes by the SNAr Reaction with Cyclic Amines. Heterocycles 2015, 90, 85–88. [Google Scholar] [CrossRef]
- Shoji, T.; Sugiyama, S.; Takeuchi, M.; Ohta, A.; Sekiguchi, R.; Ito, S.; Yatsu, T.; Okujima, T.; Yasunami, M. Synthesis of 6-Amino- and 6-Arylazoazulenes via Nucleophilic Aromatic Substitution and Their Reactivity and Properties. J. Org. Chem. 2019, 84, 1257–1275. [Google Scholar] [CrossRef]
- Wakabayashi, S.; Uchida, M.; Tanaka, R.; Habata, Y.; Shimizu, M. Synthesis of Azulene Derivatives That Have an Azathiacrown Ether Moiety and Their Selective Color Reaction Towards Silver Ions. Asian J. Org. Chem. 2013, 2, 786–791. [Google Scholar] [CrossRef]
- Nishimura, H.; Ishida, N.; Shimazaki, A.; Wakamiya, A.; Saeki, A.; Scott, L.T.; Murata, Y. Hole-Transporting Materials with a Two-Dimensionally Expanded π-System around an Azulene Core for Efficient Perovskite Solar Cells. J. Am. Chem. Soc. 2015, 137, 15656–15659. [Google Scholar] [CrossRef]
- Nishimura, H.; Eliseeva, M.N.; Wakamiya, A.; Scott, L.T. 3,5,7-Tetra(Bpin)azulene by Exhaustive Direct Borylation of Azulene and 5,7-Di(Bpin)azulene by Selective Subsequent Deborylation. Synlett 2015, 26, 1578–1580. [Google Scholar]
- Murafuji, T.; Shintaku, K.; Nagao, K.; Mikata, Y.; Ishiguro, K.; Kamijo, S. Synthesis and Structural Characterization of Diazulenylborinic Acid. Heterocycles 2017, 94, 676–690. [Google Scholar] [CrossRef]
- Murfin, L.C.; Weber, M.; Park, S.-J.; Kim, W.-T.; Lopez-Alled, C.M.; McMullin, C.L.; Pradaux-Caggiano, F.; Lyall, C.L.; Kociok-Kohn, G.; Wenk, J.; et al. Azulene-Derived Fluorescent Probe for Bioimaging: Detection of Reactive Oxygen and Nitrogen Species by Two-Photon Microscopy. J. Am. Chem. Soc. 2019, 141, 19389–19396. [Google Scholar] [CrossRef] [PubMed]
- Murfin, L.C.; Chiang, K.; Williams, G.T.; Lyall, C.L.; Jenkins, A.T.A.; Wenk, J.; James, T.D.; Lewis, S.E. A Colorimetric Chemosensor Based on a Nozoe Azulene That Detects Fluoride in Aqueous/Alcoholic Media. Front. Chem. 2020. [Google Scholar] [CrossRef] [PubMed]
- Xin, H.; Ge, C.; Yang, X.; Gao, H.; Yang, X.; Gao, X. Biazulene diimides: A new building block for organic electronic materials. Chem. Sci. 2016, 7, 6701–6705. [Google Scholar] [CrossRef]
- Xin, H.; Ge, C.; Jiao, X.; Yang, X.; Rundel, K.; McNeill, C.R.; Gao, X. Incorporation of 2,6-Connected Azulene Units into the Backbone of Conjugated Polymers: Towards High-Performance Organic Optoelectronic Materials. Angew. Chem. Int. Ed. 2018, 57, 1322–1326. [Google Scholar] [CrossRef]
- Koide, T.; Takesue, M.; Murafuji, T.; Satomi, K.; Suzuki, Y.; Kawamata, J.; Terai, K.; Suzuki, M.; Yamada, H.; Shiota, Y.; et al. An Azulene-Fused Tetracene Diimide with a Small HOMO–LUMO Gap. ChemPlusChem 2017, 82, 1010–1014. [Google Scholar] [CrossRef]
- Shoji, T.; Araki, T.; Iida, N.; Miura, K.; Ohta, A.; Sekiguchi, R.; Ito, S.; Okujima, T. Synthesis of azulenophthalimides by phosphine-mediated annulation of 1,2-diformylazulenes with maleimides. Org. Chem. Front. 2019, 6, 195–204. [Google Scholar] [CrossRef]
- Lash, T.D.; Chaney, S.T. Azuliporphyrin: A Case of Borderline Porphyrinoid Aromaticity. Angew. Chem. Int. Ed. Engl. 1997, 36, 839–840. [Google Scholar] [CrossRef]
- Kurotobi, K.; Osuka, A. Synthesis of meso-Azulenylporphyrins. Org. Lett. 2005, 7, 1055–1058. [Google Scholar] [CrossRef]
- Kurotobi, K.; Kim, K.S.; Noh, S.B.; Kim, D.; Osuka, A. A Quadruply Azulene-Fused Porphyrin with Intense Near-IR Absorption and a Large Two-Photon Absorption Cross Section. Angew. Chem. Int. Ed. 2006, 45, 3944–3947. [Google Scholar] [CrossRef] [PubMed]
- Lash, T.D. The Porphyrin Handbook; Kadish, K.M., Smith, K.M., Guilard, R., Eds.; Academic Press: San Diego, CA, USA, 2000; Volume 2, pp. 165–193. [Google Scholar]
- Pawlicki, M.; Latos-Grażyński, L. Handbook of Porphyrin Science; Kadish, K.M., Smith, K.M., Guilard, R., Eds.; World Scientific: Singapore, 2010; Volume 2, pp. 103–192. [Google Scholar]
- Lash, T.D. Handbook of Porphyrin Science; Kadish, K.M., Smith, K.M., Guilard, R., Eds.; World Scientific: Singapore, 2012; Volume 16, pp. 1–329. [Google Scholar]
- Lash, T.D. Out of the Blue! Azuliporphyrins and Related Carbaporphyrinoid Systems. ACC Chem. Res. 2016, 49, 471–482. [Google Scholar] [CrossRef] [PubMed]
- Lash, T.D. Carbaporphyrinoid Systems. Chem. Rev. 2017, 117, 2313–2446. [Google Scholar] [CrossRef]
- Graham, S.R.; Colby, D.A.; Lash, T.D. An Azulene Analogue of the Tripyrranes and Carbaporphyrinoids Therefrom. Angew. Chem. Int. Ed. 2002, 41, 1371–1374. [Google Scholar] [CrossRef]
- Lash, T.D.; Lammer, A.D.; Idate, A.S.; Colby, D.A.; White, K. Preparation of Azulene-Derived Fulvenedialdehydes and Their Application to the Synthesis of Stable adj-Dicarbaporphyrinoids. J. Org. Chem. 2012, 77, 2368–2381. [Google Scholar] [CrossRef]
- Colby, D.A.; Lash, T.D. Adaptation of the Rothemund Reaction for Carbaporphyrin Synthesis: Preparation of meso-Tetraphenylazuliporphyrin and Related Benzocarbaporphyrins. Chem. Eur. J. 2002, 8, 5397–5402. [Google Scholar] [CrossRef]
- Okujima, T.; Kikkawa, T.; Nakano, H.; Kubota, H.; Fukugami, N.; Ono, N.; Yamada, H.; Uno, H. Retro-Diels–Alder Approach to the Synthesis of π-Expanded Azuliporphyrins and Their Porphyrinoid Aromaticity. Chem. Eur. J. 2012, 18, 12854–12863. [Google Scholar] [CrossRef]
- Noboa, M.A.; AbuSalim, D.I.; Lash, T.D. Azulichlorins and Benzocarbachlorins Derived Therefrom. J. Org. Chem. 2019, 84, 11649–11664. [Google Scholar] [CrossRef]
- Richter, D.T.; Lash, T.D. Synthesis of Sapphyrins, Heterosapphyrins, and Carbasapphyrins by a “4 + 1” Approach. J. Org. Chem. 2004, 69, 8842–8850. [Google Scholar] [CrossRef]
- Berlicka, A.; Sprutta, N.; Latos-Grazynski, L. Dithiaethyneazuliporphyrin—A contracted heterocarbaporphyrin. Chem. Commun. 2006, 3346–3348. [Google Scholar] [CrossRef]
- Zhang, Z.; Ferrence, G.M.; Lash, T.D. MacDonald-Type Reactions Using Bis-acrylaldehydes: Synthesis of an Expanded Sapphyrin and Vinylogous Hexaphyrins. Org. Lett. 2009, 11, 1249–1252. [Google Scholar] [CrossRef] [PubMed]
- Larsen, S.; McCormick-McPherson, L.J.; Teat, S.J.; Ghosh, A. Azulicorrole. ACS Omega 2019, 4, 6737–6745. [Google Scholar] [CrossRef]
- Fujino, K.; Hirata, Y.; Kawabe, Y.; Morimoto, T.; Srinivasan, A.; Toganoh, M.; Miseki, Y.; Kudo, A.; Furuta, H. Confusion and Neo-Confusion: Corrole Isomers with an NNNC Core. Angew. Chem. Int. Ed. 2011, 50, 6855–6859. [Google Scholar] [CrossRef] [PubMed]
- Okujima, T.; Inaba, H.; Mori, S.; Takase, M.; Uno, H. Synthesis of azulitriphyrin(2.1.1). J. Porphyrins Phthalocyanines 2020, 24, 394–400. [Google Scholar] [CrossRef]
- Lash, T.D.; Stateman, L.M.; AbuSalim, D.I. Synthesis of Azulitriphyrins(1.2.1) and Related Benzocarbatriphyrins. J. Org. Chem. 2019, 84, 14733–14744. [Google Scholar] [CrossRef] [PubMed]
- Kuzuhara, D.; Yamada, H.; Xue, Z.-L.; Okujima, T.; Mori, S.; Shen, Z.; Uno, H. New synthesis of meso-free-[14]triphyrin(2.1.1) by McMurry coupling and its derivatization to Mn(Ⅰ) and Re(Ⅰ) complexes. Chem. Commun. 2011, 47, 722–724. [Google Scholar] [CrossRef] [PubMed]
- Sasaki, Y.; Takase, M.; Okujima, T.; Mori, S.; Uno, H. Synthesis and Redox Properties of Pyrrole- and Azulene-Fused Azacoronene. Org. Lett. 2019, 21, 1900–1903. [Google Scholar] [CrossRef]
- Takase, M.; Enkelmann, V.; Sebastiani, D.; Baumgarten, M.; Muellen, K. Annularly Fused Hexapyrrolohexaazacoronenes: An Extended π System with Multiple Interior Nitrogen Atoms Displays Stable Oxidation States. Angew. Chem. Int. Ed. 2007, 46, 5524–5527. [Google Scholar] [CrossRef]
- Shoji, T.; Sugiyama, S.; Kobayashi, Y.; Yamazaki, A.; Ariga, Y.; Katoh, R.; Wakui, H.; Yasunami, M.; Ito, S. Direct synthesis of 2-arylazulenes by [8+2] cycloaddition of 2H-cyclohepta[b]furan-2-ones with silyl enol ethers. Chem. Commun. 2020, 56, 1485–1488. [Google Scholar] [CrossRef]


































































© 2020 by the authors. Licensee MDPI, Basel, Switzerland. This article is an open access article distributed under the terms and conditions of the Creative Commons Attribution (CC BY) license (http://creativecommons.org/licenses/by/4.0/).
Share and Cite
Shoji, T.; Okujima, T.; Ito, S. Development of Heterocycle-Substituted and Fused Azulenes in the Last Decade (2010–2020). Int. J. Mol. Sci. 2020, 21, 7087. https://doi.org/10.3390/ijms21197087
Shoji T, Okujima T, Ito S. Development of Heterocycle-Substituted and Fused Azulenes in the Last Decade (2010–2020). International Journal of Molecular Sciences. 2020; 21(19):7087. https://doi.org/10.3390/ijms21197087
Chicago/Turabian StyleShoji, Taku, Tetsuo Okujima, and Shunji Ito. 2020. "Development of Heterocycle-Substituted and Fused Azulenes in the Last Decade (2010–2020)" International Journal of Molecular Sciences 21, no. 19: 7087. https://doi.org/10.3390/ijms21197087
APA StyleShoji, T., Okujima, T., & Ito, S. (2020). Development of Heterocycle-Substituted and Fused Azulenes in the Last Decade (2010–2020). International Journal of Molecular Sciences, 21(19), 7087. https://doi.org/10.3390/ijms21197087

