Integrated MicroRNA–mRNA Analysis Reveals miR-204 Inhibits Cell Proliferation in Gastric Cancer by Targeting CKS1B, CXCL1 and GPRC5A
Abstract
1. Introduction
2. Results
2.1. Differentially Expressed mRNA and miRNA in Gastric Cancer Versus Normal Gastric Tissues
2.2. Integrated Analysis of miRNA and mRNA through Pearson’s Correlation Analysis and Target Prediction
2.3. Functional Enrichment Analysis of the Predicted Target Genes
2.4. qRT-PCR Analysis of Down-Regulated miRNAs in Gastric Cancer and Candidate miRNA Selection for Experimental Validation
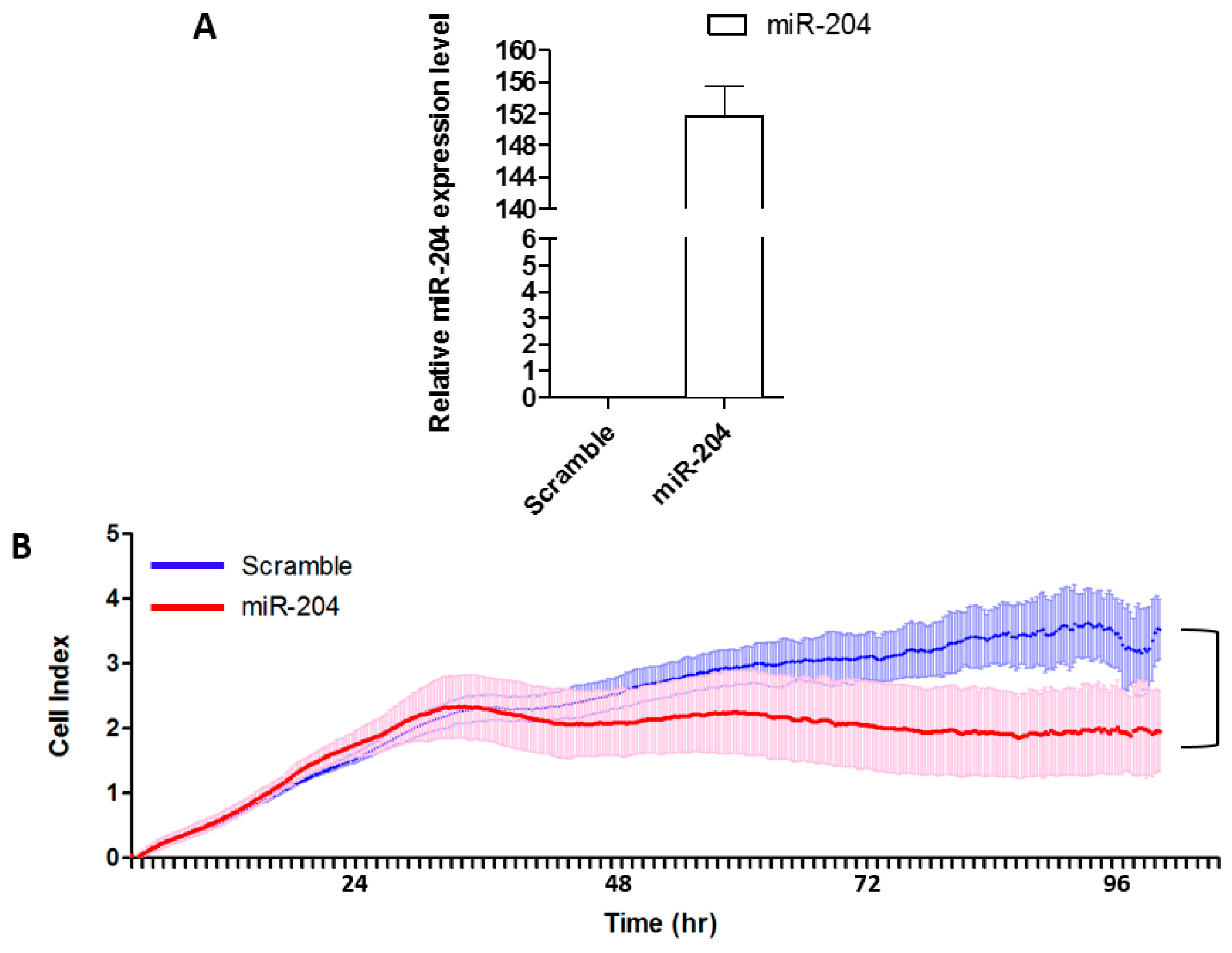
2.5. miR-204 Inhibits the Proliferation of Gastric Cancer Cells In Vitro
2.6. RNA-seq Analysis and Functional Enrichment of Down-Regulated Targets of miR-204
2.7. Candidate Target Genes of miR-204 for Experimental Validation
2.8. miR-204 Suppresses the Expression of Multiple Target Genes in Gastric Cancer
2.9. miR-204 Targets CKS1B, CXCL1, and GPRC5A in Gastric Cancer Cells
3. Discussion
4. Materials and Methods
4.1. Datasets Collection
4.2. Expression Profiling Data Analysis
4.3. Identifying Target Genes by Inverse Correlation and Target Prediction
4.4. Functional Enrichment Analysis
4.5. Cell Line and Culture Condition
4.6. Total RNA Isolation
4.7. Ectopic Over-Expression of miR-204
4.8. Reverse Transcription of Total RNA Containing miRNA and mRNA
4.9. Quantitative Real-Time PCR for miRNA
4.10. Quantitative Real-Time PCR for mRNA
4.11. RNA Sequencing
4.12. Real-Time Cell Proliferation Assay
4.13. Selection of Potential Target Genes of miRNA for Experimental Validation
4.14. Plasmid Construction and Dual Luciferase Reporter Assay
4.15. Statistical Analysis
Supplementary Materials
Acknowledgments
Author Contributions
Conflicts of Interest
References
- Torre, L.A.; Bray, F.; Siegel, R.L.; Ferlay, J.; Lortet-Tieulent, J.; Jemal, A. Global cancer statistics, 2012. CA Cancer J. Clin. 2015, 65, 87–108. [Google Scholar] [CrossRef] [PubMed]
- Bertuccio, P.; Chatenoud, L.; Levi, F.; Praud, D.; Ferlay, J.; Negri, E.; Malvezzi, M.; La Vecchia, C. Recent patterns in gastric cancer: A global overview. Int. J. Cancer 2009, 125, 666–673. [Google Scholar] [CrossRef] [PubMed]
- Smith, M.G.; Hold, G.L.; Tahara, E.; El-Omar, E.M. Cellular and molecular aspects of gastric cancer. World J. Gastroenterol. 2006, 12, 2979–2990. [Google Scholar] [CrossRef] [PubMed]
- Orditura, M.; Galizia, G.; Sforza, V.; Gambardella, V.; Fabozzi, A.; Laterza, M.M.; Andreozzi, F.; Ventriglia, J.; Savastano, B.; Mabilia, A.; et al. Treatment of gastric cancer. World J. Gastroenterol. 2014, 20, 1635–1649. [Google Scholar] [CrossRef] [PubMed]
- Sun, W.; Julie Li, Y.S.; Huang, H.D.; Shyy, J.Y.; Chien, S. microRNA: A master regulator of cellular processes for bioengineering systems. Annu. Rev. Biomed. Eng. 2010, 12, 1–27. [Google Scholar] [CrossRef] [PubMed]
- Friedman, R.C.; Farh, K.K.; Burge, C.B.; Bartel, D.P. Most mammalian mRNAs are conserved targets of microRNAs. Genome Res. 2009, 19, 92–105. [Google Scholar] [CrossRef] [PubMed]
- Esquela-Kerscher, A.; Slack, F.J. Oncomirs—MicroRNAs with a role in cancer. Nat. Rev. Cancer 2006, 6, 259–269. [Google Scholar] [CrossRef] [PubMed]
- Feng, J.; Huang, C.; Diao, X.; Fan, M.; Wang, P.; Xiao, Y.; Zhong, X.; Wu, R. Screening biomarkers of prostate cancer by integrating microRNA and mRNA microarrays. Genet. Test. Mol. Biomark. 2013, 17, 807–813. [Google Scholar] [CrossRef] [PubMed]
- Guo, W.G.; Zhang, Y.; Ge, D.; Zhang, Y.X.; Lu, C.L.; Wang, Q.; Fan, H. Bioinformatics analyses combined microarray identify the desregulated microRNAs in lung cancer. Eur. Rev. Med. Pharmacol. Sci. 2013, 17, 1509–1516. [Google Scholar] [PubMed]
- Lin, L.; Lin, Y.; Jin, Y.; Zheng, C. Microarray analysis of microRNA expression in liver cancer tissues and normal control. Gene 2013, 523, 158–160. [Google Scholar] [CrossRef] [PubMed]
- Song, F.; Yang, D.; Liu, B.; Guo, Y.; Zheng, H.; Li, L.; Wang, T.; Yu, J.; Zhao, Y.; Niu, R.; et al. Integrated microRNA network analyses identify a poor-prognosis subtype of gastric cancer characterized by the miR-200 family. Clin. Cancer Res. 2014, 20, 878–889. [Google Scholar] [CrossRef] [PubMed]
- Shrestha, S.; Hsu, S.D.; Huang, W.Y.; Huang, H.Y.; Chen, W.; Weng, S.L.; Huang, H.D. A systematic review of microRNA expression profiling studies in human gastric cancer. Cancer Med. 2014, 3, 878–888. [Google Scholar] [CrossRef] [PubMed]
- Barrett, T.; Wilhite, S.E.; Ledoux, P.; Evangelista, C.; Kim, I.F.; Tomashevsky, M.; Marshall, K.A.; Phillippy, K.H.; Sherman, P.M.; Holko, M.; et al. NCBI GEO: Archive for functional genomics data sets—Update. Nucleic Acids Res. 2013, 41, D991–D995. [Google Scholar] [CrossRef] [PubMed]
- Deng, M.; Bragelmann, J.; Schultze, J.L.; Perner, S. Web-TCGA: An online platform for integrated analysis of molecular cancer data sets. BMC Bioinform. 2016, 17, 72. [Google Scholar] [CrossRef] [PubMed]
- Tomczak, K.; Czerwinska, P.; Wiznerowicz, M. The Cancer Genome Atlas (TCGA): An immeasurable source of knowledge. Contemp. Oncol. 2015, 19, A68–A77. [Google Scholar] [CrossRef] [PubMed]
- John, B.; Enright, A.J.; Aravin, A.; Tuschl, T.; Sander, C.; Marks, D.S. Human MicroRNA targets. PLoS Biol. 2004, 2, e363. [Google Scholar] [CrossRef] [PubMed]
- Kertesz, M.; Iovino, N.; Unnerstall, U.; Gaul, U.; Segal, E. The role of site accessibility in microRNA target recognition. Nat. Genet. 2007, 39, 1278–1284. [Google Scholar] [CrossRef] [PubMed]
- Rehmsmeier, M.; Steffen, P.; Hochsmann, M.; Giegerich, R. Fast and effective prediction of microRNA/target duplexes. RNA 2004, 10, 1507–1517. [Google Scholar] [CrossRef] [PubMed]
- Chung, T.K.; Lau, T.S.; Cheung, T.H.; Yim, S.F.; Lo, K.W.; Siu, N.S.; Chan, L.K.; Yu, M.Y.; Kwong, J.; Doran, G.; et al. Dysregulation of microRNA-204 mediates migration and invasion of endometrial cancer by regulating FOXC1. Int. J. Cancer 2012, 130, 1036–1045. [Google Scholar] [CrossRef] [PubMed]
- Imam, J.S.; Plyler, J.R.; Bansal, H.; Prajapati, S.; Bansal, S.; Rebeles, J.; Chen, H.I.; Chang, Y.F.; Panneerdoss, S.; Zoghi, B.; et al. Genomic loss of tumor suppressor miRNA-204 promotes cancer cell migration and invasion by activating AKT/mTOR/Rac1 signaling and actin reorganization. PLoS ONE 2012, 7, e52397. [Google Scholar] [CrossRef] [PubMed]
- Chou, C.H.; Chang, N.W.; Shrestha, S.; Hsu, S.D.; Lin, Y.L.; Lee, W.H.; Yang, C.D.; Hong, H.C.; Wei, T.Y.; Tu, S.J.; et al. miRTarBase 2016: Updates to the experimentally validated miRNA-target interactions database. Nucleic Acids Res. 2015, 44, D239–D247. [Google Scholar] [CrossRef] [PubMed]
- Brenner, B.; Hoshen, M.B.; Purim, O.; David, M.B.; Ashkenazi, K.; Marshak, G.; Kundel, Y.; Brenner, R.; Morgenstern, S.; Halpern, M.; et al. MicroRNAs as a potential prognostic factor in gastric cancer. World J. Gastroenterol. 2011, 17, 3976–3985. [Google Scholar] [CrossRef] [PubMed]
- Yang, Q.; Zhang, C.; Huang, B.; Li, H.; Zhang, R.; Huang, Y.; Wang, J. Downregulation of microRNA-206 is a potent prognostic marker for patients with gastric cancer. Eur. J. Gastroenterol. Hepatol. 2013, 25, 953–957. [Google Scholar] [CrossRef] [PubMed]
- Liu, H.S.; Xiao, H.S. MicroRNAs as potential biomarkers for gastric cancer. World J. Gastroenterol. 2014, 20, 12007–12017. [Google Scholar] [CrossRef] [PubMed]
- Sun, X.X.; Yu, Q. Intra-tumor heterogeneity of cancer cells and its implications for cancer treatment. Acta Pharmacol. Sin. 2015, 36, 1219–1227. [Google Scholar] [CrossRef] [PubMed]
- Zhang, Y.; Guan, D.H.; Bi, R.X.; Xie, J.; Yang, C.H.; Jiang, Y.H. Prognostic value of microRNAs in gastric cancer: A meta-analysis. Oncotarget 2017, 8, 55489–55510. [Google Scholar] [CrossRef] [PubMed]
- Kumarswamy, R.; Mudduluru, G.; Ceppi, P.; Muppala, S.; Kozlowski, M.; Niklinski, J.; Papotti, M.; Allgayer, H. MicroRNA-30a inhibits epithelial-to-mesenchymal transition by targeting Snai1 and is downregulated in non-small cell lung cancer. Int. J. Cancer 2012, 130, 2044–2053. [Google Scholar] [CrossRef] [PubMed]
- Baraniskin, A.; Birkenkamp-Demtroder, K.; Maghnouj, A.; Zollner, H.; Munding, J.; Klein-Scory, S.; Reinacher-Schick, A.; Schwarte-Waldhoff, I.; Schmiegel, W.; Hahn, S.A. MiR-30a-5p suppresses tumor growth in colon carcinoma by targeting DTL. Carcinogenesis 2012, 33, 732–739. [Google Scholar] [CrossRef] [PubMed]
- Cheng, C.W.; Wang, H.W.; Chang, C.W.; Chu, H.W.; Chen, C.Y.; Yu, J.C.; Chao, J.I.; Liu, H.F.; Ding, S.L.; Shen, C.Y. MicroRNA-30a inhibits cell migration and invasion by downregulating vimentin expression and is a potential prognostic marker in breast cancer. Breast Cancer Res. Treat. 2012, 134, 1081–1093. [Google Scholar] [CrossRef] [PubMed]
- Li, X.; Zhang, Y.; Zhang, Y.; Ding, J.; Wu, K.; Fan, D. Survival prediction of gastric cancer by a seven-microRNA signature. Gut 2010, 59, 579–585. [Google Scholar] [CrossRef] [PubMed]
- Deng, M.; Tang, H.L.; Lu, X.H.; Liu, M.Y.; Lu, X.M.; Gu, Y.X.; Liu, J.F.; He, Z.M. miR-26a suppresses tumor growth and metastasis by targeting FGF9 in gastric cancer. PLoS ONE 2013, 8, e72662. [Google Scholar] [CrossRef] [PubMed]
- Zhang, B.; Liu, X.X.; He, J.R.; Zhou, C.X.; Guo, M.; He, M.; Li, M.F.; Chen, G.Q.; Zhao, Q. Pathologically decreased miR-26a antagonizes apoptosis and facilitates carcinogenesis by targeting MTDH and EZH2 in breast cancer. Carcinogenesis 2011, 32, 2–9. [Google Scholar] [CrossRef] [PubMed]
- Lu, J.; He, M.L.; Wang, L.; Chen, Y.; Liu, X.; Dong, Q.; Chen, Y.C.; Peng, Y.; Yao, K.T.; Kung, H.F.; et al. MiR-26a inhibits cell growth and tumorigenesis of nasopharyngeal carcinoma through repression of EZH2. Cancer Res. 2011, 71, 225–233. [Google Scholar] [CrossRef] [PubMed]
- Yang, X.; Liang, L.; Zhang, X.F.; Jia, H.L.; Qin, Y.; Zhu, X.C.; Gao, X.M.; Qiao, P.; Zheng, Y.; Sheng, Y.Y.; et al. MicroRNA-26a suppresses tumor growth and metastasis of human hepatocellular carcinoma by targeting interleukin-6-Stat3 pathway. Hepatology 2013, 58, 158–170. [Google Scholar] [CrossRef] [PubMed]
- Kim, C.H.; Kim, H.K.; Rettig, R.L.; Kim, J.; Lee, E.T.; Aprelikova, O.; Choi, I.J.; Munroe, D.J.; Green, J.E. miRNA signature associated with outcome of gastric cancer patients following chemotherapy. BMC Med. Genom. 2011, 4, 79. [Google Scholar] [CrossRef] [PubMed]
- Lam, E.K.; Wang, X.; Shin, V.Y.; Zhang, S.; Morrison, H.; Sun, J.; Ng, E.K.; Yu, J.; Jin, H. A microRNA contribution to aberrant Ras activation in gastric cancer. Am. J. Transl. Res. 2011, 3, 209–218. [Google Scholar] [PubMed]
- Sacconi, A.; Biagioni, F.; Canu, V.; Mori, F.; Di Benedetto, A.; Lorenzon, L.; Ercolani, C.; Di Agostino, S.; Cambria, A.M.; Germoni, S.; et al. miR-204 targets Bcl-2 expression and enhances responsiveness of gastric cancer. Cell Death Dis. 2012, 3, e423. [Google Scholar] [CrossRef] [PubMed]
- Lee, Y.; Yang, X.; Huang, Y.; Fan, H.; Zhang, Q.; Wu, Y.; Li, J.; Hasina, R.; Cheng, C.; Lingen, M.W.; et al. Network modeling identifies molecular functions targeted by miR-204 to suppress head and neck tumor metastasis. PLoS Comput. Biol. 2010, 6, e1000730. [Google Scholar] [CrossRef] [PubMed]
- Jiang, H.B.; Yang, T.J.; Lu, P.; Ma, Y.J. Gene expression profiling of gastric cancer. Eur. Rev. Med. Pharmacol. Sci. 2014, 18, 2109–2115. [Google Scholar] [PubMed]
- Liu, Y.; Chen, L.; Peng, S.Y.; Chen, Z.X.; Hoang-Vu, C. Role of CD97(stalk) and CD55 as molecular markers for prognosis and therapy of gastric carcinoma patients. J. Zhejiang Univ. Sci. B 2005, 6, 913–918. [Google Scholar] [CrossRef] [PubMed]
- Mamidi, S.; Cinci, M.; Hasmann, M.; Fehring, V.; Kirschfink, M. Lipoplex mediated silencing of membrane regulators (CD46, CD55 and CD59) enhances complement-dependent anti-tumor activity of trastuzumab and pertuzumab. Mol. Oncol. 2013, 7, 580–594. [Google Scholar] [CrossRef] [PubMed]
- Wu, J.; Lei, L.; Wang, S.; Gu, D.; Zhang, J. Immunohistochemical expression and prognostic value of CD97 and its ligand CD55 in primary gallbladder carcinoma. J. Biomed. Biotechnol. 2012, 2012, 587672. [Google Scholar] [CrossRef] [PubMed]
- Lee, S.W.; Kang, S.B.; Lee, D.S.; Lee, J.U. Akt and Cks1 are related with lymph node metastasis in gastric adenocarcinoma. Hepatogastroenterology 2013, 60, 932–937. [Google Scholar] [PubMed]
- Huang, C.W.; Lin, C.Y.; Huang, H.Y.; Liu, H.W.; Chen, Y.J.; Shih, D.F.; Chen, H.Y.; Juan, C.C.; Ker, C.G.; Huang, C.Y.; et al. CKS1B overexpression implicates clinical aggressiveness of hepatocellular carcinomas but not p27(Kip1) protein turnover: An independent prognosticator with potential p27 (Kip1)-independent oncogenic attributes? Ann. Surg. Oncol. 2010, 17, 907–922. [Google Scholar] [CrossRef] [PubMed]
- Lee, S.W.; Lin, C.Y.; Tian, Y.F.; Sun, D.P.; Lin, L.C.; Chen, L.T.; Hsing, C.H.; Huang, C.T.; Hsu, H.P.; Huang, H.Y.; et al. Overexpression of CDC28 protein kinase regulatory subunit 1B confers an independent prognostic factor in nasopharyngeal carcinoma. APMIS 2014, 122, 206–214. [Google Scholar] [CrossRef] [PubMed]
- Junnila, S.; Kokkola, A.; Mizuguchi, T.; Hirata, K.; Karjalainen-Lindsberg, M.L.; Puolakkainen, P.; Monni, O. Gene expression analysis identifies over-expression of CXCL1, SPARC, SPP1, and SULF1 in gastric cancer. Genes Chromosomes Cancer 2010, 49, 28–39. [Google Scholar] [CrossRef] [PubMed]
- Cao, Z.; Fu, B.; Deng, B.; Zeng, Y.; Wan, X.; Qu, L. Overexpression of Chemokine (C-X-C) ligand 1 (CXCL1) associated with tumor progression and poor prognosis in hepatocellular carcinoma. Cancer Cell Int. 2014, 14, 86. [Google Scholar] [CrossRef] [PubMed]
- Cheng, L.; Yang, S.; Yang, Y.; Zhang, W.; Xiao, H.; Gao, H.; Deng, X.; Zhang, Q. Global gene expression and functional network analysis of gastric cancer identify extended pathway maps and GPRC5A as a potential biomarker. Cancer Lett. 2012, 326, 105–113. [Google Scholar] [CrossRef] [PubMed]
- Zougman, A.; Hutchins, G.G.; Cairns, D.A.; Verghese, E.; Perry, S.L.; Jayne, D.G.; Selby, P.J.; Banks, R.E. Retinoic acid-induced protein 3: Identification and characterisation of a novel prognostic colon cancer biomarker. Eur. J. Cancer 2013, 49, 531–539. [Google Scholar] [CrossRef] [PubMed]
- Zheng, J.; Guo, X.; Gao, X.; Liu, H.; Tu, Y.; Zhang, Y. Overexpression of retinoic acid-induced protein 3 predicts poor prognosis for hepatocellular carcinoma. Clin. Transl. Oncol. 2014, 16, 57–63. [Google Scholar] [CrossRef] [PubMed]
- Lo, S.H. Tensin. Int. J. Biochem. Cell Biol. 2004, 36, 31–34. [Google Scholar] [CrossRef]
- Liao, Y.C.; Chen, N.T.; Shih, Y.P.; Dong, Y.; Lo, S.H. Up-regulation of C-terminal tensin-like molecule promotes the tumorigenicity of colon cancer through beta-catenin. Cancer Res. 2009, 69, 4563–4566. [Google Scholar] [CrossRef] [PubMed]
- Sasaki, H.; Yukiue, H.; Kobayashi, Y.; Fukai, I.; Fujii, Y. Cten mRNA expression is correlated with tumor progression in thymoma. Tumour Biol. 2003, 24, 271–274. [Google Scholar] [CrossRef] [PubMed]
- Sasaki, H.; Moriyama, S.; Mizuno, K.; Yukiue, H.; Konishi, A.; Yano, M.; Kaji, M.; Fukai, I.; Kiriyama, M.; Yamakawa, Y.; et al. Cten mRNA expression was correlated with tumor progression in lung cancers. Lung Cancer 2003, 40, 151–155. [Google Scholar] [CrossRef]
- Sakashita, K.; Mimori, K.; Tanaka, F.; Kamohara, Y.; Inoue, H.; Sawada, T.; Hirakawa, K.; Mori, M. Prognostic relevance of Tensin4 expression in human gastric cancer. Ann. Surg. Oncol. 2008, 15, 2606–2613. [Google Scholar] [CrossRef] [PubMed]
- D’Errico, M.; de Rinaldis, E.; Blasi, M.F.; Viti, V.; Falchetti, M.; Calcagnile, A.; Sera, F.; Saieva, C.; Ottini, L.; Palli, D.; et al. Genome-wide expression profile of sporadic gastric cancers with microsatellite instability. Eur. J. Cancer 2009, 45, 461–469. [Google Scholar] [CrossRef] [PubMed]
- Wang, Q.; Wen, Y.G.; Li, D.P.; Xia, J.; Zhou, C.Z.; Yan, D.W.; Tang, H.M.; Peng, Z.H. Upregulated INHBA expression is associated with poor survival in gastric cancer. Med. Oncol. 2012, 29, 77–83. [Google Scholar] [CrossRef] [PubMed]
- Ingold, B.; Simon, E.; Ungethum, U.; Kuban, R.J.; Muller, B.M.; Lupp, A.; Neumann, U.; Ebert, M.P.; Denkert, C.; Weichert, W.; et al. Vascular CXCR4 expression—A novel antiangiogenic target in gastric cancer? PLoS ONE 2010, 5, e10087. [Google Scholar] [CrossRef] [PubMed]
- Forster, S.; Gretschel, S.; Jons, T.; Yashiro, M.; Kemmner, W. THBS4, a novel stromal molecule of diffuse-type gastric adenocarcinomas, identified by transcriptome-wide expression profiling. Mod. Pathol. 2011, 24, 1390–1403. [Google Scholar] [CrossRef] [PubMed]
- Carvalho, J.; van Grieken, N.C.; Pereira, P.M.; Sousa, S.; Tijssen, M.; Buffart, T.E.; Diosdado, B.; Grabsch, H.; Santos, M.A.; Meijer, G.; et al. Lack of microRNA-101 causes E-cadherin functional deregulation through EZH2 up-regulation in intestinal gastric cancer. J. Pathol. 2012, 228, 31–44. [Google Scholar] [CrossRef] [PubMed]
- Oh, H.K.; Tan, A.L.; Das, K.; Ooi, C.H.; Deng, N.T.; Tan, I.B.; Beillard, E.; Lee, J.; Ramnarayanan, K.; Rha, S.Y.; et al. Genomic loss of miR-486 regulates tumor progression and the OLFM4 antiapoptotic factor in gastric cancer. Clin. Cancer Res. 2011, 17, 2657–2667. [Google Scholar] [CrossRef] [PubMed]
- Lewis, B.P.; Shih, I.H.; Jones-Rhoades, M.W.; Bartel, D.P.; Burge, C.B. Prediction of mammalian microRNA targets. Cell 2003, 115, 787–798. [Google Scholar] [CrossRef]
- Huang da, W.; Sherman, B.T.; Lempicki, R.A. Systematic and integrative analysis of large gene lists using DAVID bioinformatics resources. Nat. Protoc. 2009, 4, 44–57. [Google Scholar] [CrossRef] [PubMed]
- Kanehisa, M.; Furumichi, M.; Tanabe, M.; Sato, Y.; Morishima, K. KEGG: New perspectives on genomes, pathways, diseases and drugs. Nucleic Acids Res. 2017, 45, D353–D361. [Google Scholar] [CrossRef] [PubMed]
- Mahtout, H.; Curt, S.; Chandad, F.; Rouabhia, M.; Grenier, D. Effect of periodontopathogen lipopolysaccharides and proinflammatory cytokines on CD46, CD55, and CD59 gene/protein expression by oral epithelial cells. FEMS Immunol. Med. Microbiol. 2011, 62, 295–303. [Google Scholar] [CrossRef] [PubMed]
- Imaizumi, T.; Aizawa, T.; Segawa, C.; Shimada, M.; Tsuruga, K.; Kawaguchi, S.; Matsumiya, T.; Yoshida, H.; Joh, K.; Tanaka, H. Toll-like receptor 3 signaling contributes to the expression of a neutrophil chemoattractant, CXCL1 in human mesangial cells. Clin. Exp. Nephrol. 2015, 19, 761–770. [Google Scholar] [CrossRef] [PubMed]
- Zhou, H.; Rigoutsos, I. MiR-103a-3p targets the 5′ UTR of GPRC5A in pancreatic cells. RNA 2014, 20, 1431–1439. [Google Scholar] [CrossRef] [PubMed]
- Seo, E.Y.; Lee, D.H.; Lee, Y.; Cho, K.H.; Eun, H.C.; Chung, J.H. Microarray analysis reveals increased expression of DeltaNp63alpha in seborrhoeic keratosis. Br. J. Dermatol. 2012, 166, 337–342. [Google Scholar] [CrossRef] [PubMed]






| Datasets | Up-Regulated miRNAs | Down-Regulated miRNAs |
|---|---|---|
| GSE33743 | 173 | 56 |
| GSE30700 | 94 | 72 |
| GSE23739 | 333 | 173 |
| TCGA STAD | 250 | 108 |
| Datasets | miRNA | Log2FC | Datasets | miRNA | Log2FC | Datasets | miRNA | Log2FC |
|---|---|---|---|---|---|---|---|---|
| TCGA STAD | miR-204-5p | −1.82 | GSE23739 | miR-204-5p | −1.69 | GSE30700 | miR-375 | −1.74 |
| miR-145-5p | −1.24 | miR-375 | −1.35 | miR-204-5p | −1.35 | |||
| miR-375 | −0.86 | miR-145-5p | −1.35 | miR-642a-5p | −0.75 | |||
| miR-642a-5p | −0.79 | miR-642a-5p | −1.31 | miR-26a-5p | −0.47 | |||
| miR-26a-5p | −0.68 | miR-26a-5p | −0.88 | miR-145-5p | −0.46 | |||
| miR-30a-5p | −0.42 | miR-342-3p | −0.71 | miR-342-3p | −0.14 | |||
| miR-342-3p | −0.04 | miR-30a-5p | −0.53 | miR-30a-5p | −0.09 | |||
| TCGA STAD | miR-1-3p | −1.86 | GSE33743 | miR-1-3p | −2.49 | GSE30700 | miR-1-3p | −1.36 |
| miR-203a-3p | −1.03 | miR-203a-3p | −1.14 | miR-203a-3p | −0.96 |
| Term | Count | p-Value |
|---|---|---|
| Cell cycle | 88 | 1.97 × 10−4 |
| Cell cycle process | 66 | 6.38 × 10−4 |
| Cell cycle phase | 51 | 9.06 × 10−4 |
| Cell division | 38 | 0.002 |
| Cell proliferation | 50 | 0.004 |
| Programmed cell death | 61 | 0.028 |
| Apoptosis | 60 | 0.030 |
| Target Genes | Gene Ontology |
|---|---|
| CD55 | Regulation of complement activation, innate immune response |
| CKS1B | Cell cycle, cell proliferation, cell division |
| CXCL1 | Negative regulation of cell proliferation, cell proliferation, inflammatory response, signal transduction, immune response |
| GPRC5A | Signal transduction |
| TNS4 | Cell death, programmed cell death, apoptosis |
| Target Gene | Sequence(5′-3′) |
|---|---|
| CD55-UCSC F | GTTTAAACCCAAAGAAGAGTTAAGAAGAAAATACACACAAGTAT |
| CD55-UCSC R | TGCTCTAGATTAAGGAGGAAAAAAAGTTTTATTTTAAGAAATACACATTAAA |
| CKS1B-UCSC F | GTTTAAACAGCTGGCAAGCTACTTTTCAGC |
| CKS1B-UCSC R | TGCTCTAGATAGATTATAAAAACTTCCTCTTTAATCAAGGCTTTTAACATG |
| CXCL1-UCSC F | GTTTAAACCCAGAAGGGAGGAGGAAGCTC |
| CXCL1-UCSC R | TGCTCTAGATATAAATCACCAGATTTTCCAGTAAAGGTAGCC |
| GPRC5A-UCSC F | GTTTAAACCTCTGTCCTGAAGAGTGGGACA |
| GPRC5A-UCSC R | TGCTCTAGATTACTGGTAACTGCTGCCACC |
| TNS4-UCSC F | GTTTAAACGGGAGAGACTGCCTGTGC |
| TNS4-UCSC R | TGCTCTAGATTACTGTTTTGCAAAGACAAACATTTTATTTTTCATGA |
© 2017 by the authors. Licensee MDPI, Basel, Switzerland. This article is an open access article distributed under the terms and conditions of the Creative Commons Attribution (CC BY) license (http://creativecommons.org/licenses/by/4.0/).
Share and Cite
Shrestha, S.; Yang, C.-D.; Hong, H.-C.; Chou, C.-H.; Tai, C.-S.; Chiew, M.-Y.; Chen, W.-L.; Weng, S.-L.; Chen, C.-C.; Chang, Y.-A.; et al. Integrated MicroRNA–mRNA Analysis Reveals miR-204 Inhibits Cell Proliferation in Gastric Cancer by Targeting CKS1B, CXCL1 and GPRC5A. Int. J. Mol. Sci. 2018, 19, 87. https://doi.org/10.3390/ijms19010087
Shrestha S, Yang C-D, Hong H-C, Chou C-H, Tai C-S, Chiew M-Y, Chen W-L, Weng S-L, Chen C-C, Chang Y-A, et al. Integrated MicroRNA–mRNA Analysis Reveals miR-204 Inhibits Cell Proliferation in Gastric Cancer by Targeting CKS1B, CXCL1 and GPRC5A. International Journal of Molecular Sciences. 2018; 19(1):87. https://doi.org/10.3390/ijms19010087
Chicago/Turabian StyleShrestha, Sirjana, Chi-Dung Yang, Hsiao-Chin Hong, Chih-Hung Chou, Chun-San Tai, Men-Yee Chiew, Wen-Liang Chen, Shun-Long Weng, Chung-Chu Chen, Yi-An Chang, and et al. 2018. "Integrated MicroRNA–mRNA Analysis Reveals miR-204 Inhibits Cell Proliferation in Gastric Cancer by Targeting CKS1B, CXCL1 and GPRC5A" International Journal of Molecular Sciences 19, no. 1: 87. https://doi.org/10.3390/ijms19010087
APA StyleShrestha, S., Yang, C.-D., Hong, H.-C., Chou, C.-H., Tai, C.-S., Chiew, M.-Y., Chen, W.-L., Weng, S.-L., Chen, C.-C., Chang, Y.-A., Lee, M.-L., Huang, W.-Y., Hsu, S.-D., Chen, Y.-C., & Huang, H.-D. (2018). Integrated MicroRNA–mRNA Analysis Reveals miR-204 Inhibits Cell Proliferation in Gastric Cancer by Targeting CKS1B, CXCL1 and GPRC5A. International Journal of Molecular Sciences, 19(1), 87. https://doi.org/10.3390/ijms19010087

