Enhancement of Chlorogenic Acid Production in Hairy Roots of Platycodon grandiflorum by Over-Expression of An Arabidopsis thaliana Transcription Factor AtPAP1
Abstract
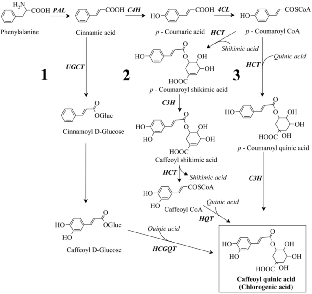
:1. Introduction

2. Results and Discussion
2.1. Establishment of Transgenic Hairy Root Lines


2.2. Chlorogenic Acid Production in Hairy Roots Over-Expressing AtPAP1


3. Experimental Section
3.1. Plasmid Construction
3.2. Establishment of Hairy Root Transformation
3.3. RNA Isolation and cDNA Synthesis
3.4. Quantitative Real-time PCR Analysis
| Primer | Sequence (5' to 3') | Amplicon (Base Pairs) |
|---|---|---|
| PgPAL1_F | CCACAACGTCACCCCTGTTT | 140 |
| PgPAL1_R | CATTAAGGACTTGCCCGGTT | |
| PgPAL2_F | AACCATAACATTACCCCATGCC | 146 |
| PgPAL2_R | GCAGCAGTAAGTGATTGTCCATCA | |
| PgC4H_F | CCTTTTGGTCCCTCACATGAAC | 175 |
| PgC4H_R | AGCCTCGACCTTGGACTCTTCT | |
| Pg4CL_F | CTTTGCCAAGGAACCATACGAG | 183 |
| Pg4CL_R | CTCTCAGTGGCCTCTGGATCAT | |
| PgC3H_F | CGATTATGGGCCTCATTATGTTA | 162 |
| PgC3H_R | CTCTTTCCCTCGTTATCAGGATT | |
| PgHCT_F | GGCTCGTGGACTCGATGTCA | 150 |
| PgHCT_R | GGACTGATTGAGCATTTGCAGG | |
| PgHQT_F | GAACGCCTCCGTTCAAAACA | 160 |
| PgHQT_R | GCGGCCAAGATCACGTAACTA | |
| PgActin_F | CCATACAGTCCCCATTTATGAAG | 170 |
| PgActin_R | GCTAACTTCTCCTTCATGTCTCTCA | |
| AtPAP1_F | AATGGCACCAAGTTCCTGTAAGA | 141 |
| AtPAP1_R | TATGAAGGCGAAGAAGAAGATCG |
3.5. High-Performance Liquid Chromatography (HPLC) Analysis
4. Conclusions
Acknowledgments
Author Contributions
Conflicts of Interest
References
- Abdulrazzak, N.; Pollet, B.; Ehlting, J.; Larsen, K.; Asnaghi, C.; Ronseau, S.; Proux, C.; Erhardt, M.; Seltzer, V.; Renou, J.P. A coumaroyl-ester-3-hydroxylase insertion mutant reveals the existence of nonredundant meta-hydroxylation pathways and essential roles for phenolic precursors in cell expansion and plant growth. Plant Physiol. 2006, 140, 30–48. [Google Scholar] [CrossRef]
- Rice-Evans, C.A.; Miller, N.J.; Paganga, G. Structure-antioxidant activity relationship of flavonoids and phenolic acids. Free Radic. Biol. Med. 1996, 20, 933–956. [Google Scholar]
- Clifford, M.N.; Knight, S.; Surucu, B.; Kuhnert, N. Characterization by LC–MS (n) of four new classes of chlorogenic acids in green coffee beans: Dimethoxycinnamoylquinic acids, diferuloylquinic acids, caffeoyl-dimethoxycinnamoylquinic acids, and feruloyl-dimethoxycinnamoylquinic acids. J. Agric. Food Chem. 2006, 54, 1957–1969. [Google Scholar] [CrossRef]
- Niggeweg, R.; Michael, A.J.; Martin, C. Engineering plants with increased levels of the antioxidant chlorogenic acid. Nat. Biotechnol. 2004, 22, 746–754. [Google Scholar] [CrossRef]
- Comino, C.; Lanteri, S.; Portis, E.; Acquadro, A.; Romani, A.; Hehn, A.; Larbat, R.; Bourgaud, F. Isolation and functional characterization of a cDNA coding a hydroxycinnamoyltransferase involved in phenylpropanoid biosynthesis in Cynara cardunculus L. BMC Plant Biol. 2007, 7, 14. [Google Scholar] [CrossRef]
- Lepelley, M.; Cheminade, G.; Tremillon, N.; Simkin, A.; Caillet, V.; McCarthy, J. Chlorogenic acid synthesis in coffee: An analysis of CGA content and real-time RT-PCR expression of HCT, HQT, C3H1, and CCoAOMT1 genes during grain development in C. canephora. Plant Sci. 2007, 172, 978–996. [Google Scholar] [CrossRef]
- Qiu, J.; Gao, F.; Shen, G.; Li, C.; Han, X.; Zhao, Q.; Zhao, D.; Hua, X.; Pang, Y. Metabolic engineering of the phenylpropanoid pathway enhances the antioxidant capacity of Saussurea involucrata. PLoS One 2013, 8, e70665. [Google Scholar] [CrossRef]
- Tohge, T.; Nishiyama, Y.; Hirai, M.Y.; Yano, M.; Nakajima, J.-I.; Awazuhara, M.; Inoue, E.; Takahashi, H.; Goodenowe, D.B.; Kitayama, M. Functional genomics by integrated analysis of metabolome and transcriptome of Arabidopsis plants over-expressing an MYB transcription factor. Plant J. 2005, 42, 218–235. [Google Scholar] [CrossRef]
- Borevitz, J.O.; Xia, Y.; Blount, J.; Dixon, R.A.; Lamb, C. Activation tagging identifies a conserved MYB regulator of phenylpropanoid biosynthesis. Plant Cell 2000, 12, 2383–2394. [Google Scholar] [CrossRef]
- Zhao, H.L.; Harding, S.V.; Marinangeli, C.P.E.; Kim, Y.S.; Jones, P.J.H. Hypocholesterolemic and anti-obesity effects of saponine from Platycodon grandiflorum in hamsters fed atherogenic diets. J. Food Sci. 2008, 73, H195–H200. [Google Scholar]
- Zheng, J.; He, J.; Ji, B.; Li, Y.; Zhang, X. Antihyperglycemic effects of Platycodon grandiflorum (Jacq.) A. DC—Extract on streptozotocin-induced diabetic mice. Plant Foods Hum. Nutr. 2007, 62, 7–11. [Google Scholar]
- Choi, J.H.; Yoo, K.Y.; Park, O.K.; Lee, C.H.; Won, M.H.; Hwang, I.K.; Ryu, S.Y.; Kim, Y.S.; Yi, J.S.; Bae, Y.S.; et al. Platycodin D and 2'-o-acetyl-polygalacin D2 isolated from Platycodon grandiflorum protect ischemia/reperfusion injury in the gerbil hippocampus. Brain Res. 2009, 1279, 197–208. [Google Scholar] [CrossRef]
- Lee, J.Y.; Yoon, J.W.; Kim, C.T.; Lim, S.T. Antioxidant activity of phenylpropanoid esters isolated and identified from Platycodon grandiflorum A. DC. Phytochemistry 2004, 65, 3033–3039. [Google Scholar]
- Sharma, P.; Padh, H.; Shrivastava, N. Hairy root cultures: A suitable biological system for studying secondary metabolic pathways in plants. Eng. Life Sci. 2013, 13, 62–75. [Google Scholar] [CrossRef]
- Howles, P.A.; Sewalt, V.; Paiva, N.L.; Elkind, Y.; Bate, N.J.; Lamb, C.; Dixon, R.A. Overexpression of l-phenylalanine ammonia-lyase in transgenic tobacco plants reveals control points for flux into phenylpropanoid biosynthesis. Plant Physiol. 1996, 112, 1617–1624. [Google Scholar]
- Luo, J.; Butelli, E.; Hill, L.; Parr, A.; Niggeweg, R.; Bailey, P.; Weisshaar, B.; Martin, C. AtMYB12 regulates caffeoyl quinic acid and flavonol synthesis in tomato: Expression in fruit results in very high levels of both types of polyphenol. Plant J. 2008, 56, 316–326. [Google Scholar] [CrossRef]
- Vogt, T. Phenylpropanoid biosynthesis. Mol. Plant 2010, 3, 2–20. [Google Scholar] [CrossRef]
- Karimi, M.; Bleys, A.; Vanderhaeghen, R.; Hilson, P. Building blocks for plant gene assembly. Plant Physiol. 2007, 145, 1183–1191. [Google Scholar] [CrossRef]
- Park, N.I.; Tuan, P.A.; Li, X.; Kim, Y.K.; Yang, T.J.; Park, S.U. An efficient protocol for genetic transformation of Platycodon grandiflorum with Agrobacterium rhizogenes. Mol. Biol. Rep. 2011, 38, 2307–2313. [Google Scholar] [CrossRef]
- Koressaar, T.; Remm, M. Enhancements and modifications of primer design program Primer3. Bioinformatics 2007, 23, 1289–1291. [Google Scholar] [CrossRef]
- Tuan, P.A.; Li, X.; Park, N.I.; Park, S.U. Molecular cloning and characterization of chlorogenic acid biosynthetic genes in Platycodon grandiflorum. Manuscript in preparation. 2014. [Google Scholar]
© 2014 by the authors; licensee MDPI, Basel, Switzerland. This article is an open access article distributed under the terms and conditions of the Creative Commons Attribution license (http://creativecommons.org/licenses/by/3.0/).
Share and Cite
Tuan, P.A.; Kwon, D.Y.; Lee, S.; Arasu, M.V.; Al-Dhabi, N.A.; Park, N.I.; Park, S.U. Enhancement of Chlorogenic Acid Production in Hairy Roots of Platycodon grandiflorum by Over-Expression of An Arabidopsis thaliana Transcription Factor AtPAP1. Int. J. Mol. Sci. 2014, 15, 14743-14752. https://doi.org/10.3390/ijms150814743
Tuan PA, Kwon DY, Lee S, Arasu MV, Al-Dhabi NA, Park NI, Park SU. Enhancement of Chlorogenic Acid Production in Hairy Roots of Platycodon grandiflorum by Over-Expression of An Arabidopsis thaliana Transcription Factor AtPAP1. International Journal of Molecular Sciences. 2014; 15(8):14743-14752. https://doi.org/10.3390/ijms150814743
Chicago/Turabian StyleTuan, Pham Anh, Do Yeon Kwon, Sanghyun Lee, Mariadhas Valan Arasu, Naif Abdullah Al-Dhabi, Nam Il Park, and Sang Un Park. 2014. "Enhancement of Chlorogenic Acid Production in Hairy Roots of Platycodon grandiflorum by Over-Expression of An Arabidopsis thaliana Transcription Factor AtPAP1" International Journal of Molecular Sciences 15, no. 8: 14743-14752. https://doi.org/10.3390/ijms150814743
APA StyleTuan, P. A., Kwon, D. Y., Lee, S., Arasu, M. V., Al-Dhabi, N. A., Park, N. I., & Park, S. U. (2014). Enhancement of Chlorogenic Acid Production in Hairy Roots of Platycodon grandiflorum by Over-Expression of An Arabidopsis thaliana Transcription Factor AtPAP1. International Journal of Molecular Sciences, 15(8), 14743-14752. https://doi.org/10.3390/ijms150814743

