Sign in to use this feature.

Years

Between: -

Subjects

remove_circle_outline
remove_circle_outline
remove_circle_outline
remove_circle_outline
remove_circle_outline
remove_circle_outline
remove_circle_outline
remove_circle_outline
remove_circle_outline

Journals

remove_circle_outline
remove_circle_outline
remove_circle_outline
remove_circle_outline
remove_circle_outline
remove_circle_outline
remove_circle_outline
remove_circle_outline
remove_circle_outline
remove_circle_outline
remove_circle_outline
remove_circle_outline
remove_circle_outline
remove_circle_outline
remove_circle_outline
remove_circle_outline
remove_circle_outline
remove_circle_outline

Article Types

Countries / Regions

remove_circle_outline
remove_circle_outline
remove_circle_outline
remove_circle_outline
remove_circle_outline
remove_circle_outline
remove_circle_outline

Search Results (7,823)

Search Parameters:
Keywords = gene over-expression

Order results
Result details
Results per page
Select all
Export citation of selected articles as:
17 pages, 1972 KB  
Article
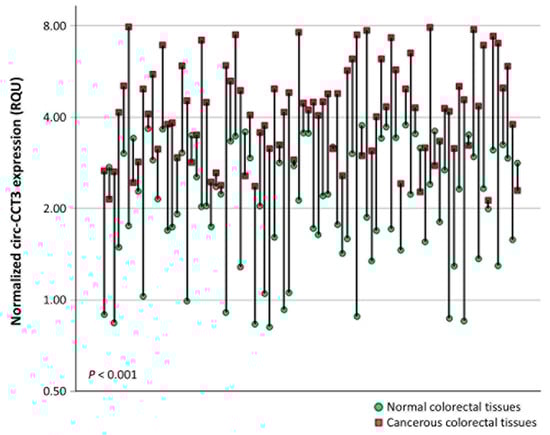
A Retrospective Study in Colorectal Adenocarcinoma Uncovers the Potential of Circ-CCT3 as a Predictor of Tumor Recurrence
by Panagiotis Kokoropoulos, Spyridon Christodoulou, Panagiotis Tsiakanikas, Efthimios Poulios, Panteleimon Vassiliu, Christos K. Kontos and Nikolaos Arkadopoulos
Biomedicines 2025, 13(10), 2432; https://doi.org/10.3390/biomedicines13102432 (registering DOI) - 6 Oct 2025
Abstract
Background/Objectives: Colorectal cancer (CRC) is one of the most prevalent malignancies; this issue underlines the need for accurate molecular biomarkers for early detection and accurate prognosis. Circular RNAs (circRNAs) have recently emerged as very promising cancer biomarkers. The circular transcript of the chaperonin-containing [...] Read more.
Background/Objectives: Colorectal cancer (CRC) is one of the most prevalent malignancies; this issue underlines the need for accurate molecular biomarkers for early detection and accurate prognosis. Circular RNAs (circRNAs) have recently emerged as very promising cancer biomarkers. The circular transcript of the chaperonin-containing TCP1 subunit 3 (CCT3) gene, namely circ-CCT3, is a significant oncogenic driver. In gastrointestinal malignancies, circ-CCT3 promotes tumor growth by sponging tumor-suppressor miRNAs. In this study, we examined whether circ-CCT3 expression can predict the prognosis of patients diagnosed with colorectal adenocarcinoma, the most frequent type of CRC. Methods: Total RNA was extracted from pulverized, fresh frozen colorectal tissues and reverse-transcribed. A previously developed, highly sensitive quantitative PCR (qPCR) assay was applied to determine circ-CCT3 expression in 216 primary colorectal adenocarcinoma tissue specimens and 86 paired normal colorectal tissues. Results: circ-CCT3 was significantly upregulated in colorectal adenocarcinoma tissues, in comparison to their non-cancerous tissue counterparts. Higher circ-CCT3 expression was associated with a poorer disease-free (DFS) and overall survival (OS) of colorectal adenocarcinoma patients. Interestingly, multivariate Cox regression showed that the prognostic value of circ-CCT3 expression regarding DFS was independent of other established prognosticators used in clinical practice, including TNM staging. Furthermore, the stratification of patients based on the TNM classification of the tumors revealed that increased circ-CCT3 levels predicted shorter DFS and OS intervals, especially in the subgroup of TNM stage II or III patients. Conclusions: Our study provides evidence that circ-CCT3 overexpression constitutes a promising molecular biomarker of poor prognosis in colorectal adenocarcinoma, independently predicting tumor recurrence. Full article
(This article belongs to the Section Molecular and Translational Medicine)
Show Figures

Figure 1

23 pages, 2572 KB  
Review
Molecular Mechanisms and Clinical Implications of Fibroblast Growth Factor Receptor 2 Signaling in Gastrointestinal Stromal Tumors
by Yanyun Hong, Xiaodong Wang, Chunhui Shou and Xiaosun Liu
Curr. Issues Mol. Biol. 2025, 47(10), 822; https://doi.org/10.3390/cimb47100822 (registering DOI) - 5 Oct 2025
Abstract
Introduction: Gastrointestinal stromal tumors (GISTs) are primarily driven by mutations in KIT (KIT proto-oncogene receptor tyrosine kinase) or PDGFRA (platelet-derived growth factor receptor alpha), but resistance to tyrosine kinase inhibitors (TKIs) such as imatinib remains a major clinical challenge. Alterations [...] Read more.
Introduction: Gastrointestinal stromal tumors (GISTs) are primarily driven by mutations in KIT (KIT proto-oncogene receptor tyrosine kinase) or PDGFRA (platelet-derived growth factor receptor alpha), but resistance to tyrosine kinase inhibitors (TKIs) such as imatinib remains a major clinical challenge. Alterations in fibroblast growth factor receptor 2 (FGFR2), although rare, are emerging as important contributors to tumor progression and drug resistance. This review evaluates the molecular mechanisms, expression profiles, detection methods, and therapeutic implications of FGFR2 in GIST. Methods: We searched PubMed, Web of Science, Google Scholar, and ClinicalTrials.gov for studies published between January 2010 and June 2025, using combinations of keywords related to FGFR2, gastrointestinal stromal tumor, resistance mechanisms, gene fusion, amplification, polymorphisms, and targeted therapy. Eligible studies were critically assessed to distinguish GIST-specific data from evidence extrapolated from other cancers. Results:FGFR2 is expressed in multiple normal tissues and at variable levels in mesenchymal-derived tumors, including GIST. Its alterations occur in approximately 1–2% of GIST cases, most commonly as gene fusions (e.g., FGFR2::TACC2, <1%) or amplifications (1–2%); point mutations and clinically significant polymorphisms are extremely rare. These alterations activate the MAPK/ERK and PI3K/AKT pathways, contribute to bypass signaling, and enhance DNA damage repair, thereby promoting TKI resistance. Beyond mutations, mechanisms such as amplification, ligand overexpression, and microenvironmental interactions also play roles. FGFR2 alterations appear mutually exclusive with KIT/PDGFRA mutations but occasional co-occurrence has been reported. Current clinical evidence is largely limited to small cohorts, basket trials, or case reports. Conclusions:FGFR2 is an emerging oncogenic driver and biomarker of resistance in a rare subset of GISTs. Although direct evidence remains limited, particularly regarding DNA repair and polymorphisms, FGFR2-targeted therapies (e.g., erdafitinib, pemigatinib) show potential, especially in combination with TKIs or DNA-damaging agents. Future research should prioritize GIST-specific clinical trials, the development of FGFR2-driven models, and standardized molecular diagnostics to validate FGFR2 as a therapeutic target. Full article
(This article belongs to the Section Molecular Medicine)
Show Figures

Figure 1

8 pages, 570 KB  
Review
Genetic and Molecular Insights into the Links Between Heat Stroke, Alzheimer’s Disease, and Down Syndrome: A Mini-Review
by Hisahide Nishio, Hirokuni Negishi, Hiroyuki Awano and Jumpei Oba
Genes 2025, 16(10), 1171; https://doi.org/10.3390/genes16101171 (registering DOI) - 5 Oct 2025
Abstract
Both epidemiological and animal model studies have revealed that heat stroke is closely related to the development or exacerbation of dementia disorders. The most common form of dementia is Alzheimer’s disease, which is characterized by the accumulation of amyloid-β protein in the central [...] Read more.
Both epidemiological and animal model studies have revealed that heat stroke is closely related to the development or exacerbation of dementia disorders. The most common form of dementia is Alzheimer’s disease, which is characterized by the accumulation of amyloid-β protein in the central nervous system. Notably, a whole-genome transcriptome analysis of heat stroke patients has identified the increased expression of amyloid-β precursor protein gene and the activation of amyloid processing pathways. This finding provides a molecular basis for the theory that heat stroke is a risk factor for dementia disorders. Down syndrome—a common chromosomal abnormality—is also a dementia disorder that is characterized by the overexpression of amyloid-β precursor protein gene and the accumulation of amyloid-β protein. Thus, heat stroke may also develop or exacerbate Alzheimer’s disease-like dementia in Down syndrome. For individuals with Down syndrome, heat stroke is therefore not only a life-threatening risk factor but may also be a risk factor for accelerating intellectual decline. Full article
Show Figures

Figure 1

11 pages, 1490 KB  
Article
RNA Signature as Potential Diagnostic Marker for Differentiation of Pancreatic Cysts: A Pilot Study
by Olga Freylikhman, Sabina Seyfedinova, Valeriia Kamalova, Aleksandra Vatian, Alexander Boukhanovsky, Anna Kostareva, Evgenii Solonitsyn and Olga Kalinina
Int. J. Mol. Sci. 2025, 26(19), 9680; https://doi.org/10.3390/ijms26199680 (registering DOI) - 4 Oct 2025
Abstract
The accurate classification of pancreatic cystic lesions remains clinically challenging due to overlapping imaging features and variable malignant potential. Mucinous cystic neoplasms, in particular, require early identification given their premalignant nature. RNA profiling presents a promising alternative to current diagnostic limitations—a molecular lens [...] Read more.
The accurate classification of pancreatic cystic lesions remains clinically challenging due to overlapping imaging features and variable malignant potential. Mucinous cystic neoplasms, in particular, require early identification given their premalignant nature. RNA profiling presents a promising alternative to current diagnostic limitations—a molecular lens sharpened by AI-driven pattern recognition. This study aimed to evaluate the diagnostic potential of RNA signatures for differentiating pancreatic cyst subtypes and to clarify their roles in their pathophysiology. The study included 31 patients with pancreatic lesions who underwent endoscopic ultrasound-guided fine-needle aspiration. RNA was extracted from cyst fluid, tissue, and peripheral blood. Expression of 17 target genes was analyzed using qPCR. Gene expression patterns were compared across mucinous cystic neoplasms, serous cystic neoplasms, pseudocysts, adenocarcinoma, and chronic pancreatitis cohorts. Diagnostic accuracy was evaluated via ROC analysis. Mucinous cysts exhibited significant overexpression of MUC1, ITGA2, ELOVL6, and MUC5AC genes compared to serous cysts and pseudocysts. PKM gene expression correlated with increasing malignant potential. In blood plasma, only MUC1, MUC4, and PYGL were elevated in adenocarcinoma compared to mucinous neoplasms. We identified a distinct RNA signature that can distinguish mucinous cystic neoplasms from benign cystic lesions (serous cysts and pseudocysts), which could be useful for guiding patient management and improving clinical outcomes. Validation in broader cohorts is essential for clinical implementation. Full article
(This article belongs to the Section Molecular Pathology, Diagnostics, and Therapeutics)
Show Figures

Figure 1

13 pages, 2439 KB  
Article
2-Hydroxymelatonin Induces Husk-Imposed Vivipary in the Transgenic Rice Overexpressing Melatonin 2-Hydroxylase
by Kyungjin Lee and Kyoungwhan Back
Biomolecules 2025, 15(10), 1412; https://doi.org/10.3390/biom15101412 (registering DOI) - 4 Oct 2025
Abstract
Pre-harvest sprouting (PHS) reduces the quality and quantity of crop seeds. PHS can be imposed through the embryo or husk pathway of cereal crops. Most reported PHS seeds are imposed via the embryo pathway. Here, we generated transgenic rice plants overexpressing rice melatonin [...] Read more.
Pre-harvest sprouting (PHS) reduces the quality and quantity of crop seeds. PHS can be imposed through the embryo or husk pathway of cereal crops. Most reported PHS seeds are imposed via the embryo pathway. Here, we generated transgenic rice plants overexpressing rice melatonin 2-hydroxylase (OsM2H), which catalyzes the hydroxylation of melatonin to 2-hydroxymelatonin (2-OHM). OsM2H overexpression (M2H-OE) showed PHS under paddy conditions. Germination assays revealed that intact seeds harvested at 26 and 36 days after heading (DAH) showed PHS, whereas dehusked seeds did not, indicating husk-imposed PHS. Overproduction of 2-OHM was observed in M2H-OE seeds compared to wild-type control. In addition, M2H-OE lines produced more hydrogen peroxide than the wild-type. 2-OHM-induced reactive oxygen species resulted in the induction of OsGA3ox2, a gibberellin (GA) biosynthesis gene, and repression of OsGA2ox3, a GA degradation gene, in caryopses at 2 DAH, but in the induction of the ABA degradation gene OsABA8ox3 in intact seeds at 26 DAH. In addition, M2H-OE seedlings were longer and showed increased levels of hydrogen peroxide and OsGA3ox2 expression versus the wild-type. This is the first report showing that 2-OHM can induce PHS via the husk pathway in rice seeds through the induction of GA biosynthetic and ABA degradation genes. Full article
(This article belongs to the Special Issue New Insights into Hormonal Control of Plant Growth and Development)
Show Figures

Figure 1

21 pages, 2154 KB  
Article
Root-Specific Overexpression of the CmDUF239-1 Gene Enhances Heat Tolerance in Melon Seedlings by Upregulating Antioxidant Enzymes Activities, Proline Content, and Expression of Heat Shock Protein-Related Genes
by Yang Li, Zhanming Tan, Yanjun Liu, Yuquan Peng and Chunyan Liu
Horticulturae 2025, 11(10), 1198; https://doi.org/10.3390/horticulturae11101198 - 3 Oct 2025
Abstract
High temperature stress is a critical factor affecting the growth and yield of melons (Cucumis melo L.), and improving heat tolerance is therefore crucial for stable production. While the overexpression of the CmDUF239-1 gene is known to improve salt tolerance in melons, [...] Read more.
High temperature stress is a critical factor affecting the growth and yield of melons (Cucumis melo L.), and improving heat tolerance is therefore crucial for stable production. While the overexpression of the CmDUF239-1 gene is known to improve salt tolerance in melons, its impact on heat tolerance remains unexplored. The role of the CmDUF239-1 gene in enhancing heat tolerance and its underlying mechanisms was investigated in this study. Melon seedlings overexpressing CmDUF239-1 (OEDUF239-1), generated via root transformation, exhibited significantly lower reductions in fresh and dry mass under heat stress compared to controls, indicating enhanced heat tolerance. One day post-stress, antioxidant enzyme activities (SOD, POD, CAT, APX, and GR) increased significantly in OEDUF239-1, while malondialdehyde (MDA) levels decreased. Additionally, proline content and the activity of its synthesizing enzyme (P5CS) rose, whereas the activity of proline dehydrogenase (ProDH) dropped. Transcriptomic and qPCR analyses revealed that CmDUF239-1 overexpression upregulated antioxidant enzyme-related genes (e.g., CmCSD1, CmPOD1) and proline-related genes (e.g., CmP5CS), as well as Heat Shock Protein (HSP) genes (e.g., CmHSP17.6II, CmHSP18.2). In summary, the enhancement of heat tolerance in melon by the CmDUF239-1 gene was mediated through the upregulation of genes involved in antioxidant defense and proline metabolism, together with increased accumulation of HSPs, providing a mechanistic basis for heat-resilient breeding programs. Full article
(This article belongs to the Special Issue Abiotic Stress Responses of Vegetable Crops—2nd Edition)
Show Figures

Figure 1

15 pages, 1290 KB  
Article
Successful Delivery of Small Non-Coding RNA Molecules into Human iPSC-Derived Lung Spheroids in 3D Culture Environment
by Anja Schweikert, Chiara De Santi, Xi Jing Teoh, Frederick Lee Xin Yang, Enya O’Sullivan, Catherine M. Greene, Killian Hurley and Irene K. Oglesby
Biomedicines 2025, 13(10), 2419; https://doi.org/10.3390/biomedicines13102419 - 3 Oct 2025
Abstract
Background/Objectives: Spheroid cultures in Matrigel are routinely used to study cell behaviour in complex 3D settings, thereby generating preclinical models of disease. Ideally, researchers would like to modulate gene expression ‘in situ’ for testing novel gene therapies while conserving the spheroid architecture. [...] Read more.
Background/Objectives: Spheroid cultures in Matrigel are routinely used to study cell behaviour in complex 3D settings, thereby generating preclinical models of disease. Ideally, researchers would like to modulate gene expression ‘in situ’ for testing novel gene therapies while conserving the spheroid architecture. Here, we aim to provide an efficient method to transfect small RNAs (such as microRNAs and small interfering RNAs, i.e., siRNAs) into human induced pluripotent stem cell (iPSC)-derived 3D lung spheroids, specifically alveolar type II epithelial cells (iAT2) and basal cell (iBC) spheroids. Methods: Transfection of iAT2 spheroids within 3D Matrigel ‘in situ’, whole spheroids released from Matrigel or spheroids dissociated to single cells was explored via flow cytometry using a fluorescently labelled siRNA. Validation of the transfection method was performed in iAT2 and iBC spheroids using siRNA and miRNA mimics and measurement of specific target expression post-transfection. Results: Maximal delivery of siRNA was achieved in serum-free conditions in whole spheroids released from the Matrigel, followed by whole spheroids ‘in situ’. ‘In situ’ transfection of SFTPC-siRNA led to a 50% reduction in the SFTPC mRNA levels in iAT2 spheroids. Transfection of miR-29c mimic and miR-21 pre-miR into iAT2 and iBC spheroids, respectively, led to significant miRNA overexpression, together with a significant decrease in protein levels of the miR-29 target FOXO3a. Conclusions: This study demonstrates successful transfection of iPSC-derived lung spheroids without disruption of their 3D structure using a simple and feasible approach. Further development of these methods will facilitate functional studies in iPSC-derived spheroids utilizing small RNAs. Full article
(This article belongs to the Section Molecular Genetics and Genetic Diseases)
Show Figures

Figure 1

16 pages, 6405 KB  
Article
Striking at Survivin: YM-155 Inhibits High-Risk Neuroblastoma Growth and Enhances Chemosensitivity
by Danielle C. Rouse, Rameswari Chilamakuri and Saurabh Agarwal
Cancers 2025, 17(19), 3221; https://doi.org/10.3390/cancers17193221 - 2 Oct 2025
Abstract
Background/Objectives: Neuroblastoma (NB) is an aggressive pediatric malignancy that accounts for nearly 15% of all childhood cancer-related deaths, with high-risk cases showing a poor 20% prognosis and limited response to current therapies. Survivin, encoded by the BIRC5 gene, is an anti-apoptotic protein frequently [...] Read more.
Background/Objectives: Neuroblastoma (NB) is an aggressive pediatric malignancy that accounts for nearly 15% of all childhood cancer-related deaths, with high-risk cases showing a poor 20% prognosis and limited response to current therapies. Survivin, encoded by the BIRC5 gene, is an anti-apoptotic protein frequently overexpressed in NB and linked to treatment resistance and unfavorable clinical outcomes. Methods and Results: An analysis of 1235 NB patient datasets revealed a significant association between elevated BIRC5 expression and reduced overall and event-free survival, highlighting survivin as an important therapeutic target in NB. To explore this strategy, we evaluated the efficacy of YM-155, a small-molecule survivin inhibitor, across multiple NB cell lines. YM-155 displayed potent cytotoxic activity in six NB cell lines with IC50 values ranging from 8 to 212 nM and significantly inhibited colony formation and 3D spheroid growth in a dose-dependent manner. Mechanistic analyses revealed that YM-155 downregulated survivin at both mRNA and protein levels, induced apoptosis by about 2–7-fold, and caused G0/G1 phase cell cycle arrest. Moreover, YM-155 treatment enhanced p53 expression, suggesting reactivation of tumor suppressor pathways. Notably, combining YM-155 and the chemotherapeutic agent etoposide resulted in synergistic inhibition of NB growth with ED75 values ranging from 0.17 to 1, compared to either agent alone. In the xenograft mouse model, YM-155 inhibited tumor burden in contrast to controls by about 3-fold, and without any notable toxic effects in vivo. Conclusion: Overall, our findings identify YM-155 as a promising therapeutic agent for high-risk NB by directly targeting survivin and enhancing chemosensitivity. These results support continued preclinical development of survivin inhibitors as part of rational combination strategies in pediatric cancer treatment. Full article
(This article belongs to the Special Issue Cellular and Molecular Mechanisms of Malignant Nervous System Cancers)
Show Figures

Graphical abstract

15 pages, 2058 KB  
Article
Screening of 31 Lactic Acid Bacteria Strains Identified Levilactobacillus brevis NCTC 13768 as a High-Yield GABA Producer
by Desislava Teneva, Daniela Pencheva, Tsvetanka Teneva-Angelova, Svetla Danova, Nikoleta Atanasova, Lili Dobreva, Manol Ognyanov, Ani Petrova, Aleksandar Slavchev, Vasil Georgiev and Petko Denev
Appl. Sci. 2025, 15(19), 10670; https://doi.org/10.3390/app151910670 - 2 Oct 2025
Abstract
Gamma-aminobutyric acid (GABA) is the main inhibitory neurotransmitter in the vertebrate central nervous system, known for its role in promoting sleep, reducing anxiety, regulating blood pressure, and modulating stress, cognition, and behavior. Microbial fermentation offers an effective method for GABA production, with certain [...] Read more.
Gamma-aminobutyric acid (GABA) is the main inhibitory neurotransmitter in the vertebrate central nervous system, known for its role in promoting sleep, reducing anxiety, regulating blood pressure, and modulating stress, cognition, and behavior. Microbial fermentation offers an effective method for GABA production, with certain lactic acid bacteria (LAB) strains recognized as efficient producers. This study assessed the GABA-producing potential of 31 LAB strains, including isolates from traditional Bulgarian foods and plants. The strains were cultivated in an MRS medium supplemented with 1% monosodium glutamate (MSG), and GABA production was quantified using HPLC after derivatization with dansyl chloride. Most strains produced between 200 and 300 mg/L of GABA. However, Levilactobacillus brevis NCTC 13768 showed much higher productivity, reaching 3830.7 mg/L. To further evaluate its capacity, L. brevis NCTC 13768 was cultivated for 168 h in MRS medium with and without MSG. Without MSG, GABA production peaked at 371.0 mg/L during the late exponential phase. In contrast with MSG, GABA levels steadily increased, reaching 3333.6 mg/L after 168 h. RT-qPCR analyses of the glutamic acid decarboxylase (GAD) system showed that the genes of glutamate decarboxylase (gadB), glutamate-GABA antiporter (gadC), and transcriptional regulator (gadR) are significantly overexpressed when the culture reaches the late stationary phase of growth (96 h after the beginning of cultivation). These results identify L. brevis NCTC 13768 as a high-yield GABA producer, with potential applications in the production of fermented functional foods and beverages. Full article
(This article belongs to the Special Issue Application of Natural Components in Food Production, 2nd Edition)
Show Figures

Figure 1

16 pages, 4838 KB  
Article
Critical Requirement of Senescence-Associated CCN3 Expression in CD44-Positive Stem Cells for Osteoarthritis Progression
by Janvier Habumugisha, Ryuichiro Okuda, Kazuki Hirose, Miho Kuwahara, Ziyi Wang, Mitsuaki Ono, Hiroshi Kamioka, Satoshi Kubota and Takako Hattori
Int. J. Mol. Sci. 2025, 26(19), 9630; https://doi.org/10.3390/ijms26199630 - 2 Oct 2025
Abstract
Osteoarthritis (OA) is a degenerative joint disease characterized by progressive cartilage breakdown, synovial inflammation, and subchondral bone remodeling. Previous studies have shown that cellular communication network factor 3 (CCN3) expression increases with age in cartilage, and its overexpression promotes OA-like changes by inducing [...] Read more.
Osteoarthritis (OA) is a degenerative joint disease characterized by progressive cartilage breakdown, synovial inflammation, and subchondral bone remodeling. Previous studies have shown that cellular communication network factor 3 (CCN3) expression increases with age in cartilage, and its overexpression promotes OA-like changes by inducing senescence-associated secretory phenotypes. This study aimed to investigate the effect of Ccn3 knockout (KO) on OA development using a murine OA model. Destabilization of the medial meniscus (DMM) surgery was performed in wild-type (WT) and Ccn3-KO mice. Histological scoring and staining were used to assess cartilage degeneration and proteoglycan loss. Gene and protein expressions of catabolic enzyme (Mmp9), hypertrophic chondrocyte marker (Col10a1), senescence marker, and cyclin-dependent kinase inhibitor 1A (Cdkn1a) were evaluated. Single-cell RNA sequencing (scRNA-seq) data from WT and Sox9-deficient cartilage were reanalyzed to identify Ccn3+ progenitor populations. Immunofluorescence staining assessed CD44 and Ki67 expression in articular cartilage. The effects of Ccn3 knockdown on IL-1β-induced Mmp13 and Adamts5 expression in chondrocytes were examined in vitro. Ccn3 KO mice exhibited reduced cartilage degradation and catabolic gene expression compared with WT mice post-DMM. scRNA-seq revealed enriched Ccn3-Cd44 double-positive cells in osteoblast progenitor, synovial mesenchymal stem cell, and mesenchymal stem cell clusters. Immunofluorescence showed increased CCN3+/CD44+ cells in femoral and tibial cartilage and meniscus. Ki67+ cells were significantly increased in DMM-treated Ccn3 KO cartilage, mostly CD44+. In vitro Ccn3 knockdown attenuated IL-1β-induced Mmp13 and Adamts5 expressions in chondrocytes. Ccn3 contributes to OA pathogenesis by promoting matrix degradation, inducing hypertrophic changes, and restricting progenitor cell proliferation, highlighting Ccn3 as a potential therapeutic target for OA. Full article
(This article belongs to the Special Issue Advanced Molecular Mechanism of Pathogenesis of Osteoarthritis)
Show Figures

Figure 1

18 pages, 3623 KB  
Article
Identification of the CDPK Pan-Genomic Family in Pear (Pyrus spp.) and Analysis of Its Response to Venturia nashicola
by Xing Hu, Yixuan Lian, Zhaoyun Yang, Tong Li, Yuqin Song and Liulin Li
Horticulturae 2025, 11(10), 1181; https://doi.org/10.3390/horticulturae11101181 - 2 Oct 2025
Abstract
This study investigated the phylogenetic relationships in the pear calcium-dependent protein kinase (CDPK) pan-gene family and elucidated its role in the resistance to scab disease caused by Venturia nashicola. By integrating data from eight genomic sets from five cultivated pear species, Pyrus [...] Read more.
This study investigated the phylogenetic relationships in the pear calcium-dependent protein kinase (CDPK) pan-gene family and elucidated its role in the resistance to scab disease caused by Venturia nashicola. By integrating data from eight genomic sets from five cultivated pear species, Pyrus bretschneideri, P. ussuriensis, P. sinkiangensis, P pyrifolia, and P. communis, along with P. betulifolia and interspecific hybrids, 63 PyCDPK family members were identified. Among these, P. communis possessed the highest number of CDPK genes, whereas P. bretschneiderilia had the fewest. These genes encode proteins ranging from 459 to 810 amino acids in length, and are predominantly localized to the cell membrane. Six genes, PyCDPK9, PyCDPK11, PyCDPK12, PyCDPK14, PyCDPK16, and PyCDPK19, were classified as core members of the pan-genome, and PyCDPK19 showed evidence of positive selection pressure. Clustering analysis and transcriptomic expression profiling of disease-resistance-related CDPKs identified PyCDPK19 as a key candidate associated with scab resistance. Promoter analysis revealed that the regulatory region of PyCDPK19 contains multiple cis-acting elements involved in defense responses and methyl jasmonate signaling. Transient overexpression of PyCDPK19 in tobacco leaves induced hypersensitive cell necrosis, accompanied by significant increases in hydrogen peroxide (H2O2) accumulation and malondialdehyde (MDA) content. Similarly, overexpression in pear fruit callus tissue followed by pathogen inoculation resulted in elevated levels of both H2O2 and MDA. Collectively, these findings indicate that PyCDPK19 mediates defense responses through the activation of the reactive oxygen species pathway in both tobacco and pear plants, providing a promising genetic target for enhancing scab resistance in pears. Full article
(This article belongs to the Section Genetics, Genomics, Breeding, and Biotechnology (G2B2))
Show Figures

Figure 1

18 pages, 1688 KB  
Article
Thymoquinone Upregulates microRNA-199a-3p and Downregulates COX-2 Expression and PGE2 Production via Deactivation of p38/ERK/JNK-MAPKs and p65/p50-NF-κB Signaling in Human Lung Cancer Cells
by Yusuf Saleem Khan, Aisha Farhana, Ghorashy E. Y. Mohammed, Abuzar Abdulwahab Osman, Abdullah Alsrhani, Syed M. A. Shahid, Mohammed Kuddus and Zafar Rasheed
Biology 2025, 14(10), 1348; https://doi.org/10.3390/biology14101348 - 2 Oct 2025
Abstract
Chronic inflammation driven by Cyclooxygenase-2 (COX-2) overexpression plays a key role in lung cancer (LC) progression, making it a critical therapeutic target. This study explores thymoquinone (TQ), a potent bioactive phytochemical derived from Nigella sativa, known for its anti-inflammatory and anti-cancer effects, focusing [...] Read more.
Chronic inflammation driven by Cyclooxygenase-2 (COX-2) overexpression plays a key role in lung cancer (LC) progression, making it a critical therapeutic target. This study explores thymoquinone (TQ), a potent bioactive phytochemical derived from Nigella sativa, known for its anti-inflammatory and anti-cancer effects, focusing on its ability to suppress lipopolysaccharide (LPS)-induced COX-2 expression via microRNA hsa-miR-199a-3p modulation in LC cells. Using A549 and SHP-77 LC cells, we tested the effect of TQ under LPS stimulation and miRNA inhibition. Advanced techniques like TaqMan qPCR, luciferase reporter gene constructs, and anti-miRNA transfection confirmed that miR-199a-3p directly silences COX-2. Western blot and ELISA assays revealed that TQ dramatically reduces COX-2 protein and PGE2 levels by boosting miRNA-199a-3p. Importantly, TQ also blocked MAPK (p38, JNK, ERK) and NF-κB activation, even when miR-199a-3p was suppressed, proving its multi-targeted action beyond miRNA regulation. These findings reveal a novel anti-inflammatory mechanism, where TQ curbs COX-2-driven inflammation by enhancing miR-199a-3p, simultaneously shutting down pro-cancer MAPK/NF-κB signaling pathways. Given the strong link between chronic inflammation and LC aggressiveness, this study positions TQ as a promising therapeutic candidate, especially for inflammation-mediated lung cancer progression. Its dual ability to modulate miRNA and key signaling cascades makes it a compelling option for future LC treatment strategies. Full article
(This article belongs to the Special Issue Plant Natural Products: Mechanisms of Action for Promoting Health)
Show Figures

Figure 1

26 pages, 25630 KB  
Article
Constructing a Pan-Cancer Prognostic Model via Machine Learning Based on Immunogenic Cell Death Genes and Identifying NT5E as a Biomarker in Head and Neck Cancer
by Luojin Wu, Qing Sun, Atsushi Kitani, Xiaorong Zhou, Liming Mao and Mengmeng Sang
Curr. Issues Mol. Biol. 2025, 47(10), 812; https://doi.org/10.3390/cimb47100812 - 1 Oct 2025
Abstract
Immunogenic cell death (ICD) is a specialized form of cell death that triggers antitumor immune responses. In tumors, ICD promotes the release of tumor-associated and tumor-specific antigens, thereby reshaping the immune microenvironment, restoring antitumor immunity, and facilitating tumor eradication. However, the regulatory mechanisms [...] Read more.
Immunogenic cell death (ICD) is a specialized form of cell death that triggers antitumor immune responses. In tumors, ICD promotes the release of tumor-associated and tumor-specific antigens, thereby reshaping the immune microenvironment, restoring antitumor immunity, and facilitating tumor eradication. However, the regulatory mechanisms of ICD and its immunological effects vary across tumor types, and a comprehensive understanding remains limited. We systematically analyzed the expression of 34 ICD-related regulatory genes across 33 tumor types. Differential expression at the RNA, copy number variation (CNV), and DNA methylation levels was assessed in relation to clinical features. Associations between patient survival and RNA expression, CNVs, single-nucleotide variations (SNVs), and methylation were evaluated. Patients were stratified into immunological subtypes and further divided into high- and low-risk groups based on optimal prognostic models built using a machine learning framework. We explored the relationships between ICD-related genes and immune cell infiltration, stemness, heterogeneity, immune scores, immune checkpoint and regulatory genes, and subtype-specific expression patterns. Moreover, we examined the influence of immunotherapy and anticancer immune responses, applied three machine learning algorithms to identify prognostic biomarkers, and performed drug prediction and molecular docking analyses to nominate therapeutic targets. ICD-related genes were predominantly overexpressed in ESCA, GBM, KIRC, LGG, PAAD, and STAD. RNA expression of most ICD-related genes was associated with poor prognosis, while DNA methylation of these genes showed significant survival correlations in LGG and UVM. Prognostic models were successfully established for 18 cancer types, revealing intrinsic immune regulatory mechanisms of ICD-related genes. Machine learning identified several key prognostic biomarkers across cancers, among which NT5E emerged as a predictive biomarker in head and neck squamous cell carcinoma (HNSC), mediating tumor–immune interactions through multiple ligand–receptor pairs. This study provides a comprehensive view of ICD-related genes across cancers, identifies NT5E as a potential biomarker in HNSC, and highlights novel targets for predicting immunotherapy response and improving clinical outcomes in cancer patients. Full article
(This article belongs to the Special Issue Challenges and Advances in Bioinformatics and Computational Biology)
Show Figures

Figure 1

26 pages, 6919 KB  
Article
Reticuline and Coclaurine Exhibit Vitamin D Receptor-Dependent Anticancer and Pro-Apoptotic Activities in the Colorectal Cancer Cell Line HCT116
by Hind A. Alghamdi, Sahar S. Alghamdi, Maryam Hassan Al-Zahrani, Thadeo Trivilegio, Sara Bahattab, Rehab AlRoshody, Yazeid Alhaidan, Rana A. Alghamdi and Sabine Matou-Nasri
Curr. Issues Mol. Biol. 2025, 47(10), 810; https://doi.org/10.3390/cimb47100810 - 1 Oct 2025
Abstract
Alkaloids have garnered significant interest as potential anticancer agents. Vitamin D receptor (VDR) plays a role in preventing the progression of colorectal cancer (CRC) and may be a crucial mediator of the anticancer effects produced by certain alkaloids. The search for novel anticancer [...] Read more.
Alkaloids have garnered significant interest as potential anticancer agents. Vitamin D receptor (VDR) plays a role in preventing the progression of colorectal cancer (CRC) and may be a crucial mediator of the anticancer effects produced by certain alkaloids. The search for novel anticancer drugs that induce VDR expression and act through the VDR could improve the clinical outcomes of CRC patients. The anticancer and pro-apoptotic effects of coclaurine and reticuline were investigated using CRISPR/Cas9-edited VDR/knockout (KO) and wild-type (WT) CRC HCT116 cell lines. Western blotting, RT-qPCR, confocal microscopy, cell viability, scratch assays, and flow cytometry were employed to assess VDR expression and cellular localization, cell growth, wound-healing, cytotoxicity, apoptotic status, cell cycle progression, and VDR-mediated gene expression. Coclaurine and reticuline dose-dependently inhibited HCT116-WT cell viability, decreased wound-healing, and increased VDR nuclear localization and gene expression while downregulating the oncogenic genes SNAIL1 and SNAIL2. Both alkaloids induced late apoptosis in HCT116-WT cells, increased the cleavage of PARP and caspase-3, and upregulated Bax and TP53 while decreasing BCL-2. Both alkaloids caused HCT116-WT cell growth arrest in the S-phase, which is associated with cyclin A1 overexpression. Coclaurine and reticuline lost their anticancer effects in HCT116-VDR/KO cells. Docking studies revealed that both alkaloids occupied the VDR’s active site. These findings demonstrate that coclaurine and reticuline exert anti-CRC and pro-apoptotic activities via the VDR, suggesting them as natural therapeutic candidates. The use of in vivo CRC models is needed to validate the anticancer activities of coclaurine and reticuline. Full article
(This article belongs to the Section Bioorganic Chemistry and Medicinal Chemistry)
18 pages, 8385 KB  
Article
Genome-Wide Identification of the TCP Gene Family in Chimonanthus praecox and Functional Analysis of CpTCP2 Regulating Leaf Development and Flowering in Transgenic Arabidopsis
by Yinzhu Cao, Gangyu Guo, Huafeng Wu, Xia Wang, Bin Liu, Ximeng Yang, Qianli Dai, Hengxing Zhu, Min Lu, Haoxiang Zhu, Zheng Li, Chunlian Jin, Shenchong Li and Shunzhao Sui
Plants 2025, 14(19), 3039; https://doi.org/10.3390/plants14193039 - 1 Oct 2025
Abstract
TCP transcription factors represent a crucial family of plant regulators that contribute significantly to growth and developmental processes. Although the TCP gene family has been extensively studied in various plant species, research on Chimonanthus praecox (wintersweet) remains limited. Here, we performed genome-wide identification [...] Read more.
TCP transcription factors represent a crucial family of plant regulators that contribute significantly to growth and developmental processes. Although the TCP gene family has been extensively studied in various plant species, research on Chimonanthus praecox (wintersweet) remains limited. Here, we performed genome-wide identification and analysis of the TCP gene family in C. praecox and identified 22 CpTCP genes. We further systematically examined the associated physicochemical properties, evolutionary relationships, gene structures, and regulatory features. Analysis revealed that all CpTCP proteins possess a conserved TCP domain, and subcellular localization prediction indicated their localization in the nucleus. Promoter analysis revealed that multiple cis-elements are associated with abiotic stress responses and plant growth regulation. Further analysis revealed high CpTCP2 expression in the leaves and stamen, with significantly increased levels during flower senescence. CpTCP2 expression was upregulated in response to methyl jasmonate (MeJA), salicylic acid, abscisic acid, and shade. CpTCP2 overexpression in Arabidopsis thaliana resulted in a reduced leaf area, delayed flowering, and increased rosette leaf numbers. Moreover, MeJA treatment accelerated leaf senescence in CpTCP2 transgenic Arabidopsis. These findings provide insights into the evolutionary characteristics of the TCP family in C. praecox, highlighting the functional role of CpTCP2 in regulating leaf development and flowering time in Arabidopsis, thereby offering valuable genetic resources for wintersweet molecular breeding. Full article
(This article belongs to the Special Issue Omics Approaches to Analyze Gene Regulation in Plants)
Show Figures

Figure 1

Back to TopTop