An Update on Clinically Advanced PROTAC Degraders and Their Synthesis
Abstract
1. Introduction
2. Discussion of Targets, Clinical Development Progress, and the Design and Detailed Synthesis of Degrader Molecules
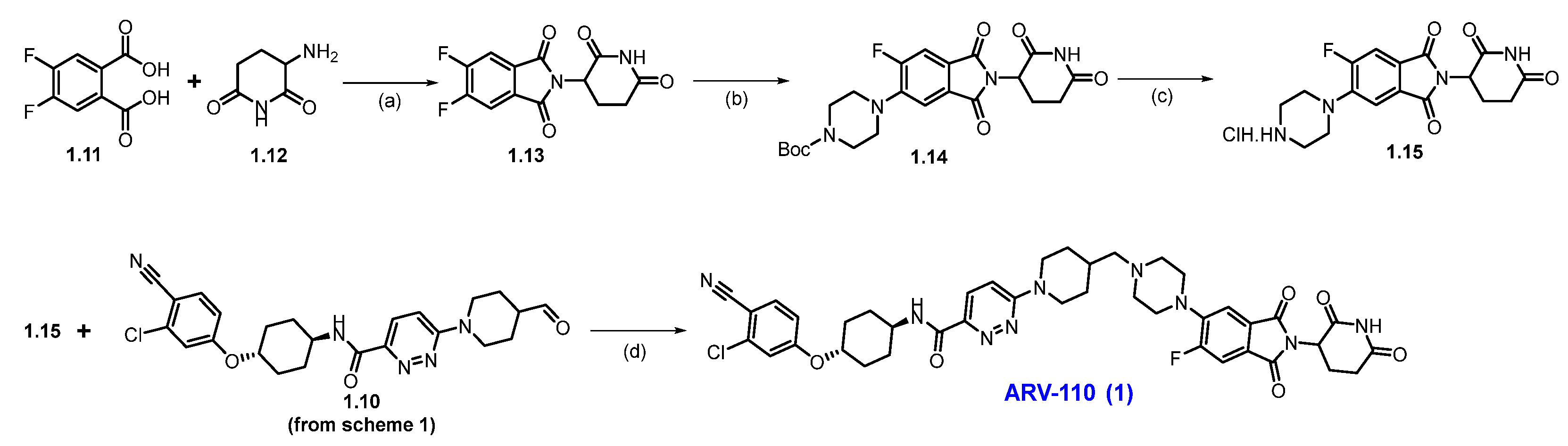
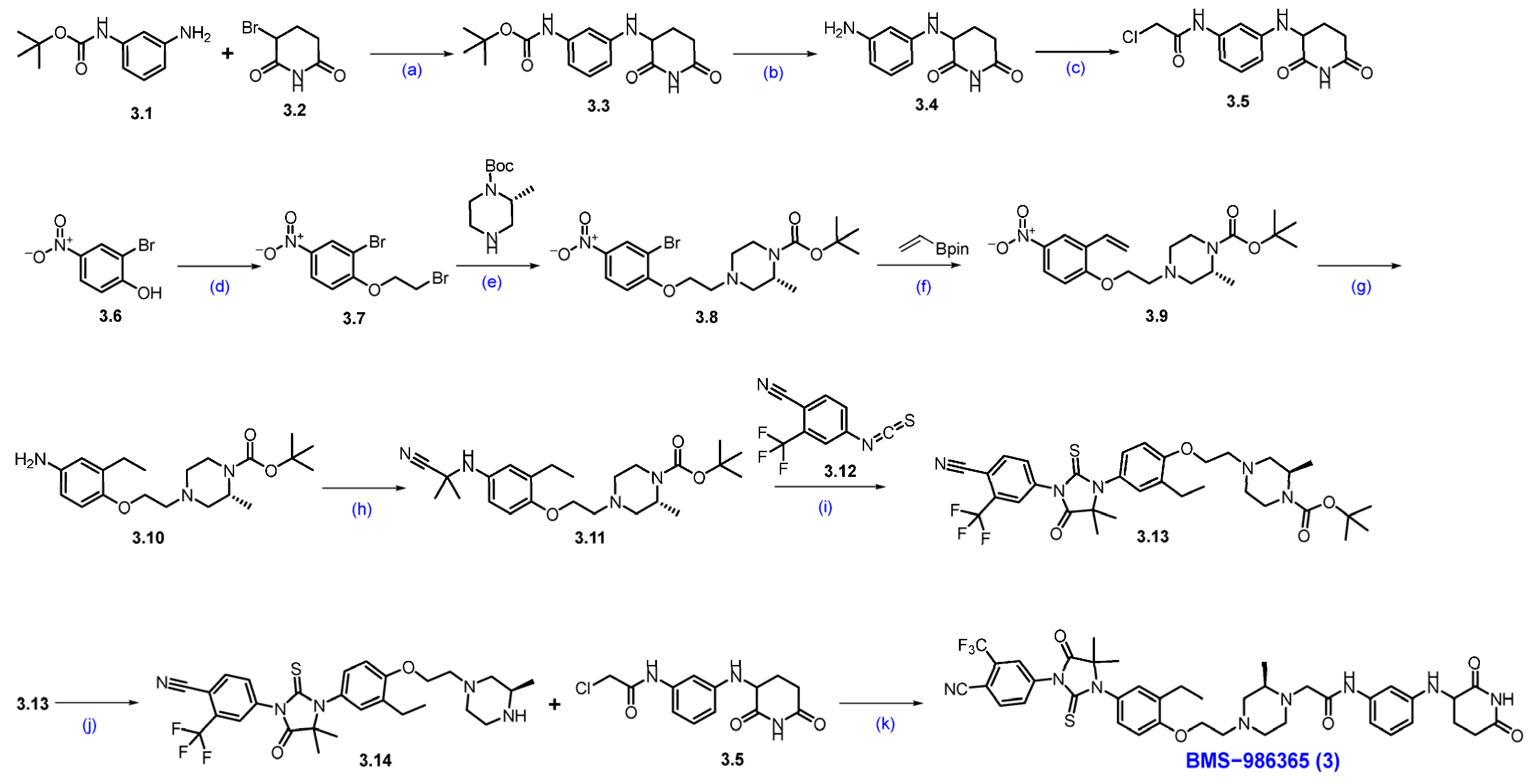
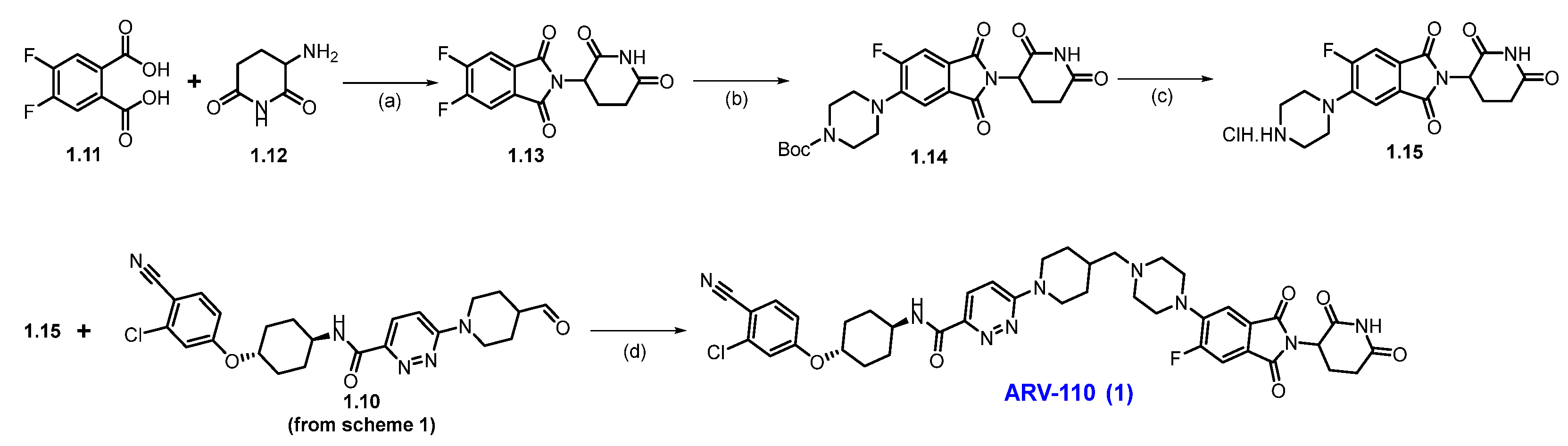
2.1. PROTACS Targeting Androgen Receptor (AR)
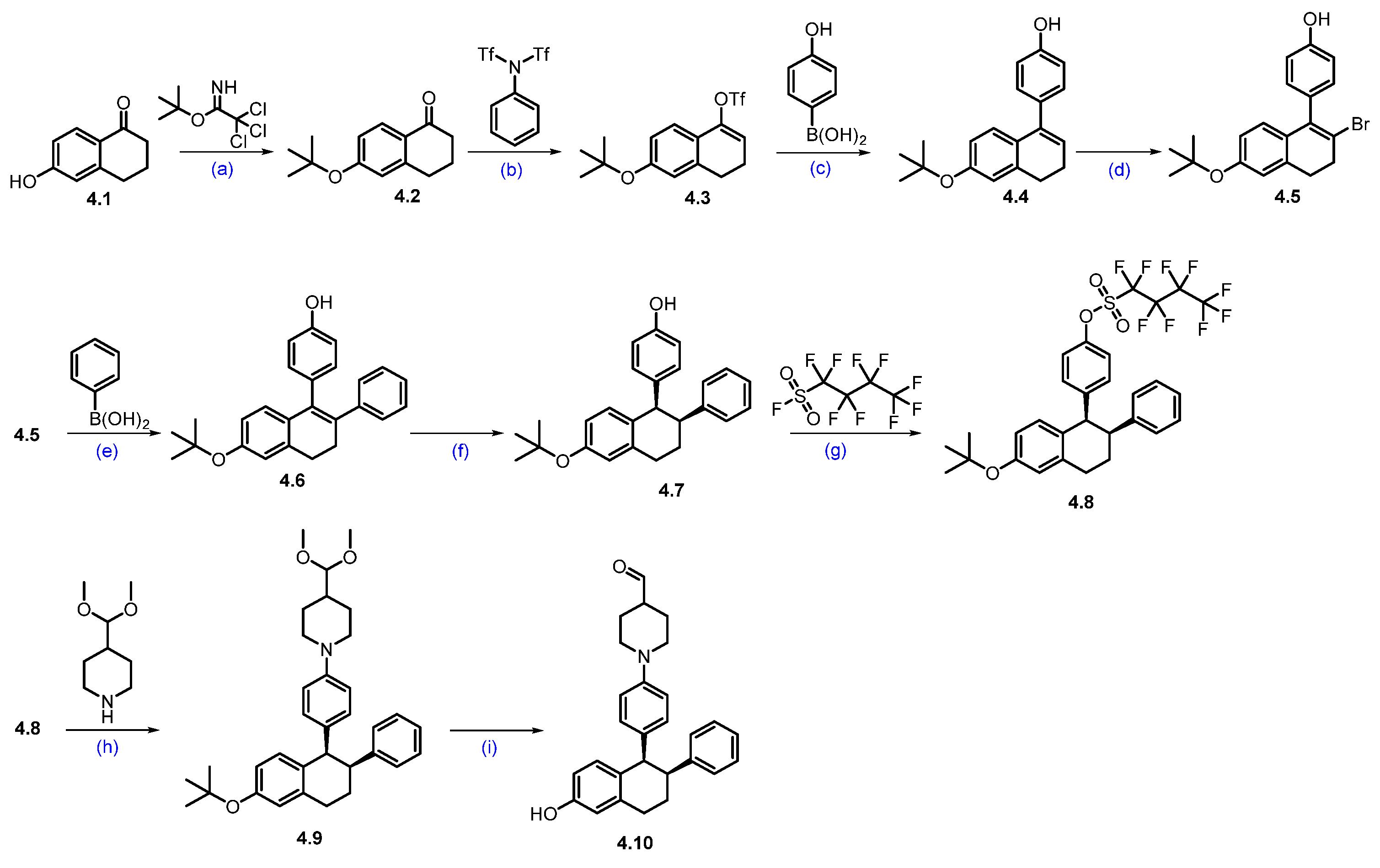
2.2. PROTACS Targeting Estrogen Receptor (ER)
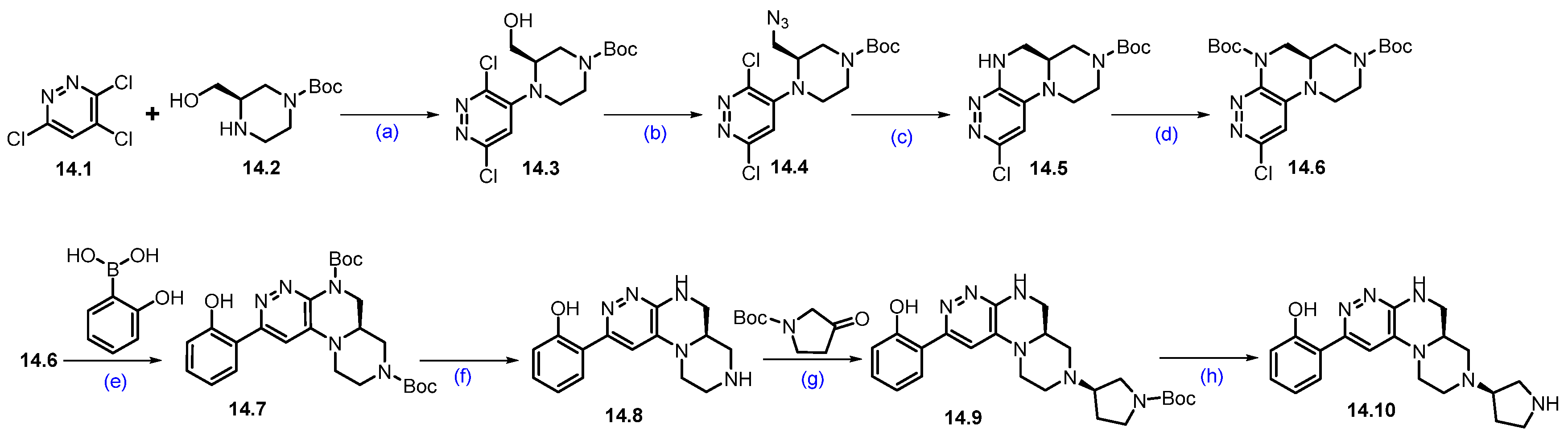
2.3. PROTACS Targeting Bromodomain-Containing Protein 9 (BRD9)
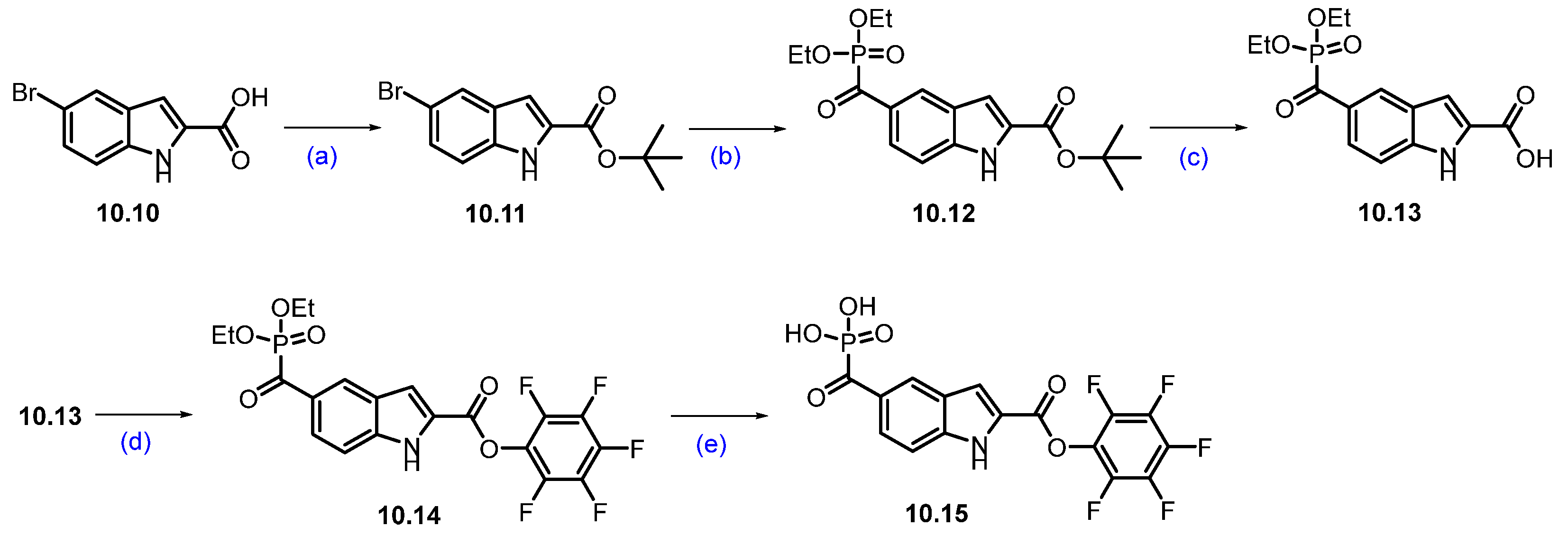
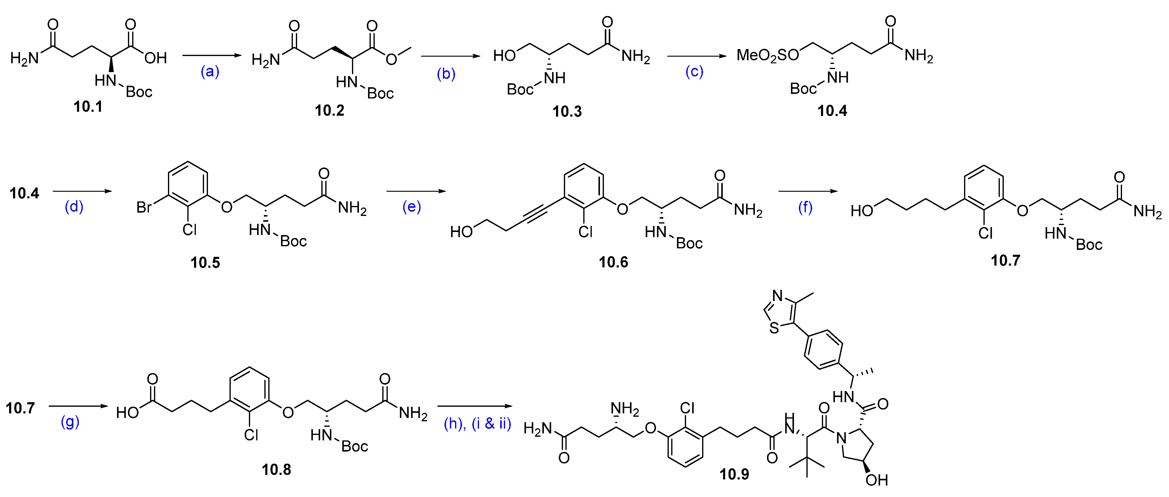
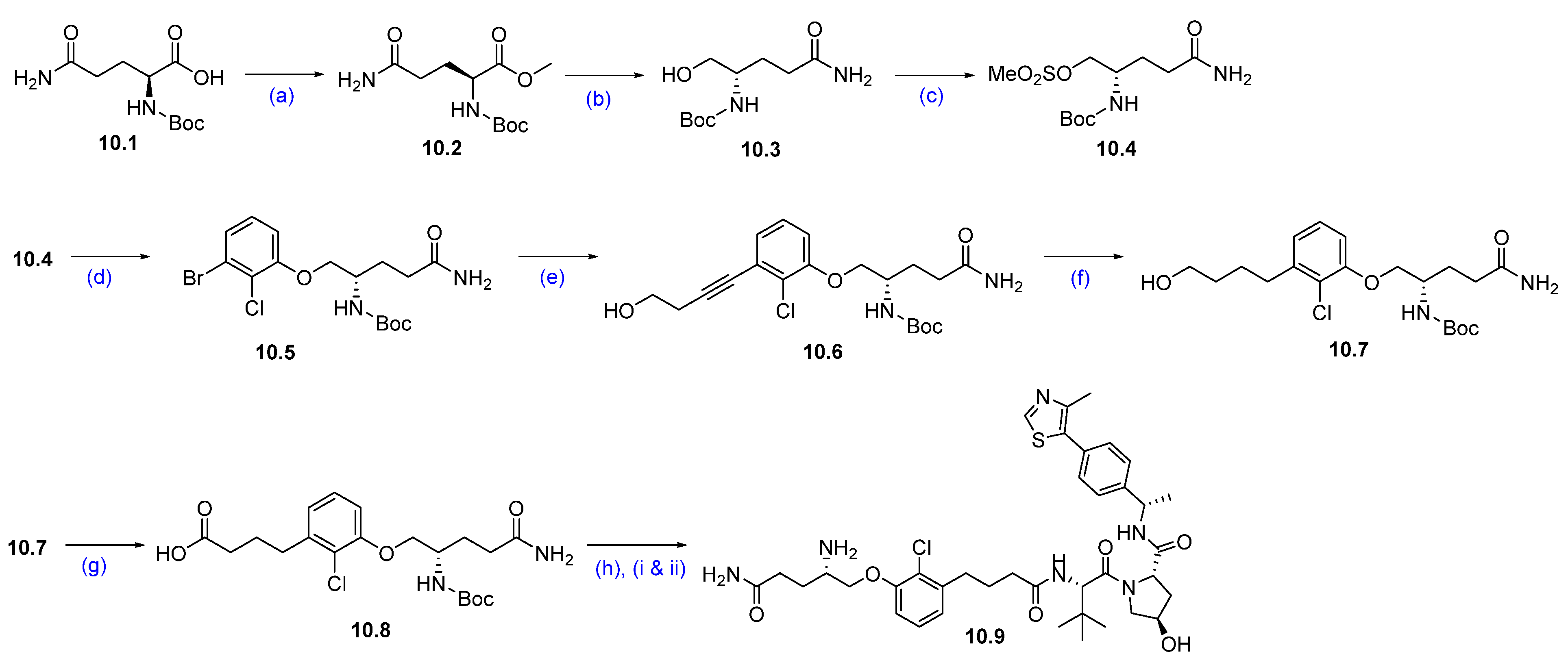
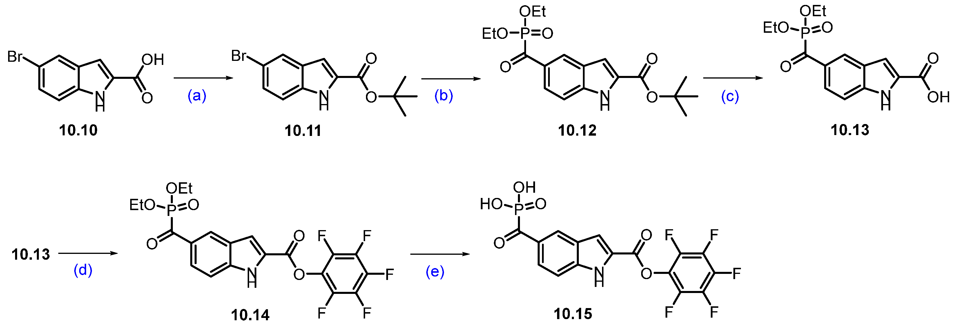
2.4. PROTACs Targeting B-Cell Lymphoma–Extra Large (Bcl-xL)
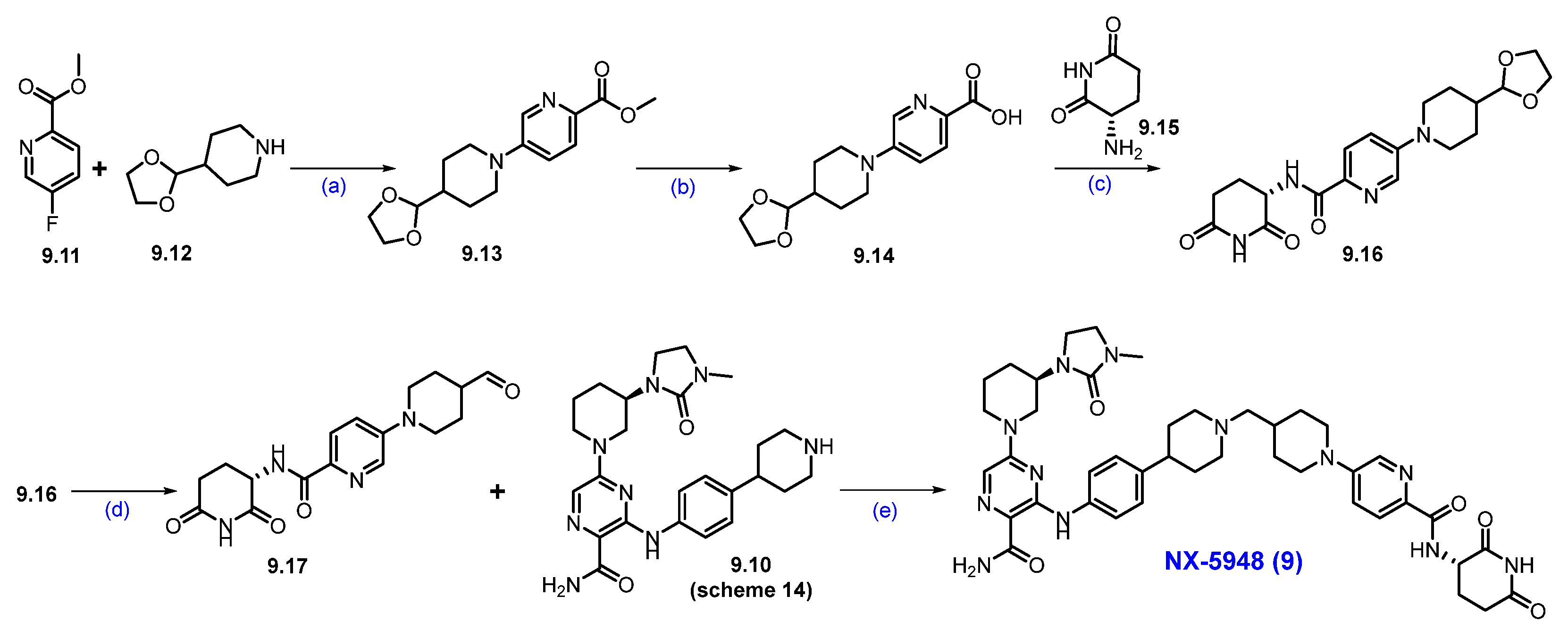
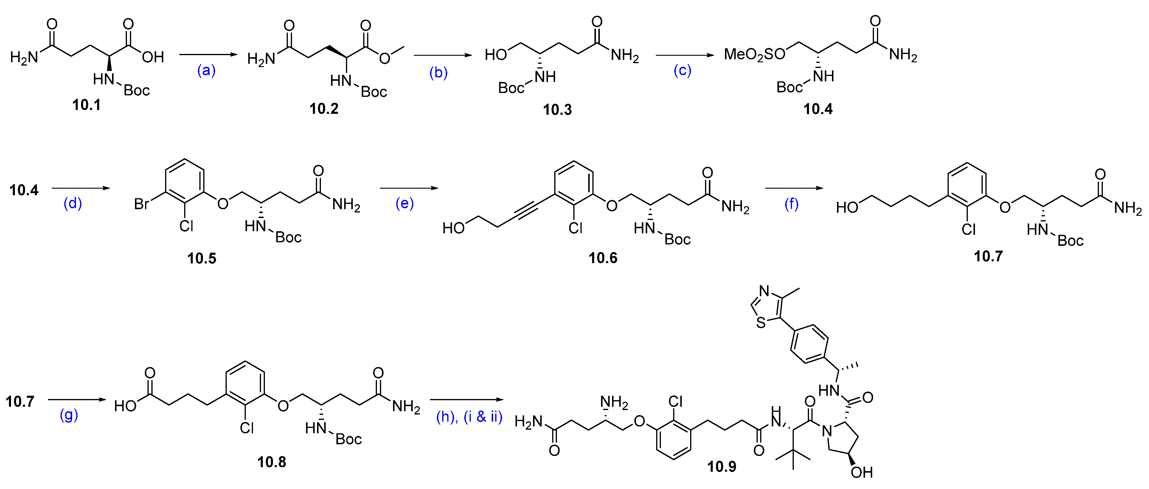
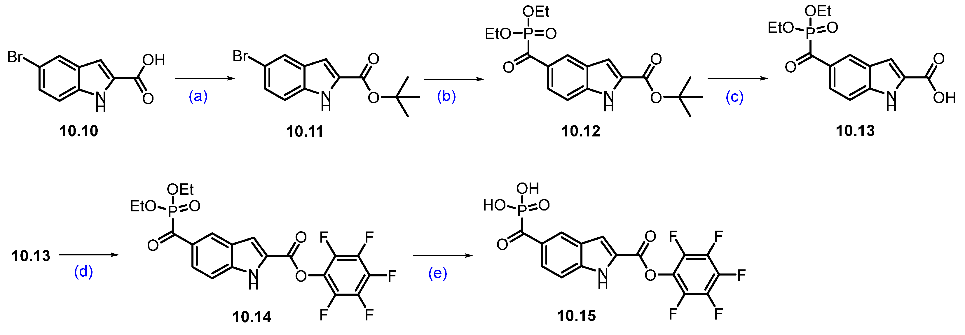
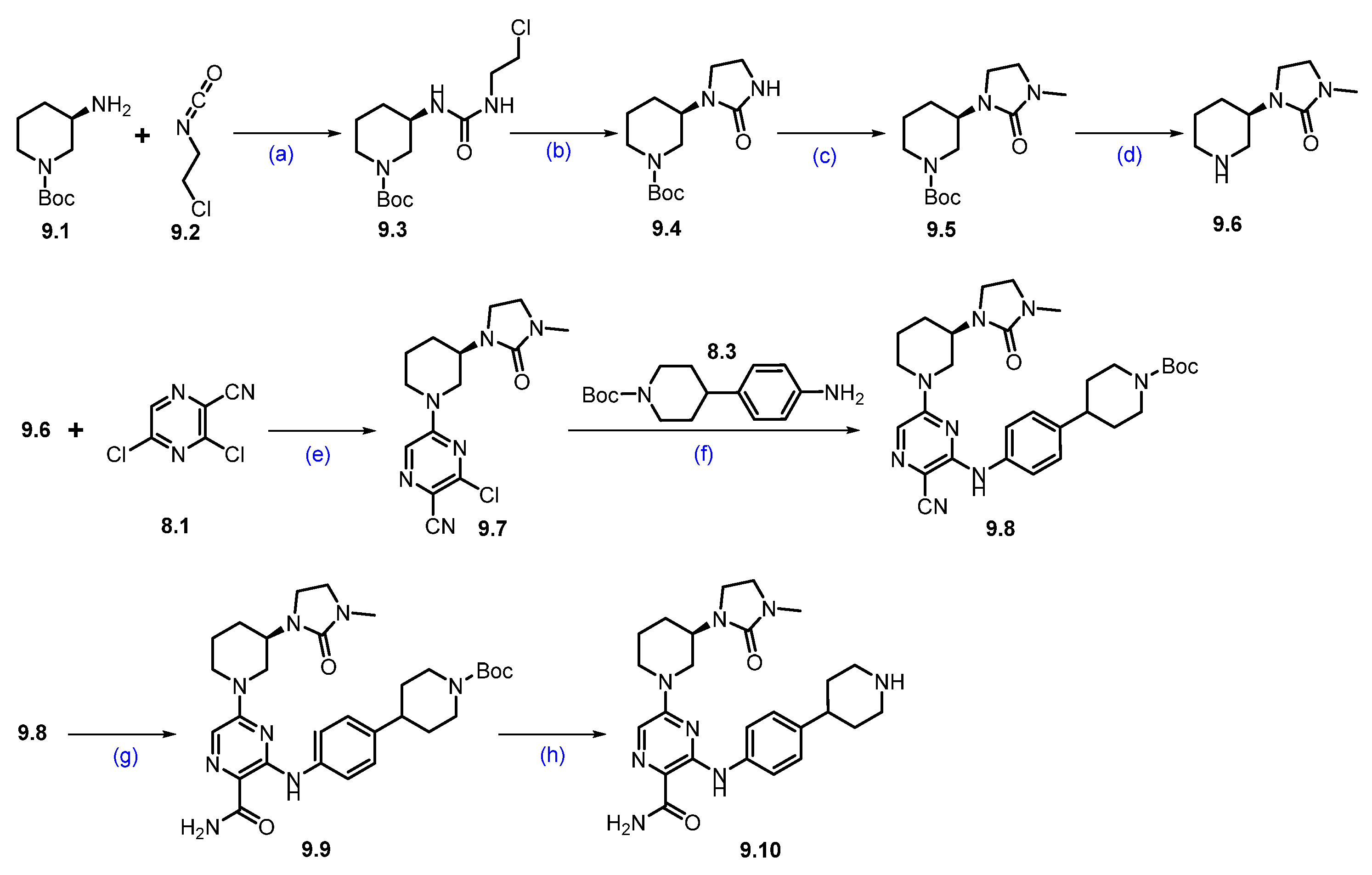
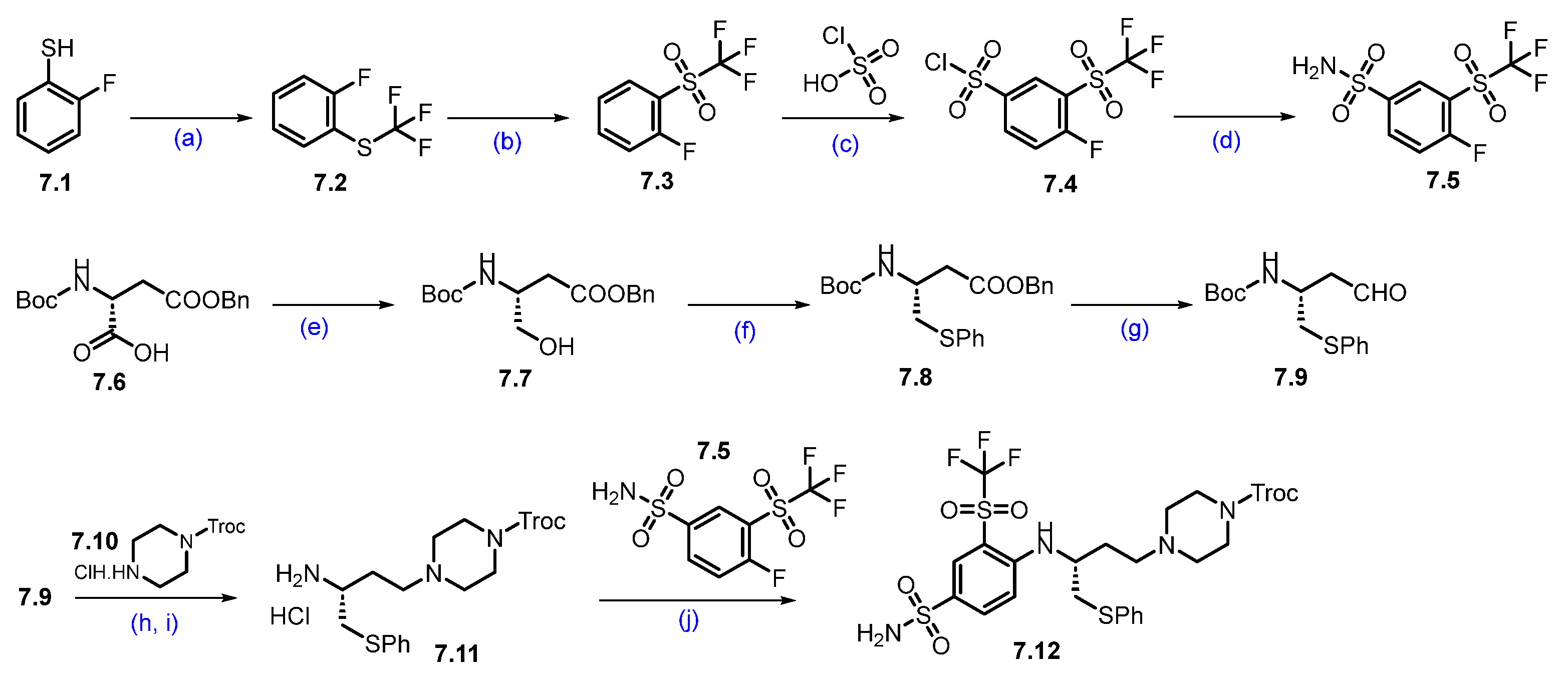
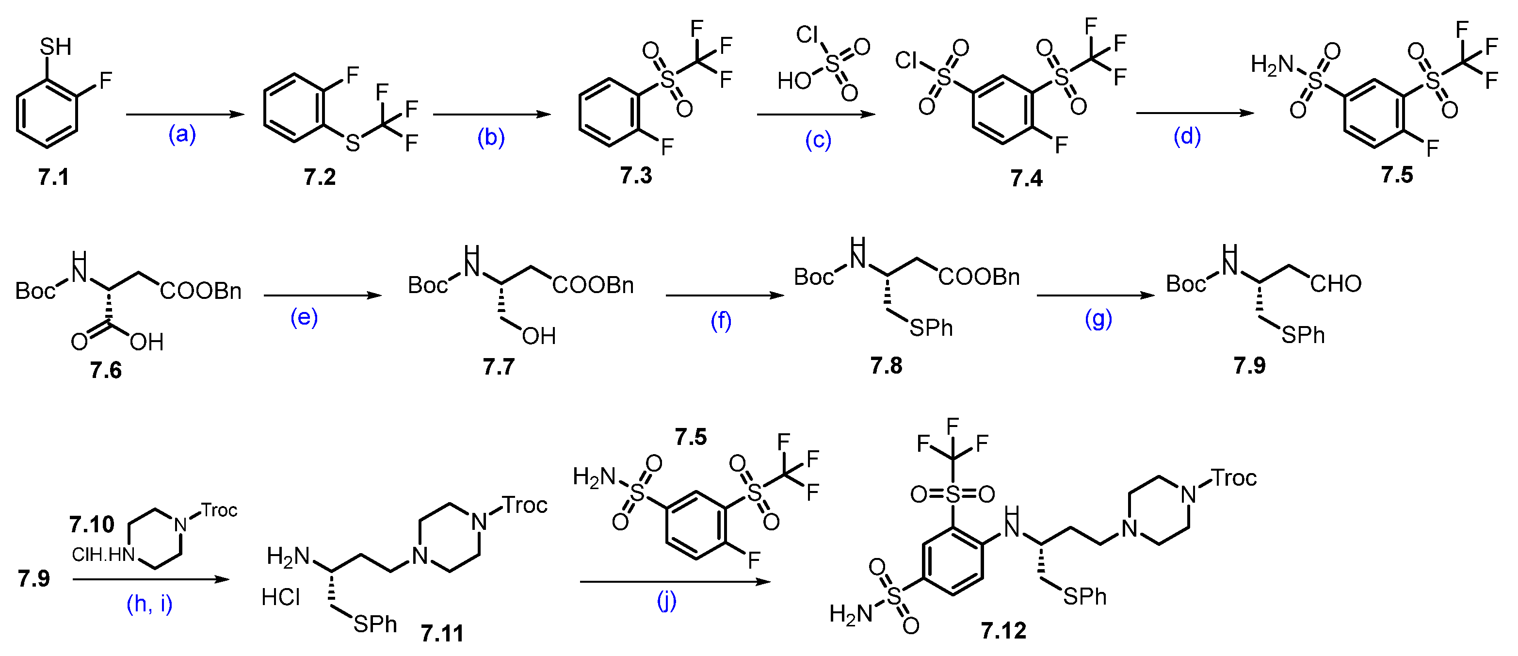
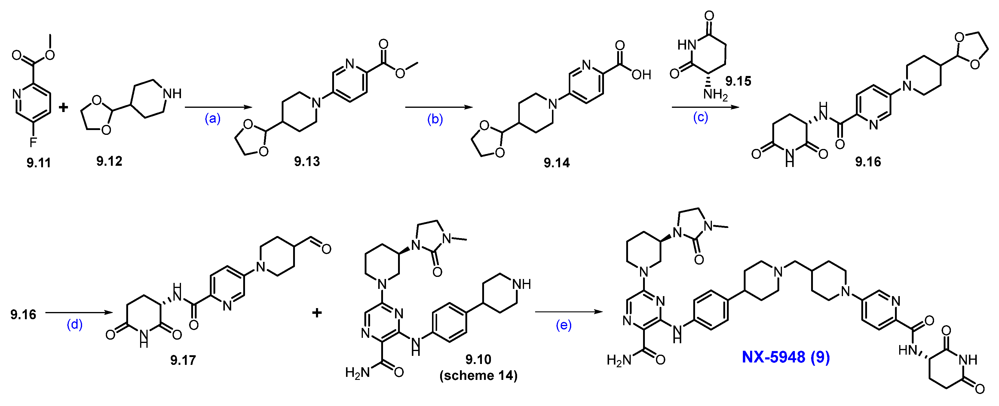
2.5. PROTACs Targeting Bruton’s Tyrosine Kinase (BTK)
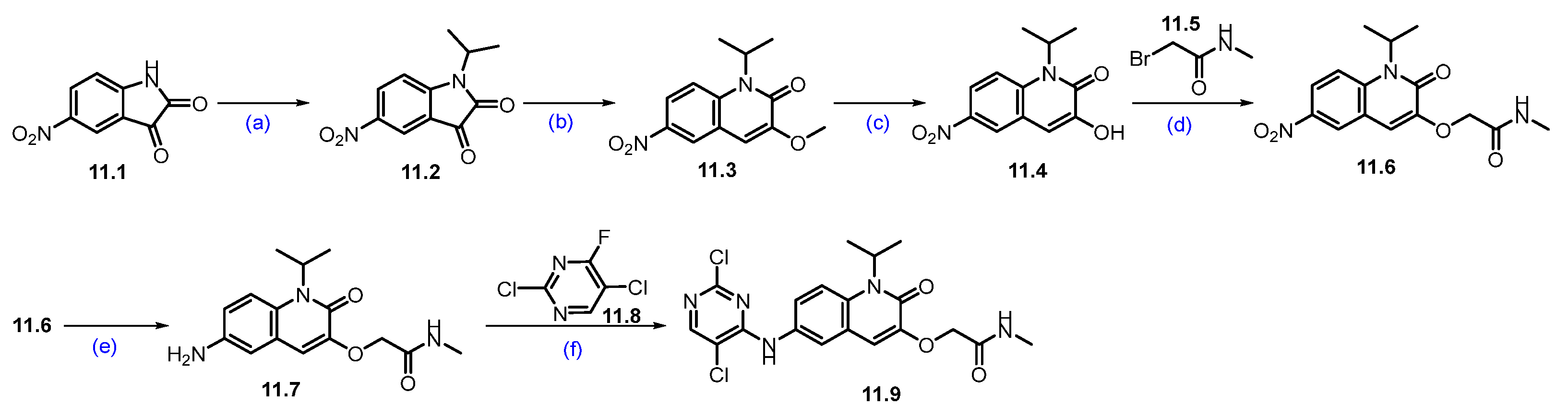
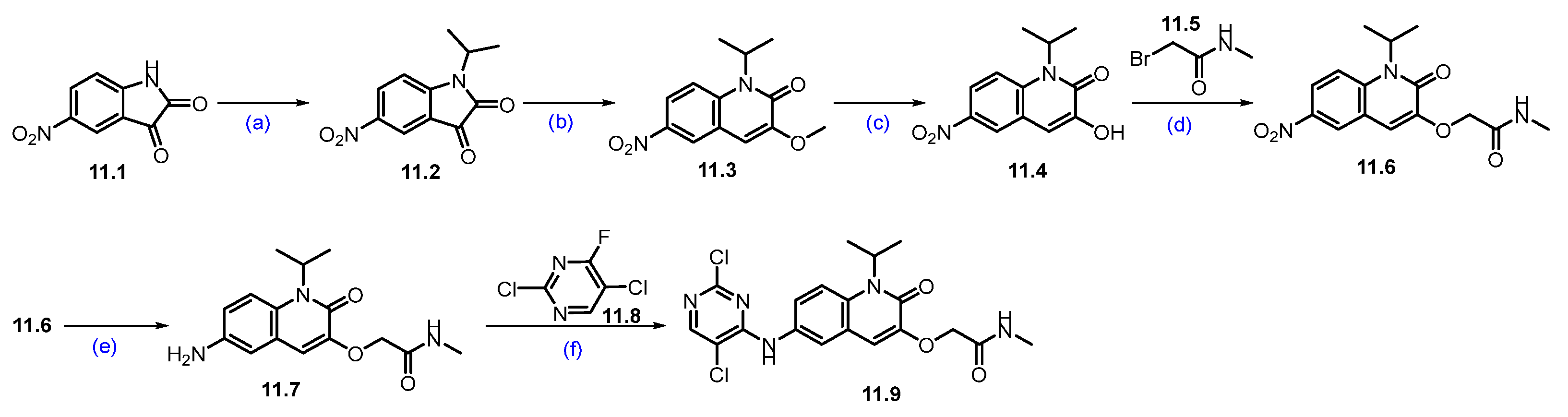
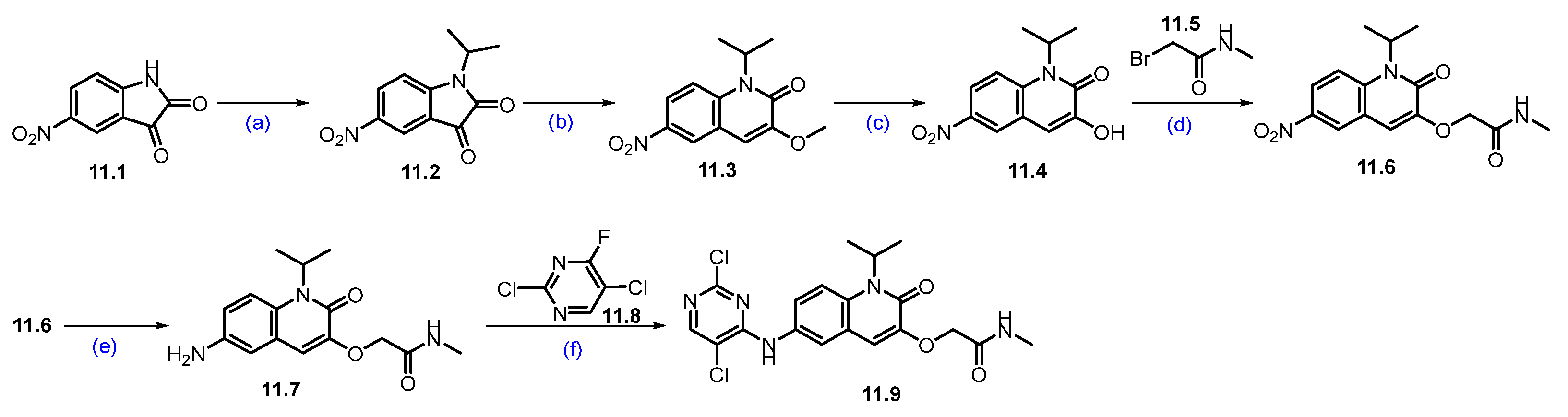
2.6. PROTACs Targeting Signal Transducer and Activator of Transcription 3 (STAT3)
2.7. PROTACs Targeting B Cell Lymphoma 6 (BCL6)
2.8. PROTACs Targeting Murine Double Minute 2 (MDM2)
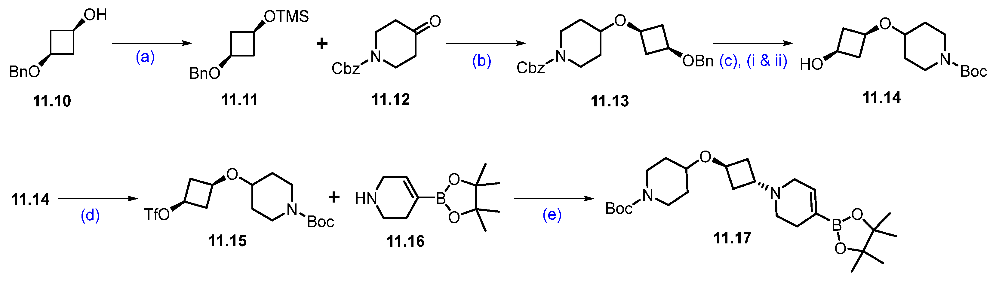
2.9. PROTACs Targeting Switch/Sucrose Non-Fermentable Related, Matrix Associated, Actin Dependent Regulator of Chromatin, Subfamily A, Member 2 (SMARCA2)
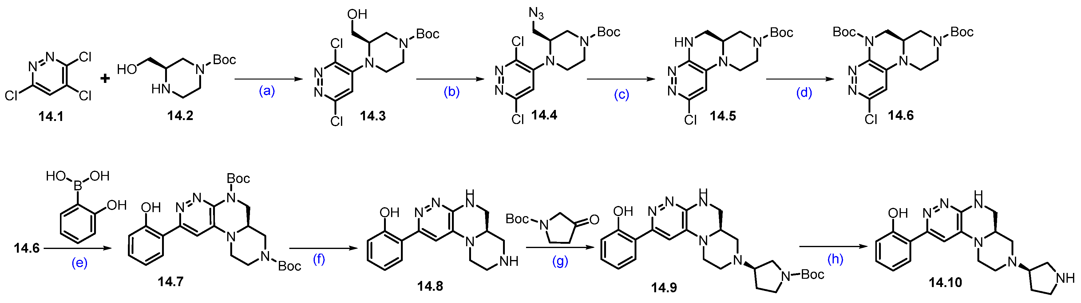
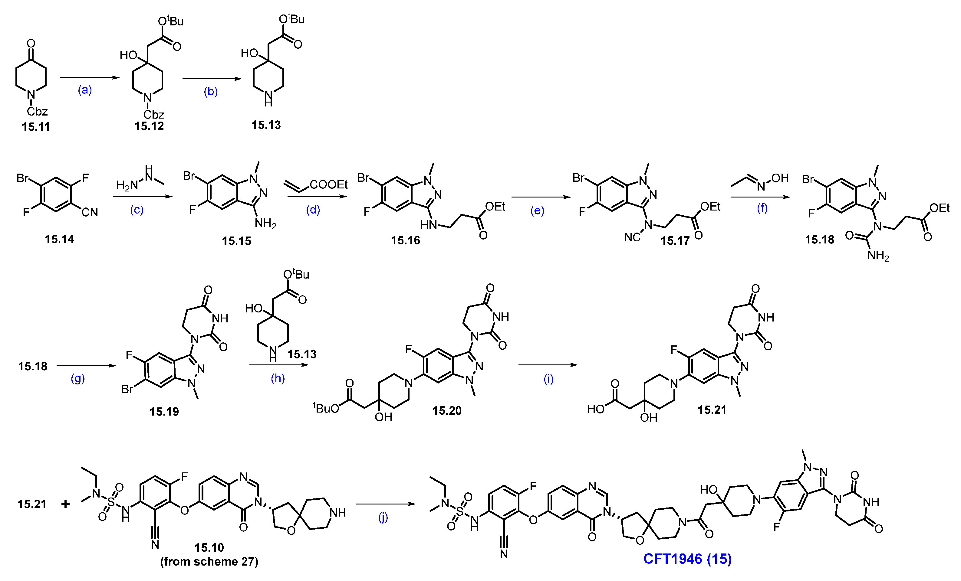
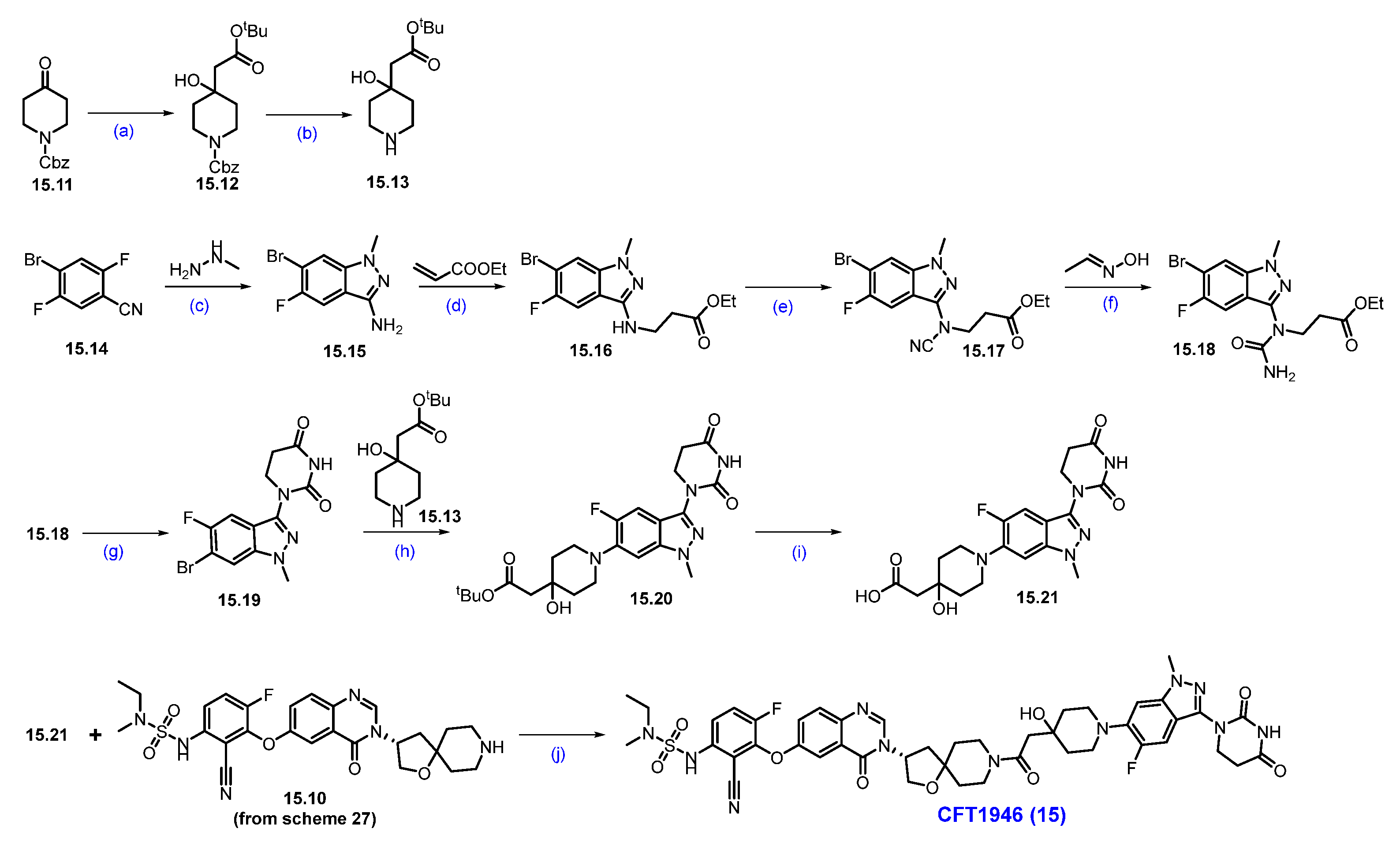
2.10. PROTACs Targeting B-Raf Proto-Oncogene, Serine/Threonine Kinase (BRAF)
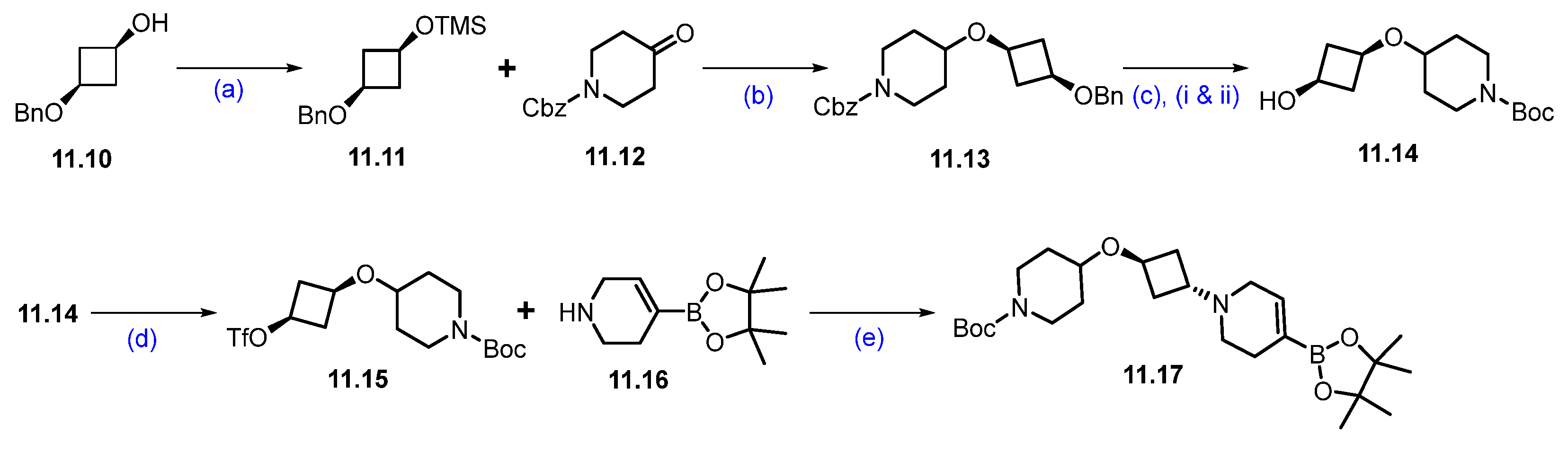
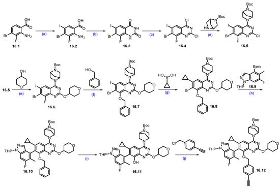
2.11. PROTACs Targeting Kirsten Rat Sarcoma Virus (KRAS)
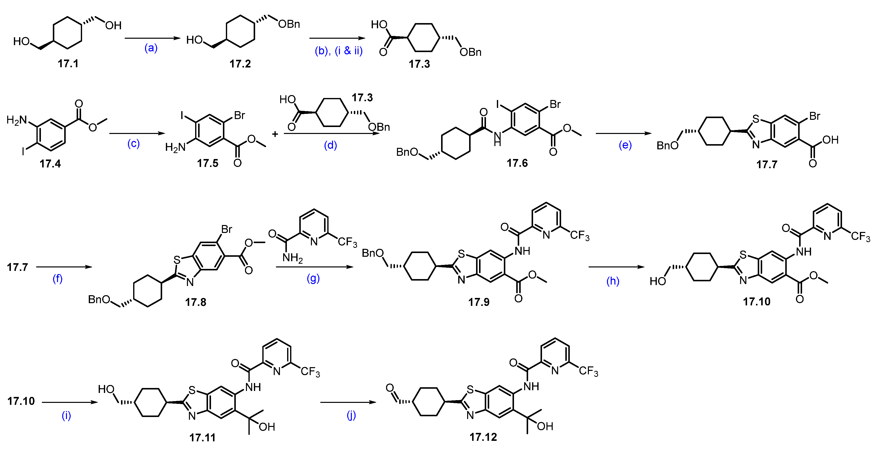
2.12. PROTACs Targeting Interleukin-1 Receptor-Associated Kinase 4 (IRAK4)
3. Outlook and Perspectives
Funding
Data Availability Statement
Conflicts of Interest
Abbreviations
References
- Li, K.; Crews, C.M. PROTACs: Past, present and future. Chem. Soc. Rev. 2022, 51, 5214–5236. [Google Scholar] [CrossRef]
- Bekes, M.; Langley, D.R.; Crews, C.M. PROTAC targeted protein degraders: The past is prologue. Nat. Rev. Drug Discov. 2022, 21, 181–200. [Google Scholar] [CrossRef] [PubMed]
- Sakamoto, K.M.; Kim, K.B.; Kumagai, A.; Mercurio, F.; Crews, C.M.; Deshaies, R.J. Protacs: Chimeric molecules that target proteins to the Skp1-Cullin-F box complex for ubiquitination and degradation. Proc. Natl. Acad. Sci. USA 2001, 98, 8554–8559. [Google Scholar] [CrossRef] [PubMed]
- Snyder, L.B.; Neklesa, T.K.; Willard, R.R.; Gordon, D.A.; Pizzano, J.; Vitale, N.; Robling, K.; Dorso, M.A.; Moghrabi, W.; Landrette, S.; et al. Preclinical Evaluation of Bavdegalutamide (ARV-110), a Novel PROteolysis TArgeting Chimera Androgen Receptor Degrader. Mol. Cancer Ther. 2025, 24, 511–522. [Google Scholar] [CrossRef] [PubMed]
- Gough, S.M.; Flanagan, J.J.; Teh, J.; Andreoli, M.; Rousseau, E.; Pannone, M.; Bookbinder, M.; Willard, R.; Davenport, K.; Bortolon, E.; et al. Oral Estrogen Receptor PROTAC Vepdegestrant (ARV-471) Is Highly Efficacious as Monotherapy and in Combination with CDK4/6 or PI3K/mTOR Pathway Inhibitors in Preclinical ER+ Breast Cancer Models. Clin. Cancer Res. 2024, 30, 3549–3563. [Google Scholar] [CrossRef]
- Arnold, C. PROTAC protein degraders to drug the undruggable enter phase 3 trials. Nat. Med. 2024, 30, 3030–3031. [Google Scholar] [CrossRef]
- Ma, Z.; Zhou, J. NDA Submission of Vepdegestrant (ARV-471) to U.S. FDA: The Beginning of a New Era of PROTAC Degraders. J. Med. Chem. 2025, 68, 14129–14136. [Google Scholar] [CrossRef]
- Lu, J.; Qian, Y.M.; Altieri, M.; Dong, H.Q.; Wang, J.; Raina, K.; Hines, J.; Winkler, J.D.; Crew, A.P.; Coleman, K.; et al. Hijacking the E3 Ubiquitin Ligase Cereblon to Efficiently Target BRD4. Chem. Biol. 2015, 22, 755–763. [Google Scholar] [CrossRef]
- Churcher, I. Protac-Induced Protein Degradation in Drug Discovery: Breaking the Rules or Just Making New Ones? J. Med. Chem. 2018, 61, 444–452. [Google Scholar] [CrossRef]
- Nguyen, K.M.; Busino, L. Targeting the E3 ubiquitin ligases DCAF15 and cereblon for cancer therapy. Semin. Cancer Biol. 2020, 67, 53–60. [Google Scholar] [CrossRef]
- Humphreys, L.M.; Smith, P.; Chen, Z.; Fouad, S.; D’Angiolella, V. The role of E3 ubiquitin ligases in the development and progression of glioblastoma. Cell Death Differ. 2021, 28, 522–537. [Google Scholar] [CrossRef] [PubMed]
- Wang, X.; Zhang, Y.; Wu, Y.; Cheng, H.; Wang, X. The role of E3 ubiquitin ligases and deubiquitinases in bladder cancer development and immunotherapy. Front. Immunol. 2023, 14, 1202633. [Google Scholar] [CrossRef] [PubMed]
- Konstantinidou, M.; Li, J.; Zhang, B.; Wang, Z.; Shaabani, S.; Ter Brake, F.; Essa, K.; Domling, A. PROTACs- a game-changing technology. Expert. Opin. Drug Discov. 2019, 14, 1255–1268. [Google Scholar] [CrossRef] [PubMed]
- Rej, R.K.; Allu, S.R.; Roy, J.; Acharyya, R.K.; Kiran, I.N.C.; Addepalli, Y.; Dhamodharan, V. Orally Bioavailable Proteolysis-Targeting Chimeras: An Innovative Approach in the Golden Era of Discovering Small-Molecule Cancer Drugs. Pharmaceuticals 2024, 17, 494. [Google Scholar] [CrossRef]
- Vicente, A.T.S.; Moura, S.; Salvador, J.A.R. Synthesis, biological evaluation and clinical trials of Cereblon-based PROTACs. Commun. Chem. 2025, 8, 218. [Google Scholar] [CrossRef]
- Nierengarten, M.B. Cancer Statistics 2024: Deaths drop, incidences increase, prevention needed. Cancer-Am. Cancer Soc. 2024, 130, 1904. [Google Scholar] [CrossRef]
- Dizon, D.S.; Kamal, A.H. Cancer statistics 2024: All hands on deck. CA-Cancer J. Clin. 2024, 74, 8–9. [Google Scholar] [CrossRef]
- James, N.; Tannock, I.; N’Dow, J.; Feng, F.; Gillessen, S.; Ali, S.A.; Trujillo, B.; Al-Lazikani, B.; Attard, G.; Bray, F.; et al. The Lancet Commission on prostate cancer: Planning for the surge in cases. Lancet 2024, 403, 1683–1722. [Google Scholar] [CrossRef]
- Asangani, I.; Blair, I.A.; Van Duyne, G.; Hilser, V.J.; Moiseenkova-Bell, V.; Plymate, S.; Sprenger, C.; Wand, A.J.; Penning, T.M. Using biochemistry and biophysics to extinguish androgen receptor signaling in prostate cancer. J. Biol. Chem. 2021, 296, 100240. [Google Scholar] [CrossRef]
- Rathkopf, D.; Scher, H.I. Androgen receptor antagonists in castration-resistant prostate cancer. Cancer J. 2013, 19, 43–49. [Google Scholar] [CrossRef]
- Sobhani, N.; Neeli, P.K.; D’Angelo, A.; Pittacolo, M.; Sirico, M.; Galli, I.C.; Roviello, G.; Nesi, G. AR-V7 in Metastatic Prostate Cancer: A Strategy beyond Redemption. Int. J. Mol. Sci. 2021, 22, 5515. [Google Scholar] [CrossRef] [PubMed]
- Jia, X.; Han, X. Targeting androgen receptor degradation with PROTACs from bench to bedside. Biomed. Pharmacother. 2023, 158, 114112. [Google Scholar] [CrossRef] [PubMed]
- Gao, X.; Burris, H.; Vuky, J.; Dreicer, R.; Sartor, A.O.; Sternberg, C.N.; Percent, I.J.; Hussain, M.H.A.; Kalebasty, A.R.; Shen, J.; et al. Phase 1/2 study of ARV-110, an androgen receptor (AR) PROTAC degrader, in metastatic castration-resistant prostate cancer (mCRPC). J. Clin. Oncol. 2022, 40, 17. [Google Scholar] [CrossRef]
- Petrylak, D.P.; McKean, M.; Lang, J.M.; Gao, X.; Dreicer, R.; Geynisman, D.M.; Stewart, T.F.; Gandhi, M.; Appleman, L.J.; Dorff, T.B.; et al. ARV-766, a proteolysis targeting chimera (PROTAC) androgen receptor (AR) degrader, in metastatic castration-resistant prostate cancer (mCRPC): Initial results of a phase 1/2 study. J. Clin. Oncol. 2024, 42, 5011. [Google Scholar] [CrossRef]
- Rathkopf, D.E.; Patel, M.R.; Choudhury, A.D.; Rasco, D.; Lakhani, N.; Hawley, J.E.; Srinivas, S.; Aparicio, A.; Narayan, V.; Runcie, K.D.; et al. Safety and clinical activity of BMS-986365 (CC-94676), a dual androgen receptor ligand-directed degrader and antagonist, in heavily pretreated patients with metastatic castration-resistant prostate cancer. Ann. Oncol. 2025, 36, 76–88. [Google Scholar] [CrossRef]
- Nayak, S.; Norris, J.D.; Ammirante, M.; Rychak, E.; Wardell, S.E.; Liao, D.; Toyama, B.; Kandimalla, R.; Christoforou, A.; Tsuji, T.; et al. Discovery of BMS-986365, a first-in-class dual androgen receptor ligand-directed degrader (AR LDD) and antagonist, for the treatment of advanced prostate cancer. Clin. Cancer Res. 2025, OF1–OF18. [Google Scholar] [CrossRef]
- Chi, K.N.; Mckay, R.R.; Sandhu, S.; Arranz, J.A.; Barthelemy, P.; Hadaschik, B.; Matsubara, N.; Shore, N.D.; Ye, D.W.; Cascella, T.; et al. rechARge: A randomized phase III trial of the androgen receptor ligand-directed degrader, BMS-986365, vs investigator’s choice in patients with mCRPC. Future Oncol. 2025, 21, 1771–1777. [Google Scholar] [CrossRef]
- Dong, H.; Duguid, R.J.; Jager, C.K.; Kaushal, A.M.; Kennedy, S.E.; Neeser, M.A.; Reeve, M.M.; Reo, J.P.; Zahedi, M.M.; Kattuboina, V.A.; et al. Methods of Manufacturing a Bifunctional Compound, Ultrapure Forms of the Bifunctional Compound, and Dosage Forms Comprising the Same. WO2021231174A1, 18 November 2021. [Google Scholar]
- Kandimalla, R.L.D. Combination of Substituted 3-((3-Aminophenyl)amino)Piperidine-2,6-Dione Compounds with Other Therapeutic Agents for Treating Androgen Receptor Mediated Diseases such as Prostate Cancer. WO2024102706A1, 23 May 2024. [Google Scholar]
- Giaquinto, A.N.; Sung, H.; Newman, L.A.; Freedman, R.A.; Smith, R.A.; Star, J.; Jemal, A.; Siegel, R.L. Breast cancer statistics 2024. CA-Cancer J. Clin. 2024, 74, 477–495. [Google Scholar] [CrossRef]
- Clusan, L.; Ferrière, F.; Flouriot, G.; Pakdel, F. A Basic Review on Estrogen Receptor Signaling Pathways in Breast Cancer. Int. J. Mol. Sci. 2023, 24, 6834. [Google Scholar] [CrossRef]
- Bergman, L.; Beelen, M.L.; Gallee, M.P.; Hollema, H.; Benraadt, J.; van Leeuwen, F.E. Risk and prognosis of endometrial cancer after tamoxifen for breast cancer. Comprehensive Cancer Centres’ ALERT Group. Assessment of Liver and Endometrial cancer Risk following Tamoxifen. Lancet 2000, 356, 881–887. [Google Scholar] [CrossRef]
- Bross, P.F.; Baird, A.; Chen, G.; Jee, J.M.; Lostritto, R.T.; Morse, D.E.; Rosario, L.A.; Williams, G.M.; Yang, P.; Rahman, A.; et al. Fulvestrant in postmenopausal women with advanced breast cancer. Clin. Cancer Res. 2003, 9, 4309–4317. [Google Scholar] [PubMed]
- Juric, D.; Janku, F.; Rodon, J.; Burris, H.A.; Mayer, I.A.; Schuler, M.; Seggewiss-Bernhardt, R.; Gil-Martin, M.; Middleton, M.R.; Baselga, J.; et al. Alpelisib Plus Fulvestrant in PIK3CA-Altered and PIK3CA-Wild-Type Estrogen Receptor-Positive Advanced Breast Cancer: A Phase 1b Clinical Trial. JAMA Oncol. 2019, 5, e184475. [Google Scholar] [CrossRef] [PubMed]
- Andre, F.; Ciruelos, E.; Rubovszky, G.; Campone, M.; Loibl, S.; Rugo, H.S.; Iwata, H.; Conte, P.; Mayer, I.A.; Kaufman, B.; et al. Alpelisib for PIK3CA-Mutated, Hormone Receptor-Positive Advanced Breast Cancer. N. Engl. J. Med. 2019, 380, 1929–1940. [Google Scholar] [CrossRef] [PubMed]
- Hanker, A.B.; Sudhan, D.R.; Arteaga, C.L. Overcoming Endocrine Resistance in Breast Cancer. Cancer Cell 2020, 37, 496–513. [Google Scholar] [CrossRef]
- Katzenellenbogen, J.A.; Mayne, C.G.; Katzenellenbogen, B.S.; Greene, G.L.; Chandarlapaty, S. Structural underpinnings of oestrogen receptor mutations in endocrine therapy resistance. Nat. Rev. Cancer 2018, 18, 377–388. [Google Scholar] [CrossRef]
- Robinson, D.R.; Wu, Y.M.; Vats, P.; Su, F.; Lonigro, R.J.; Cao, X.; Kalyana-Sundaram, S.; Wang, R.; Ning, Y.; Hodges, L.; et al. Activating ESR1 mutations in hormone-resistant metastatic breast cancer. Nat. Genet. 2013, 45, 1446–1451. [Google Scholar] [CrossRef]
- Ma, C.X.; Reinert, T.; Chmielewska, I.; Ellis, M.J. Mechanisms of aromatase inhibitor resistance. Nat. Rev. Cancer 2015, 15, 261–275. [Google Scholar] [CrossRef]
- Jeselsohn, R.; Buchwalter, G.; De Angelis, C.; Brown, M.; Schiff, R. ESR1 mutations-a mechanism for acquired endocrine resistance in breast cancer. Nat. Rev. Clin. Oncol. 2015, 12, 573–583. [Google Scholar] [CrossRef]
- Rej, R.K.; Hu, B.; Chen, Z.X.; Acharyya, R.K.; Wu, D.M.; Metwally, H.; Mceachern, D.; Wang, Y.; Jiang, W.; Bai, L.C.; et al. Discovery of ERD-12310A as an Exceptionally Potent and Orally Efficacious PROTAC Degrader of Estrogen Receptor α (ERα). J. Med. Chem. 2024, 67, 20933–20965. [Google Scholar] [CrossRef]
- Chen, Z.X.; Hu, B.; Rej, R.K.; Wu, D.M.; Acharyya, R.K.; Wang, M.L.; Xu, T.F.; Lu, J.F.; Metwally, H.; Wang, Y.; et al. Discovery of ERD-3111 as a Potent and Orally Efficacious Estrogen Receptor PROTAC Degrader with Strong Antitumor Activity. J. Med. Chem. 2023, 66, 12559–12585. [Google Scholar] [CrossRef]
- Xu, G.; Havens, C.G.; Deng, Q.; Lowenstein, C.; Samanta, D.; Vidal, B.; Behshad, E.; Russell, M.; Orth, P.; Rice, C.T.; et al. Discovery and Characterization of PVTX-321 as a Potent and Orally Bioavailable Estrogen Receptor Degrader for ER+/HER2− Breast Cancer. J. Med. Chem. 2025, 68, 11299–11321. [Google Scholar] [CrossRef]
- Acharyya, R.K.; Rej, R.K.; Hu, B.; Chen, Z.; Wu, D.; Lu, J.; Metwally, H.; McEachern, D.; Wang, Y.; Jiang, W.; et al. Discovery of ERD-1233 as a Potent and Orally Efficacious Estrogen Receptor PROTAC Degrader for the Treatment of ER+ Human Breast Cancer. J. Med. Chem. 2024, 67, 19010–19037, Correction in J. Med. Chem. 2025, 68, 9014–9015. [Google Scholar] [CrossRef]
- Rej, R.K.; Thomas, J.I.I.; Acharyya, R.K.; Rae, J.M.; Wang, S.M. Targeting the Estrogen Receptor for the Treatment of Breast Cancer: Recent Advances and Challenges. J. Med. Chem. 2023, 66, 8339–8381. [Google Scholar] [CrossRef]
- Campone, M.; De Laurentiis, M.; Jhaveri, K.; Hu, X.C.; Ladoire, S.; Patsouris, A.; Zamagni, C.; Cui, J.W.; Cazzaniga, M.; Cil, T.; et al. Vepdegestrant, a PROTAC Estrogen Receptor Degrader, in Advanced Breast Cancer. N. Engl. J. Med. 2025, 393, 556–568. [Google Scholar] [CrossRef] [PubMed]
- McDonnell, D.P. Degradation of the Estrogen Receptor in Breast Cancer. N. Engl. J. Med. 2025, 393, 604–608. [Google Scholar] [CrossRef] [PubMed]
- Crew, A.P.; Flanagan, J.; Gough, S.M.; Haskell, R.J., III; Moore, M.D.; Qian, Y.; Taylor, I.C.A.; Wang, J.; Chen, X. Methods of Treating Breast Cancer with Tetrahydronaphthalene Derivatives as Estrogen Receptor Degraders. WO2021041348A1, 4 March 2021. [Google Scholar]
- Avery, S.; Buske, J.M.; Chen, D.; Chen, H.; Chen, X.; Davidson, A.R.; Desrosiers, J.N.; Dong, H.Q.; Fellah, N.; Fernández, D.F.; et al. Development of a Commercial Manufacturing Process for Vepdegestrant, an Orally Bioavailable PROTAC Estrogen Receptor Degrader for the Treatment of Breast Cancer. Org. Process Res. Dev. 2024, 28, 4079–4090. [Google Scholar] [CrossRef]
- Chen, X.; Crew, A.P.; Flanagan, J.; Gough, S.M.; Haskell, R.J., III; Moore, M.D.; Qian, Y.; Taylor, I.C.A.; Wang, J. Methods of Treating Breast Cancer with Tetrahydronaphthalene Derivatives as Estrogen Receptor Degraders and Their Preparation. WO2022132652A1, 23 June 2022. [Google Scholar]
- Brien, G.L.; Remillard, D.; Shi, J.; Hemming, M.L.; Chabon, J.; Wynne, K.; Dillon, E.T.; Cagney, G.; Van Mierlo, G.; Baltissen, M.P.; et al. Targeted degradation of BRD9 reverses oncogenic gene expression in synovial sarcoma. eLife 2018, 7, e41305. [Google Scholar] [CrossRef]
- Webb, T.; Craigon, C.; Ciulli, A. Targeting epigenetic modulators using PROTAC degraders: Current status and future perspective. Bioorg Med. Chem. Lett. 2022, 63, 128653. [Google Scholar] [CrossRef]
- Gazendam, A.M.; Popovic, S.; Munir, S.; Parasu, N.; Wilson, D.; Ghert, M. Synovial Sarcoma: A Clinical Review. Curr. Oncol. 2021, 28, 1909–1920. [Google Scholar] [CrossRef]
- Kadoch, C.; Crabtree, G.R. Reversible Disruption of mSWI/SNF (BAF) Complexes by the SS18-SSX Oncogenic Fusion in Synovial Sarcoma. Cell 2013, 153, 71–85. [Google Scholar] [CrossRef]
- Wang, C.W.; Wang, M.; Wang, Y.; Rej, R.K.; Aguilar, A.; Xu, T.F.; Bai, L.C.; Tosovic, J.; McEachern, D.; Li, Q.X.; et al. Discovery of CW-3308 as a Potent, Selective, and Orally Efficacious PROTAC Degrader of BRD9. J. Med. Chem. 2024, 67, 14125–14154. [Google Scholar] [CrossRef] [PubMed]
- Michel, B.C.; D’Avino, A.R.; Cassel, S.H.; Mashtalir, N.; McKenzie, Z.M.; McBride, M.J.; Valencia, A.M.; Zhou, Q.H.; Bocker, M.; Soares, L.M.M.; et al. A non-canonical SWI/SNF complex is a synthetic lethal target in cancers driven by BAF complex perturbation. Nat. Cell Biol. 2018, 20, 1410–1420. [Google Scholar] [CrossRef] [PubMed]
- Foghorn Therapeutics Provides an Update on FHD-609. News Release. Foghorn®Therapeutics Inc. 24 April 2023. Available online: https://bit.ly/440mXs9 (accessed on 25 April 2023).
- A Study to Assess the Safety and Tolerability of CFT8634 in Locally Advanced or Metastatic SMARCB1-Perturbed Cancers, Including Synovial Sarcoma and SMARCB1-Null Tumors. Available online: https://clinicaltrials.gov/study/NCT05355753?term=CFT8634&rank=1 (accessed on 17 December 2024).
- Jackson, K.L.; Agafonov, R.V.; Carlson, M.W.; Chaturvedi, P.; Cocozziello, D.; Cole, K.; Deibler, R.; Eron, S.J.; Good, A.; Hart, A.A.; et al. discovery and characterization of CFT8634: A potent and selective degrader of BRD9 for the treatment of SMARCB1-perturbed cancers. Cancer Res. 2022, 82, ND09. [Google Scholar] [CrossRef]
- Jackson, K.L.; Nasveschuk, C.G.; Zeid, R.; Yin, N.; Veits, G.K.; Moustakim, M.; Yap, J.L.; He, M.; Yu, R.T.; Schnaderbeck, M.J.; et al. Selected Compounds for Targeted Degradation of brd9. WO2023/039208A1, 13 April 2023. [Google Scholar]
- Huang, L.; Terry, D.B.; Waetzig, J.D.; Gu, C.-H. Stability-Enhancing Compositions and Methods of Preparing Compounds. WO2023009719A2, 2 February 2023. [Google Scholar]
- Anuar, N.N.M.; Hisam, N.S.N.; Liew, S.L.; Ugusman, A. Clinical Review: Navitoclax as a Pro-Apoptotic and Anti-Fibrotic Agent. Front. Pharmacol. 2020, 11, 564108. [Google Scholar]
- Khan, S.; Zhang, X.; Lv, D.; Zhang, Q.; He, Y.; Zhang, P.; Liu, X.; Thummuri, D.; Yuan, Y.; Wiegand, J.S.; et al. A selective BCL-X(L) PROTAC degrader achieves safe and potent antitumor activity. Nat. Med. 2019, 25, 1938–1947. [Google Scholar] [CrossRef]
- Jaiswal, A.; Jaiswal, A.; Williamson, E.A.; Gelfond, J.; Zheng, G.R.; Zhou, D.H.; Hromas, R. Resistance to the BCL-XL degrader DT2216 in T-cell acute lymphoblastic leukemia is rare and correlates with decreased BCL-XL proteolysis. Cancer Chemoth. Pharm. 2023, 91, 89–95. [Google Scholar] [CrossRef]
- Josefsson, E.C.; Vainchenker, W.; James, C. Regulation of Platelet Production and Life Span: Role of Bcl-xL and Potential Implications for Human Platelet Diseases. Int. J. Mol. Sci. 2020, 21, 7591. [Google Scholar] [CrossRef]
- Zheng, G.; Zhou, D.; Zhang, X.; Khan, S.; He, Y.; Zhang, P. Preparation of Peptides as Bcl-2 Proteins Degraders for Cancer Treatment. WO2019144117A1, 25 July 2019. [Google Scholar]
- Gaballa, S.; Pinilla-Ibarz, J. BTK Inhibitors in Chronic Lymphocytic Leukemia. Curr. Hematol. Malig. Rep. 2021, 16, 422–432. [Google Scholar] [CrossRef]
- Woyach, J.A.; Furman, R.R.; Liu, T.M.; Ozer, H.G.; Zapatka, M.; Ruppert, A.S.; Xue, L.; Li, D.H.H.; Steggerda, S.M.; Versele, M.; et al. Resistance Mechanisms for the Bruton’s Tyrosine Kinase Inhibitor Ibrutinib. N. Engl. J. Med. 2014, 370, 2286–2294. [Google Scholar] [CrossRef]
- Lew, T.E.; Lin, V.S.; Cliff, E.R.; Blombery, P.; Thompson, E.R.; Handunnetti, S.M.; Westerman, D.A.; Kuss, B.J.; Tam, C.S.; Huang, D.C.S.; et al. Outcomes of patients with CLL sequentially resistant to both BCL2 and BTK inhibition. Blood Adv. 2021, 5, 4054–4058. [Google Scholar] [CrossRef]
- Woyach, J.A.; Brown, J.R.; Ghia, P.; Roeker, L.E.; Patel, K.; Eyre, T.A.; Munir, T.; Lech-Maranda, E.; Lamanna, N.; Tam, C.S.; et al. Pirtobrutinib in Post-cBTKi CLL/SLL: ~30 Months Follow-up and Subgroup Analysis With/Without Prior BCL2i from the Phase 1/2 BRUIN Study. Blood 2023, 142, 325. [Google Scholar] [CrossRef]
- Salvaris, R.T.; Brennan, J.; Lewis, K.L. BTK Is the Target That Keeps on Giving: A Review of BTK-Degrader Drug Development, Clinical Data, and Future Directions in CLL. Cancers 2025, 17, 557. [Google Scholar] [CrossRef] [PubMed]
- Brown, J.R.; Desikan, S.P.; Nguyen, B.; Won, H.; Tantawy, S.I.; McNeely, S.; Marella, N.; Ebata, K.; Woyach, J.A.; Patel, K.; et al. Genomic Evolution and Resistance during Pirtobrutinib Therapy in Covalent BTK-Inhibitor (cBTKi) Pre-Treated Chronic Lymphocytic Leukemia Patients: Updated Analysis from the BRUIN Study. Blood 2023, 142, 326. [Google Scholar] [CrossRef]
- Wang, E.; Mi, X.L.; Thompson, M.C.; Montoya, S.; Notti, R.Q.; Afaghani, J.; Durham, B.H.; Penson, A.; Witkowski, M.T.; Lu, S.X.; et al. Mechanisms of Resistance to Noncovalent Bruton’s Tyrosine Kinase Inhibitors. N. Engl. J. Med. 2022, 386, 735–743. [Google Scholar] [CrossRef]
- Aldea, M.; Andre, F.; Marabelle, A.; Dogan, S.; Barlesi, F.; Soria, J.C. Overcoming Resistance to Tumor-Targeted and Immune-Targeted Therapies. Cancer Discov. 2021, 11, 874–899. [Google Scholar] [CrossRef]
- Brown, J.R.; Eichhorst, B.; Hillmen, P.; Jurczak, W.; Kazmierczak, M.; Lamanna, N.; O’Brien, S.M.; Tam, C.S.; Qiu, L.; Zhou, K.; et al. Zanubrutinib or Ibrutinib in Relapsed or Refractory Chronic Lymphocytic Leukemia. N. Engl. J. Med. 2023, 388, 319–332. [Google Scholar] [CrossRef]
- Buhimschi, A.D.; Armstrong, H.A.; Toure, M.; Jaime-Figueroa, S.; Chen, T.L.; Lehman, A.M.; Woyach, J.A.; Johnson, A.J.; Byrd, J.C.; Crews, C.M. Targeting the C481S Ibrutinib-Resistance Mutation in Bruton’s Tyrosine Kinase Using PROTAC-Mediated Degradation. Biochemistry 2018, 57, 3564–3575. [Google Scholar] [CrossRef]
- Montoya, S.; Bourcier, J.; Noviski, M.; Lu, H.; Thompson, M.C.; Chirino, A.; Jahn, J.; Sondhi, A.K.; Gajewski, S.; Tan, Y.S.M.; et al. Kinase-impaired BTK mutations are susceptible to clinical-stage BTK and IKZF1/3 degrader NX-2127. Science 2024, 383, eadi5798. [Google Scholar] [CrossRef]
- Robbins, D.W.; Noviski, M.A.; Tan, Y.S.; Konst, Z.A.; Kelly, A.; Auger, P.; Brathaban, N.; Cass, R.; Chan, M.L.; Cherala, G.; et al. Discovery and Preclinical Pharmacology of NX-2127, an Orally Bioavailable Degrader of Bruton’s Tyrosine Kinase with Immunomodulatory Activity for the Treatment of Patients with B Cell Malignancies. J. Med. Chem. 2024, 67, 2321–2336. [Google Scholar] [CrossRef]
- Huynh, T.; Rodriguez-Rodriguez, S.; Roleder, C.; Whelan, S.; Tan, M.; Lee, E.; Munson, P.; Danilov, A.V. Nx-2127 and Nx-5948, Two Clinical Stage Cereblon-Recruiting BTK Degraders, Facilitate T Cell Functionality in Chronic Lymphocytic Leukemia. Blood 2024, 144, 77–78. [Google Scholar] [CrossRef]
- Searle, E.; Forconi, F.; Linton, K.; Danilov, A.; Mckay, P.; Lewis, D.; El-Sharkawi, D.; Gleeson, M.; Riches, J.; Injac, S.G.; et al. Initial Findings from a First-in-Human Phase 1a/b Trial of NX-5948, a Selective Bruton’s Tyrosine Kinase (BTK) Degrader, in Patients with Relapsed/Refractory B Cell Malignancies. Blood 2023, 142, 4473. [Google Scholar] [CrossRef]
- Noviski, M.A.; Brathaban, N.; Mukerji, R.; Yung, S.; Ye, J.; Bousquet, H.; de los Rios, M.S.G.; Bravo, B.; Chen, J.W.; Auger, P.; et al. NX-5948 promotes selective, sub-nanomolar degradation of inhibitor-resistant BTK mutants. Cancer Res. 2023, 83, 2850. [Google Scholar] [CrossRef]
- Flaherty, C. FDA Grants Fast Track Status to NX-5948 for Relapsed/Refractory CLL/SLL. Available online: https://www.onclive.com/view/fda-grants-fast-track-status-to-nx-5948-for-relapsed-refractory-cll-sll (accessed on 17 January 2024).
- Sands, A.T.; Kelly, A. Aileen Bifunctional Compounds for Degrading Btk via Ubiquitin Proteosome Pathway. WO2021113557A1, 10 June 2021. [Google Scholar]
- Hanlon, M.M.; Rakovich, T.; Cunningham, C.C.; Ansboro, S.; Veale, D.J.; Fearon, U.; McGarry, T. STAT3 Mediates the Differential Effects of Oncostatin M and TNFalpha on RA Synovial Fibroblast and Endothelial Cell Function. Front. Immunol. 2019, 10, 2056. [Google Scholar] [CrossRef] [PubMed]
- Mankan, A.K.; Greten, F.R. Inhibiting signal transducer and activator of transcription 3: Rationality and rationale design of inhibitors. Expert. Opin. Inv Drug 2011, 20, 1263–1275. [Google Scholar] [CrossRef]
- Zhou, J.; Tison, K.; Zhou, H.; Bai, L.; Acharyya, R.K.; McEachern, D.; Metwally, H.; Wang, Y.; Pitter, M.; Choi, J.E.; et al. STAT5 and STAT3 balance shapes dendritic cell function and tumour immunity. Nature 2025, 643, 519–528. [Google Scholar] [CrossRef]
- Zhou, H.B.; Bai, L.C.; Xu, R.Q.; Zhao, Y.J.; Chen, J.Y.; McEachern, D.; Chinnaswamy, K.; Wen, B.; Dai, L.P.; Kumar, P.; et al. Structure-Based Discovery of SD-36 as a Potent, Selective, and Efficacious PROTAC Degrader of STAT3 Protein. J. Med. Chem. 2019, 62, 11280–11300. [Google Scholar] [CrossRef]
- Zhou, H.B.; Bai, L.C.A.; Xu, R.Q.; McEachern, D.; Chinnaswamy, K.; Li, R.T.; Wen, B.; Wang, M.; Yang, C.Y.; Meagher, J.L.; et al. SD-91 as A Potent and Selective STAT3 Degrader Capable of Achieving Complete and Long-Lasting Tumor Regression. ACS Med. Chem. Lett. 2021, 12, 996–1004. [Google Scholar] [CrossRef]
- Xu, R.; Zhou, H.; Bai, L.; McEachern, D.; Wu, D.; Acharyya, R.K.; Wang, M.; Tosovic, J.; Yang, C.Y.; Chinnaswamy, K.; et al. Discovery of SD-436: A Potent, Highly Selective and Efficacious STAT3 PROTAC Degrader Capable of Achieving Complete and Long-Lasting Tumor Regression. J. Med. Chem. 2024, 67, 20495–20513. [Google Scholar] [CrossRef]
- Liu, P.C.C.; Dixit, V.; Mayo, M.; Dey, J.; Yuan, K.; Karnik, R.; Walther, D.; Shi, Y.; Sharma, K.; Rong, H.J.; et al. A First-in-Class STAT3 Degrader KT-333 in Development for Treatment of Hematologic Cancers. Blood 2021, 138, 1865. [Google Scholar] [CrossRef]
- Bai, L.C.; Zhou, H.B.; Xu, R.Q.; Zhao, Y.J.; Chinnaswamy, K.; McEachern, D.; Chen, J.Y.; Yang, C.Y.; Liu, Z.M.; Wang, M.; et al. A Potent and Selective Small-Molecule Degrader of STAT3 Achieves Complete Tumor Regression. Cancer Cell 2019, 36, 498–511.e17. [Google Scholar] [CrossRef]
- Hu, Y.; Dong, Z.; Liu, K. Unraveling the complexity of STAT3 in cancer: Molecular understanding and drug discovery. J. Exp. Clin. Cancer Res. 2024, 43, 23. [Google Scholar] [CrossRef] [PubMed]
- Starodub, A.; Gollerkeri, A.; De Savi, C.; Dey, J.; Agarwal, S.; Donohue, S.; Perea, R.; Klaus, C.; Gollob, J. Phase 1 study of KT-333, a targeted protein degrader, in patients with relapsed or refractory lymphomas, large granular lymphocytic leukemia, and solid tumors. J. Clin. Oncol. 2022, 40, TPS3171. [Google Scholar] [CrossRef]
- Smith, S.D.; Starodub, A.; Stevens, D.A.; Shastri, A.; Porcu, P.; Feldman, T.; Ewesuedo, R.; DeSavi, C.; Dey, J.; Agarwal, S.; et al. A Phase 1 Study of KT-333, a Targeted Protein Degrader of STAT3, in Patients with Relapsed or Refractory Lymphomas, Large Granular Lymphocytic Leukemia, and Solid Tumors. Blood 2022, 140, 12024–12025. [Google Scholar] [CrossRef]
- Mainolfi, N.; Ji, N.; Yang, B.; Zhang, Y. Preparation of Heterocycles as STAT Degraders and Uses Thereof. WO2020/206424A1, 8 October 2020. [Google Scholar]
- Ji, N.; Yang, B.; Zheng, X.; Zhu, X. STAT Degraders and Their Uses Thereof. WO2021188696A1, 23 September 2021. [Google Scholar]
- Yang, B.; Zheng, X.; Zhu, X. Stat Degraders and Uses Thereof. WO2022077010A1, 14 April 2022. [Google Scholar]
- Susanibar-Adaniya, S.; Barta, S.K. 2021 Update on Diffuse large B cell lymphoma: A review of current data and potential applications on risk stratification and management. Am. J. Hematol. 2021, 96, 617–629. [Google Scholar] [CrossRef]
- McLachlan, T.; Matthews, W.C.; Jackson, E.R.; Staudt, D.E.; Douglas, A.M.; Findlay, I.J.; Persson, M.L.; Duchatel, R.J.; Mannan, A.; Germon, Z.P.; et al. B-cell Lymphoma 6 (BCL6): From Master Regulator of Humoral Immunity to Oncogenic Driver in Pediatric Cancers. Mol. Cancer Res. 2022, 20, 1711–1723. [Google Scholar] [CrossRef]
- Kerres, N.; Steurer, S.; Schlager, S.; Bader, G.; Berger, H.; Caligiuri, M.; Dank, C.; Engen, J.R.; Ettmayer, P.; Fischerauer, B.; et al. Chemically Induced Degradation of the Oncogenic Transcription Factor BCL6. Cell Rep. 2017, 20, 2860–2875. [Google Scholar] [CrossRef]
- Mi, D.; Li, C.; Li, Y.; Yao, M.; Li, Y.; Hong, K.; Xie, C.; Chen, Y. Discovery of novel BCL6-Targeting PROTACs with effective antitumor activities against DLBCL in vitro and in vivo. Eur. J. Med. Chem. 2024, 277, 116789. [Google Scholar] [CrossRef]
- Bellenie, B.R.; Cheung, K.J.; Varela, A.; Pierrat, O.A.; Collie, G.W.; Box, G.M.; Bright, M.D.; Gowan, S.; Hayes, A.; Rodrigues, M.J.; et al. Achieving In Vivo Target Depletion through the Discovery and Optimization of Benzimidazolone BCL6 Degraders. J. Med. Chem. 2020, 63, 4047–4068. [Google Scholar] [CrossRef]
- Sherman, D. The discovery of ARV-393, a potent, orally bioavailable BCL6 targeting PROTAC® for the treatment of Non-Hodgkin’s Lymphoma. Cancer Res. 2024, 84, ND05. [Google Scholar] [CrossRef]
- Van Acker, A.; DeCarr, L.; Eaton, S.; Sherman, D.; Bortolon, E.; Bookbinder, M.; Pizzano, J.; Scopel, M.; Corwin, W.; Juncadella, I.; et al. ARV-393, a PROTAC B-cell lymphoma 6 (BCL6) degrader, combined with biologics or small molecule inhibitors (SMIs) induces tumor regressions in diffuse large B-cell lymphoma (DLBCL) models. Cancer Res. 2025, 85, 1655. [Google Scholar] [CrossRef]
- Berlin, M.; Dong, H.; Sherman, D.; Snyder, L.B.; Wang, J.; Zhang, W. Modulators of Bcl6 Proteolysis and Associated Methods of Use. WO2022/221673A1, 20 October 2022. [Google Scholar]
- Sherman, D. Modulators of Bcl6 Proteolysis and Associated Methods of Use. WO2024086759A1, 25 April 2024. [Google Scholar]
- Mortensen, D.S.; Huang, D.; Alexander, M.D.; Whitefield, B.W.; Shunatona, H.P.; Dodd, D.S.; Miseo, G.; Holmberg-Douglas, N.; Rhodes, J.; Griffin, J. Modulators of Bcl6 for Use in a Method of Treating a Cancer or an Autoimmune Disease. WO2025/059429A1, 20 March 2025. [Google Scholar]
- Acharyya, R.K.; Huang, L.; Aguilar, A.; Hu, B.; Bai, L.; Metwally, H.; McEachern, D.; Jiang, W.; Wang, Y.; Li, Q.; et al. MD-4251: A First-in-Class Oral MDM2 Degrader Inducing Complete Tumor Regression with Single-Dose Administration. J. Med. Chem. 2025, 68, 13249–13267. [Google Scholar] [CrossRef] [PubMed]
- Nag, S.; Qin, J.J.; Srivenugopal, K.S.; Wang, M.H.; Zhang, R.W. The MDM2-p53 pathway revisited. J. Biomed. Res. 2013, 27, 254–271. [Google Scholar] [CrossRef] [PubMed]
- Marei, H.E.; Althani, A.; Afifi, N.; Hasan, A.; Caceci, T.; Pozzoli, G.; Morrione, A.; Giordano, A.; Cenciarelli, C. p53 signaling in cancer progression and therapy. Cancer Cell Int. 2021, 21, 703. [Google Scholar] [CrossRef] [PubMed]
- Li, H.; Cai, X.; Yang, X.; Zhang, X. An overview of PROTACs targeting MDM2 as a novel approach for cancer therapy. Eur. J. Med. Chem. 2024, 272, 116506. [Google Scholar] [CrossRef]
- Aguilar, A.; Thomas, J.E.; Wang, S.M. Targeting MDM2 for the development of a new cancer therapy: Progress and challenges. Med. Chem. Res. 2023, 32, 1334–1344. [Google Scholar] [CrossRef]
- Mayo, M.; Chutake, Y.; Karnik, R.; McDonald, A.; Cho, P.S.; Filiatrault, J.; Chen, D.P.; Dixit, V.; Proctor, W.; Breitkopf, S.; et al. Development of KT-253, a Highly Potent and Selective Heterobifunctional MDM2 Degrader for the Treatment of Acute Myeloid Leukemia. Blood 2022, 140, 6239–6240. [Google Scholar] [CrossRef]
- Dumont, N.; Karnik, R.; Chutake, Y.; Dey, J.; Breitkopf, S.; Howarth, C.; Meeske, C.; Fasciano, A.; Ghilu, S.; Houghton, P.; et al. Predictive Markers of Response to the MDM2 Degrader KT-253. Eur. J. Cancer 2024, 211, S111–S112. [Google Scholar] [CrossRef]
- Lu, M.; Xia, L.J.; Chutake, Y.; Dey, J.; Hoffman, R. KT-253, a Highly Potent and Selective MDM2 Protein Degrader, Eliminates Malignant Myelofibrosis Stem/Progenitor Cells. Blood 2024, 144, 3588–3589. [Google Scholar] [CrossRef]
- Khawaja, M.R.R.U.H.; Naqash, A.R.; Schneider, R.; Shastri, A.; Stahl, M.; Moser, J.C.; Karim, N.F.A.; Madanat, Y.; Jonas, B.A.; Stein, E.; et al. Safety, pharmacokinetics (PK), pharmacodynamics (PD) and efficacy of KT-253, a targeted protein degrader of MDM2, in patients with relapsed/refractory (R/R) solid tumors, lymphoma, high grade myeloid malignancies and acute lymphoblastic leukemia (ALL). J. Clin. Oncol. 2024, 42, 3084. [Google Scholar] [CrossRef]
- Chutake, Y.K.; Mayo, M.F.; Dumont, N.; Filiatrault, J.; Breitkopf, S.B.; Cho, P.; Chen, D.; Dixit, V.S.; Proctor, W.R.; Kuhn, E.W.; et al. KT-253, A Novel MDM2 Degrader and p53 Stabilizer, Has Superior Potency and Efficacy Than MDM2 Small Molecule Inhibitors. Mol. Cancer Ther. 2024, 24, 497–510. [Google Scholar] [CrossRef]
- Weiss, M.M. Mdm2 Degraders and Uses Thereof. WO2023/049790A2, 30 March 2023. [Google Scholar]
- Varga, J.; Kube, M.; Luck, K.; Schick, S. The BAF chromatin remodeling complexes: Structure, function, and synthetic lethalities. Biochem. Soc. Trans. 2021, 49, 1489–1503. [Google Scholar] [CrossRef] [PubMed]
- Alfert, A.; Moreno, N.; Kerl, K. The BAF complex in development and disease. Epigenetics Chromatin 2019, 12, 19. [Google Scholar] [CrossRef] [PubMed]
- Gerstenberger, B.S.; Trzupek, J.D.; Tallant, C.; Fedorov, O.; Filippakopoulos, P.; Brennan, P.E.; Fedele, V.; Martin, S.; Picaud, S.; Rogers, C.; et al. Identification of a Chemical Probe for Family VIII Bromodomains through Optimization of a Fragment Hit. J. Med. Chem. 2016, 59, 4800–4811. [Google Scholar] [CrossRef] [PubMed]
- Sutherell, C.L.; Tallant, C.; Monteiro, O.P.; Yapp, C.; Fuchs, J.E.; Fedorov, O.; Siejka, P.; Müller, S.; Knapp, S.; Brenton, J.D.; et al. Identification and Development of 2,3-Dihydropyrrolo[1,2-a]quinazolin-5(1H)-one Inhibitors Targeting Bromodomains within the Switch/Sucrose Nonfermenting Complex. J. Med. Chem. 2016, 59, 5095–5101. [Google Scholar] [CrossRef]
- Vaswani, R.G.; Huang, D.S.; Anthony, N.; Xu, L.; Centore, R.; Schiller, S.; Li, Z.F.; Fan, H.; Setser, J.; Zawadzke, L.E.; et al. Discovery of FHD-286, a First-in-Class, Orally Bioavailable, Allosteric Dual Inhibitor of the Brahma Homologue (BRM) and Brahma-Related Gene 1 (BRG1) ATPase Activity for the Treatment of SWItch/Sucrose Non-Fermentable (SWI/SNF) Dependent Cancers. J. Med. Chem. 2025, 68, 1772–1792. [Google Scholar] [CrossRef]
- Cantley, J.; Ye, X.F.; Rousseau, E.; Januario, T.; Hamman, B.D.; Rose, C.M.; Cheung, T.K.; Hinkle, T.; Soto, L.; Quinn, C.; et al. Selective PROTAC-mediated degradation of SMARCA2 is efficacious in SMARCA4 mutant cancers. Nat. Commun. 2022, 13, 6814. [Google Scholar] [CrossRef]
- Previtali, V.; Bagnolini, G.; Ciamarone, A.; Ferrandi, G.; Rinaldi, F.; Myers, S.H.; Roberti, M.; Cavalli, A. New Horizons of Synthetic Lethality in Cancer: Current Development and Future Perspectives. J. Med. Chem. 2024, 67, 11488–11521. [Google Scholar] [CrossRef]
- Farnaby, W.; Koegl, M.; Roy, M.J.; Whitworth, C.; Diers, E.; Trainor, N.; Zollman, D.; Steurer, S.; Karolyi-Oezguer, J.; Riedmueller, C.; et al. BAF complex vulnerabilities in cancer demonstrated via structure-based PROTAC design. Nat. Chem. Biol. 2019, 15, 672–680. [Google Scholar] [CrossRef]
- Kofink, C.; Trainor, N.; Mair, B.; Wohrle, S.; Wurm, M.; Mischerikow, N.; Roy, M.J.; Bader, G.; Greb, P.; Garavel, G.; et al. A selective and orally bioavailable VHL-recruiting PROTAC achieves SMARCA2 degradation in vivo. Nat. Commun. 2022, 13, 5969. [Google Scholar] [CrossRef]
- Leng, L.Y.; Tu, W.B.; Yang, L.; Huang, L.Y.; Wang, M.; Meagher, J.L.; Chinnaswamy, K.; Allu, S.R.; Rej, R.K.; Tosovic, J.; et al. Discovery of High-Affinity SMARCA2/4 Bromodomain Ligands and Development of Potent and Exceptionally Selective SMARCA2 PROTAC Degraders. J. Med. Chem. 2025, 68, 1113–1133. [Google Scholar] [CrossRef]
- ClinicalTrials.gov. A Study of PRT3789 in Combination with Pembrolizumab in Patients with Advanced or Metastatic Solid Tumors with a SMARCA4 Mutation. Available online: https://clinicaltrials.gov/study/NCT06682806 (accessed on 30 March 2025).
- ClinicalTrials.gov. PRT3789 Monotherapy and in Combo w/Docetaxel in Participants w/Advanced or Metastatic Solid Tumors w/SMARCA4 Mutation. Available online: https://clinicaltrials.gov/study/NCT05639751 (accessed on 30 March 2025).
- Shcherbakov, A.A.; Poppe, L.; Vaish, A. Biophysical Approaches for Investigating the Dynamics and Cooperativity of Ternary Complexes in Targeted Protein Degradation. J. Med. Chem. 2025, 68, 12904–12910. [Google Scholar] [CrossRef]
- Wurz, R.P.; Rui, H.; Dellamaggiore, K.; Ghimire-Rijal, S.; Choi, K.; Smither, K.; Amegadzie, A.; Chen, N.; Li, X.; Banerjee, A.; et al. Affinity and cooperativity modulate ternary complex formation to drive targeted protein degradation. Nat. Commun. 2023, 14, 4177. [Google Scholar] [CrossRef]
- Combs, A.P.; Lin, H.; Pitis, P.; Lu, L. Brm Targeting Compounds and Associated Methods of Use. WO2021/252666A1, 16 December 2021. [Google Scholar]
- Lu, L.; Combs, A.P.; Basch, C.H.; Shetty, R.; Dai, C.; Bersch, K.L.; Rose, J.A.; Beam, D.J.; Mei, S. Brm Targeting Compounds and Associated Methods of Use. WO2022099117A1, 12 May 2022. [Google Scholar]
- Alabi, S.; Jaime-Figueroa, S.; Yao, Z.; Gao, Y.; Hines, J.; Samarasinghe, K.T.G.; Vogt, L.; Rosen, N.; Crews, C.M. Mutant-selective degradation by BRAF-targeting PROTACs. Nat. Commun. 2021, 12, 920. [Google Scholar] [PubMed]
- Hanrahan, A.J.; Chen, Z.Y.; Rosen, N.; Solit, D.B. BRAF—A tumour-agnostic drug target with lineage-specific dependencies. Nat. Rev. Clin. Oncol. 2024, 21, 224–247. [Google Scholar] [PubMed]
- Vieito, M.; Mckean, M.; Spira, A.I.; Rosen, E.; Rodon, J.; Garcia, V.M.; Gambardella, V.; Saavedra, O.; Cousin, S.; Cassier, P.; et al. Preliminary results from a phase I study of CFT1946, a novel BIDAC degrader in mutant BRAF V600 solid tumors. Ann. Oncol. 2024, 35, S490–S491. [Google Scholar] [CrossRef]
- Villar, M.V.; McKean, M.; Spira, A.; Rosen, E.; Rodon, J.; Moreno, V.; Gambardella, V.; Gadea, O.S.S.; Cousin, S.; Cassier, P.; et al. A phase I/II study of CFT1946, a novel BIDAC degrader targeting mutant BRAF V600 solid tumors including metastatic colorectal cancer (CRC) in combination with cetuximab. Ann. Oncol. 2024, 35, S71–S72. [Google Scholar] [CrossRef]
- McKean, M.; Spira, A.I.; Rosen, E.; Subbiah, V.; Moreno, V.; Gambardella, V.; Vieito, M.; Saavedra, O.; Cousin, S.; Cassier, P.A.; et al. A phase 1/2 study of CFT1946, a novel, bifunctional degradation activating compound (BIDAC) degrader, of mutant BRAF V600 as monotherapy and in combination with trametinib, in mutant BRAF V600 solid tumors. J. Clin. Oncol. 2023, 41, TPS3163. [Google Scholar] [CrossRef]
- Nasveschuk, C.G.; Jackson, K.L.; Liang, Y.; Yu, R.T.; Duplessis, M.; Fitzgerald, M.E.; Garza, V.; Good, A.C.; Welzel, O.M.; Veits, G.K.; et al. Therapeutics for the Degradation of Mutant Braf. WO2022/261250A1, 15 December 2022. [Google Scholar]
- Cox, A.D.; Fesik, S.W.; Kimmelman, A.C.; Luo, J.; Der, C.J. Drugging the undruggable RAS: Mission possible? Nat. Rev. Drug Discov. 2014, 13, 828–851. [Google Scholar] [CrossRef]
- Goody, R.S.; Frech, M.; Wittinghofer, A. Affinity of Guanine-Nucleotide Binding-Proteins for Their Ligands—Facts and Artifacts. Trends Biochem. Sci. 1991, 16, 327–328. [Google Scholar]
- Tong, L.; Devos, A.M.; Milburn, M.V.; Kim, S.H. Crystal-Structures at 2.2 a Resolution of the Catalytic Domains of Normal Ras Protein and an Oncogenic Mutant Complexed with Gdp. J. Mol. Biol. 1991, 217, 503–516. [Google Scholar]
- FDA. Approves First KRAS Inhibitor: Sotorasib. Cancer Discov. 2021, 11, OF4. [Google Scholar] [CrossRef]
- Hallin, J.; Engstrom, L.D.; Hargis, L.; Calinisan, A.; Aranda, R.; Briere, D.M.; Sudhakar, N.; Bowcut, V.; Baer, B.R.; Ballard, J.A.; et al. The KRAS(G12C) Inhibitor MRTX849 Provides Insight toward Therapeutic Susceptibility of KRAS-Mutant Cancers in Mouse Models and Patients. Cancer Discov. 2020, 10, 54–71. [Google Scholar] [CrossRef] [PubMed]
- Lanman, B.A.; Allen, J.R.; Allen, J.G.; Amegadzie, A.K.; Ashton, K.S.; Booker, S.K.; Chen, J.J.; Chen, N.; Frohn, M.J.; Goodman, G.; et al. Discovery of a Covalent Inhibitor of KRAS(G12C) (AMG 510) for the Treatment of Solid Tumors. J. Med. Chem. 2020, 63, 52–65. [Google Scholar] [CrossRef] [PubMed]
- Wang, X.; Allen, S.; Blake, J.F.; Bowcut, V.; Briere, D.M.; Calinisan, A.; Dahlke, J.R.; Fell, J.B.; Fischer, J.P.; Gunn, R.J.; et al. Identification of MRTX1133, a Noncovalent, Potent, and Selective KRAS(G12D) Inhibitor. J. Med. Chem. 2022, 65, 3123–3133. [Google Scholar] [CrossRef] [PubMed]
- Awad, M.M.; Liu, S.; Rybkin, I.I.; Arbour, K.C.; Dilly, J.; Zhu, V.W.; Johnson, M.L.; Heist, R.S.; Patil, T.; Riely, G.J.; et al. Acquired Resistance to KRAS(G12C) Inhibition in Cancer. N. Engl. J. Med. 2021, 384, 2382–2393. [Google Scholar] [CrossRef]
- Park, W.; Kasi, A.; Spira, A.I.; Berlin, J.D.; Wang, J.S.; Herzberg, B.; Kuboki, Y.; Kitano, S.; Pelster, M.; Goldman, J.W.; et al. Preliminary safety and clinical activity of ASP3082, a first-in-class, KRAS G12D selective protein degrader in adults with advanced pancreatic (PC), colorectal (CRC), and non-small cell lung cancer (NSCLC). Ann. Oncol. 2024, 35, S486–S487. [Google Scholar] [CrossRef]
- Nagashima, T.; Inamura, K.; Nishizono, Y.; Suzuki, A.; Tanaka, H.; Yoshinari, T.; Yamanaka, Y. ASP3082, a First-in-class novel KRAS G12D degrader, exhibits remarkable anti-tumor activity in KRAS G12D mutated cancer models. Eur. J. Cancer 2022, 174, S30. [Google Scholar] [CrossRef]
- Nagashima, T. Pharmaceutical Composition Comprising a Quinazoline Compound. WO2023/119677A1, 29 June 2023. [Google Scholar]
- Yoshinari, T.; Nagashima, T.; Ishioka, H.; Inamura, K.; Nishizono, Y.; Tasaki, M.; Iguchi, K.; Suzuki, A.; Sato, C.; Nakayama, A.; et al. Discovery of KRAS(G12D) selective degrader ASP3082. Commun. Chem. 2025, 8, 254. [Google Scholar] [CrossRef]
- Weiss, M.M.; Zheng, X.Z.; Ji, N.; Browne, C.M.; Campbell, V.; Chen, D.P.; Enerson, B.; Fei, X.; Huang, X.; Klaus, C.R.; et al. Discovery of KT-413, a Targeted Protein Degrader of IRAK4 and IMiD Substrates Targeting MYD88 Mutant Diffuse Large B-Cell Lymphoma. J. Med. Chem. 2024, 67, 10548–10566. [Google Scholar] [CrossRef]
- Cai, H.; Zhang, T.; Hu, Y. Global landscape of PROTAC: Perspectives from patents, drug pipelines, clinical trials, and licensing transactions. Eur. J. Med. Chem. 2025, 299, 118055. [Google Scholar] [CrossRef]


































Disclaimer/Publisher’s Note: The statements, opinions and data contained in all publications are solely those of the individual author(s) and contributor(s) and not of MDPI and/or the editor(s). MDPI and/or the editor(s) disclaim responsibility for any injury to people or property resulting from any ideas, methods, instructions or products referred to in the content. |
© 2025 by the authors. Licensee MDPI, Basel, Switzerland. This article is an open access article distributed under the terms and conditions of the Creative Commons Attribution (CC BY) license.
Share and Cite
Acharyya, R.K.; Kothapalli, Y.; Yarlagadda, S.; De, C.K.; Allu, S.R.; Roy, J.; Rej, R.K. An Update on Clinically Advanced PROTAC Degraders and Their Synthesis. Molecules 2026, 31, 33. https://doi.org/10.3390/molecules31010033
Acharyya RK, Kothapalli Y, Yarlagadda S, De CK, Allu SR, Roy J, Rej RK. An Update on Clinically Advanced PROTAC Degraders and Their Synthesis. Molecules. 2026; 31(1):33. https://doi.org/10.3390/molecules31010033
Chicago/Turabian StyleAcharyya, Ranjan Kumar, Yugandhar Kothapalli, Suresh Yarlagadda, Chayan K. De, Srinivasa Rao Allu, Joyeeta Roy, and Rohan Kalyan Rej. 2026. "An Update on Clinically Advanced PROTAC Degraders and Their Synthesis" Molecules 31, no. 1: 33. https://doi.org/10.3390/molecules31010033
APA StyleAcharyya, R. K., Kothapalli, Y., Yarlagadda, S., De, C. K., Allu, S. R., Roy, J., & Rej, R. K. (2026). An Update on Clinically Advanced PROTAC Degraders and Their Synthesis. Molecules, 31(1), 33. https://doi.org/10.3390/molecules31010033

