A Comprehensive Review of the Phenolic Compounds in Dracocephalum Genus (Lamiaceae) Related to Traditional Uses of the Species and Their Biological Activities
Abstract
1. Introduction
2. Literature Survey Databases
3. Botanical Description of Dracocephalum spp.
4. Traditional Uses of Some Dracocephalum Species
| Species | Traditional Name or Name of Drugs | Region of Folk Medicinal Application | Traditional Indications | References |
|---|---|---|---|---|
| D. foetidum | Omkhii Shimeldeg, Briyangu, Fetid Dragonhead, *Tsarvon-4, *Bragshun-9, *Elegnii gurgum-7, *Anar-8, *Bavu-7, *Chun-9, *Chagdar, *Sarichun, *Jonsh-21, *Zandan -8, *Briyagu-9, *Gavar-13, *Yanjima-25, | Mongolia | Fungal and bacterial skin infections, stomatitis, rheumatic edema, and fever | [7,34] |
| D. heterophyllum | Ao-Ga, Ji-Mei-Qing-Bao, Zupal, Shimthigle, B. Paul (Tibetan name), Xinjiang Uighur Mar Xan Gusi, Jizi Qingbao | Provinces of China (Sichuan, Qinghai–Tibet Plateau, Sitsang, Qinghai, Sinkiang, Xinjiang, Neimenggu Gansu), India (Jammu, Kashmir, Himachal Pradesh, Uttaranchal, and Sikkim), India (Ladakh) | Asthma, cough, hepatitis, icterohepatitis, eye ailments (e.g., redness, irritation, conjunctivitis), mouth ulcers and tooth diseases, colds, heart palpitations, neuralgia, migraine, and lack of appetite | [45,46,47,48,49,63] |
| D. kotschyi | Badrandjboie-dennaie, Zarringiah, Zarrin-Giah | Iran (Alborz mountains, north of Khorasan) | Headache and toothaches, congestion, rheumatoid arthritis, liver and stomach disease; additive to improve the taste and scent of dishes | [8,11,64,65,66] |
| D. moldavica | Moldavian balm, Moldavian dragonhead, Toronjil azul, Toronjil chino, Xiang qing lan, Yixin Badi Ran Gibuya, BadiRanjibuya, Badrashbi, Baeiranjiboya, Melissa moldavica, Badrashboo Qinggan, *Qiwei powder, *Niuhuang, *Shisanwei pill, *Liganhewei pill, *Yixin Badiranjibuya Granules | Central, Eastern, and Nordic Europe, Siberia, Mongolia, China (Gansu, Hebei, Heilongjiang, Henan, Jilin, Liaoning, Nei Mongol, Qinghai, Shaanxi, Shanxi) Mexico, Northern and Northwestern Iran, North America | Coronary heart disease, hypertension and angina, pain (neuralgia, migraine, headache, or toothache), gastric, liver disorders, hyperactivity, and nervousness | [3,10,31,33,67,68,69,70,71,72,73,74] |
| D. multicaule | Palang moshk, Zarrin giah, Zeravihi | Iran | Cardiovascular diseases: hypertension, atherosclerosis, angina, cold, gastrointestinal disorders | [59,75,76,77] |
| D. palmatum | Tánara ótó, Palmate dragonhead | North Yakutia (Siberia), Russian Far East | Gastro-intestinal tract disorders, as diuretic and choloretic remedy, alcoholism; spice and tea | [25,53,78] |
| D. peregrinum | Tekanbasjelanbas, Tikanbasgarambas | China, Kazakhstan | Cough, asthma | [54] |
| D. polychaetum | Mafaroo, Zarro, Badranjboyeh Kermani | Iran (Kerman province) | Hyperlipidemia, inflammatory and infectious diseases, cancer, oxidative stress, indigestion, colic, stomachache, and musculoskeletal pain | [60,79] |
| D. rupestre | Maojian tea | China (Liaoning, Hebei, Nei Mongol, Shanxi, Qinghai, Shanxi), Korea | Headache, fever, jaundice and hepatitis, and damp-heat | [56,80] |
| D. ruyschiana | Northern dragonhead | Russian and Asian steppes, Kazahstan, Mongolia, Europe | Gastric ulcers, laryngitis, acute respiratory infection, diarrhea, rheumatoid arthritis, and headache | [35,43,81,82] |
| D. subcapitatum | Iran (Northeastern Khorasan) | Hyperlipidemia, diabetes | [61,62] | |
| D. tanguticum | Zhi yang ge, Ganqingqinglan, Tangguteqinglan | Qinghai–Tibet Plateau, western region of China | Gastritis, hepatitis and hepatitis B virus, dizziness, rheumatoid arthritis, hypoxia, ulcers, hemorrhoids, and scabies | [51,83,84,85,86] |
5. Phenolic Compounds from Dracocephalum Species
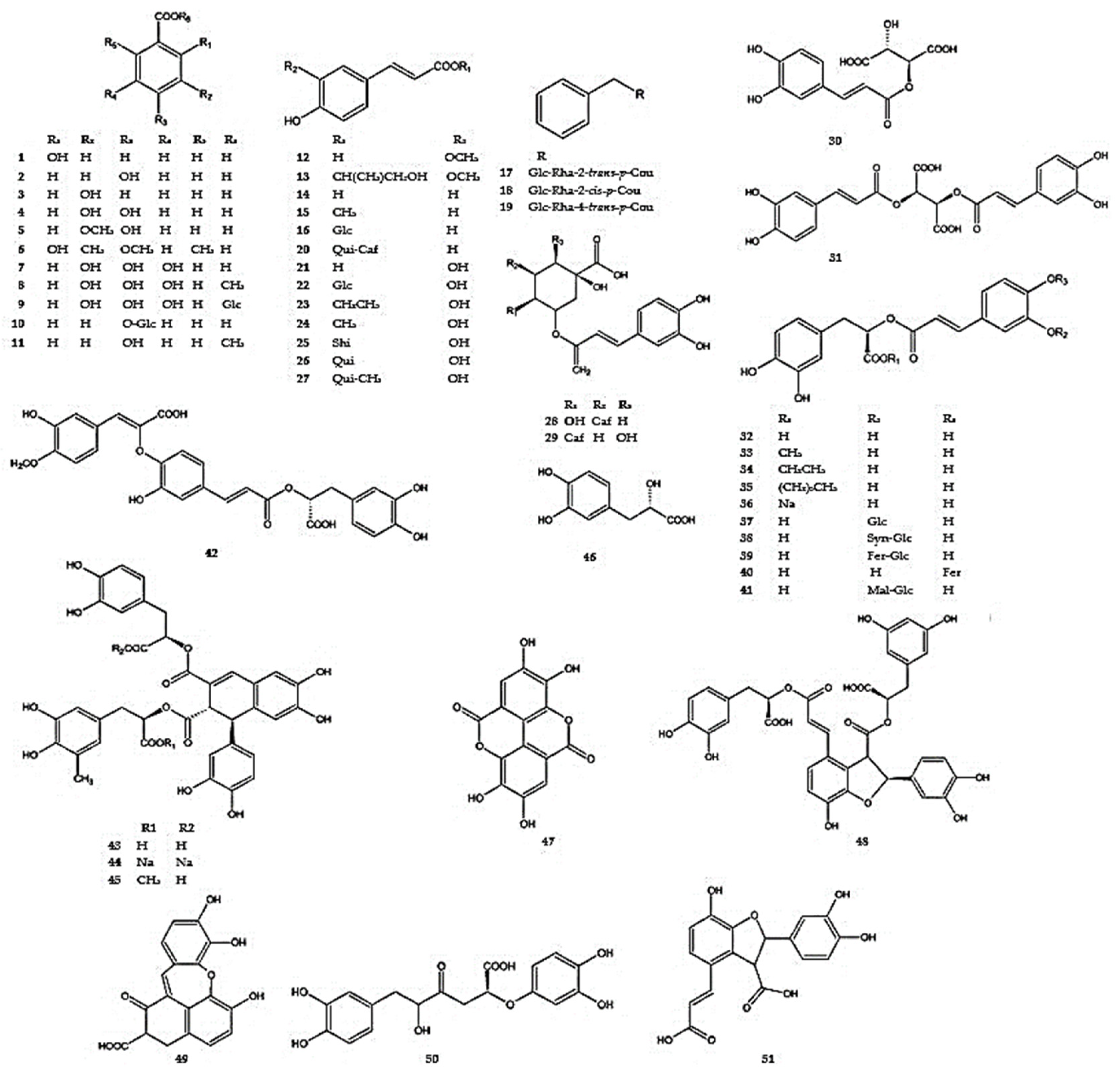
5.1. Phenolic Acids
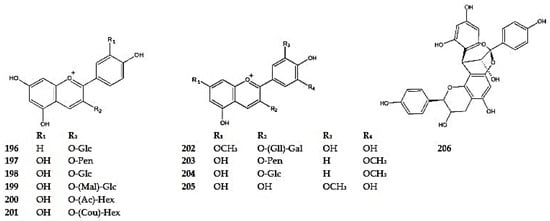
5.2. Flavonoids
5.2.1. Flavone Derivative
5.2.2. Flavonols and Their Sugar Derivatives
5.2.3. Flavanone Derivatives
5.2.4. Flavanonol Derivatives
5.2.5. Flavanol Derivative
5.3. Anthocyanins
5.4. Lignans
5.5. Other Compounds
6. Pharmacological Properties of Dracocephalum
| Biological Activity | Species | Plant Material | Extracts/Fractions or Compounds | Assays Model | Results | References |
|---|---|---|---|---|---|---|
| Antioxidant | D. foetidum | aerial parts | acetone, different fractions, phenolic compounds | DPPH | EC50 = 9.2–66.1 µg/mL (acetone extract and fractions), EC50 = 6.8–223 µM (compounds) | [7] |
| D. heterophyllum | aerial parts | rosmarinic acid, fenylethanoids | DPPH | EC50 = 19.37–26.63 µM | [88] | |
| aerial parts | furanocoumarins | DPPH, cellular antioxidant activity assays | EC50 = 115.36–284.33 µM, expression of Nrf2↓ | [124] | ||
| aerial parts | gingerols | DPPH, cellular antioxidant activity assays | EC50 = 2.95–18.68 µM, expression of antioxidant enzymes↓ | [123] | ||
| aerial parts | different fractions | (1) DPPH, (2)ABTS, (3) FRAP, (4) Fe3+ chelation, (5) LPO | inhibition: (1) 9.1–88.8% (50 µg/mL), (2) 8.0–75.2% (50 µg/mL), (3) 0.05–1.6 mM/L FeSO4, (4) 21.8–72.2% (0.5 mg/mL), (5) 67.5–98.7% (50 µg/mL) | [126] | ||
| flowers, leaves, roots | 80% methanol | DPPH | EC50 = 37 μg/mL | [4] | ||
| D. kotschyi | leaves, flowers | different extracts | (1) DPPH, (2) FRAP | (1) EC50 = 1.02–2.84 mg/mL (leaves), (1) EC50 = 3.17–5.4 mg/mL (flowers), (2) 0.19–0.64 mM Fe(II)/g DW (leaves), (2) 0.12–0.4 mM Fe(II)/g DW (flowers) | [14] | |
| aerial parts | ethanol | DPPH | EC50 = 50 µg/mL | [13] | ||
| leaves, flowers | methanol | DPPH | EC50 = 15.84–60.72 µg/mL (flowers), EC50 = 46.06–105.52 µg/mL (leaves) | [127] | ||
| aerial parts | different extracts | (1) DPPH, (2) FRAP | (1) EC50 = 23.2–1584.0 µg/mL, (2) 6.65–80.7 µM mg FSE/g extract | [128] | ||
| aerial parts | different extracts | (1) DPPH, (2) ABTS, (3) FRAP | (1) EC50 = 9.55–46.2 μg/mL, (2) EC50 = 7.47–51.14 µM Trolox/g, (3) EC50 = 6.87–106.35 µM Trolox/g | [64] | ||
| aerial parts | different extracts | (1) DPPH, (2) FRAP | (1) EC50 = 4.85–252.48 μg/mL, (2) 2.5–32.357 mM Fe2+/g DW | [129] | ||
| aerial parts | different extracts | DPPH | EC50 = 0.0899–2.3 μg/mL | [130] | ||
| leaves of various populations | diethyl ether | FRAP | 38.71–1681.41 µM Fe2+/100 g DW | [11] | ||
| D. moldavica | aerial parts of three different cultivars | 70% ethanol | (1) DPPH, (2) FRAP | (1) EC50 = 35.542–40.901 μg/mL, (2) 293.194–330.165 μM Trolox mg DW | [98] | |
| aerial parts | different extracts | (1) DPPH, (2) CLB | (1) EC50 = 35.542–40.901 μg/mL, (2) inhibition: 59–94% at 150 μg/mL | [93] | ||
| aerial parts | ethyl acetate | (1) DPPH, (2) ABTS, (3) O2, (4) OH, (5) SOD | activity values about: (1) 5–75%, (2) 8–95% (extract concentration unknown), (3) 30–95 U/mL, (4) 25–100 U/mL, (5) 50 U/mg proteins | [131] | ||
| leaves | alcoholic extracts | (1) DPPH, (2) FRAP, (3) O2∙ (4) NO, (5) H2O2 | (1) EC50 = 25.96– 87.77 μg/mL, (2) 101.40–185.437 μmol/100g, (3) 44.43–57.14% (at 20 mg/mL), (4) 37.60–87.90% (at 20 mg/mL), (5) 4.48–7.93% (at 2 mg/mL) | [33] | ||
| aerial parts | hydromethanolic | (1) DPPH, (2)ABTS, (3) O2, (4) OH, (5) Fe3+ chelation, (6) reducing power assay | (1) EC50 = 23.1 µg/mL, (2) EC50 = 8.0 µg/mL, (3) EC50 = 445.5 µg/mL, (4) EC50 = 269.3 µg/mL, (5) EC50 = 35.70 µg/mL, (6) EC50 = 17.07 µg/mL | [68] | ||
| aerial parts | total flavonoids | (1) DPPH, (2) O2, (3) OH | inhibition: (1) 75%, (2) 85%, (3) 85% (at 100 mg/mL) | [132] | ||
| aerial parts | acacetin-7-O-(4″-acetyl)-glucoside | DPPH | EC50 = 98 µM. | [97] | ||
| aerial parts | different extracts | (1) DPPH, (2) ABTS, (3) Fe3+ reduction, (4) CLB | (1) 47.4–85.9% (1 mg/mL), (2) 0.5–1.04 mM Trolox, (3) 137.07–311.07 µM/g, (4) inhibition: 1.9–19.2% (at 1 mg/mL) | [10] | ||
| aerial parts | different extracts | DPPH | IC50 = 24.5 μg/mL | [133] | ||
| D. multicaule | aerial parts | different extracts | (1) DPPH, (2) FRAP | (1) EC50 = 25.0–707 µg/mL, (2) 9.93–229.92 µM mg FSE/g extract | [128] | |
| flowering tops | methanol | DPPH | EC50 = 156.5 µg/mL | [134] | ||
| plant | methanol | (1) DPPH, (2) ABTS, (3) FRAP | (1) EC50 = 1.41 mg/mL, (2) IC50 = 2.11 mg/mL (in 6 min), (3) IC50 = 1.41 µg/mL | [135] | ||
| D. palmatum | aerial parts | luteolin-7-O-glucoside | (1) DPPH, (2) ABTS, (3) Br, (4) O2, (5) NO, (6) H2O2, (7) Fe2+ chelation | (1)EC50 = 16.97 µM/mL, (2) EC50 = 9.86 µM/mL, (3) 1000 (mg-eq) luteolin-7-O-glucoside/g, (4) EC50 = 14.92 µM/mL, (5) EC50 > 100 µM/mL, (6) 0.53 mM/g (7) 106.12 mM Fe2+/g | [53] | |
| aerial parts | ethanol | (1) DPPH, (2) ABTS, (3) Br, (4) O2, (5) CLB, (6) NO, (7) H2O2, (8) FRAP, (9) Fe2+ chelation, (10) EMSA | (1) EC50 = 12.7–18.6 µM/mL, (2) EC50 = 6.4–10.8 µM/mL, (3) 247.7–389.7 mg cynaroside/g, (4) EC50 = 19.4–28.6 µM/mL, (5) EC50 = 1.6–3.4 µM/mL, (6) EC50 = 29.3–41.8 µM/mL, (7) 1.2–2.03 mM/g, (8) 12.2–22.3 mM Fe2+/g, (9) EC50 = 30.9–48.1 µM/mL, (10) EC50 = 14.1–51.6 µM/mL | [25] | ||
| D. polychaetum | aerial parts | ethanol | DPPH | EC50 = 175 µg/mL | [13] | |
| aerial parts | methanol | DPPH | inhibition: 68–85% at 50–1000 ppm of extract | [136] | ||
| aerial parts | different extracts | (1) DPPH, (2) FRAP | (1) EC50 = 50.5–5346.1 µg/mL, (2) 4.3–16.43 µM mg FSE/g extract | [128] | ||
| aerial parts | 80% methanol | (1) DPPH, (2) FRAP | (1) EC50 = 5.6 mg/mL, (2) EC50 = 0.156 mg/mL | [60] | ||
| aerial parts | different extracts | DPPH | EC50 = 8.07–24.04 mg/mL | [79] | ||
| D. rupestre | plant | ethyl acetate | (1) DPPH, (2) ABTS, (3) OH, (4) FRAP, antioxidant enzyme assays | (1) EC50 = 50.01 µg/mL, (2) EC50 = 43.62 µg/mL, (3) EC50 = 28.59 µg/mL, (4) about 50 g Trolox/100 g DW | [57] | |
| plant | eriodictyol-7-O-glucoside | cisplatin-induced oxidative stress in HRMC | activation of Nrf2 pathway↑, glutathione level↑, cell survival rate↑ | [80] | ||
| D. ruyschiana | aerial parts | phenolic compounds | DPPH | EC50 = 28.9–328 µM | [42] | |
| D. tanguticum | plant | isolated phenolic compounds | (1) DPPH, (2) ABTS, (3) Fe2+ reduction | (1) EC50 = 6.12–113 µM, (2) EC50 = 1.15–400 µM, (3) EC50 = 0.06–515 µM | [102] | |
| Anti- inflammatory | D. foetidum | aerial parts | acetone, fractions, isolated compounds | hyaluronidase activity | hyaluronidase activity↓, EC50 = 0.27–0.35 mg/mL (extract and its fractions), EC50 = 0.19–0.79 mM (compounds) | [7] |
| D. heterophyllum | aerial parts | ethyl acetate | animal model (mice) | synovial inflammation↓, joint swelling↓, cartilage and bone destruction↓, anti-CII IgG↓, TNF-α↓, IL-6↓, IL-1β↓ | [137] | |
| plant | ethyl acetate | animal model (mice) | ALT↓, AST↓, TBA↓ lobular inflammation↓, col1α1↓, α-SMA↓, MCP-1↓, CD68↓ | [46] | ||
| plant | ethyl acetate | animal model (mice) | CD4+ T cells↓, IFN-γ↓, IL-17A↓, IL-2↓, IL-6↓, the inhibitory phosphorylation (Tyr15) of Cdc2↑, expression Wee1 kinase↑, retinal edema↓, structural distortion↓, inflammatory cell infiltration↓ | [120] | ||
| aerial parts | different fractions | animal model (mice) | mortality↓, ALT↓, AST↓, cell apoptosis and necrosis↓ | [126] | ||
| plant | ethanol | animal model (mice) | TNF-α↓, IFN-γ↓, ALT↓, AST↓, hepatic damage and inflammatory infiltrates↓, number of apoptotic cells↓, D11b+ Gr1+ MDSC in liver↑, macrophage activation↓ | [138] | ||
| D. kotschyi | leafy shoots | 70% alcohol, water | animal model (rats) | lung tissues necrosis↓, inflammation↓, fibrosis↓, hydroxyproline↓, MDA↑ | [139] | |
| aerial parts | 70% ethanol | animal model (rats) | MPO activity↓, ulcer area and index↓, colonic weight/length ratio↓, total colitis index↓ | [140] | ||
| aerial parts | methanol, calycopterin | PBMNs | lymphocyte proliferation↓ | [66] | ||
| plant | methanol | mouse macrophages | NO↓, IL-1β↓ | [141] | ||
| D. moldavica | plant | ethyl acetate | animal model (rats) | body weight loss↓, DSS-induced tissue morphological changes↓. members of the TLR4/NF-κB signaling pathway↓, NF-κB↓, IL-17↓, TNF↓, Toll-like receptor (TLR) signaling pathways↓, Lactobacillus↑, Romboutsia↓ | [142] | |
| - | total flavonoid fraction | animal model (mice) | lung tissue fibrosis ↓, IL-6↓, TNF-α↓, Col-I↓, FN1↓, α-SMA↓, Shh↓, Ptch1↓, SMO↓, Gli1↓, SUFU↑ | [143] | ||
| plant | 50% ethanol | animal model (rats) | CDS↓, myeloperoxidase↓, nitric oxide↓, MDA↓, total protein↑, TNFα↓, IFNɣ, IL-6↓, IL-4↑, | [144] | ||
| leaves | 70% ethanol | RAW 264.7 cells, animal model (mice) | NO↓ PGE2↓, iNOS↓, COX-2↓, IL-6↓, IL-1β↓, the inhibition of the ERK/JNK/NF-κB signaling | [145] | ||
| aerial parts | total flavonoid extract | rat vascular smooth muscle cells | VSMC proliferation and migration↓, PCNA expression↓, expression of ICAM-1 and VCAM-1↓, NF-κB p65 expression↓ | [146] | ||
| D. peregrinum | plant | peregrinumin A, B, C, peregrinumcin A | RAW 264.7 cells | NO↓, NF-κB↓(peregrinumin B and C) | [112] | |
| aerial parts | 1′-methyl-2′-hydroxyethyl ferulate | RAW 264.7 cells | NO↓ | [94] | ||
| D. rupestre | aerial parts | 60% ethanol (D. rupestre + Berberidis radix) | animal model (mice with Salmonella-induced diarrhea) | IL-6↓, sigA↓, TNF-α↓, mucosal repair markers (PCNA, TGF-β1, and EGFR)↑, beneficial bacterial genera | [147] | |
| plant | ethyl acetate fraction | animal model (mice) | ALT↓, AST↓, MDA↓, LDH↓, necrotic areas↓ | [57] | ||
| D. tanguticum | plant | different extracts | animal model (mice), human hepatic LO2 cell | Nrf2↑, NF-κB↓, HO-1↑, NQO-1↑, GSTA1↑, IKB2↑, Keap1↓, ALT↓, AST↓, hepatic lipid indicators (TC↓, TG↓, LDL-C↓,HDL-C↑), lipid peroxidation indicators (ADH↑, MDA↓, SOD↑, CAT↑, and GSH-Px↑), necrosis of hepatocytes↓, lymphocyte infiltration↓ | [148] | |
| Neuroprotective and neuromodulatory | D. kotschyi | aerial parts | different extracts | (1) anti-tyrosinase assay, (2) anti-AChE assay, (3) anti-BChE assay | inhibition (at con. of 1 mg/mL): (1) 11.7–51%, (2) 17.7–63%, (3) 11.1–47% | [128] |
| D. moldavica | plant | total flavonoid fraction | animal model (mice) | IL-1β, IL-6 and TNF-α↓, SRC/β-acttin↓ | [104] | |
| leaves | ethanol | animal model (mice) | step-through latency in the retention trial↑, latencies in the Morris water maze task↓ | [149] | ||
| plant | flavonoid fraction | U87 cells | cell viability↑, apoptotic rate↓, LDH↓, MDA↓, caspase-3↓, caspase-12↓, Bcl-2↓, Bax↓, ROS↓, | [150] | ||
| aerial parts | ethanol | animal model (mice) | immobility time in the FST↓ swim time in FST ↑, immobility time TST↓, | [71] | ||
| plant | total flavonoid fraction | animal model (rats) | GSH/GSSG ratio↑, SOD↑, the GPX↑, CAT↑, MDA↓, carbonyl↓, 8-OHdG↓, TUNEL-positive cells↓, neurological deficit↓, | [151] | ||
| aerial parts | water | animal model (mice) | pentobarbital-induced sleeping time↑, sedation in the HBT↑, spontaneous activity↓, motor coordination impairment↑, the immobility time↑ | [30] | ||
| D. multicaule | aerial parts | 70% ethanol | animal model (rats) | hippocampal neuronal cell density↑, time spent in the target quadrant↑ | [59] | |
| aerial parts | different extracts | (1) anti-tyrosinase assay (2) anti-AChE assay, (3) anti-BChE assay | inhibition (at conc. 1 mg/mL) (1) 19.8–50%, (2) 23–97%, (3) 15–46.8% | [128] | ||
| flowering aerial parts | methanol | anti-AChE assay | IC50 = 1.06 µg/mL | [134] | ||
| D. polychaetum | aerial parts | different extracts | (1) anti-tyrosinase assay, (2) anti-AChE assay, (3) anti-BChE assay | inhibition (at conc. 1 mg/L): (1) 6.5 -39.5%, (2) 10–48.6%, (3) 21.7–62.7% | [79] | |
| D. ruyschiana | aerial parts | water | clinical study (patients with mild to moderate depression | the mean score of depression by BDI (Beck Depression Inventory)↓ | [152] | |
| D. tanguticum | aerial parts | n-butanol | animal model (rats) | in the IFC and hippocampus: BDNF mRNA↑, NT-3 mRNA↑, Bederson and Longa scoring↓, beam-walking test↓, GPx↑, CAT↑, SOD↑, MDA↓ | [51] | |
| Cardioprotective anti- ischemic, anti-hypertension | D. heterphyllum | plant | purified 70% methanolic extract containing flavonoids | neonatal rat cardiomyocytes | cell survival rate↑, c-jun↓, BNP↓, ANP↓, β-MHC↓, Ca2+↓, eNOS↑, NO↑ | [45] |
| D. moldavica | - | extract containing flavonoids | H9c2 cells | LDH↓, SOD↑, MDA↓, ROS↓, proliferation of cell↑, Bax↓, Bcl-2↑, NOX-4↓, p-P38↓, MAPK/P38 MAPK↓, p-Erk1/2/Erk1/2↓, PGC-1α↑ | [101] | |
| aerial parts | ethyl acetate | animal model (rats) | SBP↓, ROS↓, dysregulation of miRNA expression↓, gut microbiota dysbiosis↓ | [32] | ||
| - | isolated compounds | animal model (mice) | blood glucose↓, the running distance↑, E/E’↓, cardiac collagen volume↓, CSA of cardiomyocytes↓ | [153] | ||
| aerial parts | ethyl acetate | H9c2 cells | cell viability↑, LDH↓, ROS↓, MDA↓, SOD↑, CAT↑, apoptotic rate↓, caspase-3↓, Bax↓, Bcl-2↑ | [131] | ||
| plant | 70% ethanol | H9c2 cells | cell viability↑, pathological changes↓, CK-MB↓, LDH↓, AST↓, percentage of apoptotic cells↓, Bcl-2↑, Bax↓, cleaved-capase-3↓, cytochrome c↓, the phosphorylation of p38↓, activation of p38 MAPK↓ | [154] | ||
| aerial parts | caffeic acid tetramers | cardiomyocytes of neonatal rats | cell viability↑, apoptosis rate↓ | [69] | ||
| - | fraction containing flavonoids | animal model (rats) | LDH↓, CK-MB↓, MDA↓, SOD↑, infarct size↓, apoptotic index↓, mitochondrial injury↓, Bax↓, cleaved caspase-3↓, caspase-7↓, caspase-9↓, Bcl-2↑ | [110] | ||
| aerial parts | fraction containing flavonoids | animal model (rats) | The percent recovery of LVDP↑, HR↑ and CF↑, CK↓, LDH↓, infarct size↓, MDA↓, SOD↑, GSH/GSSG↓ | [132] | ||
| aerial parts | 70% methanol | animal model (rats) | LVDP↓, HR↓, incidence of VT↓, VT duration↓, total VEBs↓, infarct size↓, volume of infarcted tissue↓ | [155] | ||
| plant | fraction containing flavonoids | animal model (rats) | Apo-A1↑ Apo-E↑, pulmonary artery pressure↓, no abnormalities in the cerebral parenchymal vessels. | [156] | ||
| plant | methanol, water | animal model (rats) | SOD↑, GSH-Px↑, IL-6↓, CRP↓, MDA↓, pulmonary artery pressure↓, | [31] | ||
| D. tanguticum | plant | luteolin-7-O-β-D-glucopyranoside | H9c2 cells | cell viability↑, CK↓, LDH↓, the morphological changes↓, Ca2+↓ | [102] | |
| plant | compounds from 95% ethanolic extract | the rat aortic rings | endothelium-dependent vasodilatory effects on rat aortic rings↑, eNOS↑, NO↑ | [83] | ||
| Treatment of metabolic diseases | D. kotschyi | leaves, flowers | different extracts | anti- pancreatic α-amylase | IC50 = 0.34–0.59 mg/mL (leaves), 1.72–2.67 mg/mL (flowers) | [14] |
| aerial parts | 50% ethanol extract | 3T3-L1 adipocytes, animal model (rats) | MDA↓, SOD↑, POD↑, p-AKT↑, p-FOXO1↑, PPARγ↑, SREBP-1↑, p-JNK↓, level of water intake↓, lasting blood glucose↓, TG↓, TC↓, LDL↓, HDL↑, number of adipocytes↓, adipocyte area↑, | [157] | ||
| leaves | 70% methanol polyphenolic fraction | animal model (rats) | TG↓, TC↓, LDL↓, HDL↑, AI↓ | [158] | ||
| D. polychaetum | aerial parts | methanol | animal model (rats) | blood glucose↓, TG↓, TC↓, MDA↓, GSH↑, SOD↑, CAT↑, ALT↓, creatinine↓ | [60] | |
| D. subcapitatum | aerial parts | 70% ethanol | animal model (rats) | TG↓, TC↓, LDL↓, ALT↓, AST↓, blood glucose↓, hepatic steatosis↓, relative liver weight↓ | [61] | |
| D. tanguticum | plant | phenylacetamide glycosides | 3T3-L1 adipocytes | glucose consumption in adipocytes↑ | [84] | |
| Anticancer | D. kotschyi | aerial parts | ethanol | (1) MCF-7 cells (2) HT-29 | (1) IC50 = 133 µg/mL, (2) IC50 = 126 µg/mL | [13] |
| aerial parts and leaves | ethanol | HepG2 cells | cell proliferation↓ | [159] | ||
| aerial parts | different fractions, luteolin | (1) Calu-6 and (2) Mehr-80 cells | (1) IC50 = 79.1–168.75 μg/mL, (2) IC50 = 124.2–200.0 μg/mL (fractions), (1) IC50 = 56.32 μg/mL, (2) EC50 = 78.32 μg/mL (luteolin) | [160] | ||
| aerial parts | different extracts | MDA-MB-23 cells | survival rate↓, | [130] | ||
| aerial parts | 50% ethanol | animal model (rats), isolated rat hepatocytes | hepatocytes of tumoral rats: MMP↓, mitochondrial ROS↑, mitochondrial swelling↑, cytochrome c release↑ | [161] | ||
| aerial parts | isolated flavonoids | HL-60, HT-29, AGS, SaOs-2, WEHI-164 cells | IC50 = 5.1–>50 µg/mL | [118] | ||
| leaves | methanol, xanthomicrol | K562, HL60, KB, Hela, A549, Saos-2, A2780-CP, A2780-S, MCF-7, A375, A172 l cells, animal model (mice) | IC50 = 6.8–100.3 µg/mL (extract), IC50 = 0.88–1.69 µg/mL (xanthomicrol), tumor volume in mice↓ | [162] | ||
| D. moldavica | aerial parts | 70% ethanol | DLD-1 | IC50 = 0.40–0.54 μM GAE (for different cultivar) | [98] | |
| aerial parts | phenolic compounds | (1) KMS-12-PE, (2) Molm13 | (1) IC50 = 25.65–>50 μM (2) IC50 = 21.74–>50 μM | [116] | ||
| aerial parts | lignans | NCI-H292 cells | dracomolphin E: EC50 = 18.9 μM PARP↑, caspase-3↑, Bax↑, Bcl-2↓, Bcl-XL↓ | [119] | ||
| aerial parts | tilianin | FaDu cells | cell proliferation ↓ apoptosis↑, expression of TLR4↑, Bcl-2↓, Bcl-xL↓, Bad↑, Bax↑, cytochrome c↑, caspase-3↑, PARP↑, TNF-α↑, IL-6↑ | [163] | ||
| D. palmatum | leaves | different fractions | PC-3 cells | cell apoptosis↑, SOD-2↑, caspase-8↑, cleaved PARP↑, Bcl-2/Bax ratio↑, p-AKT signaling↓ | [164] | |
| aerial parts | 70% ethanol | DLBCL lines, animal model (mice) | IC50 = 235.0 and 624.6 μg/mL, cleaved PARP-1↑, caspase 3↑, caspase 3/7↑, Bcl-2↑, Bcl-xL↓, Mcl-1↓, Bax↑, Bak↑, Myc↓ | [165] | ||
| D. peregrinum | plant | diosmetin | U251 and U138 cell, animal model (mice) | proliferation↓, migration↓, invasiveness in vivo↓, apoptosis ratio↑, TGF-β1↓, E-cadherin↑, Bcl-2 expression↓, Bax↑, cleaved caspase-3↑, tumor growth↓ | [54] | |
| D. polychaetum | aerial parts | ethanol | (1) MCF-7, (2) HT-29 cells | (1) IC50 = 90 µg/mL, (2) IC50 = 140 µg/mL | [13] | |
| Antibacterial | D. kotschyi | leaves, flowers | different extracts | Micrococcus luteus, Staphylococcus aureus, Escherichia coli, Pseudomonas aeruginosa | MIC = 3.75–30 mg/mL, MBC = 15–30 mg/mL | [14] |
| leaves | 70% methanol | different M. tuberculosis strains | IC50 = 40–320 μg/mL | [65] | ||
| aerial parts | different extracts | Staphylococcus aureus, Salmonella enterica, Listeria monocytogenes, Bacillus cereus Enteric aerogenes, Escherichia coli | MIC = 0.781–100 mg/mL, MBC = 1.562–>100 mg/mL | [166] | ||
| D. moldavica | aerial parts | 70% ethanol | Staphylococcus aureus, Escherichia coli, Pseudomonas aureginosa | MIC = 0.171–0.825 μM GAE/100 μL, MBC = 0.343–3.300 μM GAE/100 μL | [98] | |
| plant | ethyl acetate | S. aureus strain | MIC50 = 0.39–1.56 mg/mL, bacteria biofilm formation↓ (at 50–200 μg/mL), cell membrane integrity↓, cell size↓, cell lyse↑, changes in the bacterium protein profile | [167] | ||
| leaves | ethanol | E. coli, K. pneumonia | MIC = 10–40 mg/mL | [168] | ||
| D. polychaetum | aerial parts | no information | S. aureus strains | MIC = 0.781–25 mg/mL, MBC = 1.56–50 mg/mL, bacteria biofilm formation↓, expression of sar, bap, icaD, and icaA↓ | [169] | |
| Antifungial | D. kotschyi | leaves, flowers branches | methanol | C. albicans | MFC = 66.42–125 mg/mL, MIC = 59.77–112.5 mg/mL | [16] |
| D. multicaule | flowering aerial parts | ethanol | C. albicans | MIC = 50 μg/mL, MFC > 50 μg/mL | [77] | |
| Anti-protozoa | D. kotschyi | plant | isokamferide, apigenin | Trypanosoma cruzi | MLC = 30 µM isokamferide, MLC = 70 µM apigenin | [96] |
| D. subcapitatum | aerial parts | isolated flavonoids | Trypanosoma cruzi | MLC = 30–>400 µM | [62] | |
| Antiviral | D. heterophyllum | aerial parts | ethanol | Vero cells, animal model (HSV-2 infected mice) | HSV-2 RNA replication↓, attachment of HSV-2 to cell surface↓, HSV-2 infectivity↓, EC50 = 0.99 mg/mL, mortality of HSV-2 infected mice↓, mice survival time↑ | [5] |
| D. tanguticum | aerial parts | ethanol | Vero cells, animal model (HSV-2 infected mice) | HSV RNA replication↓, attachment of HSV-2 to cell surface↓, HSV-2 infectivity↓, EC50 = 1.43 mg/mL, mortality of HSV-2 infected mice↓, mice survival time↑ | [5] | |
| Anti-spasmotic and antidiarrhoeal | D. kotschyi | aerial parts | 70% ethanol, flavonoid extratc | rabbit bladder strips contracted with (1) Ach, (2) KCl, or (3) EFS | inhibition bladder contractions: EC50 = (1) 190–243 µg/mL; (2) 53–102 µg/mL, (3) 105–170 µg/mL | [170] |
| aerial parts | 70% ethanol, ethyl acetate fraction, isolated flavonoids | animal model (mice) | small intestine transit inhibition (at con. 20 mg/kg): ethanolic extract 32%, ethyl acetate 90 %, luteolin and apigenin 90%, apigenin-4′-galacotside 45% | [171] | ||
| aerial parts | 70% ethanol, isolated flavonoids | contractions induce by (1) KCl and/or (2) ACh in rat isolated ileum | EC50 = (1) 41 µg/mL, (2) 133 µg/mL (extract), EC50 = (1) 57–80 µM, (2) 80 µM (compounds) | [172] | ||
| aerial parts | ethyl acetate, apigenin, luteolin | rabbit trachea contractions induce by (1) KCl and/or (2) ACh | EC50 = (2) 340 µg/mL (extract), EC50 = (1) 65–66 µg/mL, (2) 80–90 µg/mL (compounds) | [106] | ||
| aerial parts | 70% ethanol, heksane, apigenin | animal model (mice) diarrhea induced by (1) castor oil, or (2) magnesium sulfate | diarrhea reduction (at concentration 10 mg/kg): (1) 60–67%, (2) 59–66% | [173] | ||
| Anti-aging | D. moldavica | aerial parts | 30% ethanol | C2C12 cells, Caenorhabditis elegans, clinical study | AMPK↑, FOXO1↑, collagen levels↑, col-144 promoter↑, skin moisturization↑, skin elasticity↑ | [174] |
6.1. Antioxidant Activity
6.2. Anti-Inflammatory Properties
6.3. Neuroprotective and Neuromodulatory Activity
6.4. Cardioprotective, Anti-Hypertension Activity
6.5. Treatment of Metabolic Diseases
6.6. Anticancer Activity
6.7. Antipathogenic Activity
6.8. Other Activities
7. Toxicity of Dracocephalum Species
8. Conclusions and Future Directions
Supplementary Materials
Author Contributions
Funding
Conflicts of Interest
References
- Chaachouay, N.; Zidane, L. Plant-derived natural products: A source for drug discovery and development. Drugs Drug Candidates 2024, 3, 184–207. [Google Scholar] [CrossRef]
- Ortiz-Mendoza, N.; Martínez-Gordillo, M.J.; Martínez-Ambriz, E.; Basurto-Peña, F.A.; González-Trujano, M.E.; Aguirre-Hernández, E. Ethnobotanical, phytochemical, and pharmacological properties of the subfamily Nepetoideae (Lamiaceae) in inflammatory diseases. Plants 2023, 12, 3752. [Google Scholar] [CrossRef] [PubMed]
- Liu, H.; Feng, X.; Zhao, Y.; Lv, G.; Zhang, C.; Aruhan; Damba, T.A.; Zhang, N.; Hao, D.; Li, M. Pharmacophylogenetic relationships of genus Dracocephalum and its related genera based on multifaceted analysis. Front. Pharmacol. 2024, 15, 1449426. [Google Scholar] [CrossRef] [PubMed]
- Abdullaeva, N.S.; Khodzhimatov, O.K.; Azimova, D.E. The genus Dracocephalum L. in the phytogeographical regions of Uzbekistan. Am. J. Plant Sci. 2019, 10, 1527–1535. [Google Scholar] [CrossRef]
- Zhang, C.J.; Li, W.; Li, H.Y.; Song, Y.; Zhao, X.W. In vivo and in vitro antiviral activity of five Tibetan medicinal plant extracts against herpes simplex virus type 2 infection. Pharm. Biol. 2009, 47, 598–607. [Google Scholar] [CrossRef]
- Ballabh, B.; Chaurasia, O.P. Traditional medicinal plants of cold desert Ladakh-used in treatment of cold, cough and fever. J. Ethnopharmacol. 2007, 13, 341–349. [Google Scholar] [CrossRef]
- Selenge, E.; Murata, T.; Tanaka, S.; Sasaki, K.; Batkhuu, J.; Yoshizaki, F. Monoterpene glycosides, phenylpropanoids, and acacetin glycosides from Dracocephalum foetidum. Phytochemistry 2014, 101, 91–100. [Google Scholar] [CrossRef]
- Heydari, P.; Yavari, M.; Adibi, P.; Asghari, G.; Ghanadian, S.M.; Dida, G.O.; Khamesipour, F. Medicinal properties and active constituents of Dracocephalum kotschyi and its significance in Iran: A systematic review. J. Evid.-Based Complement. Altern. Med. 2019, 2019, 9465309. [Google Scholar]
- Borghei, S.F.; Azizi, A.; Hadian, J.; Abdosi, V. Broad variation in herbage yield and essential oil content among Iranian Landraces of Dracocephalum moldavica. Biol. Forum 2015, 7, 1568–1574. [Google Scholar]
- Dastmalchi, K.; Dorman, H.J.D.; Laakso, I.; Hiltunen, R. Chemical composition and antioxidative activity of Moldavian balm (Dracocephalum moldavica L.) extracts. LWT—Food Sci. Technol. 2007, 40, 1655–1663. [Google Scholar] [CrossRef]
- Fattahi, M.; Nazeri, V.; Torras-Claveria, L.; Sefidkon, F.; Cusido, R.M.; Zamani, Z.; Palazon, J. Identification and quantification of leaf surface flavonoids in wild growing populations of Dracocephalum kotschyi by LC–DAD–ESI-MS. Food Chem. 2013, 141, 139–146. [Google Scholar] [CrossRef] [PubMed]
- Zeng, Q.; Jin, H.; Fu, J.; Qin, J.; Hu, H.; Yan, L.; Chen, M.; Zhang, W. Chemical constituents of plants from the genus Dracocephalum. Chem. Biodivers. 2010, 7, 1911–1929. [Google Scholar] [CrossRef] [PubMed]
- Taghizadeh, M.; Soltanian, S.; Nasibi, N. Phytochemical analysis of volatile and non-volatile fractions, antioxidant, and anti-cancer activities of Dracocephalum polychaetum and Dracocephalum kotschyi. J. Cardiovasc. Magn. Reson. 2022, 14, 11–19. [Google Scholar]
- Kazempour, M.; Shahangian, S.S.; Sariri, R. Dracocephalum kotschyi: Inhibition of critical enzyme relevant to type-2, diabetes, essential oil composition, bactericidal and anti-oxidant activity. Casp. J. Environ. Sci. 2024, 22, 289–303. [Google Scholar]
- Zeng, C.; Jiang, W.; Tan, M.; Xing, J.; He, C. Improved oral bioavailability of total flavonoids of Dracocephalum moldavica via composite phospholipid liposomes: Preparation, in vitro drug release and pharmacokinetics in rats. Pharmacogn. Mag. 2016, 12, 313–317. [Google Scholar]
- Ghoratolhamide, N.; Rezaee, M.; Madani, M. Optimization of antifungal extracts from Dracocephalum kotschyi using response surface methodology and evaluations of antifungal effects on Candida albicans. J. Shahrekord Univ. Med. Sci. 2022, 24, 60–69. [Google Scholar] [CrossRef]
- Sadraei, H.; Rasouli-Amirabadi, A.H.; Yegdaneh, A.; Tavakoli, N. Bioassay standardization of drug dosage form prepared from hydroalcoholic extract of Dracocephalum kotschyi. J. Herbmed. Pharmacol. 2022, 14, 435–443. [Google Scholar] [CrossRef]
- World Health Organization. Medicinal Plants in Mongolia. WHO Press: Geneva, Switzerland, 2013; pp. 52–54. [Google Scholar]
- Chen, Y.P.; Turdimatovich, T.O.; Nuraliev, M.S.; Lazarević, P.; Drew, B.T.; Xiang, C.L. Phylogeny and biogeography of the northern temperate genus Dracocephalum sl (Lamiaceae). Cladistics 2022, 38, 429–451. [Google Scholar] [CrossRef]
- Zhengyi, W.; Raven, P.H.; Deyuan, R.H. Flora of China; Science Press Beijing and Missouri Botanical Garden Press: Beijing, China, 1994; Volume 17, pp. 124–133. [Google Scholar]
- Ali, S.I.; Qaiser, M. Flora of Pakistan; Karachi University Press and Missouri Botanical Press: Karachi, Pakistan, 2001; pp. 121–127. [Google Scholar]
- Foroozandeh, E.; Asadi-Gharneh, H.S. Dracocephalum kotschyi Boiss.: An Iranian endemic medicinal plant; a review. J. Med. Herb. 2021, 12, 9–17. [Google Scholar]
- Koohdar, K.; Attar, F.; Talebi, S.M.; Sheidai, M. Contemporary interspecific hybridization between Dracocephalum kotschyi and Dracocephalum oligadenium (Lamiaceae): Evidence from morphological, anatomical and molecular data. Acta Biol. Szeged. 2018, 62, 123–129. [Google Scholar] [CrossRef]
- Davis, P.H. Flora of Turkey and East Agean Islands; University Press: Edinburg, UK, 1987; Volume 7, pp. 289–290. [Google Scholar]
- Olennikov, D.N.; Chirikova, N.K.; Zhanna, M. Chemical composition and antioxidant activity of Tánara Ótó (Dracocephalum palmatum Stephan), a medicinal plant used by the North-Yakutian Nomads. Molecules 2013, 18, 14105–14121. [Google Scholar] [CrossRef] [PubMed]
- Okhlopkova, Z.M.; Razgonova, M.P.; Pikula, K.S.; Zakharenko, A.M.; Piekoszewski, W.; Manakov, Y.A.; Ercisli, S.; Golokhvast, K.S. Dracocephalum palmatum S. and Dracocephalum ruyschiana L. originating from Yakutia: A high-resolution mass spectrometric approach for the comprehensive characterization of phenolic compounds. Appl. Sci. 2022, 12, 1766. [Google Scholar] [CrossRef]
- Bobrov, E.G. Flora URSS; Academiae Scientarum URSS: Mosqua, Leningrad, 1954; Volume 205, pp. 444–470. [Google Scholar]
- Plants of the World Online. Available online: https://powo.science.kew.org/taxon/urn:lsid:ipni.org:names:77177050-1/images (accessed on 10 September 2024).
- Wang, J.; Sun, J.; Wang, M.; Cui, H.; Zhou, W.; Li, G. Chemical constituents from Dracocephalum moldavica L. and their chemotaxonomic significance. Biochem. System. Ecol. 2022, 102, 104422. [Google Scholar] [CrossRef]
- Martínez-Vázquez, M.R.; Estrada-Reyes, A.; Martínez-Laurrabaquio, C.; López-Rubalcavac, C.; Heinze, G. Neuropharmacological study of Dracocephalum moldavica L. (Lamiaceae) in mice: Sedative effect and chemical analysis of an aqueous extract. J. Ethnopharmacol. 2012, 141, 908–917. [Google Scholar] [CrossRef]
- Maimaitiyiming, D.; Hu, G.; Aikemu, A.; Hui, S.W.; Zhan, X. The treatment of Uygur medicine Dracocephalum moldavica L. on chronic mountain sickness rat model. Pharmacogn. Mag. 2014, 10, 477–482. [Google Scholar]
- Yu, H.; Chen, Z.; Chen, H.; Wang, Z. Dracocephalum moldavica L. extract ameliorates intestinal inflammation by regulating gut microbiota and repairing the intestinal barrier in 2K1C rats. Arch. Biol. Sci. 2023, 75, 155–164. [Google Scholar] [CrossRef]
- Aslanipour, B.; Heidari, R.; Farnad, N. Phenolic combination and comparison of antioxidant activity in three different alcoholic extracts of Dracocephalum moldavica L. TURJAF 2017, 5, 199–206. [Google Scholar] [CrossRef][Green Version]
- Shatar, S.; Altantsetseg, S. Essential oil composition of some plants cultivated in Mongolian climate. J. Essent. Oil Res. 2000, 12, 745–750. [Google Scholar] [CrossRef]
- Lazarević, P.; Lazarević, M.; Krivošej, Z.; Stevanović, V. On the distribution of Dracocephalum ruyschiana (Lamiaceae) in the Balkan Peninsula. Phytol. Balcan. 2009, 15, 175–179. [Google Scholar]
- Heywood, V.H. Dracocephalum L. In Flora Europaea; Tutin, T.G., Chater, A.O., Heywood, V.H., Burges, N.A., Richardson, I.B.K., Valentine, D.H., Walters, S.M., Webb, D.A., Eds.; Cambridge University Press: London, UK, 1972; Volume 3. [Google Scholar]
- Bilz, M.; Kell, S.P.; Maxted, N.; Lansdown, R.V. European Red List of Vascular Plants; Office of the European Union: Luxembourg, 2011. [Google Scholar]
- Henriksen, S.; Hilmo, O. Norsk Rødliste for Arter 2015; Artsdatabanken: Trondheim, Norway, 2015. [Google Scholar]
- Witkowski, Z.J.; Król, W.; Solarz, W.; Kukuła, K.; Okarma, H.; Pawłowski, J.; Perzanowski, K.; Ruzicka, T.; Sandor, J.; Stanova, V.; et al. Carpathian List of Endangered Species; Witkowski, Z.J., Król, W., Solarz, W., Eds.; WWF International Danube-Carpathian Programme and Institute of Nature Conservation, Polish Academy of Sciences: Krakow, Poland, 2023. [Google Scholar]
- Nygaard, M.; Kopatz, A.; Speed, J.M.D.; Martin, M.D.; Prestø, T.; Kleven, O.; Bendiksby, M. Spatiotemporal monitoring of the rare northern dragonhead (Dracocephalum ruyschiana, Lamiaceae)—SNP genotyping and environmental niche modelling herbarium specimens. Ecol. Evol. 2022, 12, e9187. [Google Scholar] [CrossRef]
- Bornand, C.; Eggenberg, S.; Gygax, A.; Juillera, P.; Jutzi, M.; Marazzi, B.; Möhl, A.; Rometsch, S.; Sager, L.; Santiago, H. Regionale Rote Liste der Gefässpflanzen der Schweiz; Info Flora: Geneva, Switzerland; Bern, Switzerland; Lugano, Switzerland, 2019. [Google Scholar]
- Selenge, E.; Murata, T.; Kobayashi, K.; Batkhuu, J.; Yoshizaki, F. Flavone tetraglycosides and benzyl alcohol glycosides from the Mongolian medicinal plant Dracocephalum ruyschiana. J. Nat. Prod. 2013, 76, 186–193. [Google Scholar] [CrossRef] [PubMed]
- Sabiyeva, A.; Ishmuratova, M.Y.; Atazhanova, G.A.; Smagulov, M.K.; Zhuravel, I.A. Histochemical analysis of aerial part of Dracocephalum ruyschiana L. and Dracocephalum nutans L. growing in the territory of central Kazakhstan. Res. J. Pharm. Technol. 2022, 15, 3831–3835. [Google Scholar]
- Mahmood, U.; Kaul, V.K.; Singh, V.; Lal, B.; Negi, H.R.; Ahuja, P.S. Volatile constituents of the cold desert plant Dracocephalum heterophyllum Benth. Flavour Frag. J. 2005, 20, 173–175. [Google Scholar] [CrossRef]
- Jiang, H.; Zhang, C.; He, W. The effects of Dracocephalum heterophyllum Benth flavonoid on hypertrophic cardiomyocytes induced by angiotensin II in Rats. Med. Sci. Monit. 2018, 24, 6322–6330. [Google Scholar] [CrossRef]
- Fang, Y.; Sun, D.; Li, G.; Lv, Y.; Li, J.; Wang, Q.; Dang, J. Ethyl acetate extract of Dracocephalum heterophyllum Benth ameliorates nonalcoholic steatohepatitis and fibrosis via regulating bile acid metabolism, oxidative stress and inhibiting inflammation. Separations 2022, 9, 273. [Google Scholar] [CrossRef]
- Numonov, S.; Sharopov, F.; Qureshi, M.N.; Gofrzda, L.; Gulmurdov, I.; Khalilov, Q.; Setzer, W.N.; Habasi, M.; Aisa, H.A. The ursolic acid-rich extract of Dracocephalum heterophyllum Benth. with potent antidiabetic and cytotoxic activities. Appl. Sci. 2020, 10, 6505. [Google Scholar] [CrossRef]
- Raj, X.; Chaurasia, O.P.; Vajpayee, P.K.; Murugan, M.P.; Bala, S.S. Antioxidative activity and phytochemical investigation on a high altitude medicinal plant Dracocephalum heterophyllum Benth. Phcog. Net. 2010, 2, 112–117. [Google Scholar]
- Singht, N.; Kaul, V.K.; Megeji, N.W.; Singh, V.; Ahuja, P.S. Essential oil composition of three accessions of Dracocephalum heterophyllum Benth. cultivated at Palampur, India. Nat. Prod. Res. 2008, 22, 927–936. [Google Scholar] [CrossRef]
- Liu, G.; Xu, Z.; Chen, J.; Lang, G.; Tian, Q.; Shen, Y.; Chen, B.; Yao, S. On-line strategies for the identification of unknown flavone glycosides in Dracocephalum tanguticum Maxim. J. Chromatogr. B 2009, 877, 2545–2550. [Google Scholar] [CrossRef]
- Xu, J.X.; Yang, M.; Deng, K.J.; Zhou, K. Antioxidant activities of Dracocephalum tanguticum Maxim extract and its up-regulation on the expression of neurotrophic factors in a rat model of permanent focal cerebral ischemia. Am. J. Chin. Med. 2011, 39, 65–81. [Google Scholar] [CrossRef]
- Wu, Z.Y.; Li, X.W. Flora of China; Science Press: Beijing, China, 2005; Volume 65, p. 353. [Google Scholar]
- Olennikov, D.N.; Chirikova, N.K.; Kashchenko, N.I. Effect of low temperature cultivation on the phytochemical profile and bioactivity of arctic plants: A case of Dracocephalum palmatum. Int. J. Mol. Sci. 2017, 18, 2579. [Google Scholar] [CrossRef] [PubMed]
- Yan, Y.; Liu, X.; Gao, J.; Wu, Y.; Li, Y. Inhibition of TGF-β signaling in gliomas by the flavonoid diosmetin isolated from Dracocephalum peregrinum L. Molecules 2020, 25, 192. [Google Scholar] [CrossRef] [PubMed]
- Ren, D.M.; Qu, Z.; Wang, X.N.; Shi, J.; Lou, H.X. Simultaneous determination of nine major active compounds in Dracocephalum rupestre by HPLC. J. Pharm. Biomed. Anal. 2008, 48, 1441–1445. [Google Scholar] [CrossRef] [PubMed]
- Han, E.K.; Heo, T.I.; Amarsana, G.; Park, J.W.; Lee, J.H. The complete chloroplast genome sequence of the medicinal plant, Dracocephalum rupestre (Lamiaceae). Mitochondrial DNA Part B 2023, 8, 229–232. [Google Scholar] [CrossRef]
- Zhu, C.S.; Liu, K.; Wang, J.L.; Li, J.F.; Liu, M.F.; Hao, N.; Lin, Y.X.; Xiao, Z.F. Antioxidant activities and hepatoprotective potential of Dracocephalum rupestre Hance extract against CCl4-induced hepatotoxicity in Kunming mice. J. Food Biochem. 2018, 42, e12484. [Google Scholar] [CrossRef]
- Gao, J.; Wang, Z.; Chen, D.; Peng, J.; Xie, D.; Lin, Z.; Lin, Z.; Dai, W. Metabolomic characterization of the chemical compositions of Dracocephalum rupestre Hance. Food Res. Int. 2022, 161, 111871. [Google Scholar] [CrossRef]
- Khojasteh, F.; Nazerirad, G.; Roohi-Shahalibigloo, R. The effects of Dracocephalum multicaule on the cognitive impairment and hippocampal neurodegeneration induced by chronic cerebral hypoperfusion. Int. J. Basic Sci. Med. 2023, 8, 155–160. [Google Scholar] [CrossRef]
- Pouraboli, I.; Nazari, S.; Sabet, N.; Sharififar, F.; Jafari, M. Antidiabetic, antioxidant, and antilipid peroxidative activities of Dracocephalum polychaetum shoot extract in streptozotocin-induced diabetic rats: In vivo and in vitro studies. Pharm. Biol. 2016, 54, 272–278. [Google Scholar] [CrossRef]
- Safaeian, L.; Yazdiniapour, Z.; Hajibagher, S.; Bakhtiari, Z.; Karimian, P. The effect of Dracocephalum subcapitatum hydroalcoholic extract on dexamethasone-induced hyperlipidemic rats. Res. Pharm. Sci. 2024, 19, 319–327. [Google Scholar] [CrossRef]
- Saeidnia, S.; Goharia, A.R.; Ito, M.; Kiuchic, F.; Honda, G. Bioactive constituents from Dracocephalum subcapitatum (O. Kuntze) Lipsky. Z. Naturforsch. C J. Biosci. 2005, 60, 22–24. [Google Scholar] [CrossRef]
- Zhang, C.; Li, H.; Yun, T.; Fu, Y.; Liu, C.; Gong, B.; Neng, B. Chemical composition, antimicrobial and antioxidant activities of the essential oil of Tibetan herbal medicine Dracocephalum heterophyllum Benth. Nat. Prod. Res. 2008, 22, 1–11. [Google Scholar] [CrossRef] [PubMed]
- Mirzania, F.; Farimani, M.M. Biochemical evaluation of antioxidant activity, phenol and flavonoid contents, of Dracocephalum kotschyi Boiss extracts obtained with different solvents. Health Biotechnol. Biopharma 2018, 1, 32–44. [Google Scholar]
- Asghari, B.; Esfahani, B.N.; Paydar, P. Evaluating the effect of Dracocephalum kotschyi methanol extract on Mycobacterium tuberculosis. Res. J. Pharmacogn. 2015, 2, 31–36. [Google Scholar]
- Faham, N.; Javidnia, K.; Bahmani, M.; Amirghofran, Z. Calycopterin, an immunoinhibitory compound from the extract of Dracocephalum kotschyi. Phytother. Res. 2008, 22, 1154–1158. [Google Scholar] [CrossRef]
- Abbasi, N.; Fattahi, M.; Ghosta, Y.; Sefidkon, F. Volatile compounds and antifungal activity of Dracocephalum moldavica L. at different phenological stages. J. Essent. Oil Res. 2022, 34, 87–95. [Google Scholar] [CrossRef]
- Aprotosoaie, A.C.; Mihai, C.T.; Vochita, G.; Rotinberg, P.; Trifan, A.; Luca, S.V.; Petreus, T.; Gille, E.; Miron, A. Antigenotoxic and antioxidant activities of a polyphenolic extract from European Dracocephalum moldavica L. Ind. Crops Prod. 2016, 79, 248–257. [Google Scholar] [CrossRef]
- Zhang, J.I.; Yan, R.J.; Yu, N.; Zhang, X.; Chen, D.J.; Wu, T.; Xiu, J.G. A new caffeic acid tetramer from the Dracocephalum moldavica L. Nat. Prod. Res. 2018, 32, 370–373. [Google Scholar] [CrossRef]
- Tan, M.E.; He, C.H.; Jiang, W.; Zeng, C.; Yu, N.; Huang, W.; Gao, Z.G.; Xing, J.G. Development of solid lipid nanoparticles containing total flavonoid extract from Dracocephalum moldavica L. and their therapeutic effect against myocardial ischemia-reperfusion injury in rats. Int. J. Nanomed. 2017, 12, 3253–3265. [Google Scholar] [CrossRef]
- Zúñiga, M.I.J.; Mariles, A.J.H.; Flores, J.L.C.; Herrera, J.A.M.; Sotelo, M.G.R.; Montes, G.I.C.; Gómez, Y.M. Antidepressant-like effects of Dracocephalum moldavica L. in mouse models of immobility tests. Pharmacogn. J. 2019, 11, 976–983. [Google Scholar] [CrossRef]
- Nie, L.; Li, R.; Huang, J.; Wang, L.; Ma, M.; Huang, C.; Wu, T.; Yan, R.; Hu, X. Abietane diterpenoids from Dracocephalum moldavica L. and their anti-inflammatory activities in vitro. Phytochemistry 2021, 184, 112680. [Google Scholar] [CrossRef]
- Yu, N.; He, C.H.; Awuti, G.; Zeng, C.; Xing, J.G.; Huang, W. Simultaneous determination of six active compounds in Yixin Badiranjibuya Granules, a traditional Chinese Medicine, by RP-HPLC-UV method. J. Anal. Met. Chem. 2015, 2015, 974039. [Google Scholar] [CrossRef] [PubMed]
- Moldovan, C.; Nitu, S.; Hermeziu, M.; Vidican, R.; Sandor, M.; Gâdea, S.; David, A.; Stoian, V.A.; Vâtca, S.D.; Stoian, V. Growth characteristics of Dracocephalum moldavica L. in relation to density for sustainable cropping technology development. Agriculture 2022, 12, 789. [Google Scholar] [CrossRef]
- Esmaeili, M.A.; Sonboli, A.; Mirjalili, M.H. Oxidative stress protective effect of Dracocephalum multicaule essential oil against human cancer cell line. Nat. Prod. Res. 2014, 28, 848–852. [Google Scholar] [CrossRef] [PubMed]
- Zargari, A. Medicinal Plants; Tehran University Press: Teheran, Iran, 1990; Volume 3. [Google Scholar]
- Boroujeni, H.A.R.; Pirbalouti, A.G.; Hamedi, B.; Abdizadeh, R.; Malekpoor, F. Anti-candida activity of ethanolic extracts of Iranian endemic medicinal herbs against Candida albicans. J. Med. Plants Res. 2012, 6, 2448–2452. [Google Scholar]
- Yurinskii, T. Materials to the flora of the Verkhoyansk region of Yakutian region. In The News of Yakutian Department of the Imperial Russian Geographic Association; Oblastnaya Tipographia: Yakutsk, Russia, 1915; Volume 1, pp. 26–58. [Google Scholar]
- Khodami, M.; Mohamadi, N.; Goodarzi, M. Evaluation of the antioxidant capacity of the various extracts of Dracocephalum polychaetum. Int. J. Life Sci. 2015, 9, 31–34. [Google Scholar] [CrossRef]
- Hu, Q.; Zhang, D.D.; Wang, L.; Lou, H.; Ren, D. Eriodictyol-7-O-glucoside, a novel Nrf2 activator, confers protection against cisplatin-induced toxicity. Food Chem. Toxicol. 2012, 50, 1927–1932. [Google Scholar] [CrossRef]
- Liga, U. Medicinal Plants of Mongolia Used in Western and Eastern Medicine; JCK Printing: Ulaanbaatar, Mongolia, 2006; p. 528. [Google Scholar]
- Kleven, O.; Endrestøl, A.; Evju, M.; Stabbetorp, O.E.; Westergaard, K.B. SNP discovery in the northern dragonhead Dracocephalum ruyschiana. Conserv. Genet. Resour. 2019, 11, 431–435. [Google Scholar] [CrossRef]
- Hu, L.J.; Zeng, L.; Ma, E.G.; Yang, C.; Wu, H.Y.; Li, P.G. Dratanguticumides G and H, two new glucosides from Dracocephalum tanguticum Maxim relax vessels via NO pathway. Phytochem. Lett. 2020, 40, 42–48. [Google Scholar] [CrossRef]
- Ma, E.G.; Wu, H.Y.; Hu, L.J.; Wei, M.; Mou, L.Y.; Li, G.P. Three new phenylacetamide glycosides from Dracocephalum tanguticum Maxim and their anti-hyperglycemic activity. Nat. Prod. Res. 2020, 34, 1827–1835. [Google Scholar] [CrossRef]
- Li, H.; Fu, Y.; Sun, H.; Zhang, Y.; Lan, X. Transcriptomic analyses reveal biosynthetic genes related to rosmarinic acid in Dracocephalum tanguticum. Sci. Rep. 2017, 7, 74. [Google Scholar] [CrossRef]
- Maham, M.; Akbari, H.; Delazar, A. Chemical composition and antinociceptive effect of the essential oil of Dracocephalum moldavica L. Pharm. Sci. 2013, 18, 187–192. [Google Scholar]
- Dang, J.; Wang, S.; Shao, Y. Preparative isolation of antioxidative compounds from Dracocephalum heterophyllum using off-line two-dimensional reversed-phase liquid chromatography/hydrophilic interaction chromatography guided by on-line HPLC-DPPH assay. J. Chromatogr. B 2018, 1095, 267–274. [Google Scholar] [CrossRef] [PubMed]
- Lv, Y.; Wang, Z.; Wu, Q.; Fang, Y.; Wang, Q.; Li, G.; Dang, J. Preparation and antioxidant activities of phenylethanoids from Dracocephalum heterophyllum. Separations 2022, 9, 111. [Google Scholar] [CrossRef]
- Okayama, M.; Kitabatake, S.; Sato, M.; Fujimori, K.; Ichikawa, D.; Matushita, M.; Suto, Y.; Iwaski, G.; Yawada, T.; Kiuchi, F.; et al. A novel derivative (GTN024) from a natural product, komaroviquinone, induced the apoptosis of high-risk myeloma cells via reactive oxygen production and ER stress. Biochem. Biophys. Res. Commun. 2018, 505, 787–793. [Google Scholar] [CrossRef] [PubMed]
- Newman, D.J.; Cragg, G.M. Natural products as sources of new drugs over the nearly four decades from 01/1981 to 09/2019. J. Nat. Prod. 2020, 83, 770–803. [Google Scholar] [CrossRef]
- Kumar, N.; Goel, N. Phenolic acids: Natural versatile molecules with promising therapeutic applications. Biotechnol. Rep. 2019, 24, e00370. [Google Scholar] [CrossRef]
- Wang, L.; Wang, S.; Yang, S.; Guo, X.; Lou, H.; Ren, D. Phenolic alkaloids from the aerial parts of Dracocephalum heterophyllum. Phytochemistry 2012, 82, 166–171. [Google Scholar] [CrossRef]
- Fattahi, A.; Shakeri, A.; Tayarani-Najaran, Z.; Kharbach, M.; Segers, K.; Heyden, Y.V.; Taghizadeh, S.F.; Rahmani, H.; Asili, J. UPLC–PDA-ESI–QTOF–MS/MS and GC-MS analysis of Iranian Dracocephalum moldavica L. Food Sci. Nutr. 2021, 9, 4278–4286. [Google Scholar] [CrossRef]
- Dai, L.M.; Zhao, C.C.; Jin, H.Z.; Tang, J.; Shen, Y.H.; Li, H.L.; Peng, C.Y.; Zhang, W.D. A new ferulic acid ester and other constituents from Dracocephalum peregrinum. Arch. Pharmacal Res. 2008, 31, 1325–1329. [Google Scholar] [CrossRef]
- Shen, J.; Ye, Y.H.; Zhou, Y.W. Bioactive chemical constituents from Tibetan medicine Dracocephalum tanguticum Maxim. J. Chin. Pharm. Sci. 2009, 44, 170–175. [Google Scholar]
- Gohari, A.R.; Saeidnia, S.; Matsuo, K.; Uchiyama, N.; Yagura, T.; Ito, M.; Kichui, F.; Honda, G. Flavonoid constituents of Dracocephalum kotschyi growing in Iran and their trypanocidal activity. J. Nat. Med. 2003, 57, 250–252. [Google Scholar]
- Yang, S.; Wang, L.; Guo, X.; Lou, H.; Ren, D. A new flavonoid glycoside and other constituents from Dracocephalum moldavica. Nat. Prod. Res. 2013, 27, 201–207. [Google Scholar] [CrossRef] [PubMed]
- Simea, S.; Ielciu, I.; Hanganu, D.; Niculae, M.; Pall, E.; Burtescu, R.F.; Olah, N.K.; Cenariu, M.; Oniga, I.; Benedec, D.; et al. Evaluation of the cytotoxic, antioxidative and antimicrobial effects of Dracocephalum moldavica L. cultivcars. Molecules 2023, 28, 1604. [Google Scholar] [CrossRef] [PubMed]
- Li, Q.; Liu, Y.; Han, L.; Liu, J.; Liu, W.; Feng, F.; Zhang, J.; Xie, N. Chemical constituents and quality control of two Dracocephalum species based on high-performance liquid chromatographic fingerprints coupled with tandem mass spectrometry and chemometrics. J. Sep. Sci. 2016, 39, 4071–4085. [Google Scholar] [CrossRef]
- Oganesyan, G.B. Minor flavonols from Dracocephalum multicaule. Chem. Nat. Comp. 2009, 45, 242–243. [Google Scholar] [CrossRef]
- Zheng, R.; Kader, K.; Liu, D.W.; Su, W.L.; Xu, L.; Jin, Y.Y.; Xing, Y.G. A network pharmacology approach to decipher the mechanism of total flavonoids from Dracocephalum moldavica L. in the treatment of cardiovascular diseases. BMC Complement. Med. Ther. 2024, 24, 15. [Google Scholar] [CrossRef]
- Wang, S.Q.; Han, X.Z.; Li, X.; Ren, D.M.; Wang, X.N.; Lou, H.X. Flavonoids from Dracocephalum tanguticum and their cardioprotective effects against doxorubicin-induced toxicity in H9c2 cells. Bioorg. Med. Chem. Lett. 2010, 20, 6411–6415. [Google Scholar] [CrossRef]
- Olennikov, D.N.; Chirikova, N.K.; Kim, E.; Kim, S.W.; Zulfugarov, I.S. New glycosides of eridictyol from Dracocephalum palmatum. Chem. Nat. Comp. 2018, 54, 860–863. [Google Scholar] [CrossRef]
- Hu, X.; Mola, Y.; Su, W.l.; Wang, Y.; Zheng, R.F.; Xing, J.G. A network pharmacology approach to decipher the total flavonoid extract of Dracocephalum moldavica L. in the treatment of cerebral ischemia-reperfusion injury. PLoS ONE 2023, 18, e0289118. [Google Scholar] [CrossRef]
- Yang, L.N.; Xing, J.G.; He, C.H.; Wu, T. The phenolic compounds from Dracocephalum moldavica L. Biochem. System. Ecol. 2014, 54, 19–22. [Google Scholar] [CrossRef]
- Sadraei, H.; Ghanadian, S.M.; Moazeni, S. Inhibitory effect of hydroalcoholic and flavonoids extracts of Dracocephalum kotschyi, and its components luteolin, apigenin and apigenin-4’-galactoside on intestinal transit in mice. J. Herbmed. Pharmacol. 2019, 8, 8–13. [Google Scholar] [CrossRef]
- Olennikov, D.N.; Chirikova, N.K. Dracoplasmide, a new flavonoid from Dracocephalum palmatum. Chem. Nat. Comp. 2015, 51, 1067–1069. [Google Scholar] [CrossRef]
- Zeng, Q.; Chang, R.; Qin, J.; Cheng, X.; Zhang, W.; Jin, H. New Glycosides from Dracocephalum tanguticum Maxim. Arch. Pharm. Res. 2011, 34, 2015–2020. [Google Scholar] [CrossRef] [PubMed]
- Fu, P.; Zhao, C.C.; Tang, J.; Shen, Y.H.; Xu, X.K.; Zhang, W.D. Triterpenoids and flavonoids from chloroform fraction of Dracocephalum peregrinum. Chem. Nat. Comp. 2009, 45, 927–928. [Google Scholar] [CrossRef]
- Zeng, C.; Jiang, W.; Yang, X.; He, C.; Wang, W.; Xing, J. Pretreatment with total flavonoid extract from Dracocephalum moldavica L. attenuates ischemia reperfusion-induced apoptosis. Sci. Rep. 2018, 8, 17491. [Google Scholar] [CrossRef]
- Numonov, S.R.; Usmanova, S.K.; Aisa, H.A. Chemical composition of Dracocephalum heterophyllum. Chem. Nat. Comp. 2013, 49, 511–513. [Google Scholar] [CrossRef]
- Fu, P.; Zhao, C.C.; Tang, J.; Shen, Y.H.; Xu, X.K.; Zhang, W.D. New flavonoid glycosides and cyanogenic glycosides from Dracocephalum peregrinum. Chem. Pharm. Bull. 2009, 57, 207–2010. [Google Scholar] [CrossRef]
- Sultan, A.; Bahang, H.A.; Eshbakova, A.K.A. Flavonoids from Dracocephalum moldavica. Chem. Nat. Com. 2008, 44, 366–367. [Google Scholar] [CrossRef]
- Ashrafian, S.; Farimani, M.M.; Sonboli, A.; Ashrafian, H.; Kabiri, M.; Rezadoosta, H. Simultaneous characterization of nine isolated flavonoids in Iranian Dracocephalum species and in silico study of their inhibitory properties against MTH1 enzyme. S. Afr. J. Bot. 2022, 146, 254261. [Google Scholar] [CrossRef]
- Yang, X.; Wang, N.; Shen, C.; Li, H.; Zhao, J.; Chen, T.; Li, Y. An effective method based on medium-pressure liquid chromatography and recycling high-speed counter-current chromatography for enrichment and separation of three minor components with similar polarity from Dracocephalum tanguticum. J. Sep. Sci. 2019, 42, 3684–3690. [Google Scholar] [CrossRef]
- Jöhrer, K.; Pérez, M.P.; Kircher, B.; Çiçek, S.S. Flavones, flavonols, lignans, and caffeic acid derivatives from Dracocephalum moldavica and their in vitro effects on multiple myeloma and acute myeloid leukemia. Int. J. Mol. Sci. 2022, 23, 14219. [Google Scholar] [CrossRef] [PubMed]
- Chen, T.; Yang, X.; Wang, S.; Shen, C.; Li, H.; Wei, Y.; Yan, S.; Song, Z.; Yang, F.; Liu, Y.; et al. Separation of five flavone glycosides including two groups with similar polarities from Dracocephalum tanguticum by a combination of three high-speed counter-current chromatography modes. J. Sep. Sci. 2022, 45, 468–476. [Google Scholar] [CrossRef] [PubMed]
- Moghaddam, G.S.; Ebrahimi, A.; Rahbar-Roshandel, N.; Foroumadi, A. Antiproliferative activity of flavonoids: Influence of the sequential methoxylation state of the flavonoid structure. Phytother. Res. 2012, 26, 1023–1028. [Google Scholar] [CrossRef] [PubMed]
- Zhang, H.; Wang, S.; Liu, Q.; Zheng, H.; Liu, X.; Wang, X.; Shen, T.; Ren, D. Dracomolphin A-E, new lignans from Dracocephalum moldavica. Fitoterapia 2021, 150, 104841. [Google Scholar] [CrossRef]
- Bian, J.; Wang, K.; Wang, Q.; Wang, T.; Shi, E.; Ruan, Q. Dracocephalum heterophyllum (DH) Exhibits potent anti-proliferative effects on autoreactive CD4+ T cells and ameliorates the development of experimental autoimmune uveitis. Frontiers 2020, 11, 575669. [Google Scholar] [CrossRef]
- Zhang, H.; Xu, L.; Liu, X.; Fan, J.; Wang, X.; Shen, T.; Wang, S.; Ren, D. Dracomolphesin A–E, five 3,4-seco-phenylpropanoids with Nrf2 inducing activity from Dracocephalum moldavica. Chin. Chem. Lett. 2020, 31, 1259–1262. [Google Scholar] [CrossRef]
- Ren, D.M.; Guo, H.F.; Yu, W.T.; Wang, S.Q.; Ji, M.; Lou, H.X. Stereochemistry of flavonoidal alkaloids from Dracocephalum rupestre. Phytochemistry 2008, 69, 1425–1433. [Google Scholar] [CrossRef]
- Dang, J.; Lv, Y.; Li, C.; Fang, Y.; Li, G.; Wang, Q. Integrated chromatographic approach for the discovery of gingerol antioxidants from Dracocephalum heterophyllum and their potential targets. Anal. Methods 2022, 14, 4133. [Google Scholar] [CrossRef]
- Lv, Y.; Li, C.; Wang, Z.; Wang, Q.; Li, G.; Dang, J. Preparative isolation of antioxidative furanocoumarins from Dracocephalum heterophyllum and their potential action target. J. Sep. Sci. 2022, 45, 4375–4387. [Google Scholar] [CrossRef]
- Ren, D.M.; Guo, H.F.; Wang, S.Q.; Lou, H.X. Separation and structure determination of two diastereomeric pairs of enantiomers from Dracocephalum rupestre by high-performance liquid chromatography with circular dichroism detection. J. Chromatogr. A 2007, 1161, 334–337. [Google Scholar] [CrossRef]
- Shi, Q.Q.; Dang, J.; Wen, H.X.; Yuan, X.; Tao, Y.D.; Wang, Q.L. Anti-hepatitis, antioxidant activities and bioactive compounds of Dracocephalum heterophyllum extracts. Bot. Stud. 2016, 57, 16. [Google Scholar] [CrossRef] [PubMed]
- Moradi, H.; Ghavama, M.; Tavili, A. Study of antioxidant activity and some herbal compounds of Dracocephalum kotschyi Boiss. in different ages of growth. Biotechnol. Rep. 2020, 25, e00408. [Google Scholar] [CrossRef] [PubMed]
- Khodaei, M.; Amanzadeh, Y.; Faramarzi, M.A.; Pirali-Hamedani, M.; Adhami, H.R. Cholinesterase inhibitory, anti-oxidant and anti-tyrosinase activities of three Iranian species of Dracocephalum. Res. J. Pharmacogn. 2019, 6, 25–31. [Google Scholar]
- Kamali, H.; Kohdaverdi, E.; Hadizadeh, F.; Ghaziaskar, S.H. Optimization of phenolic and flavonoid content and antioxidants capacity of pressurized liquid extraction from Dracocephalum kotschyi via circumscribed central composite. J. Supercritic. Fluids 2016, 107, 307–314. [Google Scholar] [CrossRef]
- Faghihinia, L.; Monajjemi, R.; Ranjbar, M. Cytotoxic and antioxidant effects of methanol, hexane, chloroform and aqueous extracts of Dracocephalum kotschyi aerial parts on MDA-MB-231 cell line. J. Bus. Econ. Stat. 2015, 6, 334–340. [Google Scholar]
- Jin, M.; Yu, H.; Jin, X.; Yan, L.; Wang, J.; Wang, Z. Dracocephalum moldavica L. extracts protect H9c2 cardiomyocytes against H2O2-induced apoptosis and oxidative stress. BioMed Res. Int. 2020, 2020, 8379358. [Google Scholar] [CrossRef]
- Jiang, J.; Yuan, X.; Wang, T.; Chen, H.; Zhao, H.; Yan, X.; Wang, Z.; Sun, X.; Zheng, Q. Antioxidative and cardioprotective effects of total flavonoids extracted from Dracocephalum moldavica L. against acute ischemia/reperfusion-induced myocardial injury in isolated rat heart. Cardiovasc. Toxicol. 2014, 14, 74–82. [Google Scholar] [CrossRef]
- Povilaityté, V.; Cuvelier, M.E.; Berset, C. Antioxidant properties of Moldavian dragonhead (Dracocephalum moldavica L.). J. Food Lipids 2001, 8, 45–64. [Google Scholar] [CrossRef]
- Mandegary, A.; Soodi, M.; Sharififar, F.; Ahmadi, S. Anticholinesterase, antioxidant, and neuroprotective effects of Tripleurospermum disciforme and Dracocephalum multicaule. J. Ayurveda Integr. Med. 2014, 5, 162–166. [Google Scholar]
- Pirbalouti, A.G.; Siahpoosh, A.; Setayesh, M.; Craker, L. Antioxidant activity, total phenolic and flavonoid contents of some medicinal and aromatic plants used as herbal teas and condiments in Iran. J. Med. Food 2014, 17, 1151–1157. [Google Scholar] [CrossRef]
- Shahdadi, F.; Payandeh, M.A.; Sardoei, A.S. Comparison of antioxidant activity of Dracocephalum polychaetum Bornm and Nepeta cataria L. and their effect on probiotic bacteria in a simulated gastrointestinal environment. J. Med. Microbiol. Infect. Dis. 2021, 9, 5–11. [Google Scholar] [CrossRef]
- Wang, Y.; Lai, D.; Geng, Y.; Shang, P.; Wang, P. Therapeutic effects of Dracocephalum heterophyllum in collagen artrithis. A.A.P.S. Open 2022, 8, 4. [Google Scholar]
- Zheng, W.; Wang, Q.; Lu, X.; Shi, Q.; Zou, J.; Tao, Y.; Wang, P. Protective effects of Dracocephalum heterophyllum in ConA-induced acute hepatitis. Mediat. Inflamm. 2016, 2016, 2684321. [Google Scholar] [CrossRef] [PubMed]
- Hosseini-Sharifabad, A.; Sadraei, H.; Hashemnia, M.; Sajjadi, S.E.; Mirdamadi, Z. Effect of hydroalcoholic and aqueous extracts of Dracocephalum kotschyi on bleomycin induced pulmonary fibrosis. J. Herbmed. Pharmacol. 2021, 10, 209–217. [Google Scholar] [CrossRef]
- Sadraei, H.; Asghari, G.; Khanabadi, M.; Minaiyan, M. Anti-inflammatory effect of apigenin and hydroalcoholic extract of Dracocephalum kotschyi on acetic acid-induced colitis in rats. Res. Pharm. Sci. 2017, 12, 322–329. [Google Scholar]
- Amirghofran, Z.; Malek-Hosseini, S.; Golmoghaddam, H.; Kalantar, F.; Shabani, M. Inhibition of nitric oxide production and proinflammatory cytokines by several medicinal plants. Iran. J. Immunol. 2011, 8, 159–169. [Google Scholar]
- Gang, S.; Bai, W.; Yu, H.; Gula, A.; Wang, Z. Dracocephalum moldavica L. extract alleviates experimental colitis in rats by modulating gut microbiome and inflammatory pathways. Mol. Med. Rep. 2023, 28, 228. [Google Scholar] [CrossRef]
- He, C.H.; Lv, J.M.; Khan, G.J.; Duan, H.; Wang, W.; Zhai, K.F.; Zou, G.A.; Aisa, H. Total flavonoid extract from Dracocephalum moldavica L. improves pulmonary fibrosis by reducing inflammation and inhibiting the hedgehog signaling pathway. Phytother. Res. 2023, 37, 2745–2758. [Google Scholar] [CrossRef]
- Mahmoudzadeh, L.; Froushani, S.M.; Zeinali, Z. Hydro-alcoholic extract of Dracocephalum moldavica for treatment of ulcerative colitis in Wistar rats. Hum. Health Halal Metr. 2023, 4, 38–47. [Google Scholar]
- Kim, K.M.; Kim, S.Y.; Mony, T.J.; Bae, H.J.; Han, S.D.; Lee, E.S.; Choi, S.H.; Hong, S.H.; Lee, S.D.; Park, S.J. Dracocephalum moldavica ethanol extract suppresses LPS-induced inflammatory responses through inhibition of the JNK/ERK/NF-B signaling pathway and IL-6 production in RAW 264.7 macrophages and in endotoxic-treated mice. Nutrients 2021, 13, 4501. [Google Scholar] [CrossRef]
- Xing, J.; Peng, K.; Cao, W.; Lian, X.; Wang, Q.; Wang, X. Effects of total flavonoids from Dracocephalum moldavica on the proliferation, migration, and adhesion molecule expression of rat vascular smooth muscle cells induced by TNF-α. Pharm. Biol. 2013, 51, 74–83. [Google Scholar] [CrossRef] [PubMed]
- Ban, D.; Sang, Z.G.; Fan, Y.; Fu, G.; Yang, H.; Si, L. Therapeutic potential of compound extract from Dracocephalum rupestre Hance. and Berberidis radix against Salmonella-induced lamb diarrhoea. Sci. Rep. 2024, 14, 23789. [Google Scholar] [CrossRef] [PubMed]
- Guo, M.; Gu, L.; Hui, H.; Li, X.; Jin, L. Extracts of Dracocephalum tanguticum Maxim. ameliorate acute alcoholic liver disease via regulating transcription factors in mice. Front. Pharmacol. 2022, 13, 830532. [Google Scholar] [CrossRef] [PubMed]
- Deepa, P.; Bae, H.J.; Park, H.B.; Kim, S.K.; Choi, J.W.; Kim, D.H.; Liu, X.Q.; Ryu, J.H.; Park, S.J. Dracocephalum moldavica attenuates scopolamine-induced cognitive impairment through activation of hippocampal ERK-CREB signaling in mice. J. Ethnopharmacol. 2020, 253, 112651. [Google Scholar] [CrossRef]
- Zheng, R.F.; Du, Y.W.; Zeng, C.; Wang, H.F.; Xing, J.G.; Xu, M. Total flavones of Dracocephalum moldavica L. protect astrocytes against H2O2-induced apoptosis through a mitochondria dependent pathway. BMC Complement. Med. Ther. 2020, 20, 78. [Google Scholar] [CrossRef]
- Sun, Y.; Liu, T.; Dai, X.; Jiang, Z.; Gao, Z.; Zhang, M.; Wang, D.; Zheng, Q. Neuroprotective effect of Dracocephalum moldavica L. total flavonoids in transient cerebral ischemia in rats. Annu. Res. Rev. Biol. 2014, 4, 1915–1926. [Google Scholar] [CrossRef]
- Shafiee-Kandjani, A.; Khalili, M.; Malek, A.; Farhang, S.; Ranjbari, Y.; Khalili, Y. The therapeutic effect of the extracts of Lavandula angustifolia and Dracocephalum ruyschiana besides sertraline on patients with mild to moderate depression: A double-blind controlled trial. Phytomed. Plus 2023, 3, 100430. [Google Scholar] [CrossRef]
- Dawuti, A.; Sun, S.; Wang, R.; Gong, D.; Yuan, T.; Zhang, L.; Yang, S.; Xing, J.; Zheng, R.; Lu, Y.; et al. Systems pharmacology-based strategy to investigate pharmacological mechanisms of total flavonoids in Dracocephalum moldavica on chronic heart failure. Int. J. Mol. Sci. 2022, 23, 8409. [Google Scholar] [CrossRef]
- Cao, W.; Yuan, Y.; Wang, Y.; Tian, L.; Wang, X.; Xin, J.; Wang, Y.; Guo, X.; Qin, D. The mechanism study of Dracocephalum moldavica L. the total flavonoids on apoptosis induced by myocardial ischemia/reperfusion injury in vivo and in vitro. Biomed. J. Sci. Tech. Res. 2019, 20, 14985–14996. [Google Scholar]
- Najafi, M.; Ghasemian, E.; Fathiazad, F.; Garjani, A. Effects of total extract of Dracocephalum moldavica on ischemia/reperfusion induced arrhythmias and infarct size in the isolated rat heart. Iran. J. Basic Med. Sci. 2009, 11, 229–235. [Google Scholar]
- Maimaiti, A.; Tao, Y.; Minmin, W.; Weiwei, M.; Wenhui, S.; Aikemu, A.; Maimaitiyiming, D. Improvement of total flavonoids from D. moldavica L. in rats with chronic mountain sickness through 1 H-NMR metabolomics. Evid. Based Complemnt. Altern. Med. 2021, 2021, 6695346. [Google Scholar]
- Aslian, S.; Yazdanparast, R. Hypolipidemic activity of Dracocephalum kotschyi involves FOXO1 mediated modulation of PPARγ expression inadipocytes. Lipids Health Dis. 2018, 17, 245. [Google Scholar] [CrossRef] [PubMed]
- Sajjadi, S.E.; Atar, A.M.; Yektaian, A. Antihyperlipidemic effect of hydroalcoholic extract, and polyphenolic fraction from Dracocephalum kotschyi Boiss. Pharm. Acta Helv. 1998, 73, 167–170. [Google Scholar] [CrossRef] [PubMed]
- Moghimi, M.; Rashidian, S.; Khosravian, F.; Hadi, N. Basil and Dracocephalum kotschyi alcoholic extracts affect BCL2 expression and HepG2 cell proliferation. Res. Mol. Med. 2019, 7, 32–42. [Google Scholar] [CrossRef]
- Sani, T.A.; Pour, E.M.; Mohammadi, A.; Memariani, T.; Yazadi, M.V.; Rezaee, R.; Calina, D.; Docea, A.O.; Goumenou, M.; Etemad, L.; et al. Cytotoxic and apoptogenic prerties of Dracocephalum kotschyi aerial parts different fractions on Calu-6 and Mehr-80 lung cancer cell lines. Farmacia 2017, 65, 189–199. [Google Scholar]
- Talari, M.; Seydi, E.; Salimi, A.; Mohsenifar, Z.; Kamalinejad, M.; Pourahmad, J. Dracocephalum: Novel anticancer plant acting on liver cancer cell mitochondria. BioMed Res. Int. 2014, 2014, 892170. [Google Scholar] [CrossRef]
- Jahaniani, F.; Ebrahimi, S.A.; Rahbar-Roshandel, N.; Mahmoudian, M. Xanthomicrol is the main cytotoxic component of Dracocephalum kotschyii and a potential anti-cancer agent. Phytochemistry 2005, 66, 1581–1592. [Google Scholar] [CrossRef]
- Jiang, H.; Zeng, L.; Dong, X.; Guo, S.; Xing, J.; Li, Z.; Liu, R. Tilianin extracted from Dracocephalum moldavica L. induces intrinsic apoptosis and drives inflammatory microenvironment response on pharyngeal squamous carcinoma cells via regulating TLR4 signaling pathways. Front. Pharmacol. 2020, 11, 205. [Google Scholar] [CrossRef]
- Lee, S.E.; Okhlopkova, Z.; Lim, C.; Cho, S. Dracocephalum palmatum Stephan extract induces apoptosis in human prostate cancer cells via the caspase-8-mediated extrinsic pathway. Chin. J. Nat. Med. 2020, 18, 793–800. [Google Scholar] [CrossRef]
- Kim, J.; Kim, J.N.; Park, I.; Sivtseva, S.; Okhlopkova, Z.; Zulfugarov, I.S.; Kim, S.W. Dracocephalum palmatum Stephan extract induces caspase- and mitochondria-dependent apoptosis via Myc inhibition in diffuse large B cell lymphoma. Oncol. Rep. 2020, 44, 2746–2756. [Google Scholar] [CrossRef]
- Kamali, M.; Khosroyar, S.; Mohammadi, A. Antibacterial activity of various extracts from Dracocephalum kotschyi against food pathogenic microorganisms. Pharm. Tech. 2015, 8, 158–163. [Google Scholar]
- Yu, H.; Liu, M.; Liu, Y.; Qin, L.; Jin, M.; Wang, Z. Antimicrobial activity and mechanism of action of Dracocephalum moldavica L. extracts against clinical isolates of Staphylococcus aureus. Front. Microbiol. 2019, 10, 1249. [Google Scholar] [CrossRef] [PubMed]
- Keikhaie, K.R.; Jahantigh, H.R.; Bagheri, R.; Kehkhaie, A.R. The effects of the ethanol extract of Dracocephalum moldavica (Badrashbu) against strains of antibiotic-resistant Escherichia coli and Klebsiella pneumonia. Int. J. Infect. 2018, 5, e65295. [Google Scholar] [CrossRef]
- Yaghoobi, M.M.; Khaleghi, M.; Rezanejad, H.; Parsia, P. Antibiofilm activity of Dracocephalum polychaetum extract on methicillin-resistant Staphylococcus aureus. Avicenna J. Clin. Microbiol. Infect. 2018, 5, 61772. [Google Scholar] [CrossRef]
- Sadraei, H.; Sajjadi, S.E.; Tarafdar, A. Antispasmodic effect of hydroalcoholic and flavonoids extracts of Dracocephalum kotschyi on rabbit bladder. J. Herbmed. Pharmacol. 2020, 9, 145–152. [Google Scholar] [CrossRef]
- Sadraei, H.; Ghanadian, S.M.; Asghari, G.; Gavahian, A. Bronchodilator effect of apigenin and luteolin, two components of Dracocephalum kotschyi on isolated rabbit trachea. J. Herbmed. Pharmacol. 2019, 8, 281–286. [Google Scholar] [CrossRef]
- Sadraei, H.; Ghanadian, M.; Asghari, G.; Sekhavati, N. Antispasmodic activity of apigenin and luteolin, two components of Dracocephalum kotschyi extract, on rat ileum contractions. J. Herbmed. Pharmacol. 2018, 7, 100–105. [Google Scholar] [CrossRef]
- Sadraei, H.; Asghar, G.; Shahverdi, F. Antidiarrheal assessment of hydroalcoholic and hexane extracts of Dracocephalum kotschyi Boiss. and apigenin in mice. Res. Pharm. Sci. 2016, 11, 200–209. [Google Scholar]
- Wandrey, F.; Pickel, C.; Jongsma, E.; Ewald, C.Y.; Grothe, T. Evaluation of the collagen-boosting effects of a Moldavian dragonhead extract. J. Community Med. Public Health Rep. 2021, 6, 2. [Google Scholar]
- Rauf, A.; Khalil, A.A.; Awadallah, S.; Khan, S.A.; Abu-Izneid, T.; Kamran, M.; Hemeg, H.A.; Mubarak, M.S.; Khalid, A.; Wilairatana, P. Reactive oxygen species in biological systems: Pathways, associated diseases, and potential inhibitors-a review. Food Sci. Nutr. 2024, 12, 675–693. [Google Scholar] [CrossRef]
- Rohm, T.; Meier, D.T.; Olefsky, J.M.; Donath, M.Y. Inflammation in obesity, diabetes, and related disorders. Immunity 2022, 55, 31–55. [Google Scholar] [CrossRef] [PubMed]
- Shaabani, M.; Mousavi, S.H.; Azizi, M.; Jafari, A.A. Cytotoxic and apoptogenic effects of Dracocephalum kotschyi Boiss., extracts against human glioblastoma U87 cells. Avicenna J. Phytomed. 2020, 10, 594–603. [Google Scholar] [PubMed]
- Safari, R.; Roosta, Z.; Vakili, F.; Rahmani, E.; Hossain, M.S.; Raeisi, M.; Van Doan, H.; Paolucci, M.; Hoseinifar, S.H. Dietary dragonhead effects on growth, immunity and antioxidant and related genes expression in zebrafish (Danio rerio). Aquac. Rep. 2022, 27, 101384. [Google Scholar] [CrossRef]
- Zamani, S.S.; Hossieni, M.; Etebari, M.; Salehian, P.; Ebrahimi, S.A. Pharmacokinetics of calycopterin and xanthmicrol, two polymethoxylated hydroxyflavones with anti-angiogenic activities from Dracocephalum kotschyi Bioss. DARU J. Pharm. Sci. 2016, 24, 22. [Google Scholar] [CrossRef]



















| Species | Features | ||||||
|---|---|---|---|---|---|---|---|
| Habitat Form | Stem Form and Length (cm) | Leaf Lamina and Length | Number of Flowers in Verticillaster | Calyx Color and Length | Corolla Color and Length | References | |
| D. foetidum Bunge. | annual | branches from the base, shoots ascending or prostrate (8–30 cm) | oblong or oblong-ovate, margin crenate (1–3 cm) | 6 | green (0.7–0.9 cm) | blue, blue-purple (about 3 cm) | [19] |
| D. heterophyllum Benth. | perennial | ascending or decumbent (10–15 cm) | blade broadly to narrowly ovate, base cordate, margin shallowly crenate or serrate (2.5 cm) | 4–8 | greenish (1.5–1.7 cm) | white (1.8–3.7 cm) | [20,21] |
| D. kotschyi Boiss. | perennial | erect (23–33 cm) | ovate-shaped (0.6–1 cm) | 2–4 | greenish (1.3–1.5 cm) | white or yellowish-white (1.9–2.8 cm) | [22,23] |
| D. moldavica L. | annual | erect or ascending (22–40 cm) | ovate-triangular, base cordate, margin remotely crenate, apex rounded (1.4–4 cm) | 4 | with purple veined (0.8–1 cm) | bluish purple (1.5–3 cm) | [20] |
| D. multicaule Montbr & Auch | perennial | (15–30 cm) | ovate or oblong-lanceolate, margin crenate (1.5–3–5 cm) | 2–4 | (1.5–1.7 cm) | cream or pale yellow, white (2.3–3.1 cm) | [24] |
| D. palmatum Steph. ax Willd. | perennial | ascending or decumbent (20–55 cm) | ovate-rounded (0.5–2 cm) | 4–6 | purple, (about 1 cm) | purple (2–3 cm) | [25,26,27] |
| D. peregrinum L. | perennial | erect (15–25 cm) | ovate-lanceolate to lanceolate, base cuneate (1.5–2.2 cm) | 4–6 | purple, (1–1.3 cm) | blue-purple, (2.2–2.8 cm) | [20] |
| D. polychaetum Bornm. | perennial | (10–20 cm) | oblong-lanceolate, crenate, serrate | 2–4 | greenish | yellowish | [28] |
| D. rupestre Hance. | perennial | ascending (15–42 cm) | triangular-ovate, base cordate, margin crenate-serrate (1.4–5.5 cm) | 4–6 | purplish (2–2.4 cm) | purple-blue, (3.8–4 cm) | [20] |
| D. ruyschiana L. | perennial | erect (20–60 cm) | linear to lanceolate-linear (3.4–6.2 cm) | 4–6 | (1.7–2.4 cm) | blue-purple (1.7–2.4 cm) | [20,27] |
| D. subcapitatum (Kuntze) Lipsky | perennial | erect or prostate (10–25 cm) | ovate or elliptical-ovate (1–1.5 cm) | 6 | (1.4–1.6 cm) | purple-blue to purple (2–3 cm) | [27] |
| D. tanguticum Maxim. | perennial | erect (to 55 cm) | blade pinnatisect, elliptic-ovate to elliptic, margin entire (2.6–7.5 cm) | 2–6 | purplish (1–1.4 cm) | purple-blue to dark purple (2–2.7 cm) | [20] |
Disclaimer/Publisher’s Note: The statements, opinions and data contained in all publications are solely those of the individual author(s) and contributor(s) and not of MDPI and/or the editor(s). MDPI and/or the editor(s) disclaim responsibility for any injury to people or property resulting from any ideas, methods, instructions or products referred to in the content. |
© 2025 by the authors. Licensee MDPI, Basel, Switzerland. This article is an open access article distributed under the terms and conditions of the Creative Commons Attribution (CC BY) license (https://creativecommons.org/licenses/by/4.0/).
Share and Cite
Weremczuk-Jeżyna, I.; Grzegorczyk-Karolak, I. A Comprehensive Review of the Phenolic Compounds in Dracocephalum Genus (Lamiaceae) Related to Traditional Uses of the Species and Their Biological Activities. Molecules 2025, 30, 2017. https://doi.org/10.3390/molecules30092017
Weremczuk-Jeżyna I, Grzegorczyk-Karolak I. A Comprehensive Review of the Phenolic Compounds in Dracocephalum Genus (Lamiaceae) Related to Traditional Uses of the Species and Their Biological Activities. Molecules. 2025; 30(9):2017. https://doi.org/10.3390/molecules30092017
Chicago/Turabian StyleWeremczuk-Jeżyna, Izabela, and Izabela Grzegorczyk-Karolak. 2025. "A Comprehensive Review of the Phenolic Compounds in Dracocephalum Genus (Lamiaceae) Related to Traditional Uses of the Species and Their Biological Activities" Molecules 30, no. 9: 2017. https://doi.org/10.3390/molecules30092017
APA StyleWeremczuk-Jeżyna, I., & Grzegorczyk-Karolak, I. (2025). A Comprehensive Review of the Phenolic Compounds in Dracocephalum Genus (Lamiaceae) Related to Traditional Uses of the Species and Their Biological Activities. Molecules, 30(9), 2017. https://doi.org/10.3390/molecules30092017

