Abstract
Herein, flower-like Zn3In2S6 (ZIS3) crystallites were grown onto acorn leaf-like CdS assemblies via a two-step hydrothermal approach. Under visible light irradiation, the Zn3In2S6-enriched heterostructures demonstrated an enhanced azo-dye degradation rate, with the majority of the organic analyte (Orange G) being degraded within 60 min. In contrast, the CdS-enriched hybrids showed poor photocatalytic performance. The optimized hybrid containing a nominal CdS content of 4 wt% was characterized by various physicochemical techniques, such as XRD, SEM, XPS and Raman. XPS analysis showed that the electron density around the Zn and In sites in Zn3In2S6 was slightly increased, implying a certain charge migration pattern. Complementary information from scavenging experiments suggested that hydroxy radicals were not the exclusive transient responsible for oxidative degradation of the organic azo-dye. This research provides new information about the development of metal chalcogenide-based heterostructures for efficient photocatalytic organic pollutant degradation.
1. Introduction
Over the past few decades, the environment has been facing a serious pollution issue due to continuous industrial growth and ever-increasing human consumption habits. Increased concentrations of pharmaceutical substances have been detected in aquatic environments such as lakes and rivers. Among others, the wastewater dumping from industrial facilities poses a serious threat of contamination of wetlands by hazardous substances. Textile industries utilize synthetic aromatic dyes for their processes, with most of the organic residues eventually ending up in the environment as wastewater [1]. The increasing deposition of such toxic and/or mutagenic substances may give rise to deterioration of the quality of life for society. To this end, a variety of processes have been developed for wastewater treatment, such as adsorption, flocculation and advanced oxidation processes (AOPs). The latter are applied primarily to the decomposition of either organic or inorganic contaminants through the in-situ generation of oxidative transient species [2]. Such transient intermediates belong to the general group of reactive oxygen species (ROS), with representative examples being the hydroxy and sulfate radicals. In the family of AOPs, various similar-philosophy strategies have been developed in the recent decades, with the most widely used being the Fenton (Fe2+/H2O2) process, electrocatalysis, ozonolysis and photocatalysis, respectively. In any case, the formed ROS catalyze the oxidative decomposition of pollutants, with mineralization being the ideal scenario of the whole process.
Photocatalysis is an environmentally-friendly choice for achieving a large set of chemical transformations, which are strongly correlated with energy conversion schemes. Regarding heterogeneous photocatalysis, semiconducting catalysts are mostly dispersed in aqueous environments. Irradiation under a proper light energy source may give rise to a sequence of physicochemical processes, such as exciton dissociation, charge carrier migration and the formation of ROS by redox half-reactions [3]. In the early days of photocatalysis, some fifty years ago, various metal oxides, such as ZnO and TiO2, were used extensively as photocatalysts due to the fact that these oxides are abundant, low cost and stable [4]. Despite these advantages, such oxide semiconductors demonstrate a lack of absorption in the visible wavelengths. For instance, TiO2 has a large band gap of about 3.2 eV, which corresponds to an absorption edge at ~390nm, approximately. Therefore, the abovementioned semiconductor selectively adsorbs in the UV region. Thus, the related research efforts gradually shifted to alternative semiconducting materials, like CdS and other sulfides [5]. CdS has gained wide recognition owing to its suitable band structures for the various redox half-reactions of photocatalysis and the moderate band gap of ~2.4 eV, extending the absorption edge to the visible region (~517 nm). However, in its pristine state, the charge carrier recombination phenomena need to be controlled and totally altered. Furthermore, CdS displays inherent severe photocorrosion, which altogether inhibits its photoactivity. Over the years, various morphologies of the abovementioned metal sulfide material, coupled with other nanostructured semiconductors, have been implemented as heterostructured photocatalysts in various photocatalytic applications [6]. It has been suggested that the additional semiconducting component acts as a protecting layer toward the inhibition of corrosion process.
With this continuous search for novel materials, a new family of ternary mixed metal sulfides emerged as potential optically active systems, denoted as ZnxIn2S3+x (ZISx, x = 1–5) [7]. Their reported optical band gaps were estimated to range between 2.46 and 2.86 eV. Like CdS, ZISx exhibit fast recombination of the photogenerated species, but unlike CdS, ZISx semiconductors have low toxicity and high photochemical stability, owing to their unique layered structure protecting the sulfur sites from photooxidation while at the same time aiding the generation of sulfur vacancies on the crystal lattice. Of this family, the ZnIn2S4 semiconductor has been the most studied system [8]. However, homologues of these series, such as Zn3In2S6 (ZIS3), have been alternatively proposed as photoactive catalytic systems [9,10,11,12,13,14]. Concerning the tuning of optical properties and the enhancement of photocatalytic activity of the parent semiconductor, researchers have developed a few Zn3In2S6-based hybrid materials with other cocatalysts. In this context, the goal was to facilitate the electron/hole dissociation and the subsequent charge carrier migration to the redox catalytic sites. In recent years, there have been some interesting works about the participation of Zn3In2S6-based systems in photocatalytic applications. These include hydrogen evolution [15,16,17,18,19,20], carbon dioxide reduction [21], Cr(VI) reduction [22], H2O2 evolution [23], transformation of organics [24] and organic pollutant degradation [25,26,27,28,29]. To our knowledge, the integration of Zn3In2S6 with cadmium chalcogenide nanostructures for photocatalytic applications has not been studied in detail. In the recent work of Luan et al. [20], the authors compounded In-doped CdSe with Zn3In2S6 microspheres. The resulting hybrid demonstrated enhanced photocatalytic activity for hydrogen evolution.
Herein, following our previous work on ZnIn2S4 [30], we focused on the development of novel ZIS3-based hybrids by using CdS as a cocatalyst [31]. Specifically, neat ZIS3 as well as ZIS3/CdS hybrids were synthesized by a simple hydrothermal method. All the samples were characterized by various physicochemical techniques, such as X-ray diffraction (XRD), Scanning Electron Microscopy (SEM), X-ray Photoelectron Spectroscopy (XPS), Raman and Diffuse Reflectance Spectroscopy (DRS). Their performance was assessed in the field of photocatalytic organic dye degradation under visible light irradiation. The dye was Orange G, an azo organic compound, and the quantitative analysis took place in aqueous solution by monitoring the degradation kinetics through the absorption measurements. The correlation between chemical speciation and photocatalytic performance provides valuable insight for developing functional photocatalytic systems.
2. Results and Discussion
2.1. Physicochemical Characterization
Neat semiconductors as well as hybrid materials were characterized using an X-ray diffraction (XRD) technique. Regarding the neat Zn3In2S6 (ZIS3) sample (Figure 1A), the characteristic peaks were located at 22.9°, 26.8°, 28.4°, 47.2°, 56.1° and 76.3° corresponding to (005), (100), (102), (110), (203) and (213) crystallographic planes, respectively [32]. The crystallinity profile of neat CdS (Figure 1B) resembled the one shown in our previous study [30]. Specifically, the typical diffractions of a hexagonal phase were observed at 24.7°, 26.4°, 28.1°, 36.6°, 43.6°, 47.8°, 50.8°, 51.8°, 52.8°, 54.5°, 58.3°, 66.7°, 69.3°, 70.9°, 72.4° and 75.5°, corresponding to (100), (002), (101), (102), (110), (103), (200), (112), (201), (004), (202), (203), (210), (211), (114) and (105) crystallographic planes, respectively. Hybrids highly enriched in a specific semiconducting species mostly demonstrate the corresponding diffraction peaks of the excess component. Representative examples are demonstrated in Figure 1C,D, in which the XRD profiles of “ZIS3 96 wt%” and “ZIS3 84 wt%” are illustrated, respectively. Certain minor peaks may be ascribed to the presence of low-weight fraction CdS components, which were indicated by dotted signs. The main peaks clearly observed have maxima at 24.9°, 26.6°, 36.8°, 43.8°, 51.0°, 52.0°, 53.0°, 58.4°, 66.9°, 69.5°, 71.2°, 72.8° and 75.7°, respectively. It is notable that the weak intensity peaks were most clearly observed in the “ZIS3 84 wt%” sample (Figure 1D), which supports the comparatively higher CdS fraction in the aforementioned hybrid. Samples containing a theoretical ZIS3 weight fraction of less than 50% demonstrated mainly the diffraction peaks of a CdS component.
Figure 1.
X-ray diffraction profiles of (A) neat Zn3In2S6, (B) neat CdS, (C) “ZIS3 96 wt%” hybrid and (D) “ZIS3 84 wt%” hybrid. Peaks ascribed to a CdS component are located by dotted signs (C,D).
The morphology of the synthesized nanostructured materials was assessed by Scanning Electron Microscopy (SEM) imaging. In Figure 2A, spherical flower-like morphologies were observed, grown through the assembly of thin leaf crystallites [33]. The size distribution of the crystallites ranged between approximately 1 and 5 μm. In contrast, the morphology of neat CdS crystallites resembled an acorn leaf structure, with a uniform size and shape (Figure 2B) [34]. Hydrothermal growth of ZIS3 crystallites in the presence of a CdS component gave rise to a partial phase-separated heterostructure in certain domains, a pattern which was more noticeable with lower ZIS3 mass loadings. Concerning the “ZIS3 96 wt%” sample (Figure 2C), flower-like crystallites were grown in the vicinity of CdS assemblies. Elemental mapping by a combination of SEM/EDX imaging (Figures S1–S3 in Supplementary Information) demonstrated that zinc, indium and sulfur elements were homogeneously dispersed in the recorded heterostructures. In comparison, a cadmium component presents a somewhat lower distribution homogeneity, showing some partial phase-separation phenomena. This was more obvious in the hybrid sample, containing a theoretical ZIS3 fraction of 50 wt% (Figure 2D).
Figure 2.
Representative SEM images of (A) neat Zn3In2S6, (B) neat CdS, (C) “ZIS3 96 wt%” and (D) “ZIS3 50 wt%” samples.
The chemical speciation and the surface analysis of the studied samples was assessed using XPS techniques. The survey scans of neat ZIS3 and “ZIS3 96 wt%” samples showed the involved elements, namely zinc, indium, sulfur and cadmium (Figure S4). The latter elemental component was recorded only in the case of hybrid structures. It is noted that adventitious carbon was recorded in the survey scans, which could be attributed to exposure of the samples to air. Thus, the carbon component will not be considered part of the percent atomic concentration of elements. From the peak areas of the involved elemental components, the percent relative atomic concentration of each element was derived. Concerning the neat ZIS3, the estimated relative atomic concentrations of zinc, indium and sulfur were 31.0% (27.3%), 19.6% (18.2%) and 49.4% (54.5%), respectively. In parentheses, the nominal percent relative atomic concentrations for the parent lattice were given. In the hybrid material containing a theoretical ZIS3 fraction of 96 wt%, the corresponding atomic concentrations were estimated to be 31.7%, 19.9% and 47.5%, respectively. In addition, a 0.9% concentration of cadmium was estimated. The aforementioned values were in good agreement with the nominal ones estimated by the stoichiometry of the elements.
Figure 3A,B shows the Zn 2p XPS core level peaks as well as the Zn L3M45M45 X-ray excited Auger electron (XAES) peaks for the studied samples. The binding energy of the Zn 2p3/2 peak was centered at 1022.1 eV for neat ZIS3, whereas the corresponding peak of the “ZIS3 96 wt%” hybrid was centered at 1021.9 eV (Figure 3A) [21]. The observation of a slight peak shift (by about 0.2 eV) toward lower binding energy values suggested an increase of electron density in the vicinity of Zn within the heterostructure. Concerning the XAES data (Figure 3B), the Zn L3M45M45 Auger peak was centered at 989.2 eV. Accurate information about the chemical state of elements within a formula may be extracted by the estimation of a modified Auger parameter (sum of the abovementioned peak maxima values). The value of the Auger parameter was estimated to be 2011.1 eV, which was strongly indicative of Zn2+ ions in the lattice of zinc indium sulfide [30].
Figure 3.
(A) Zn2p XPS core level peaks of neat ZIS3 and “ZIS3 96 wt%” samples; (B) Zn L3M45M45 XAES peaks of neat ZIS3 and “ZIS3 96 wt%” samples; (C) In3d XPS core level peaks of neat ZIS3 and “ZIS3 96 wt%” samples; (D) S2p XPS core level peaks of neat ZIS3 sample.
An analogous slight peak shift of about 0.2 eV was observed for In 3d (Figure 3C). The binding energy of the In 3d5/2 peak was centered at 445.1 eV for neat ZIS3, whereas the corresponding peak of the “ZIS3 96 wt%” hybrid was centered at 444.9eV. The observed binding energy values of the In 3d spectra correspond to the In(III) oxidation state. Similarly, the S 2p spectra demonstrated a doublet with the peak maxima shifted by about 0.2eV (Figure 3D and Figure S5). In total, the observation of a slight peak shift in the Zn 2p, In 3d and S 2p spectra implied that electron transfer took place from CdS to Zn3In2S6 [35]. The recording of a cadmium (Cd 3d) component in the hybrid sample (Figure S6) demonstrated a weak intensity due to the low atomic ratio of the cadmium element. The Cd 3d5/2 peak was centered at 405.3 eV, which strongly supported the existence of divalent cadmium species within the CdS lattice [30].
The vibrational modes of either parent of the heterostructured samples were assessed by Raman spectroscopy. The Raman spectrum of a neat Zn3In2S6 sample is given in Figure 4A. Certain vibrational modes were located in the spectral range of a ~200–420 cm−1 window, within which several peaks were resolved at approximately 250, 304, 345 and 375 cm−1, comprising a broad spectral feature. The spectrum is in perfect analogy with the one of previous works [36,37]. The band at ~250 cm−1 was attributed to the A1g mode of the crystal. The remaining bands above 250 cm−1 were ascribed to a superposition of the vibrations of ZnS and In2S3 species of amorphous-like structures, characterized by defects in the octahedral and tetrahedral cation sublattice.
Figure 4.
(A) Raman spectrum of neat ZIS3; (B) Mapping of “ZIS3 96 wt%” hybrid in three different regions.
Concerning the “ZIS3 96 wt%” heterostructure, optical observation of the grains was performed using an optical microscope fitted with high magnification objectives (50× or 100×). White/pale yellow-colored regions were abundant in the solid sample, whereas orange-colored domains at the size range of a very few micrometers were homogeneously distributed in far lower abundance. Selected Raman spectra were acquired from various spots of the powder sample (Figure 4B). The Raman spectrum of neat Zn3In2S6 was also included for comparison. The Raman spectra of isolated orange-colored grains exhibited very strong resonance Raman bands at 300 cm−1 and 600 cm−1, which are typical of the CdS first order vibrational mode and its overtone. Raman spectra obtained from the abundant white/pale yellow-colored regions exhibited several vibrational modes, which may be assigned to neat Zn3In2S6 (indicated by arrows in the graph), neat CdS as well as sulfur S8 rings (155, 219, 473 cm−1 peaks) and possibly sulfur chains (shoulder at ~460 cm−1) interconnecting Zn/In cations [30,38]. Despite the low mass fraction of the CdS component, the abovementioned doublet was recorded in the white/pale yellow-colored domains of the powdered sample. It is noted that the elemental sulfur adducts demonstrate enhanced intensity due to their strong scattering properties and not due to their appreciable mass fraction. The existence of trace amounts of elemental sulfur adducts was supported by the fact that XPS analysis has not recorded such species.
2.2. Optical Properties and Photocatalytic Performance
Diffuse reflectance spectroscopy (DRS) was used in order to assess the optical properties of the samples studied. In Figure 5A, the reflectance spectrum of neat Zn3In2S6 was illustrated, acquiring a steep absorption edge in the window ranging from approximately 400 to 500 nm. The indirect transition band gap of the neat semiconductor was calculated through the tangent line within the Kubelka–Munk function plot against energy (Figure 5B) [39]. The band gap value was estimated to be 2.74 eV, which corresponds to a visible photon absorbance of about 452 nm energy input. The optical properties of neat CdS revealed a band gap of 2.23 eV [30]. Concerning the “ZIS3 96 wt%” sample, the corresponding DRS and band gap-related data are illustrated in Figure 5C,D. It was apparent that the band gap of the heterostructure was slightly decreased by about 0.08 eV, giving rise to a band excitation energy of about 466 nm.
Figure 5.
Diffuse reflectance spectra and band gap estimation via the Kubelka–Munk function of neat ZIS3 (A,B) and “ZIS3 96 wt%” hybrid (C,D).
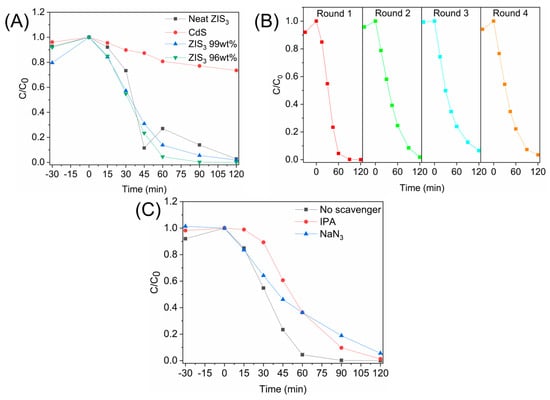
The photocatalytic performance of either pristine or heterostructured materials was assessed by following the photodegradation kinetics of an organic azo-dye, namely Orange G. As described in the Experimental Section, we followed the dye degradation kinetics by carrying out UV–Vis absorption spectroscopy measurements. At certain time intervals, sampling was carried out and monitoring of the dye absorption at λmax = 480 nm took place. In Figure 6A, the decay profiles of the neat semiconductors and two of the most efficient heterostructures are shown. The corresponding curves of the remaining hybrid materials were demonstrated in Figure S7. It was found that ZIS3-enriched hybrids demonstrated enhanced photocatalytic performance for dye degradation when compared with the corresponding CdS-enriched ones. This is in strong accordance with the findings of our previous work [30]. Optimized photocatalytic performance could be achieved by the fabrication of Zn3In2S6@CdS hybrids containing a 4 wt% theoretical content of CdS component. After 60 min of irradiation time, the large majority of dye analyte (95.5% of the starting concentration) was degraded. For comparison, the photocatalytic performance of the studied samples (at Cdye = C0,dye/2) is given in a decreasing order of activity: ZIS3 96 wt% > ZIS3 99 wt% > neat ZIS3 > ZIS3 84 wt% > ZIS3 50 wt% > ZIS3 4 wt% > ZIS3 16 wt% > ZIS3 1 wt% > neat CdS.
Figure 6.
(A) Dye degradation profiles for neat CdS, neat ZIS3, “ZIS3 99 wt%” and “ZIS3 96 wt%” samples; (B) Consecutive cycles of dye photodegradation experiments of the “ZIS3 96 wt%” sample; (C) Scavenging experiments for dye degradation experiments in the presence of “ZIS3 96 wt%” sample.
Treatment of the optimized “ZIS3 96 wt%” hybrid under consecutive photocatalytic cycles has demonstrated the potential of the sample to be reused after the recovery process. In Figure 6B, the dye decay profiles of four (4) consecutive cycles of recovered photocatalyst are shown. A remarkable performance maintenance was observed, with a slight decrease of dye degradation ability at 120 min of irradiation. Specifically, in the third cycle, some slight performance decrease was shown. However, for shorter irradiation times (at t = 60 min), it is noted that the amount of degraded dye was somewhat diminished even in the second cycle. In general, the observed performance alteration could be ascribed to possible physical adsorption phenomena onto the catalytic sites of the heterostructure. The investigation of the potential mechanism leading to the ROS-mediated dye degradation has taken place through the elaboration of photocatalytic experiments in the presence of scavenging species. A partial inhibition of dye degradation was observed by using both isopropanol (hydroxy radical scavenger) and sodium azide. The latter scavenger is responsible for the trapping of both hydroxy radicals and singlet oxygen [40]. Similar decay profiles were recorded for both scavenging species. We thus assumed that the transients responsible for the oxidative degradation of Orange G dye were mainly hydroxy radicals, with singlet oxygen playing a minor role in the whole process.
Taking into account the complementary information received by XPS, DRS and scavenging experiments, one may draw a potential mechanistic scheme of the photocatalytic degradation mechanism. After the excitation step, electrons migrate from the CdS conduction band to the corresponding one of Zn3In2S6. On the other hand, holes migrate from the Zn3In2S6 valence band to the corresponding one of the CdS. Thus, electrons accumulate in the Zn3In2S6 conduction band, whereas holes accumulate in the CdS valence band. The latter catalytic site may participate in both oxidative degradation of organic pollutants as well as the hole-mediated oxidation of water toward hydroxy radical formation. The transient intermediate may subsequently oxidize the azo-dye. However, the observed partial inhibition of degradation in the presence of hydroxy radical scavengers implies that the latter transient intermediate should not be the exclusive factor for theoxidative degradation of dye. The organic pollutant may be further oxidized by transients generated through the oxygen reduction path. The accumulated electrons in the Zn3In2S6 conduction band may participate in the reductive evolution of ROS such as superoxide radicals, H2O2 and hydroxy radicals.
3. Materials and Methods
3.1. Precursor Chemicals
The following reagents and solvents were purchased from Sigma Aldrich (St. Louis, MO, USA) and used as received. These are indium(III) nitrate hydrate In(NO3)3∙6H2O, zinc chloride ZnCl2, thioacetamide CH3CSNH2 (TAA), cadmium chloride CdCl2, thiourea NH2CSNH2, Orange G dye (OG) and methanol.
3.2. Zn3In2S6 (ZIS3) Synthesis
For the synthesis of Zn3In2S6 (ZIS3), a simple hydrothermal method was implemented wherein 636 mg In(NO3)3∙6H2O (2 mmol), 408 mg ZnCl2 (3 mmol) and an excess of TAA (900 mg, 12 mmol) were dissolved in 12 mL of deionized water with the aid of a magnetic stirring mantle for 5 min, followed by ultrasonic treatment for 2 min [25]. Subsequently, the aqueous solution was added into a Teflon-lined stainless-steel autoclave, sealed and heated in the oven for 12 h at 180 °C. After cooling overnight, the resulting suspension was centrifuged at 6000 rpm and washed with deionized water and methanol, two times each. Lastly, the solid precipitate was dried overnight at 90 °C and a yellow powder was obtained.
3.3. CdS Synthesis
For the hydrothermal synthesis of CdS, the protocol of a previous work was adopted and modified [41]. In brief, 242 mg CdCl2 (1.3 mmol) and 100 mg thiourea (1.3 mmol) were dissolved in 12 mL of deionized water with the aid of a magnetic stirring mantle for 5 min, followed by ultrasonic treatment for 2 min. Subsequently, the aqueous solution was added into a Teflon-lined stainless-steel autoclave, sealed and heated in the oven for 12 h at 180 °C. After cooling overnight, the resulting suspension was centrifuged at 6000 rpm and washed with deionized water and methanol, two times each. Lastly, the solid precipitate was dried overnight at 90 °C and an orange powder was obtained.
3.4. Zn3In2S6@CdS Hybrids Synthesis
For the synthesis of Zn3In2S6@CdS hybrids, a similar protocol as the one used in the case of pristine ZIS3 (vide supra) was followed, with the exception of adding appropriate amounts of CdS material with the precursors for ZIS3 growth. In the resulting composite materials, the theoretical weight fractions of the ZIS3 component were 1 wt%, 4 wt%, 16 wt%, 50 wt%, 84 wt%, 96 wt% and 99 wt%, respectively. For simplification purposes, each sample was denoted as “ZIS3 x wt%”, where x represents the nominal weight fraction of the ZIS3 component in the hybrid.
3.5. Characterization Methods
Powder XRD measurements were recorded using a BRUKER AXS (D8 ADVANCE, Billerica, MA, USA) unit, equipped with a Cu X-ray tube. The morphology of the hybrids was assessed by Scanning Electron Microscopy (SEM) imaging (model JSM-6510LV, JEOL, Tokyo, Japan) (UoI microscopy unit).
For the inelastic scattering spectra, the micro-Raman T-64000 system (Horiba, Paris, France) was used. The 514.5 nm wavelength was selected for the excitation of the samples, which were illuminated by means of a laser beam of ~0.1 mW power appropriately focused by a 50x microscope objective. Backscattered radiation was collected by the same objective and was directed to a single spectrograph equipped with a liquid nitrogen cooled CCD detector after passing an edge filter (Horiba, Paris, France). The utilized configuration enabled the recording of Stokes-side vibrational spectra above ~180 cm−1 with a resolution of ~7 cm−1.
The UV–Vis diffuse reflectance spectra (DRS) of the fabricated catalyst (powder) were recorded using a Shimadzu 2600 spectrophotometer bearing an IRS-2600 integrating sphere (Kyoto, Japan) in the wavelength of 200–800 nm at room temperature using BaSO4 (Nacalai Tesque, extra pure reagent, Kyoto, Japan) as a reference sample.
The surface chemical composition of the nanoparticles was measured by X-ray photoelectron spectroscopy (XPS). Samples in powder form were suspended in acetone by sonication and drop casted on ITO substrate (Indium Tin Oxide-coated glass). The analysis was performed in an ultra-high vacuum chamber equipped with a SPECS Phoibos 100 hemispherical analyzer-1D Delay Line Detector (SPECS Surface Nano Analysis, GmbH-Berlin, Germany) and a dual anode Mg/Al X-ray source (SPECS X-ray source RQ 20/63, Berlin, Germany). The spectra were collected with a Mg Kα X-ray source (1253.6 eV) and the data were processed using Specs Lab Prodigy 4.113.1 software. The XPS spectra were calibrated according to the C 1s reference (284.6 eV). The fitting was done using a Shirley background and convoluted with a mixed Gaussian–Lorentzian profile.
3.6. Photocatalytic Activity
In a typical photocatalytic Orange G dye degradation experiment, the solution of Orange G dye was first prepared by diluting an amount of the dye in a volume of deionized water in order to prepare a 0.33 mg/mL Orange G stock solution. Subsequently, 3 mL of the dye solution and 97 mL of deionized water were added in a 250 mL round-bottomed flask and placed into the sonication bath for 5 min. Subsequently, 50 mg of either pristine or hybrid photocatalyst were added into the solution, which was bath-sonicated for another 5 min. The resulting suspension was then transferred into a 250 mL reactor (Lenz, Germany). The reactor was placed in a solar simulator with 2 lamps of 800 W each used as the excitation source, with continuous stirring and a tap water cooling circuit to maintain the temperature around 23 °C. At first, the suspension in the reactor was kept under stirring in the dark for 30 min before irradiation. At specific time intervals (−30, 0, 15, 30, 45, 60, 90 and 120 min), aliquots of 3 mL were taken out of the reactor with a 10 mL syringe, filtered through a 0.22 μm PTFE syringe filter and stored in a glass vial in a dark spot. Lastly, using a spectrophotometer, their absorbance at 480 nm was measured and the relative concertation (C/C0) was plotted against time, through the establishment of a calibration curve.
4. Conclusions
In summary, an efficient noble metal-free Zn3In2S6@CdS photocatalyst with 2D-3D@3D geometry has been successfully synthesized via the hydrothermal method. XPS analysis showed that the electron density around the Zn and In sites in Zn3In2S6 was slightly increased, implying a certain charge migration pattern from the CdS conduction band to the corresponding one of Zn3In2S6. Complementary information by Raman and EDX mapping strongly suggested the homogeneous distribution of ionic metal species in a few-μm domains. Nevertheless, some phase-separation was observed in hybrids with moderate ZIS3 loadings (e.g., 50 wt%). The optimized hybrid photocatalytic reaction with a nominal CdS content of 4 wt% shows the highest azo-dye degradation rate, with most of the analyte being degraded in 60 min. In comparison, CdS-enriched hybrids demonstrated a poor photocatalytic performance. The photocatalytic performance of recovered catalyst was unaltered through up to four cycles. Scavenging experiments suggested that hydroxy radicals were the dominant species for the oxidative degradation of azo-dye. Thus, the significant findings of this study provide new insights into developing highly efficient and noble-metal-free photocatalysts for organic pollutants using an ROS-mediated process.
Supplementary Materials
The following supporting information can be downloaded at: www.mdpi.com/10.3390/molecules30071409/s1, Figure S1: SEM imaging; Figures S2 and S3: EDX mapping; Figures S4–S6: XPS; Figure S7: kinetics.
Author Contributions
A.K.; Formal analysis, Investigation, Writing—original draft N.K.; Writing—original draft L.S.; Validation, Writing—original draft K.S.A.; Validation, Writing—original draft D.T.; Conceptualization, Methodology, Validation, Writing—original draft, Writing—review & editing. All authors have read and agreed to the published version of the manuscript.
Funding
This research received no external funding.
Institutional Review Board Statement
Not applicable.
Informed Consent Statement
Not applicable.
Data Availability Statement
The data presented in this study are available on request from the corresponding author.
Acknowledgments
The group of Ioannis Konstantinou (Univ. Ioannina, Greece) is acknowledged for the DRS measurements.
Conflicts of Interest
The authors declare no competing interests.
References
- Uddin, F. Environmental hazard in textile dyeing wastewater from local textile industry. Cellulose 2021, 28, 10715–10739. [Google Scholar] [CrossRef]
- Deng, Y.; Zhao, R. Advanced Oxidation Processes (AOPs) in Wastewater Treatment. Curr. Pollut. Rep. 2015, 1, 167–176. [Google Scholar] [CrossRef]
- Yang, X.; Wang, D. Photocatalysis: From Fundamental Principles to Materials and Applications. ACS Appl. Energy Mater. 2018, 1, 6657–6693. [Google Scholar] [CrossRef]
- Khodja, A.A.; Sehili, T.; Pilichowski, J.-F.; Boule, P. Photocatalytic degradation of 2-phenylphenol on TiO2 and ZnO in aqueous suspensions. J. Photochem. Photobiol. A Chem. 2001, 141, 231–239. [Google Scholar] [CrossRef]
- Guan, G.; Kida, T.; Kusakabe, K.; Kimura, K.; Fang, X.; Ma, T.; Abe, E.; Yoshida, A. Photocatalytic H2 evolution under visible light irradiation on CdS/ETS-4 composite. Chem. Phys. Lett. 2004, 385, 319–322. [Google Scholar] [CrossRef]
- Li, Q.; Guo, B.; Yu, J.; Ran, J.; Zhang, B.; Yan, H.; Gong, J.R. Highly Efficient Visible-Light-Driven Photocatalytic Hydrogen Production of CdS-Cluster-Decorated Graphene Nanosheets. J. Am. Chem. Soc. 2011, 133, 10878–10884. [Google Scholar] [CrossRef] [PubMed]
- Shen, S.; Zhao, L.; Guo, L. ZnmIn2S3+m (m = 1–5, integer): A new series of visiblelight-driven photocatalysts for splitting water to hydrogen. Int. J. Hydrogen Energy 2010, 35, 10148–10154. [Google Scholar] [CrossRef]
- Pan, Y.; Yuan, X.; Jiang, L.; Yu, H.; Zhang, J.; Wang, H.; Guan, R.; Zeng, G. Recent advances in synthesis, modification and photocatalytic applications of micro/nano-structured zinc indium sulfide. Chem. Eng. J. 2018, 354, 407–431. [Google Scholar]
- Wu, Y.; Wang, H.; Tu, W.; Wu, S.; Chew, J.W. Effects of composition faults in ternary metal chalcogenides (ZnxIn2S3+x, x = 1–5) layered crystals for visible-light-driven catalytic hydrogen generation and carbon dioxide reduction. Appl. Catal. B Environ. 2019, 256, 117810. [Google Scholar]
- Han, H.; Yang, Y.; Liu, J.; Zheng, X.; Wang, X.; Meng, S.; Zhang, S.; Fu, X.; Chen, S. Effect of Zn Vacancies in Zn3In2S6 Nanosheets on Boosting Photocatalytic N2 Fixation. ACS Appl. Energy Mater. 2020, 3, 11275–11284. [Google Scholar] [CrossRef]
- Du, Z.; Gong, K.; Yu, Z.; Yang, Y.; Wang, P.; Zheng, X.; Wang, Z.; Zhang, S.; Chen, S.; Meng, S. Photoredox Coupling of CO2 Reduction with Benzyl Alcohol Oxidation over Ternary Metal Chalcogenides (ZnmIn2S3+m, m = 1–5) with Regulable Products Selectivity. Molecules 2021, 28, 6553. [Google Scholar] [CrossRef] [PubMed]
- Gunawan, D.; Yuwono, J.A.; Kumar, P.V.; Kaleem, A.; Nielsen, M.P.; Tayebjee, M.J.Y.; Oppong-Antwi, L.; Wen, H.; Kuschnerus, I.; Chang, S.L.Y.; et al. Unraveling the structure-activity-selectivity relationships in furfuryl alcohol photoreforming to H2 and hydrofuroin over ZnxIn2S3+x photocatalysts. Appl. Catal. B Environ. 2023, 335, 122880. [Google Scholar] [CrossRef]
- Luo, J.; Wei, X.; Qiao, Y.; Wu, C.; Li, L.; Chen, L.; Shi, J. Photoredox-Promoted Co-Production of Dihydroisoquinoline and H2O2 over Defective Zn3In2S6. Adv. Mater. 2023, 35, 2210110. [Google Scholar] [CrossRef] [PubMed]
- Chen, B.; Wang, Y.; Shen, S.; Zhong, W.; Lu, H.; Pan, Y. Lattice Defects and Electronic Modulation of Flower-Like Zn3In2S6 Promote Photocatalytic Degradation of Multiple Antibiotics. Small Methods 2024, 8, 2301598. [Google Scholar] [CrossRef]
- Meng, S.; Cui, Y.; Wang, H.; Zheng, X.; Fu, X.; Chen, S. Noble metal-free 0D-1D NiSx/CdS nanocomposite toward highly photocatalytic contaminations removal and hydrogen evolution under visible light. Dalton Trans. 2018, 47, 12671–12683. [Google Scholar] [CrossRef]
- Duan, S.; Zhang, S.; Chang, S.; Meng, S.; Fan, Y.; Zheng, X.; Chen, S. Efficient photocatalytic hydrogen production from formic acid on inexpensive and stable phosphide/Zn3In2S6 composite photocatalysts under mild conditions. Int. J. Hydrogen Energy 2019, 44, 21803–21820. [Google Scholar] [CrossRef]
- Meng, S.; Wu, H.; Cui, Y.; Zheng, X.; Wang, H.; Chen, S.; Wang, Y.; Fu, X. One-step synthesis of 2D/2D-3D NiS/Zn3In2S6 hierarchical structure toward solar-to-chemical energy transformation of biomass-relevant alcohols. Appl. Catal. B Environ. 2020, 266, 118617. [Google Scholar] [CrossRef]
- Liu, T.; Xiong, Y.; Wang, X.; Xue, Y.; Liu, W.; Tian, J. Dual cocatalysts and vacancy strategies for enhancing photocatalytic hydrogen production activity of Zn3In2S6 nanosheets with an apparent quantum efficiency of 66.20%. J. Colloid Interface Sci. 2023, 640, 31–40. [Google Scholar] [CrossRef]
- Li, Y.; Li, H.; Li, S.; Li, M.; He, P.; Xiao, Y.; Chen, J.; Zhou, Y.; Ren, T. Boosting the photocatalytic hydrogen evolution performance by fabricating the NiO/Zn3In2S6 p-n heterojunction. Appl. Surf. Sci. 2024, 642, 158622. [Google Scholar] [CrossRef]
- Luan, W.; Yan, Y.; Wang, J.; Zong, Y.; Zhao, R.; Han, J.; Wang, L. Fabrication of In-doped CdSe/Zn3In2S6 type II heterojunction composite for efficient photocatalytic hydrogen evolution. Sep. Purif. Technol. 2025, 356, 129907. [Google Scholar] [CrossRef]
- She, H.; Wang, Y.; Zhou, H.; Li, Y.; Wang, L.; Huang, J.; Wang, Q. Preparation of Zn3In2S6/TiO2 for Enhanced CO2 Photocatalytic Reduction Activity Via Z-scheme Electron Transfer. ChemCatChem 2019, 11, 753–759. [Google Scholar] [CrossRef]
- Wang, D.; Xua, Y.; Jing, L.; Xie, M.; Song, Y.; Xu, H.; Li, H.; Xie, J. In situ construction efficient visible-light-driven three-dimensional Polypyrrole/Zn3In2S6 nanoflower to systematically explore the photoreduction of Cr(VI): Performance, factors and mechanism. J. Hazard. Mater. 2020, 384, 121480. [Google Scholar]
- Fan, Q.-Q.; Niu, C.-G.; Guo, H.; Huang, D.-W.; Dong, Z.-T.; Yang, Y.-Y.; Liu, H.-Y.; Li, L.; Qin, M.-Z. Insights into the role of reactive oxygen species in photocatalytic H2O2 generation and OTC removal over a novel BN/Zn3In2S6 heterojunction. J. Hazard. Mater. 2022, 438, 129483. [Google Scholar]
- Meng, S.; Ye, X.; Zhang, J.; Fu, X.; Chen, S. Effective use of photogenerated electrons and holes in a system: Photocatalytic selective oxidation of aromatic alcohols to aldehydes and hydrogen production. J. Catal. 2018, 367, 159–170. [Google Scholar] [CrossRef]
- Wu, Y.; Wang, H.; Tu, W.; Liu, Y.; Wu, S.; Tan, Y.Z.; Chew, J.W. Construction of hierarchical 2D-2D Zn3In2S6/fluorinated polymeric carbon nitride nanosheets photocatalyst for boosting photocatalytic degradation and hydrogen production performance. Appl. Catal. B Environ. 2018, 233, 58–69. [Google Scholar] [CrossRef]
- Sun, J.; Hou, Y.; Yu, Z.; Tu, L.; Yan, Y.; Qin, S.; Chen, S.; Lan, D.; Zhu, H.; Wang, S. Visible-light-driven Z-scheme Zn3In2S6/AgBr photocatalyst for boosting simultaneous Cr (VI) reduction and metronidazole oxidation: Kinetics, degradation pathways and mechanism. J. Hazard. Mater. 2021, 419, 126543. [Google Scholar] [CrossRef]
- Wang, C.; Liu, H.; Wang, G.; Fang, H.; Yuan, X.; Lu, C. Photocatalytic removal of metronidazole and Cr (VI) by a novel Zn3In2S6/ Bi2O3 S-scheme heterojunction: Performance, mechanism insight and toxicity assessment. Chem. Eng. J. 2022, 450, 138167. [Google Scholar]
- Yang, L.; Li, A.; Dang, T.; Wang, Y.; Liang, L.; Tang, J.; Cui, Y.; Zhang, Z. S-scheme In2S3/Zn3In2S6 microsphere for efficient photocatalytic H2 evolution with simultaneous photodegradation of bisphenol A. Appl. Surf. Sci. 2023, 612, 155848. [Google Scholar] [CrossRef]
- Wang, H.; Li, M.; You, Z.; Chen, Y.; Liu, Y. An innovative Zn3In2S6/ZnIn2S4 homojunction photocatalyst with enhanced interfacial charge transfer for the highly efficient degradation of tetracycline under visible radiation. J. Environ. Manag. 2024, 365, 121605. [Google Scholar]
- Karamoschos, N.; Katsamitros, A.; Sygellou, L.; Andrikopoulos, K.S.; Tasis, D. Composition-Regulated Photocatalytic Activity of ZnIn2S4@CdS Hybrids for Efficient Dye Degradation and H2O2 Evolution. Molecules 2024, 29, 3857. [Google Scholar] [CrossRef]
- Guo, F.; Sun, H.; Shi, Y.; Zhou, F.; Shi, W. CdS nanoparticles decorated hexagonal Fe2O3 nanosheets with a Z-scheme photogenerated electron transfer path for improved visible-light photocatalytic hydrogen production. Chin. J. Chem. Eng. 2022, 43, 266–274. [Google Scholar]
- Fu, W.; Li, N.; Shi, M.; Zhao, G.; Zhang, S.; Yin, F.; Ma, J. Zn3In2S6 hollow nanoflower with sulfur vacancies: Efficient photocatalytic co-production of H2O2 and benzaldehyde. Sep. Purif. Technol. 2025, 360, 131192. [Google Scholar]
- Ji, X.; Guo, R.; Lin, Z.; Hong, L.; Yuan, Y.; Pan, W. A NiS co-catalyst decorated Zn3In2S6/g-C3N4 type-II ball-flower-like nanosphere heterojunction for efficient photocatalytic hydrogen production. Dalton Trans. 2021, 50, 11249–11258. [Google Scholar]
- Wang, Y.; Gao, T.; Li, R.; Luo, W.; Xie, Y.; Wang, Y.; Zhang, Y. Layered deposited MoS2 nanosheets on acorn leaf like CdS as an efficient anti-photocorrosion photocatalyst for hydrogen production. Fuel 2024, 368, 131621. [Google Scholar]
- Ruan, X.; Zhao, S.; Xu, M.; Meng, D.; Jiang, Z.; Jin, S.; Cui, X.; Ravi, S.K. Iso-Elemental ZnIn2S4/Zn3In2S6 Heterojunction with Low Contact Energy Barrier Boosts Artificial Photosynthesis of Hydrogen Peroxide. Adv. Energy Mater. 2024, 14, 2401744. [Google Scholar]
- Jing, L.; Xie, M.; Xu, Y.; Tong, C.; Li, H.; Gates, I.D.; Hu, J. Multifunctional 3D MoSx/Zn3In2S6 nanoflower for selective photothermal-catalytic biomass oxidative and non-selective organic pollutants degradation. Appl. Catal. B Environ. 2022, 318, 121814. [Google Scholar]
- Razzetti, C.; Lottici, P.P.; Bini, S.; Curti, M. Raman Scattering in nZnS-In2S3 Layered Compounds. Phys. Status Solidi (b) 1993, 177, 525. [Google Scholar]
- Kalampounias, A.G.; Andrikopoulos, K.S.; Yannopoulos, S.N. Probing the sulfur polymerization transition in situ with Raman spectroscopy. J. Chem. Phys. 2003, 118, 8460–8467. [Google Scholar]
- Liang, Y.; Xiong, J.; Yang, Q.; Wang, S. Bagasse cellulose-based S-type Bi2O3/Zn3In2S6 photocatalyst for efficient and stable degradation of 2,4-dichlorophenol under visible light. J. Colloid Interface Sci. 2023, 651, 976–986. [Google Scholar]
- Paraschoudi, E.N.; Bairamis, F.; Sygellou, L.; Andrikopoulos, K.S.; Konstantinou, I.; Tasis, D. Construction of Pd-Co-Doped CdS Heterojunctions as Efficient Platforms in Photocatalysis. Chem. Eur. J. 2023, 29, e202300568. [Google Scholar]
- Yuvaraj, S.; Fernandez, A.C.; Sundararajan, M.; Dash, C.S.; Sakthivel, P. Hydrothermal synthesis of ZnO–CdS nanocomposites: Structural, optical and electrical behavior. Ceram. Int. 2020, 46, 391–402. [Google Scholar]
Disclaimer/Publisher’s Note: The statements, opinions and data contained in all publications are solely those of the individual author(s) and contributor(s) and not of MDPI and/or the editor(s). MDPI and/or the editor(s) disclaim responsibility for any injury to people or property resulting from any ideas, methods, instructions or products referred to in the content. |
© 2025 by the authors. Licensee MDPI, Basel, Switzerland. This article is an open access article distributed under the terms and conditions of the Creative Commons Attribution (CC BY) license (https://creativecommons.org/licenses/by/4.0/).





