Concentration-Dependent Photoproduction of Singlet Oxygen by Common Photosensitizers
Abstract
1. Introduction
2. Results
2.1. Optical Properties
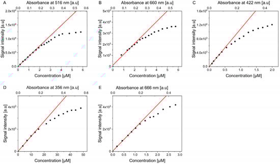
2.2. Singlet Oxygen Phosphorescence vs. Concentration of Photosensitizer
2.3. Singlet Oxygen Quantum Yield vs. The Concentration of Photosensitizer
| Photosensitizer | Solvent | Concentration [μM] | Expected Quantum Yield | Calculated Quantum Yield | Difference [%] |
|---|---|---|---|---|---|
| Eosin Y | D2O-PBS | 0.62 | 0.50 [13] | 0.50 * | - |
| 2.40 | 0.497 | 0.60 | |||
| 3.90 | 0.415 | 17.00 | |||
| D2O | 0.72 | 0.50 * | - | ||
| 2.02 | 0.415 | 17.00 | |||
| 4.15 | 0.323 | 35.40 | |||
| Methylene Blue | D2O-PBS | 1.31 | 0.52 [13,14] | 0.52 * | - |
| 2.48 | 0.425 | 18.27 | |||
| 4.19 | 0.308 | 40.77 | |||
| D2O | 0.63 | 0.52 * | - | ||
| 1.49 | 0.509 | 2.12 | |||
| 2.74 | 0.419 | 19.42 | |||
| Rose Bengal 1 | D2O-PBS | 0.87 1 | 0.76 [13,14] | 0.76 1 | - |
| 1.70 1 | 0.684 1 | 10.00 | |||
| 3.39 1 | 0.586 1 | 22.89 | |||
| TMPyP | D2O-PBS | 0.57 | 0.77 [15] | 0.77 * | - |
| 0.96 | 0.716 | 7.01 | |||
| 2.66 | 0.343 | 55.45 | |||
| Perinaphthenone | THF | 6.43 | 0.98 2 [16] | 0.98 * | - |
| 14.8 | 0.820 | 16.33 | |||
| 32.51 | 0.683 | 30.31 | |||
| ZnPc | THF | 0.55 | 0.53 [17] | 0.53 * | - |
| 1.21 | 0.500 | 5.66 | |||
| 2.47 | 0.370 | 30.19 |
3. Discussion
4. Materials and Methods
4.1. Materials
4.2. Sample Preparation
4.3. Direct Time-Resolved Singlet Oxygen Phosphorescence
4.4. Laser-Flash Photolysis
Supplementary Materials
Author Contributions
Funding
Institutional Review Board Statement
Informed Consent Statement
Data Availability Statement
Conflicts of Interest
Abbreviations
| D2O | Deuterium oxide, heavy water |
| MB | Methylene Blue |
| PBS-D2O | Phosphate buffered saline-deuterium oxide |
| PN | Perinaphthenone |
| RB | Rose Bengal |
| THF | Tetrahydrofuran |
| TMPyP | 5,10,15,20-Tetrakis(1-methyl-4-pyridinio)porphyrin-tetra(p-toluenesulfonate) |
| UV–Vis | Ultraviolet–visible range of electromagnetic radiation |
| ZnPc | Zinc phthalocyanine |
References
- Bresolí-Obach, R.; Torra, J.; Zanocco, R.P.; Zanocco, A.L.; Nonell, S. Singlet Oxygen Quantum Yield Determination Using Chemical Acceptors. Methods Mol. Biol. 2021, 2202, 165–188. [Google Scholar] [CrossRef] [PubMed]
- Lutkus, L.V.; Rickenbach, S.S.; McCormick, T.M. Singlet Oxygen Quantum Yields Determined by Oxygen Consumption. J. Photochem. Photobiol. A Chem. 2019, 378, 131–135. [Google Scholar] [CrossRef]
- Xu, D.; Neckers, D.C. Aggregation of Rose Bengal Molecules in Solution. J. Photochem. Photobiol. A Chem. 1987, 40, 361–370. [Google Scholar] [CrossRef]
- Ji, C.; Lai, L.; Li, P.; Wu, Z.; Cheng, W.; Yin, M. Organic Dye Assemblies with Aggregation-Induced Photophysical Changes and Their Bio-Applications. Aggregate 2021, 2, e39. [Google Scholar] [CrossRef]
- Mokrzyński, K.; Szewczyk, G. The (Un)Known Issue with Using Rose Bengal as a Standard of Singlet Oxygen Photoproduction. Photochem. Photobiol. 2024. online ahead of print. [Google Scholar] [CrossRef]
- Li, Z.; Xie, H.; Shi, H.; Chen, H.; Gao, Y. Photosensitizers Dispersed on Nanosized Triterpenoid Matrix with Deaggregation-Enhanced Singlet Oxygen Production. ACS Appl. Mater. Interfaces 2023, 15, 4973–4983. [Google Scholar] [CrossRef]
- Vara, J.; Gualdesi, M.S.; Bertolotti, S.G.; Ortiz, C.S. Two Phenothiazine Dyes as Photosensitizers for the Production of Singlet Oxygen. Photophysics, Photochemistry and Effects of Aggregation. J. Mol. Struct. 2019, 1181, 1–7. [Google Scholar] [CrossRef]
- Hirakawa, K.; Hirano, T.; Nishimura, Y.; Arai, T.; Nosaka, Y. Dynamics of Singlet Oxygen Generation by DNA-Binding Photosensitizers. J. Phys. Chem. B 2012, 116, 3037–3044. [Google Scholar] [CrossRef]
- Wu, W.; Mao, D.; Xu, S.; Panahandeh-Fard, M.; Duan, Y.; Hu, F.; Kong, D.; Liu, B. Precise Molecular Engineering of Photosensitizers with Aggregation-Induced Emission over 800 nm for Photodynamic Therapy. Adv. Funct. Mater. 2019, 29, 1901791. [Google Scholar] [CrossRef]
- Tavakkoli Yaraki, M.; Hu, F.; Daqiqeh Rezaei, S.; Liu, B.; Tan, Y.N. Metal-Enhancement Study of Dual Functional Photosensitizers with Aggregation-Induced Emission and Singlet Oxygen Generation. Nanoscale Adv. 2020, 2, 2859–2869. [Google Scholar] [CrossRef]
- Tsuneda, T.; Taketsugu, T. Singlet Fission Initiating Organic Photosensitizations. Sci Rep 2024, 14, 829. [Google Scholar] [CrossRef] [PubMed]
- Dědic, R.; Vyklický, V.; Svoboda, A.; Hála, J. Phosphorescence of Singlet Oxygen and 5,10,15,20-Tetrakis(1-Methyl-4-Pyridinio)Porphine: Time and Spectral-Resolved Study. J. Mol. Struct. 2009, 924–926, 153–156. [Google Scholar] [CrossRef]
- Redmond, R.W.; Gamlin, J.N. A Compilation of Singlet Oxygen Yields from Biologically Relevant Molecules. Photochem. Photobiol. 1999, 70, 391–475. [Google Scholar] [CrossRef]
- Wilkinson, F.; Helman, W.P.; Ross, A.B. Quantum Yields for the Photosensitized Formation of the Lowest Electronically Excited Singlet State of Molecular Oxygen in Solution. J. Phys. Chem. Ref. Data 1993, 22, 113–262. [Google Scholar] [CrossRef]
- Snyder, J.W.; Lambert, J.D.C.; Ogilby, P.R. 5,10,15,20-Tetrakis(N-Methyl-4-Pyridyl)-21 H,23H-Porphine (TMPyP) as a Sensitizer for Singlet Oxygen Imaging in Cells: Characterizing the Irradiation-Dependent Behavior of TMPyP in a Single Cell. Photochem. Photobiol. 2006, 82, 177–184. [Google Scholar] [CrossRef]
- Schmidt, R.; Tanielian, C.; Dunsbach, R.; Wolff, C. Phenalenone, a Universal Reference Compound for the Determination of Quantum Yields of Singlet Oxygen O2(1Δg) Sensitization. J. Photochem. Photobiol. A Chem. 1994, 79, 11–17. [Google Scholar] [CrossRef]
- Tayfuroglu, O.; Yasa Atmaca, G.; Erdogmus, A. Novel Peripherally Substituted Zinc Phthalocyanine: Synthesis, Characterization, Investigation of Photophysicochemical Properties and Theoretical Study. J. Coord. Chem. 2017, 70, 3095–3109. [Google Scholar] [CrossRef]
- Espeche Turbay, M.B.; Rey, V.; Argañaraz, N.M.; Morán Vieyra, F.E.; Aspée, A.; Lissi, E.A.; Borsarelli, C.D. Effect of Dye Localization and Self-Interactions on the Photosensitized Generation of Singlet Oxygen by Rose Bengal Bound to Bovine Serum Albumin. J. Photochem. Photobiol. B Biol. 2014, 141, 275–282. [Google Scholar] [CrossRef]
- Handa, T.; Ichihashi, C.; Yamamoto, I.; Nakagaki, M. The Location and Microenvironment of Dimerizing Cationic Dyes in Lipid Membranes as Studied by Means of Their Absorption Spectra. Bull. Chem. Soc. Jpn. 1983, 56, 2548–2554. [Google Scholar] [CrossRef]
- Gong, L.; Jang, Y.J.; Kim, J.; Kim, S.K. Z-Form DNA Specific Binding Geometry of Zn(II) Meso-Tetrakis(N-Methylpyridinium-4-Yl)Porphyrin Probed by Linear Dichroism Spectroscopy. J. Phys. Chem. B 2012, 116, 9619–9626. [Google Scholar] [CrossRef]
- Mokrzyński, K.; Szewczyk, G. Photoreactivity of Polycyclic Aromatic Hydrocarbons (PAHs) and Their Mechanisms of Phototoxicity against Human Immortalized Keratinocytes (HaCaT). Sci. Total Environ. 2024, 924, 171449. [Google Scholar] [CrossRef] [PubMed]
- Huang, Y.-Y.; Rajda, P.J.; Szewczyk, G.; Bhayana, B.; Chiang, L.Y.; Sarna, T.; Hamblin, M.R. Sodium Nitrite Potentiates Antimicrobial Photodynamic Inactivation: Possible Involvement of Peroxynitrate. Photochem. Photobiol. Sci. 2019, 18, 505–515. [Google Scholar] [CrossRef] [PubMed]




Disclaimer/Publisher’s Note: The statements, opinions and data contained in all publications are solely those of the individual author(s) and contributor(s) and not of MDPI and/or the editor(s). MDPI and/or the editor(s) disclaim responsibility for any injury to people or property resulting from any ideas, methods, instructions or products referred to in the content. |
© 2025 by the authors. Licensee MDPI, Basel, Switzerland. This article is an open access article distributed under the terms and conditions of the Creative Commons Attribution (CC BY) license (https://creativecommons.org/licenses/by/4.0/).
Share and Cite
Szewczyk, G.; Mokrzyński, K. Concentration-Dependent Photoproduction of Singlet Oxygen by Common Photosensitizers. Molecules 2025, 30, 1130. https://doi.org/10.3390/molecules30051130
Szewczyk G, Mokrzyński K. Concentration-Dependent Photoproduction of Singlet Oxygen by Common Photosensitizers. Molecules. 2025; 30(5):1130. https://doi.org/10.3390/molecules30051130
Chicago/Turabian StyleSzewczyk, Grzegorz, and Krystian Mokrzyński. 2025. "Concentration-Dependent Photoproduction of Singlet Oxygen by Common Photosensitizers" Molecules 30, no. 5: 1130. https://doi.org/10.3390/molecules30051130
APA StyleSzewczyk, G., & Mokrzyński, K. (2025). Concentration-Dependent Photoproduction of Singlet Oxygen by Common Photosensitizers. Molecules, 30(5), 1130. https://doi.org/10.3390/molecules30051130

