Elucidating the Mechanism of Coumarin Homodimerization Using 3-Acetylcoumarin Derivatives
Abstract
1. Introduction
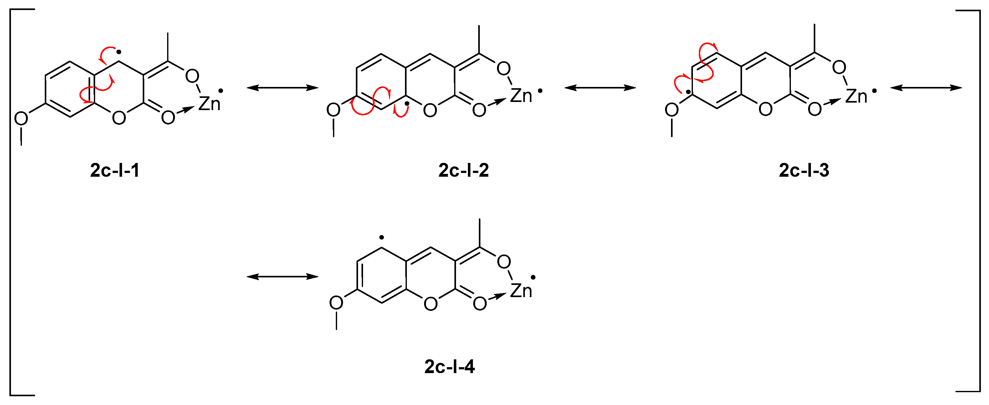
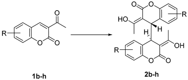
2. Results and Discussion
Structural Characterization of the Compounds
3. Materials and Methods
3.1. General Procedure for the Preparation of Substituted 3,3′-Diacetyl-[4,4′-bichroman]-2,2′-dione
3.2. Computational Details
4. Conclusions
Supplementary Materials
Author Contributions
Funding
Institutional Review Board Statement
Informed Consent Statement
Data Availability Statement
Acknowledgments
Conflicts of Interest
References
- Koleva, A.I.; Petkova-Yankova, N.I.; Nikolova, R.D. Synthesis and Chemical Properties of 3-Phosphono-coumarins and 1,2-Benzoxaphosphorins as Precursors for Bioactive Compounds. Molecules 2019, 24, 2030. [Google Scholar] [CrossRef] [PubMed]
- Mitsiou, V.-P.M.; Antonaki, A.-M.N.; Douka, M.D.; Litinas, K.E. An Overview on the Synthesis of Lamellarins and Related Compounds with Biological Interest. Molecules 2024, 29, 4032. [Google Scholar] [CrossRef] [PubMed]
- Kapidou, E.; Litinas, K.E. An Overview of the Synthesis of 3,4-Fused Pyrrolocoumarins of Biological Interest. Molecules 2024, 29, 2748. [Google Scholar] [CrossRef] [PubMed]
- Rohman, N.; Ardiansah, B.; Wukirsari, T.; Judeh, Z. Recent Trends in the Synthesis and Bioactivity of Coumarin, Coumarin–Chalcone, and Coumarin–Triazole Molecular Hybrids. Molecules 2024, 29, 1026. [Google Scholar] [CrossRef]
- Fernández-Peña, L.; Matos, M.J.; López, E. Recent Advances in Biologically Active Coumarins from Marine Sources: Synthesis and Evaluation. Mar. Drugs 2023, 21, 37. [Google Scholar] [CrossRef]
- Szwaczko, K. Coumarins Synthesis and Transformation via C–H Bond Activation—A Review. Inorganics 2022, 10, 23. [Google Scholar] [CrossRef]
- Lyapchev, R.; Koleva, A.I.; Koleva, I.Z.; Subev, K.; Madzharova, I.; Simeonova, K.B.; Petkova-Yankova, N.; Morgenstern, B.; Lozanova, V.; Petrov, P.Y.; et al. Efficient Synthesis of Fluorescent Coumarins and Phosphorous-Containing Coumarin-Type Heterocycles via Palladium Catalyzed Cross-Coupling Reactions. Molecules 2022, 27, 7649. [Google Scholar] [CrossRef]
- Dalpozzo, R.; Mancuso, R. Copper-Catalyzed Synthesis of Coumarins. A Mini-Review. Catalysts 2021, 11, 1382. [Google Scholar] [CrossRef]
- Thornes, R.D.; Daly, L.; Lynch, G.; Breslin, B.; Browne, H.; Browne, H.Y.; Corrigan, T.; Daly, P.; Edwards, G.; Gaffney, E.; et al. Treatment with coumarin to prevent or delay recurrence of malignant melanoma. J. Cancer Res. Clin. Oncol. 1994, 120, S32–S34. [Google Scholar] [CrossRef]
- Myers, R.B.; Parker, M.; Grizzle, W.E. The effects of coumarin and suramin on the growth of malignant renal and prostatic cell lines. J. Cancer Res. Clin. Oncol. 1994, 120, S11–S13. [Google Scholar] [CrossRef]
- Soto-Nuñez, M.; Díaz-Morales, K.A.; Cuautle-Rodríguez, P.; Torres-Flores, V.; López-González, J.S.; Mandoki-Weitzner, J.J.; Molina-Guarneros, J.A. Single-cell microinjection assay indicates that 7-hydroxycoumarin induces rapid activation of caspase-3 in A549 cancer cells. Exp. Ther. Med. 2015, 10, 1789–1795. [Google Scholar] [CrossRef] [PubMed]
- Balcıoğlu, S.; Karataş, M.O.; Ateş, B.; Alıcı, B.; Özdemir, I. Therapeutic potential of coumarin bearing metal complexes: Where are we headed? Bioorganic Med. Chem. Lett. 2020, 30, 126805. [Google Scholar] [CrossRef] [PubMed]
- Flores-Morales, V.; Villasana-Ruíz, A.P.; Garza-Veloz, I.; González-Delgado, S.; Martinez-Fierro, M.L. Therapeutic Effects of Coumarins with Different Substitution Patterns. Molecules 2023, 28, 2413. [Google Scholar] [CrossRef] [PubMed]
- Singh, A.; Singh, K.; Kaur, K.; Singh, A.; Sharma, A.; Kaur, K.; Kaur, J.; Kaur, G.; Kaur, U.; Kaur, H.; et al. Coumarin as an Elite Scaffold in Anti-Breast Cancer Drug Development: Design Strategies, Mechanistic Insights, and Structure–Activity Relationships. Biomedicines 2024, 12, 1192. [Google Scholar] [CrossRef]
- Koley, M.; Han, J.; Soloshonok, V.A.; Mojumder, S.; Javahershenas, R.; Makarem, A. Latest developments in coumarin-based anticancer agents: Mechanism of action and structure–activity relationship studies. RSC Med. Chem. 2024, 15, 10–54. [Google Scholar] [CrossRef]
- Trommenschlager, A.; Chotard, F.; Bertrand, B.; Amor, S.; Richard, P.; Bettaïeb, A.; Paul, C.; Connat, J.; Gendre, P.L.; Bodio, E. Gold(I)-coumarin-caffeine-based complexes as new potential anti-inflammatory and anticancer trackable agents. Chem. Med. Chem. 2018, 13, 2408–2414. [Google Scholar] [CrossRef]
- Küpeli Akkol, E.; Genç, Y.; Karpuz, B.; Sobarzo-Sánchez, E.; Capasso, R. Coumarins and Coumarin-Related Compounds in Pharmacotherapy of Cancer. Cancers 2020, 12, 1959. [Google Scholar] [CrossRef]
- Todorov, L.T.; Kostova, I.P. Coumarin transition metal complexes with biological activity: Current trends and perspectives. Front. Chem. 2024, 12, 1342772. [Google Scholar] [CrossRef]
- Wang, Y.; Li, Y.; Cao, J.; Yang, X.; Huang, J.; Huang, M.; Gu, S. Research Progress of Fluorescent Probes for Detection of Glutathione (GSH): Fluorophore, Photophysical Properties, Biological Applications. Molecules 2024, 29, 4333. [Google Scholar] [CrossRef]
- Kornicka, A.; Balewski, Ł.; Lahutta, M.; Kokoszka, J. Umbelliferone and Its Synthetic Derivatives as Suitable Molecules for the Development of Agents with Biological Activities: A Review of Their Pharmacological and Therapeutic Potential. Pharmaceuticals 2023, 16, 1732. [Google Scholar] [CrossRef]
- Suleiman, M.; Almalki, F.A.; Ben Hadda, T.; Kawsar, S.M.A.; Chander, S.; Murugesan, S.; Bhat, A.R.; Bogoyavlenskiy, A.; Jamalis, J. Recent Progress in Synthesis, POM Analyses and SAR of Coumarin-Hybrids as Potential Anti-HIV Agents—A Mini Review. Pharmaceuticals 2023, 16, 1538. [Google Scholar] [CrossRef] [PubMed]
- Sharapov, A.D.; Fatykhov, R.F.; Khalymbadzha, I.A.; Zyryanov, G.V.; Chupakhin, O.N.; Tsurkan, M.V. Plant Coumarins with Anti-HIV Activity: Isolation and Mechanisms of Action. Int. J. Mol. Sci. 2023, 24, 2839. [Google Scholar] [CrossRef] [PubMed]
- Feng, D.; Zhang, A.; Yang, Y.; Yang, P. Coumarin-containing hybrids and their antibacterial activities. Arch. Pharm. 2020, 353, e1900380. [Google Scholar] [CrossRef] [PubMed]
- El-Sawy, E.R.; Abdel-Aziz, M.S.; Abdelmegeed, H.; Kirsch, G. Coumarins: Quorum Sensing and Biofilm Formation Inhibition. Molecules 2024, 29, 4534. [Google Scholar] [CrossRef]
- Di Stasi, L.C. Natural Coumarin Derivatives Activating Nrf2 Signaling Pathway as Lead Compounds for the Design and Synthesis of Intestinal Anti-Inflammatory Drugs. Pharmaceuticals 2023, 16, 511. [Google Scholar] [CrossRef]
- Todorov, L.; Saso, L.; Kostova, I. Antioxidant Activity of Coumarins and Their Metal Complexes. Pharmaceuticals 2023, 16, 651. [Google Scholar] [CrossRef]
- Kasperkiewicz, K.; Ponczek, M.B.; Owczarek, J.; Guga, P.; Budzisz, E. Antagonists of Vitamin K—Popular Coumarin Drugs and New Synthetic and Natural Coumarin Derivatives. Molecules 2020, 25, 1465. [Google Scholar] [CrossRef]
- Koleva, A.I.; Petkova-Yankova, N.I.; Nikolova, R.D. Ultrasound-Assisted Metal-Mediated Method for the Formation of Tetrahydro-3,3′-Disubstituted Biscoumarins. Molecules 2018, 23, 2810. [Google Scholar] [CrossRef]
- Simeonova, K.B.; Koleva, A.I.; Zlatanova, A.-M.R.; Petkova-Yankova, N.I.; Aleksandrov, H.A.; Petkov, P.S.; Nikolova, R.D. Experimental and Theoretical Study on the Homodimerization Mechanism of 3-Acetylcoumarin. Molecules 2022, 27, 7228. [Google Scholar] [CrossRef]
- Ilieva, E.D.; Petkova, N.I.; Nikolova, R.D. Ring Opening Reactions of 3-Phosphonocoumarin under Michael Reaction Conditions. Phosphorus Sulfur Silicon 2012, 187, 39–50. [Google Scholar] [CrossRef]
- Bojilova, A.; Kostadinova, T.; Ivanov, C. Allylation-Assisted Addition of Nitromethane to 2H-1-Benzopyran-2-ones Sub-stituted in Position 3. Liebigs Ann. Chem. 1989, 1989, 1041–1043. [Google Scholar] [CrossRef]
- Skarga, V.V.; Matrosov, A.A.; Nichugovskiy, A.I.; Negrebetsky, V.V.; Maslov, M.A.; Boldyrev, I.A.; Malakhov, M.V. pH-Dependent Photoinduced Interconversion of Furocoumaric and Furocoumarinic Acids. Molecules 2021, 26, 2800. [Google Scholar] [CrossRef] [PubMed]
- Secci, D.; Carradori, S.; Bolasco, A.; Chimenti, P.; Yáñez, M.; Ortuso, F.; Alcaro, S. Synthesis and selective human monoamine oxidase inhibition of 3-carbonyl, 3-acyl, and 3-carboxyhydrazido coumarin derivatives. Eur. J. Med. Chem. 2011, 46, 4846–4852. [Google Scholar] [CrossRef]
- Liu, J.; Fengyan Wu, F.; Chen, L.; Zhao, L.; Zhao, Z.; Wang, M.; Lei, S. Biological evaluation of coumarin derivatives as mushroom tyrosinase inhibitors. Food Chem. 2012, 135, 2872–2878. [Google Scholar] [CrossRef]
- Hohenberg, P.; Kohn, W. Inhomogeneous Electron Gas. Phys. Rev. 1964, 136, B864–B871. [Google Scholar] [CrossRef]
- Kohn, W.; Sham, L.J. Self-Consistent Equations Including Exchange and Correlation Effects. Phys. Rev. 1965, 140, A1133–A1138. [Google Scholar] [CrossRef]
- Parr, R.G.; Yang, W. Density-Functional Theory of Atoms and Molecules; Oxford University Press: Oxford, UK, 1989. [Google Scholar]
- Salahub, D.R.; Zerner, M.C. (Eds.) The Challenge of d and f Electrons; ACS: Washington, DC, USA, 1989. [Google Scholar] [CrossRef]
- Frisch, M.J.; Trucks, G.W.; Schlegel, H.B.; Scuseria, G.E.; Robb, M.A.; Cheeseman, J.R.; Scalmani, G.; Barone, V.; Petersson, G.A.; Nakatsuji, H.; et al. Gaussian 16, Revision B.01; Gaussian, Inc.: Wallingford, CT, USA, 2016. [Google Scholar]
- Becke, A.D. Density-functional thermochemistry. III. The role of exact exchange. J. Chem. Phys. 1993, 98, 5648–5652. [Google Scholar] [CrossRef]
- Lee, C.; Yang, W.; Parr, R.G. Development of the Colle-Salvetti correlation-energy formula into a functional of the electron density. Phys. Rev. B 1988, 37, 785–789. [Google Scholar] [CrossRef]
- Vosko, S.H.; Wilk, L.; Nusair, M. Accurate spin-dependent electron liquid correlation energies for local spin density calculations: A critical analysis. Can. J. Phys. 1980, 58, 1200–1211. [Google Scholar] [CrossRef]
- Stephens, P.J.; Devlin, F.J.; Chabalowski, C.F.; Frisch, M.J. Ab Initio Calculation of Vibrational Absorption and Circular Dichroism Spectra Using Density Functional Force Fields. J. Phys. Chem. 1994, 98, 11623–11627. [Google Scholar] [CrossRef]
- Tomasi, J.; Mennucci, B.; Cammi, R. Quantum mechanical continuum solvation models. Chem. Rev. 2005, 105, 2999–3093. [Google Scholar] [CrossRef] [PubMed]




![]() | |||||
| Product | Substituent | Method A * | Method B ** | ||
| Reaction Time, [min] | Yields, [%] | Reaction Time, [min] | Yields, [%] | ||
| 2b | 6-OMe | 30 min | 64% | 60 min | mixture |
| 2c | 7-OMe | 4 d | No reaction | 4 d | No reaction |
| 2d | 8-OMe | 45 min | 91% | 20 min | 42% |
| 2e | 6-Br | 40 min | 72% | 20 min | 64% |
| 2f | 6-Cl | 30 min | 71% | 15–20 min | 55% |
| 2g | 5,6-CH=CH-CH=CH- | 60 min | 22% | 45 min | 37% |
| 2h | 7-Me | 120 min | 82% | - | - |
| Entry | R | Formation of Biradical, [kJ/mol] | ![]() |
| 1 | H | +54 | |
| 2 | 6-Cl | +55 | |
| 3 | 6-OMe | +59 | |
| 4 | 6-NO2 | +48 | |
| 5 | 7-OMe | +70 | |
| 6 | 7-NO2 | +19 | |
| 7 | 7-Et2N | +93 | |
| 8 | 7-Me | +66 | |
| 9 | 8-OMe | +62 |
| Entry | R | NBO Charge at C4 | Δq-C4 | SOMO | ||
|---|---|---|---|---|---|---|
| Initial | Radical | Zn | ||||
| 1 | H | −0.052 | −0.200 | +0.878 | −0.149 | −3.49 |
| 2 | 6-Cl | −0.080 | −0.195 | +0.881 | −0.115 | −4.20 |
| 3 | 6-OMe | −0.064 | −0.199 | +0.877 | −0.135 | −4.06 |
| 4 | 6-NO2 | −0.079 | −0.191 | +0.887 | −0.112 | −4.35 |
| 5 | 7-OMe | −0.057 | −0.209 | +0.878 | −0.152 | −3.87 |
| 6 | 7-NO2 | −0.092 | −0.125 | +0.900 | −0.033 | −4.58 |
| 7 | 7-Et2N | −0.063 | −0.230 | +0.872 | −0.167 | −3.60 |
| 8 | 7-Me | −0.168 | −0.204 | +0.879 | −0.147 | −3.96 |
| 9 | 8-OMe | −0.063 | −0.203 | +0.877 | −0.140 | −4.27 |
| Entry | R | Fukui Indices | ||
|---|---|---|---|---|
| ƒ+ | ƒ− | ƒ0 | ||
| 1 | H | 0.169 | −0.056 | 0.056 |
| 2 | 6-Cl | 0.148 | −0.020 | 0.064 |
| 3 | 6-OMe | 0.163 | −0.026 | 0.069 |
| 4 | 6-NO2 | −0.021 | 0.107 | 0.043 |
| 5 | 7-OMe | 0.177 | −0.080 | 0.049 |
| 6 | 7-NO2 | 0.022 | 0.116 | 0.069 |
| 7 | 7-Et2N | 0.200 | −0.067 | 0.067 |
| 8 | 7-Me | 0.172 | −0.021 | 0.076 |
| 9 | 8-OMe | 0.188 | −0.012 | 0.088 |
| Entry | R | Initial | Radical | Δ | ||
|---|---|---|---|---|---|---|
| α | β | Average | ||||
| 1 | H | −279.001 | −277.460 | −277.259 | −277.359 | 1.641 |
| 2 | 6-Cl | −279.105 | −277.609 | −277.414 | −277.511 | 1.594 |
| 3 | 6-OMe | −278.962 | −277.447 | −277.246 | −277.347 | 1.616 |
| 4 | 6-NO2 | −279.281 | −277.761 | −277.558 | −277.660 | 1.622 |
| 5 | 7-OMe | −278.904 | −277.352 | −277.144 | −277.248 | 1.656 |
| 6 | 7-NO2 | −279.249 | −278.347 | −278.239 | −278.293 | 0.957 |
| 7 | 7-Et2N | −278.663 | −277.180 | −276.974 | −277.077 | 1.586 |
| 8 | 7-Me | −278.946 | −277.395 | −277.192 | −277.293 | 1.653 |
| 9 | 8-OMe | −278.969 | −277.502 | −277.220 | −277.361 | 1.608 |
| Entry | R | Formation of the Product | |||
|---|---|---|---|---|---|
| Equation (1) | Equation (2) | Equation (3) | Equation (4) | ||
| 1 | 6-Cl | −204 | −380 | −291 | −376 |
| 2 | 6-OMe | −219 | −398 | −307 | −394 |
| 3 | 6-NO2 | −192 | −372 | −279 | −366 |
| 4 | 7-OMe | −223 | −398 | −310 | −397 |
| 5 | 7-NO2 | −138 | −309 | −225 | −312 |
| 6 | 7-Et2N | −216 | N/A | −303 | −390 |
| 7 | 8-OMe | −209 | −400 | −296 | −383 |
| 1H NMR | 1H NMR | ||||
|---|---|---|---|---|---|
| Compound | H4, δ [ppm] | =C(R)OH [ppm] | Ratio | H4, δ [ppm] | Ratio |
| (CD3)2CO-d6 | TFA-d | ||||
| 2b | 3.978 | 13.150 | 1:1.3 | 3.964 | 1:1.02 |
| 3.846 | 13.347 | 4.149 | |||
| 2d | 4.023 | 13.244 | 1.18:1 | 3.981 | 1.32:1 |
| 4.175 | 13.413 | 4.138 | |||
| 2e | 4.296 | 13.238 | 6:1 | 4.011 | 3.5:1 |
| 4.234 | 13.305 | 4.099 | |||
| 2f | 4.299 | 13.249 | 5.8:1 | 3.961 | 2.25:1 |
| 4.233 | 13.319 | 3.857 | |||
| 2g | - | - | 4.688 | - | |
| 2h | - | - | 4.029 | 1:1.3 | |
| 3.716 | |||||
Disclaimer/Publisher’s Note: The statements, opinions and data contained in all publications are solely those of the individual author(s) and contributor(s) and not of MDPI and/or the editor(s). MDPI and/or the editor(s) disclaim responsibility for any injury to people or property resulting from any ideas, methods, instructions or products referred to in the content. |
© 2025 by the authors. Licensee MDPI, Basel, Switzerland. This article is an open access article distributed under the terms and conditions of the Creative Commons Attribution (CC BY) license (https://creativecommons.org/licenses/by/4.0/).
Share and Cite
Simeonova, K.B.; Koleva, A.I.; Petkova-Yankova, N.I.; Zlatanova, A.-M.R.; Lozanova, V.; Nikolova, R.D.; Petkov, P.S. Elucidating the Mechanism of Coumarin Homodimerization Using 3-Acetylcoumarin Derivatives. Molecules 2025, 30, 651. https://doi.org/10.3390/molecules30030651
Simeonova KB, Koleva AI, Petkova-Yankova NI, Zlatanova A-MR, Lozanova V, Nikolova RD, Petkov PS. Elucidating the Mechanism of Coumarin Homodimerization Using 3-Acetylcoumarin Derivatives. Molecules. 2025; 30(3):651. https://doi.org/10.3390/molecules30030651
Chicago/Turabian StyleSimeonova, Kristina B., Ana I. Koleva, Nevena I. Petkova-Yankova, Anna-Mariya R. Zlatanova, Vesela Lozanova, Rositca D. Nikolova, and Petko St. Petkov. 2025. "Elucidating the Mechanism of Coumarin Homodimerization Using 3-Acetylcoumarin Derivatives" Molecules 30, no. 3: 651. https://doi.org/10.3390/molecules30030651
APA StyleSimeonova, K. B., Koleva, A. I., Petkova-Yankova, N. I., Zlatanova, A.-M. R., Lozanova, V., Nikolova, R. D., & Petkov, P. S. (2025). Elucidating the Mechanism of Coumarin Homodimerization Using 3-Acetylcoumarin Derivatives. Molecules, 30(3), 651. https://doi.org/10.3390/molecules30030651



