Purification and Biochemical Characterization of Polyphenol Oxidase from Falcaria vulgaris Bernh. †
Abstract
1. Introduction
2. Results and Discussion
2.1. Purification of PPO from Sickleweed
2.2. Native Polyacrylamide Gel Electrophoresis and Sodium Dodecyl Sulfate Polyacrylamide Gel Electrophoresis
2.3. The Optimum pH
2.4. Determination of the Optimum Temperature
2.5. Km and Vmax
2.6. pH Stability
2.7. Thermal Stability
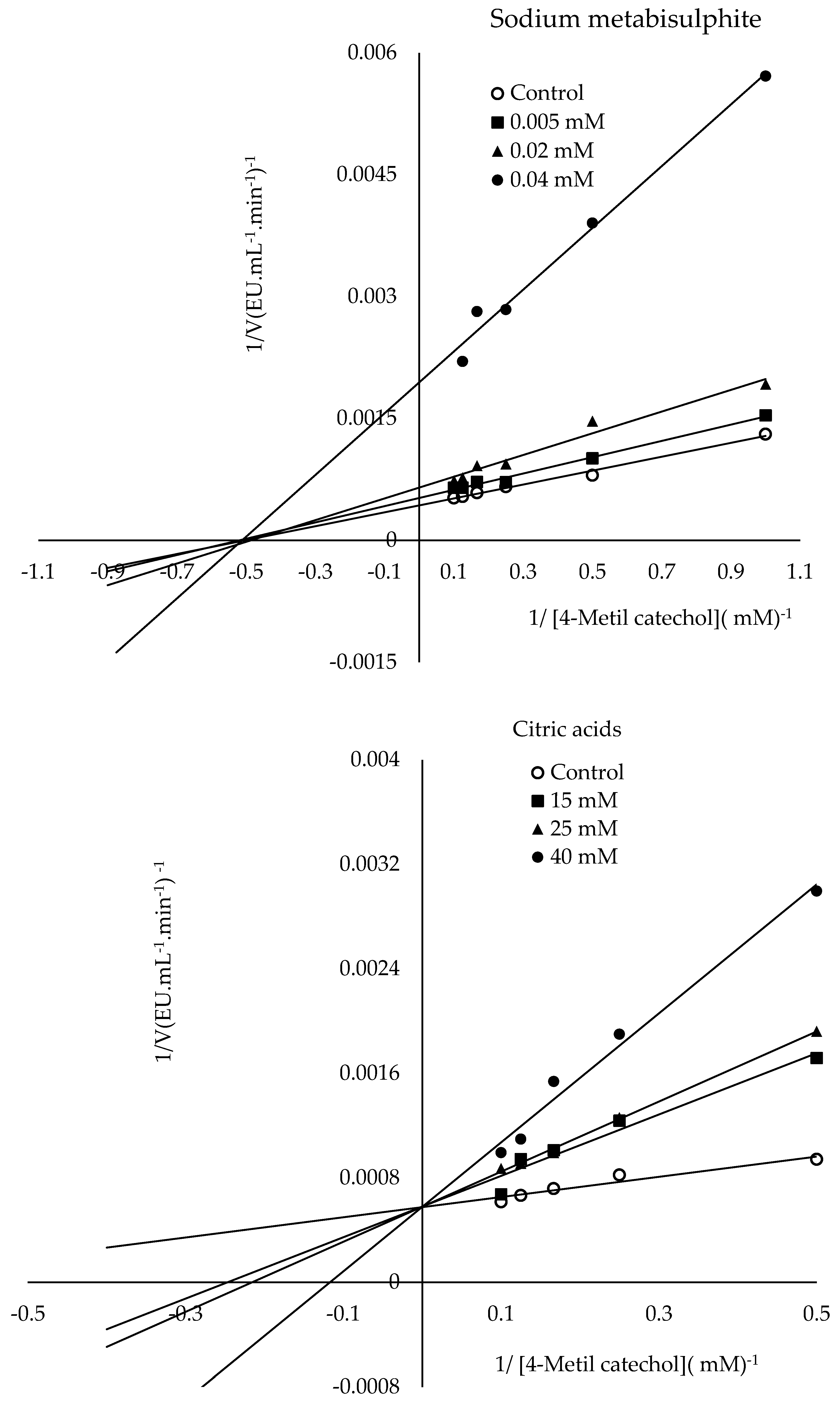
2.8. Inhibition
3. Materials and Methods
3.1. Materials and Chemicals
3.2. Methods
3.2.1. Preparation of the Crude Enzyme Extract
3.2.2. Determination of Polyphenol Oxidase Activity
3.2.3. Purification of Polyphenol Oxidase from Sickleweed
3.2.4. Native-PAGE and SDS-PAGE
3.2.5. Optimum pH
3.2.6. Optimum Temperature
3.2.7. Kinetic Studies
3.2.8. Thermal Stability
3.2.9. pH Stability
3.2.10. Inhibition of PPO
4. Conclusions
Author Contributions
Funding
Institutional Review Board Statement
Informed Consent Statement
Data Availability Statement
Acknowledgments
Conflicts of Interest
Abbreviations
| PPO | Polyphenol oxidase |
| Vmax/Km | Catalytic efficiency ratio |
| L-DOPA | Levodopa |
| DHPPA | 3,4-Dihydroxyphenylpropionic acid |
| Km | Michaelis-Menten constant |
| Vmax | Maximum velocity |
| IC50 | Half maximal inhibitory concentration |
| Ki | Inhibition constant |
| Native-PAGE | Native Polyacrylamide Gel Electrophoresis |
| SDS-PAGE | Sodium Dodecyl Sulfate Polyacrylamide Gel Electrophoresis |
| MBTH | 3-Methyl-2-benzothiazolinone hydrazone |
| DMF | Dimethylformamide |
| Affinity column | Sepharose-4B-l-Tyr-p-amino benzoic acid |
References
- Cakir, E.A. Traditional knowledge of wild edible plants of Igdir Province (East Anatolia, Turkey). Acta Soc. Bot. Pol. 2017, 86, 3568. [Google Scholar] [CrossRef]
- Ozturk, H.I.; Nas, H.; Ekinci, M.; Turan, M.; Ercisli, S.; Narmanlioglu, H.K.; Yildirim, E.; Assouguem, A.; Almeer, R.; Sayed, A.A.; et al. Antioxidant Activity, Phenolic Composition, and Hormone Content of Wild Edible Vegetables. Horticulturae 2022, 8, 427. [Google Scholar] [CrossRef]
- Rahimi, M.; AhmadiAfzadi, M.; Kordrostami, M. Genetic diversity in Sickleweed (Falcaria vulgaris) and using stepwise regression to identify markers associated with traits. Sci. Rep. 2023, 13, 12142. [Google Scholar] [CrossRef] [PubMed]
- Jafari, Z.; Farzaei, M.H.; Morovati, M.R.; Foroughini, A. Potential therapeutic effects of Falcaria vulgaris Bernh: A systematic review. J. Rep. Pharm. Sci. 2022, 11, 18–27. [Google Scholar] [CrossRef]
- Khazaei, M.; Salehi, H. Protective effect of Falcaria vulgaris extract on ethanol induced gastric ulcer in rat. Iran. J. Pharmacol. Ther. 2006, 5, 43–46. [Google Scholar]
- Shafaghat, A. Free radical scavenging and antibacterial activities, and GC/MS analysis of essential oils from different parts of Falcaria vulgaris from two regions. Nat. Prod. Commun. 2010, 5, 981–984. [Google Scholar] [CrossRef] [PubMed]
- Yadegari, M.; Khazaei, M.; Ghorbani, R.; Rezae, M.; Izadi, B.; Sheikholeslam, A. Wound healing effect of Falcaria vulgaris leaves on aspirin-induced gastric ulcer in rats. J. Kermanshah Univ. Med. Sci. 2006, 10, 195–203. [Google Scholar]
- Yadegari, M.; Khazaei, M.; Hamzavi, Y.; Toloei, A.R. Antifertility effects of Falcaria vulgaris in female rat. J. Arak Univ. Med. Sci. 2011, 14, 94–99. [Google Scholar]
- Goudini, A.; Shakibaei, D. Effect of Falcaria vulgaris extract on isolated rat heart. In Proceedings of the Iranıan Congress of Physıology and Pharmacology, Kashan, Iran, 26–30 August 2007; Available online: https://sid.ir/paper/904934/en (accessed on 4 November 2025).
- Hosseini, K.; Jasori, S.; Delazar, A.; Asgharian, P.; Tarhriz, V. Phytochemical analysis and anticancer activity of Falcaria vulgaris Bernh growing in Moghan plain, northwest of Iran. BMC Complement. Med. Ther. 2021, 21, 294. [Google Scholar] [CrossRef]
- Çınar, F.; Aksay, S. Purification and characterization of polyphenol oxidase from myrtle berries (Myrtus communis L.). J. Food Meas. Charact. 2022, 16, 2282–2291. [Google Scholar] [CrossRef]
- Lee, C.Y.; Whitaker, J.R. (Eds.) Enzymatic Browning and Its Prevention; ACS Symposium Series 600; American Chemical Society: Washington, DC, USA, 1995. [Google Scholar]
- Mayer, A.M. Polyphenol oxidases in plants and fungi: Going places? A review. Phytochemistry 2006, 67, 2318–2331. [Google Scholar] [CrossRef]
- Özel, A.; Colak, A.; Arslan, O.; Yildirim, M. Purification and characterisation of a polyphenol oxidase from Boletus erythropus and investigation of its catalytic efficiency in selected organic solvents. Food Chem. 2010, 119, 1044–1049. [Google Scholar] [CrossRef]
- Kolcuoğlu, Y. Purification and comparative characterization of monophenolase and diphenolase activities from a wild edible mushroom (Macrolepiota gracilenta). Process Biochem. 2012, 47, 2449–2454. [Google Scholar] [CrossRef]
- Wu, J.; Gao, J.; Chen, H.; Liu, X.; Cheng, W.; Ma, X.; Tong, P. Purification and characterization of polyphenol oxidase from Agaricus bisporus. Int. J. Food Prop. 2013, 16, 1483–1493. [Google Scholar] [CrossRef]
- McEvily, A.J.; Iyengar, R.; Otwell, W.S. Inhibition of enzymatic browning in foods and beverages. Crit. Rev. Food Sci. Nutr. 1992, 32, 253–273. [Google Scholar] [CrossRef]
- Whitaker, J.R.; Lee, C.Y. Recent Advances in Chemistry of Enzymatic Browning: An Overview; American Chemical Society: Washington, DC, USA, 1995; pp. 2–7. [Google Scholar] [CrossRef]
- Zhou, L.; Liao, T.; Liu, W.; Zou, L.; Liu, C.; Terefe, N.S. Inhibitory effects of organic acids on polyphenol oxidase: From model systems to food systems. Crit. Rev. Food Sci. Nutr. 2020, 60, 3594–3621. [Google Scholar] [CrossRef]
- Zhou, X.; Xiao, Y.; Meng, X.; Liu, B. Full inhibition of Whangkeumbae pear polyphenol oxidase enzymatic browning reaction by L-cysteine. Food Chem. 2018, 266, 1–8. [Google Scholar] [CrossRef]
- Gul Guven, R.; Guven, K.; Matpan Bekler, F.; Acer, O.; Alkan, H.; Dogru, M. Purification and characterization of polyphenol oxidase from purslane. Food Sci. Technol. 2017, 37, 356–362. [Google Scholar] [CrossRef]
- Marri, C.; Frazzoli, A.; Hochkoeppler, A.; Poggi, V. Purification of a polyphenol oxidase isoform from potato (Solanum tuberosum) tubers. Phytochemistry 2003, 63, 745–752. [Google Scholar] [CrossRef] [PubMed]
- Liu, J.W.; Huang, Y.Y.; Ding, J.; Liu, C.; Xiao, X.D.; Ni, D.J. Prokaryotic expression and purification of Camellia sinensis polyphenol oxidase. J. Sci. Food Agric. 2010, 90, 2490–2494. [Google Scholar] [CrossRef]
- Sun, H.J.; Wang, J.; Tao, X.M.; Shi, J.; Huang, M.Y.; Chen, Z. Purification and characterization of polyphenol oxidase from rape flower. J. Agric. Food Chem. 2012, 60, 823–829. [Google Scholar] [CrossRef]
- Peng, X.; Du, C.; Yu, H.; Zhao, X.; Zhang, X.; Wang, X. Purification and characterization of polyphenol oxidase (PPO) from water yam (Dioscorea alata). CyTA-J. Food 2019, 17, 676–684. [Google Scholar] [CrossRef]
- Doğan, S.; Turan, P.; Doğan, M.; Arslan, O.; Alkan, M. Purification and characterization of Ocimum basilicum L. polyphenol oxidase. J. Agric. Food Chem. 2005, 53, 10224–10230. [Google Scholar] [CrossRef] [PubMed]
- Fujita, S.; Han, Y.Z.; Kouno, C.; Matsuo, T.; Yamashita, M.; Haraguchi, Y.; Yang, C.P. Purification and characterization of polyphenol oxidase from edible yam (Dioscorea opposita Thunb.). Food Sci. Technol. Res. 2006, 12, 235–239. [Google Scholar] [CrossRef]
- Warburg, O.; Christian, W. Isolierung und Kristallisation des Gärungsferments Enolase. Naturwissenschaften 1941, 29, 589–590. [Google Scholar] [CrossRef]
- Bradford, M.M. A rapid and sensitive method for the quantitation of microgram quantities of protein utilizing the principle of protein-dye binding. Anal. Biochem. 1976, 72, 248–254. [Google Scholar] [CrossRef]
- Öz, F.; Colak, A.; Özel, A.; Sağlam Ertunga, N.; Sesli, E. Purification and characterization of a mushroom polyphenol oxidase and its activity in organic solvents. J. Food Biochem. 2013, 37, 36–44. [Google Scholar] [CrossRef]
- Faiz, O. Purification and characterization of a polyphenol oxidase from Cimin grape (Vitis vinifera spp., Cimin). Res. J. Biotechnol. 2016, 11, 87–94. [Google Scholar]
- Doğan, S.; Turan, Y.; Ertürk, H.; Arslan, O. Characterization and purification of polyphenol oxidase from artichoke (Cynara scolymus L.). J. Agric. Food Chem. 2005, 53, 776–785. [Google Scholar] [CrossRef]
- Demir, D.; Çağlayan, K.; Eken, C. Polyphenol oxidase activities in Japanese pear (Pyrus pyrifolia (Burm.) Nakai) fruit at different development stages. Biol. Bull. 2023, 50, 1115–1124. [Google Scholar] [CrossRef]
- Kihara, T.; Murata, M.; Homma, S.; Kaneko, S.; Komae, K. Purification and characterization of wheat (Triticum aestivum) polyphenol oxidase. Food Sci. Technol. Res. 2005, 11, 87–94. [Google Scholar] [CrossRef][Green Version]
- Liu, N.N.; Liu, W.; Wang, D.J.; Zhou, Y.B.; Lin, X.J.; Wang, X.; Li, S.B. Purification and partial characterization of polyphenol oxidase from the flower buds of Lonicera japonica Thunb. Food Chem. 2013, 138, 478–483. [Google Scholar] [CrossRef]
- Aksoy, M. A new insight into purification of polyphenol oxidase and inhibition effect of curcumin and quercetin on potato polyphenol oxidase. Protein Expr. Purif. 2020, 171, 105612. [Google Scholar] [CrossRef]
- Arslan, O.; Erzengin, M.; Sinan, S.; Ozensoy, O. Purification of mulberry (Morus alba L.) polyphenol oxidase by affinity chromatography and investigation of its kinetic and electrophoretic properties. Food Chem. 2004, 88, 479–484. [Google Scholar] [CrossRef]
- Gawlik-Dziki, U.; Złotek, U.; Świeca, M. Characterization of polyphenol oxidase from butter lettuce (Lactuca sativa var. capitata L.). Food Chem. 2008, 107, 129–135. [Google Scholar] [CrossRef]
- Kaya, E.D. Biochemical properties of polyphenol oxidase purified from Sarali plum (Prunus domestica). J. Food Meas. Charact. 2024, 18, 6473–6484. [Google Scholar] [CrossRef]
- Öztürk, C.; Aksoy, M.; Küfrevioğlu, Ö.İ. Purification of tea leaf (Camellia sinensis) polyphenol oxidase by using affinity chromatography and investigation of its kinetic properties. J. Food Meas. Charact. 2020, 14, 31–38. [Google Scholar] [CrossRef]
- Benaceur, F.; Chaibi, R.; Berrabah, F.; Neifar, A.; Leboukh, M.; Benaceur, K.; Gargouri, A. Purification and characterization of latent polyphenol oxidase from truffles (Terfezia arenaria). Int. J. Biol. Macromol. 2020, 145, 885–893. [Google Scholar] [CrossRef]
- Gul Guven, R.; Aslan, N.; Guven, K.; Matpan Bekler, F.; Acer, O. Purification and characterization of polyphenol oxidase from corn tassel. Cell. Mol. Biol. 2016, 62, 6–11. [Google Scholar] [CrossRef] [PubMed][Green Version]
- Kolcuoğlu, Y.; Kuyumcu, I.; Colak, A. A catecholase from Laccaria laccata, a wild edible mushroom, and its catalytic efficiency in organic media. J. Food Biochem. 2018, 42, e12605. [Google Scholar] [CrossRef]
- Kaya, E.D.; Bağci, O. Purification and biochemical characterization of polyphenol oxidase extracted from Kirmizi Kismis grape (Vitis vinifera L.). J. Food Biochem. 2021, 45, e13627. [Google Scholar] [CrossRef]
- Huang, J.; Gao, X.; Su, L.; Liu, X.; Guo, L.; Zhang, Z.; Hao, J. Purification, characterization and inactivation kinetics of polyphenol oxidase extracted from Cistanche deserticola. Planta 2023, 257, 85. [Google Scholar] [CrossRef]
- Derardja, A.E.; Pretzler, M.; Kampatsikas, I.; Barkat, M.; Rompel, A. Purification and characterization of latent polyphenol oxidase from apricot (Prunus armeniaca L.). J. Agric. Food Chem. 2017, 65, 8203–8212. [Google Scholar] [CrossRef]
- Özen, A.; Colak, A.; Dincer, B.; Güner, S. A diphenolase from persimmon fruits (Diospyros kaki L., Ebenaceae). Food Chem. 2004, 85, 431–437. [Google Scholar] [CrossRef]
- Doğan, M.; Arslan, O.; Doğan, S. Substrate specificity, heat inactivation and inhibition of polyphenol oxidase from different aubergine cultivars. Int. J. Food Sci. Technol. 2002, 37, 415–423. [Google Scholar] [CrossRef]
- Sarsenova, A.; Demir, D.; Çağlayan, K.; Abiyev, S.; Darbayeva, T.; Eken, C. Purification and properties of polyphenol oxidase of dried Volvariella bombycina. Biology 2022, 12, 53. [Google Scholar] [CrossRef] [PubMed]
- Lin, H.; Ng, A.W.R.; Wong, C.W. Partial purification and characterization of polyphenol oxidase from Chinese parsley (Coriandrum sativum). Food Sci. Biotechnol. 2016, 25, 91–96. [Google Scholar] [CrossRef] [PubMed]
- Dincer, B.; Colak, A.; Aydin, N.; Kadioglu, A.; Güner, S. Characterization of polyphenoloxidase from medlar fruits (Mespilus germanica L., Rosaceae). Food Chem. 2002, 77, 1–7. [Google Scholar] [CrossRef]
- Zaini, N.A.M.; Osman, A.; Hamid, A.A.; Ebrahimpour, A.; Saari, N. Purification and characterization of membrane-bound polyphenoloxidase (mPPO) from Snake fruit [Salacca zalacca (Gaertn.) Voss]. Food Chem. 2013, 136, 407–414. [Google Scholar] [CrossRef]
- Sakıroglu, H.; Yılmaz, E.; Erat, M.; Öztürk, A.E. Selected properties of polyphenol oxidase obtained from Ispir sugar bean. Int. J. Food Prop. 2013, 16, 1314–1321. [Google Scholar] [CrossRef]
- Yang, C.P.; Fujita, S.; Ashrafuzzaman, M.D.; Nakamura, N.; Hayashi, N. Purification and characterization of polyphenol oxidase from banana (Musa sapientum L.) pulp. J. Agric. Food Chem. 2000, 48, 2732–2735. [Google Scholar] [CrossRef]
- Guo, L.; Ma, Y.; Shi, J.; Xue, S. The purification and characterization of polyphenol oxidase from green bean (Phaseolus vulgaris L.). Food Chem. 2009, 117, 143–151. [Google Scholar] [CrossRef]
- Duangmal, K.; Apenten, R.K.O. A comparative study of polyphenoloxidases from taro (Colocasia esculenta) and potato (Solanum tuberosum var. Romano). Food Chem. 1999, 64, 351–359. [Google Scholar] [CrossRef]
- Zhou, L.; Liu, W.; Stockmann, R.; Terefe, N.S. Effect of citric acid and high pressure thermal processing on enzyme activity and related quality attributes of pear puree. Innov. Food Sci. Emerg. Technol. 2018, 45, 196–207. [Google Scholar] [CrossRef]
- Fan, X. Chemical inhibition of polyphenol oxidase and cut surface browning of fresh-cut apples. Crit. Rev. Food Sci. Nutr. 2023, 63, 8737–8751. [Google Scholar] [CrossRef]
- Ali, H.M.; El-Gizawy, A.M.; El-Bassiouny, R.E.; Saleh, M.A. Browning inhibition mechanisms by cysteine, ascorbic acid and citric acid, and identifying PPO-catechol-cysteine reaction products. J. Food Sci. Technol. 2015, 52, 3651–3659. [Google Scholar] [CrossRef]
- Alici, E.H.; Arabaci, G. Purification of polyphenol oxidase from borage (Trachystemon orientalis L.) by using three-phase partitioning and investigation of kinetic properties. Int. J. Biol. Macromol. 2016, 93, 1051–1056. [Google Scholar] [CrossRef]
- Gawlik-Dziki, U.; Szymanowska, U.; Baraniak, B. Characterization of polyphenol oxidase from broccoli (Brassica oleracea var. botrytis italica) florets. Food Chem. 2007, 105, 1047–1053. [Google Scholar] [CrossRef]
- Aydemir, T. Partial purification and characterization of polyphenol oxidase from artichoke (Cynara scolymus L.) heads. Food Chem. 2004, 87, 59–67. [Google Scholar] [CrossRef]
- Espín, J.C.; Morales, M.; Varón, R.; Tudela, J.; Garciacanovas, F. A continuous spectrophotometric method for determining the monophenolase and diphenolase activities of apple polyphenol oxidase. Anal. Biochem. 1995, 231, 237–246. [Google Scholar] [CrossRef] [PubMed]
- Galeazzi, M.A.M.; Sgarbieri, V.C. Substrate specificity and inhibition of polyphenoloxidase (PPO) from a dwarf variety of banana (Musa cavendishii L.). J. Food Sci. 1981, 46, 1404–1406. [Google Scholar] [CrossRef]
- Laemmli, U.K. Cleavage of structural proteins during the assembly of the head of bacteriophage T4. Nature 1970, 227, 680–685. [Google Scholar] [CrossRef] [PubMed]
- Colak, A.; Özen, A.; Dincer, B.; Güner, S.; Ayaz, A.F. Diphenolases from two cultivars of cherry laurel (Laurocerasus officinalis Roem.) fruits at early stage of maturation. Food Chem. 2005, 90, 801–807. [Google Scholar] [CrossRef]
- Lineweaver, H.; Burk, D. The determination of enzyme dissociation constants. J. Am. Chem. Soc. 1934, 56, 658–666. [Google Scholar] [CrossRef]










| Purification Steps | Volume (mL) | Total Activity | Total Protein (mg) | Specific Activity (U/mg Protein) | Yield (%) | Purification Fold |
|---|---|---|---|---|---|---|
| Crude ezyme etract | 4 | 10,417.33 | 5395.03 | 1.93 | 100 | 1 |
| Affinity chromatography | 2 | 2460 | 81.41 | 30.22 | 23.61 | 15.65 |
| Source of Enzyme | Substrate | Km (mM) | Vmax (EU·mL−1·min−1 or μM/min *) | Vmax/Km (EU·mL−1·min−1·mM−1 or min−1 *) | Refs. |
|---|---|---|---|---|---|
| Chinese parsley (Coriandrum sativum) | Catechol | 31 | 2000 | 64.52 | [50] |
| 4-Methylcatechol | 37.43 | 1428.57 | 38.17 | ||
| DHPPA | - | - | - | ||
| Sarali plum (Prunus domestica) | Catechol | 1.16 ± 0.12 | 914.14 ± 83.45 | 790.91 ± 37.34 | [39] |
| 4-Methylcatechol | 4.75 ± 0.66 | 2333.33 ± 288.68 | 492.06 ± 13.75 | ||
| DHPPA | - | - | - | ||
| Butter lettuce (Lactuca sativa var. capitata L.) | Catechol | 3.20 ± 0.01 | 4081 ± 8 | [38] | |
| 4-Methyl catechol | 1.00 ± 0.09 | 5405 ± 4 | |||
| DHPPA | - | - | |||
| Laccaria laccata | Catechol | 0.25 | - | - | [43] |
| 4-Methylcatechol | 0.40 | - | - | ||
| DHPPA | - | - | - | ||
| Medlar PPO | Catechol | 5.7 | 88.0 * | 0.0154 * | [51] |
| 4-Methylcatechol | 7.5 | 130 * | 0.0173 * | ||
| DHPPA | 1.9 | 7.2 * | 0.0038 * | ||
| Persimmon fruits (Diospyros kaki L., Ebenaceae) | Catechol | 12.4 | 55.2 * | 0.0044 * | [47] |
| 4-Methylcatechol | 14.6 | 49.5 * | 0.0034 * | ||
| DHPPA | 12.8 | 17.2 * | 0.0013 * | ||
| Falcaria vulgaris Berhn. | Catechol | 5 | 10,000 | 2000 | The study presented |
| 4-Methylcatechol | 2 | 5000 | 2500 | ||
| DHPPA | 11.43 | 14,285.71 | 1249.84 |
| Enzyme Source | Substrate | Inhibitor | IC50 (mM) | Ki (mM) | İnhibition Type | Refs. |
|---|---|---|---|---|---|---|
| Broccoli (Brassica oleracea var. botrytis italica) florets | 4-Methylcatechol | Ascorbic acid | - | 8.8 × 10−2 | Noncompetitive | [61] |
| Sodium metabisulfite | - | - | - | |||
| Citric acid | - | 7.4 × 10−2 | Noncompetitive | |||
| Tea leaf (Camellia sinensis) | catechol | Ascorbic acid | 69.3 × 10−3 | 32.67 × 10−3 ± 0.016 | Competitive | [40] |
| Sodium metabisulfite | 21.65 × 10−3 | 19.30 × 10−3 ± 0.005 | Noncompetitive | |||
| Citric acid | - | - | - | |||
| Purslane | catechol | Ascorbic acid | - | 0.36 | Noncompetitive | [21] |
| Sodium metabisulfite | - | - | - | |||
| Citric acid | - | 4.47 | Uncompetitive | |||
| Sarali plum | 4-Methylcatechol | Ascorbic acid | 0.038 ± 0.001 | 0.0095 | Competitive | [39] |
| Sodium metabisulfite | - | - | - | |||
| Citric acid | - | - | - | |||
| Falcaria vulgaris Bernh. | 4-Methylcatechol | Ascorbic acid | 0.026 | 0.0101 | Competitive | This study |
| Sodium metabisulfite | 0.027 | 0.0237 | Noncompetitive | |||
| Citric acid | 31.98 | 8.37 | Competitive |
Disclaimer/Publisher’s Note: The statements, opinions and data contained in all publications are solely those of the individual author(s) and contributor(s) and not of MDPI and/or the editor(s). MDPI and/or the editor(s) disclaim responsibility for any injury to people or property resulting from any ideas, methods, instructions or products referred to in the content. |
© 2025 by the authors. Licensee MDPI, Basel, Switzerland. This article is an open access article distributed under the terms and conditions of the Creative Commons Attribution (CC BY) license (https://creativecommons.org/licenses/by/4.0/).
Share and Cite
Atlas Okut, C.B.; Türkhan, A. Purification and Biochemical Characterization of Polyphenol Oxidase from Falcaria vulgaris Bernh. Molecules 2025, 30, 4806. https://doi.org/10.3390/molecules30244806
Atlas Okut CB, Türkhan A. Purification and Biochemical Characterization of Polyphenol Oxidase from Falcaria vulgaris Bernh. Molecules. 2025; 30(24):4806. https://doi.org/10.3390/molecules30244806
Chicago/Turabian StyleAtlas Okut, Ceylan Buse, and Ayşe Türkhan. 2025. "Purification and Biochemical Characterization of Polyphenol Oxidase from Falcaria vulgaris Bernh." Molecules 30, no. 24: 4806. https://doi.org/10.3390/molecules30244806
APA StyleAtlas Okut, C. B., & Türkhan, A. (2025). Purification and Biochemical Characterization of Polyphenol Oxidase from Falcaria vulgaris Bernh. Molecules, 30(24), 4806. https://doi.org/10.3390/molecules30244806

