Rapid, Room-Temperature Synthesis of a Porous Organic Polymer for Highly Effective Removal of Trace Hg(II) from Water
Abstract
1. Introduction
2. Results and Discussion
2.1. Synthesis and Analysis of TpPa-1
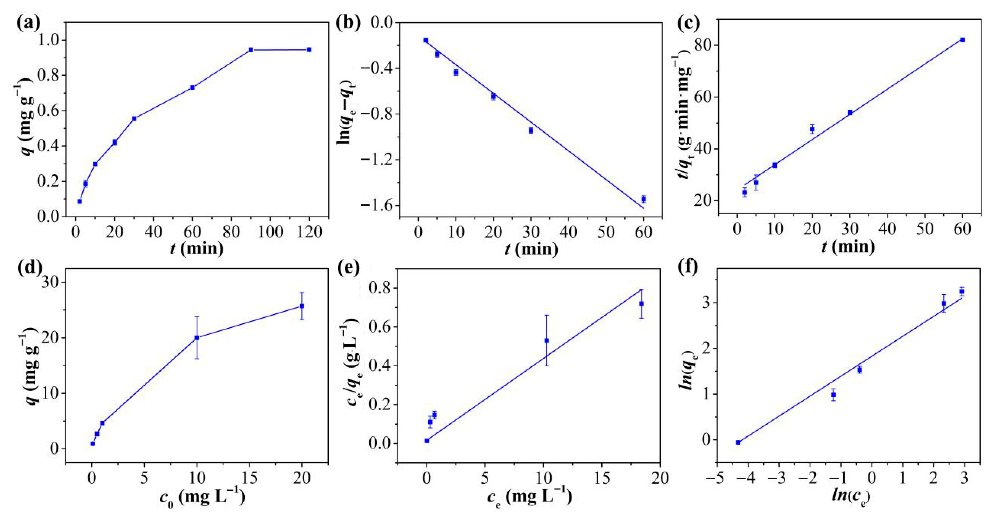
2.2. Adsorption Behavior of TpPa-1
2.2.1. Kinetics
2.2.2. Isotherms
2.2.3. pH
2.3. Adsorption Selectivity
2.4. Possible Mechanism of TpPa-1 Adsorption
2.5. Reusability of TpPa-1
3. Materials and Methods
3.1. Chemicals and Instruments
3.2. Characterization
3.3. Synthesis of TpPa-1
3.4. Assessment of Adsorption
3.5. Adsorption Selectivity Investigation
3.6. TpPa-1 Reuse
4. Conclusions
Supplementary Materials
Author Contributions
Funding
Institutional Review Board Statement
Informed Consent Statement
Data Availability Statement
Conflicts of Interest
Abbreviations
| AFS | Atomic fluorescence spectroscopy |
| BET | Brunauer–Emmett–Teller |
| COFs | Covalent organic frameworks |
| DFT | Density functional theory |
| NMR | Nuclear magnetic resonance |
| Pa-1 | p-Phenylenediamine |
| PFO | Pseudo-first order |
| POPs | Porous organic polymers |
| PSO | Pseudo-second order |
| Sc(OTf)3 | Scandium(III) trifluromethanesulfonate |
| SEM | Scanning electron microscope |
| Tp | 2,4,6-Triformylphloroglucinol |
| TEM | Transmission electron microscope |
| XPS | X-ray photoelectron spectroscopy |
| XRD | X-ray diffraction |
References
- Zhou, L.; Liu, Z.; Liu, J.; Huang, Q. Adsorption of Hg (II) from aqueous solution by ethylenediamine-modified magnetic crosslinking chitosan microspheres. Desalination 2010, 258, 41–47. [Google Scholar] [CrossRef]
- Zavalishin, M.N.; Kiselev, A.N.; Isagulieva, A.K.; Shibaeva, A.V.; Kuzmin, V.A.; Morozov, V.N.; Zevakin, E.A.; Petrova, U.A.; Knyazeva, A.A.; Eroshin, A.V.; et al. Shedding light on heavy metal contamination: Fluorescein-based chemosensor for selective detection of Hg2+ in water. Int. J. Mol. Sci. 2024, 25, 3186. [Google Scholar] [CrossRef] [PubMed]
- Yan, X.; Li, P.; Song, X.; Li, J.; Ren, B.; Gao, S.; Cao, R. Recent progress in the removal of mercury ions from water based MOFs materials. Coord. Chem. Rev. 2021, 443, 214034. [Google Scholar]
- Pavithra, K.G.; SundarRajan, P.; Kumar, P.S.; Rangasamy, G. Mercury sources, contaminations, mercury cycle, detection and treatment techniques: A review. Chemosphere 2023, 312, 137314. [Google Scholar] [CrossRef] [PubMed]
- Lin, G.; Wang, S.; Zhang, L.; Hu, T.; Cheng, S.; Fu, L.; Xiong, C. Enhanced and selective adsorption of Hg2+ to a trace level using trithiocyanuric acid-functionalized corn bract. Environ. Pollut. 2019, 244, 938–946. [Google Scholar]
- Sakai, H.; Matsuoka, S.; Zinchenko, A.A.; Murata, S. Removal of heavy metal ions from aqueous solutions by complexation with DNA and precipitation with cationic surfactant. Colloids Surf. A 2009, 347, 210–214. [Google Scholar]
- Huang, Y.; Du, J.R.; Zhang, Y.; Lawless, D.; Feng, X. Removal of mercury (II) from wastewater by polyvinylamine-enhanced ultrafiltration. Sep. Purif. Technol. 2015, 154, 1–10. [Google Scholar] [CrossRef]
- Fang, L.; Li, L.; Qu, Z.; Xu, H.; Xu, J.; Yan, N. A novel method for the sequential removal and separation of multiple heavy metals from wastewater. J. Hazard. Mater. 2018, 342, 617–624. [Google Scholar] [CrossRef]
- Rani, L.; Srivastav, A.L.; Kaushal, J. Bioremediation: An effective approach of mercury removal from the aqueous solutions. Chemosphere 2021, 280, 130654. [Google Scholar] [CrossRef]
- Pan, F.; Tong, C.; Wang, Z.; Xu, F.; Wang, X.; Weng, B.; Pan, D.; Zhu, R. Novel sulfhydryl functionalized covalent organic frameworks for ultra-trace Hg2+ removal from aqueous solution. J. Mater. Sci. Technol. 2021, 93, 89–95. [Google Scholar]
- Li, R.; Tang, X.; Guo, W.; Lin, L.; Zhao, L.; Hu, Y.; Liu, M. Spatiotemporal distribution dynamics of heavy metals in water, sediment, and zoobenthos in mainstream sections of the middle and lower Changjiang River. Sci. Total Environ. 2020, 714, 136779. [Google Scholar]
- Kumar, V.; Parihar, R.D.; Sharma, A.; Bakshi, P.; Sidhu, G.P.S.; Bali, A.S.; Karaouzas, I.; Bhardwaj, R.; Thukral, A.K.; Gyasi-Agyei, Y.; et al. Global evaluation of heavy metal content in surface water bodies: A meta-analysis using heavy metal pollution indices and multivariate statistical analyses. Chemosphere 2019, 236, 124364. [Google Scholar] [CrossRef]
- Albatrni, H.; Qiblawey, H.; El-Naas, M.H. Comparative study between adsorption and membrane technologies for the removal of mercury. Sep. Purif. Technol. 2021, 257, 117833. [Google Scholar] [CrossRef]
- Fu, Q.; Zhang, T.; Sun, X.; Zhang, S.; Waterhouse, G.I.N.; Sun, C.; Li, H.; Ai, S. Pyridine-based covalent organic framework for efficient and selective removal of Hg(II) from water: Adsorption behavior and adsorption mechanism investigations. Chem. Eng. J. 2023, 454, 140154. [Google Scholar]
- Ma, Z.; Liu, F.; Liu, N.; Liu, W.; Tong, M. Facile synthesis of sulfhydryl modified covalent organic frameworks for high efficient Hg(II) removal from water. J. Hazard. Mater. 2021, 405, 124190. [Google Scholar] [CrossRef] [PubMed]
- Wang, J.; Zhuang, S. Covalent organic frameworks (COFs) for environmental applications. Coord. Chem. Rev. 2019, 400, 213046. [Google Scholar] [CrossRef]
- Wang, Z.; Zhang, S.; Chen, Y.; Zhang, Z.; Ma, S. Covalent organic frameworks for separation applications. Chem. Soc. Rev. 2020, 49, 708–735. [Google Scholar] [CrossRef] [PubMed]
- Wang, L.; Liu, J.; Wang, J.; Zhang, D.; Huang, J. Thiophene-based porphyrin polymers for Mercury (II) efficient removal in aqueous solution. J. Colloid Interface Sci. 2024, 653, 405–412. [Google Scholar] [CrossRef]
- Mohan, B.; Kumar, S.; Virender; Kumar, A.; Kumar, K.; Modi, K.; Jiao, T.; Chen, Q. Analogize of metal-organic frameworks (MOFs) adsorbents functional sites for Hg2+ ions removal. Sep. Purif. Technol. 2022, 297, 121471. [Google Scholar]
- Gendy, E.A.; Ifthikar, J.; Ali, J.; Oyrkunle, D.T.; Elkhlifia, Z.; Shahib, I.I.; Khodair, A.I.; Chen, Z. Removal of heavy metals by covalent organic frameworks (COFs): A review on its mechanism and adsorption properties. J. Environ. Chem. Eng. 2021, 9, 105687. [Google Scholar] [CrossRef]
- Huang, N.; Zhai, L.; Xu, H.; Jiang, D. Stable covalent organic frameworks for exceptional mercury removal from aqueous solutions. J. Am. Chem. Soc. 2017, 139, 2428–2434. [Google Scholar] [CrossRef] [PubMed]
- Sun, Q.; Aguila, B.; Perman, J.; Earl, L.D.; Abney, C.W.; Cheng, Y.; Wei, H.; Nguyen, N.; Wojtas, L.; Ma, S. Postsynthetically modified covalent organic frameworks for efficient and effective mercury removal. J. Am. Chem. Soc. 2017, 139, 2786–2793. [Google Scholar] [CrossRef]
- Cui, W.-R.; Jiang, W.; Zhang, C.-R.; Liang, R.-P.; Liu, J.; Qiu, J.-D. Regenerable carbohydrazide-linked fluorescent covalent organic frameworks for ultrasensitive detection and removal of mercury. ACS Sustain. Chem. Eng. 2020, 8, 445–451. [Google Scholar] [CrossRef]
- Ambaison, F.E.; Ramasamy, S.K.; Natarajan, S.; Venkatesan, G.; Alahmadi, T.A.; Rohini, P.; A, A. A carboethoxy quinoline-derived Schiff base chemosensor: Crystal structure, selective Hg2+ ion detection and its computational study. Environ. Res. 2024, 252, 118983. [Google Scholar]
- Li, X.; Qi, Y.; Yue, G.; Wu, Q.; Li, Y.; Zhang, M.; Guo, X.; Li, X.; Ma, L.; Li, S. Solvent- and catalyst-free synthesis of an azine-linked covalent organic framework and the induced tautomerization in the adsorption of U(VI) and Hg(II). Green Chem. 2019, 21, 649–657. [Google Scholar] [CrossRef]
- Li, Y.; Wang, C.; Ma, S.; Zhang, H.; Ou, J.; Wei, Y.; Ye, M. Fabrication of hydrazone-linked covalent organic frameworks using alkyl amine as building block for high adsorption capacity of metal ions. ACS Appl. Mater. Interfaces 2019, 11, 11706–11714. [Google Scholar] [CrossRef]
- Zhu, R.; Zhang, P.; Zhang, X.; Yang, M.; Zhao, R.; Liu, W.; Li, Z. Fabrication of synergistic sites on an oxygen-rich covalent organic framework for efficient removal of Cd(II) and Pb(II) from water. J. Hazard. Mater. 2022, 424, 127301. [Google Scholar] [PubMed]
- de Greñu, B.D.; Torres, J.; García-González, J.; Muñoz-Pina, S.; de los Reyes, R.; Costero, A.M.; Amorós, P.; Ros-Lis, J.V. Microwave-assisted synthesis of covalent organic frameworks: A review. ChemSusChem 2021, 14, 208–233. [Google Scholar] [CrossRef] [PubMed]
- Liu, G.; Chen, H.; Zhang, W.; Ding, Q.; Wang, J.; Zhang, L. Facile mechanochemistry synthesis of magnetic covalent organic framework composites for efficient extraction of microcystins in lake water samples. Anal. Chim. Acta 2021, 1166, 338539. [Google Scholar] [CrossRef]
- Liu, L.; Meng, W.-K.; Li, L.; Xu, G.-J.; Wang, X.; Chen, L.-Z.; Wang, M.-L.; Lin, J.-M.; Zhao, R.-S. Facile room-temperature synthesis of a spherical mesoporous covalent organic framework for ultrasensitive solid-phase microextraction of phenols prior to gas chromatography-tandem mass spectrometry. Chem. Eng. J. 2019, 369, 920–927. [Google Scholar] [CrossRef]
- Li, J.; Yang, Y.; Ma, W.; Li, G.; Lu, Q.; Lin, Z. One-pot room-temperature synthesis of covalent organic framework-coated superhydrophobic sponges for highly efficient oil-water separation. J. Hazard. Mater. 2021, 411, 125190. [Google Scholar] [CrossRef]
- Li, K.; Luan, T.-X.; Wang, Z.; Wang, J.-R.; Li, P.-Z. Synergistic effect of functionalization and crystallinity in nanoporous organic frameworks for effective removal of metal ions from aqueous solution. ACS Appl. Nano Mater. 2022, 5, 15228–15236. [Google Scholar] [CrossRef]
- Zhong, X.; Liang, W.; Lu, Z.; Hu, B. Highly efficient enrichment mechanism of U(VI) and Eu(III) by covalent organic frameworks with intramolecular hydrogen-bonding from solutions. Appl. Surf. Sci. 2020, 504, 144403. [Google Scholar] [CrossRef]
- Ma, J.; Fu, X.-B.; Li, Y.; Xia, T.; Pan, L.; Yao, Y.-F. Solid-state NMR study of adsorbed water molecules in covalent organic framework materials. Microporous Mesoporous Mater. 2020, 305, 110287. [Google Scholar] [CrossRef]
- Bai, Y.; Yang, J.; Shuai, Q.; Huang, L. Highly efficiency and selective recovery of gold using magnetic covalent organic framework through synergistic adsorption and reduction. Colloids Surf. A 2023, 657, 130593. [Google Scholar] [CrossRef]
- Cheng, Z.; Liu, X.; Han, M.; Ma, W. Adsorption kinetic character of copper ions onto a modified chitosan transparent thin membrane from aqueous solution. J. Hazard. Mater. 2010, 182, 408–415. [Google Scholar] [CrossRef]
- Zhang, D.; Zhang, C.L.; Zhou, P. Preparation of porous nano-calcium titanate microspheres and its adsorption behavior for heavy metal ion in water. J. Hazard. Mater. 2011, 186, 971–977. [Google Scholar] [CrossRef] [PubMed]
- Ma, L.; Wang, Q.; Islam, S.M.; Liu, Y.; Ma, S.; Kanatzidis, M.G. Highly selective and efficient removal of heavy metals by layered double hydroxide intercalated with the MoS42− ion. J. Am. Chem. Soc. 2016, 138, 2858–2866. [Google Scholar] [CrossRef] [PubMed]
- Khojastehnezhad, A.; Moeinpour, F.; Jafari, M.; Shehab, M.K.; Eldouhaibi, A.S.; El-Kaderi, H.M.; Siaj, M. Postsynthetic modification of core-shell magnetic covalent organic frameworks for the selective removal of mercury. ACS Appl. Mater. Interfaces 2023, 15, 28476–28490. [Google Scholar] [CrossRef] [PubMed]
- Wang, J.; Yin, D.; Guo, X.; Luo, Z.; Tao, L.; Ren, J.; Zhang, Y. Fabrication of a covalent organic framework-based heterojunction via coupling with ZnAgInS nanosphere with high photocatalytic activity. Langmuir 2022, 38, 4680–4691. [Google Scholar] [CrossRef]






Disclaimer/Publisher’s Note: The statements, opinions and data contained in all publications are solely those of the individual author(s) and contributor(s) and not of MDPI and/or the editor(s). MDPI and/or the editor(s) disclaim responsibility for any injury to people or property resulting from any ideas, methods, instructions or products referred to in the content. |
© 2025 by the authors. Licensee MDPI, Basel, Switzerland. This article is an open access article distributed under the terms and conditions of the Creative Commons Attribution (CC BY) license (https://creativecommons.org/licenses/by/4.0/).
Share and Cite
Gao, S.; Wan, L.; Wang, F.; Gao, H.; Zhao, F.; Li, N.; Yao, J.; Liu, Y.; Liu, H. Rapid, Room-Temperature Synthesis of a Porous Organic Polymer for Highly Effective Removal of Trace Hg(II) from Water. Molecules 2025, 30, 4635. https://doi.org/10.3390/molecules30234635
Gao S, Wan L, Wang F, Gao H, Zhao F, Li N, Yao J, Liu Y, Liu H. Rapid, Room-Temperature Synthesis of a Porous Organic Polymer for Highly Effective Removal of Trace Hg(II) from Water. Molecules. 2025; 30(23):4635. https://doi.org/10.3390/molecules30234635
Chicago/Turabian StyleGao, Shucai, Libin Wan, Fayun Wang, Haidong Gao, Fanghui Zhao, Na Li, Jingjing Yao, Yeru Liu, and Hongwei Liu. 2025. "Rapid, Room-Temperature Synthesis of a Porous Organic Polymer for Highly Effective Removal of Trace Hg(II) from Water" Molecules 30, no. 23: 4635. https://doi.org/10.3390/molecules30234635
APA StyleGao, S., Wan, L., Wang, F., Gao, H., Zhao, F., Li, N., Yao, J., Liu, Y., & Liu, H. (2025). Rapid, Room-Temperature Synthesis of a Porous Organic Polymer for Highly Effective Removal of Trace Hg(II) from Water. Molecules, 30(23), 4635. https://doi.org/10.3390/molecules30234635

