Design and Synthesis of Structurally Modified Analogs of 24Z-Isomasticadienonic Acid with Enhanced Anti-Proliferative Activity
Abstract
1. Introduction
2. Results and Discussion
2.1. Chemistry
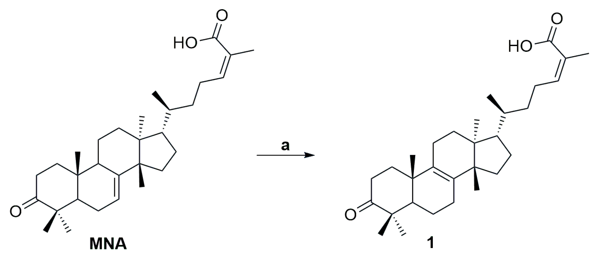
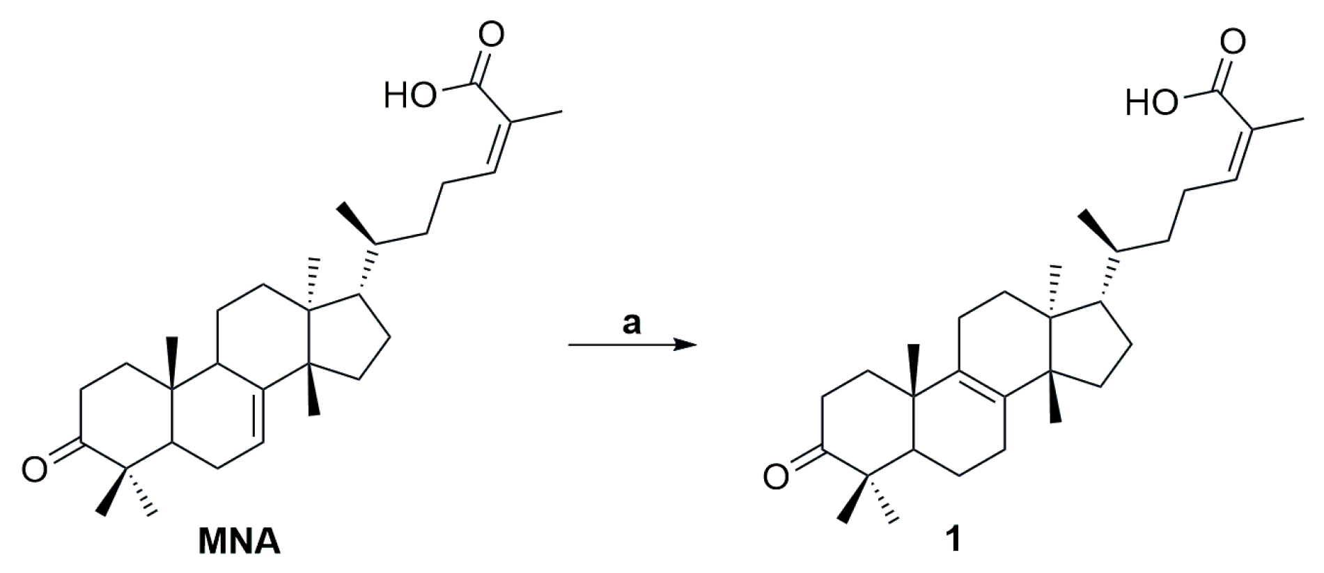
2.1.1. Semi-Synthesis of 24Z-Isomasticadienonic Acid (1)
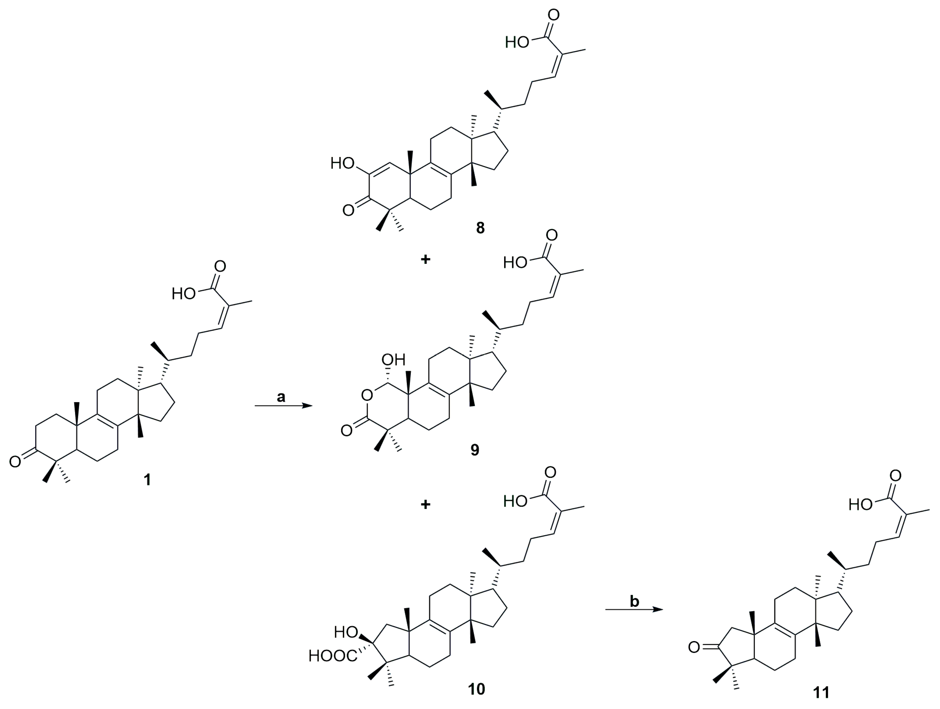
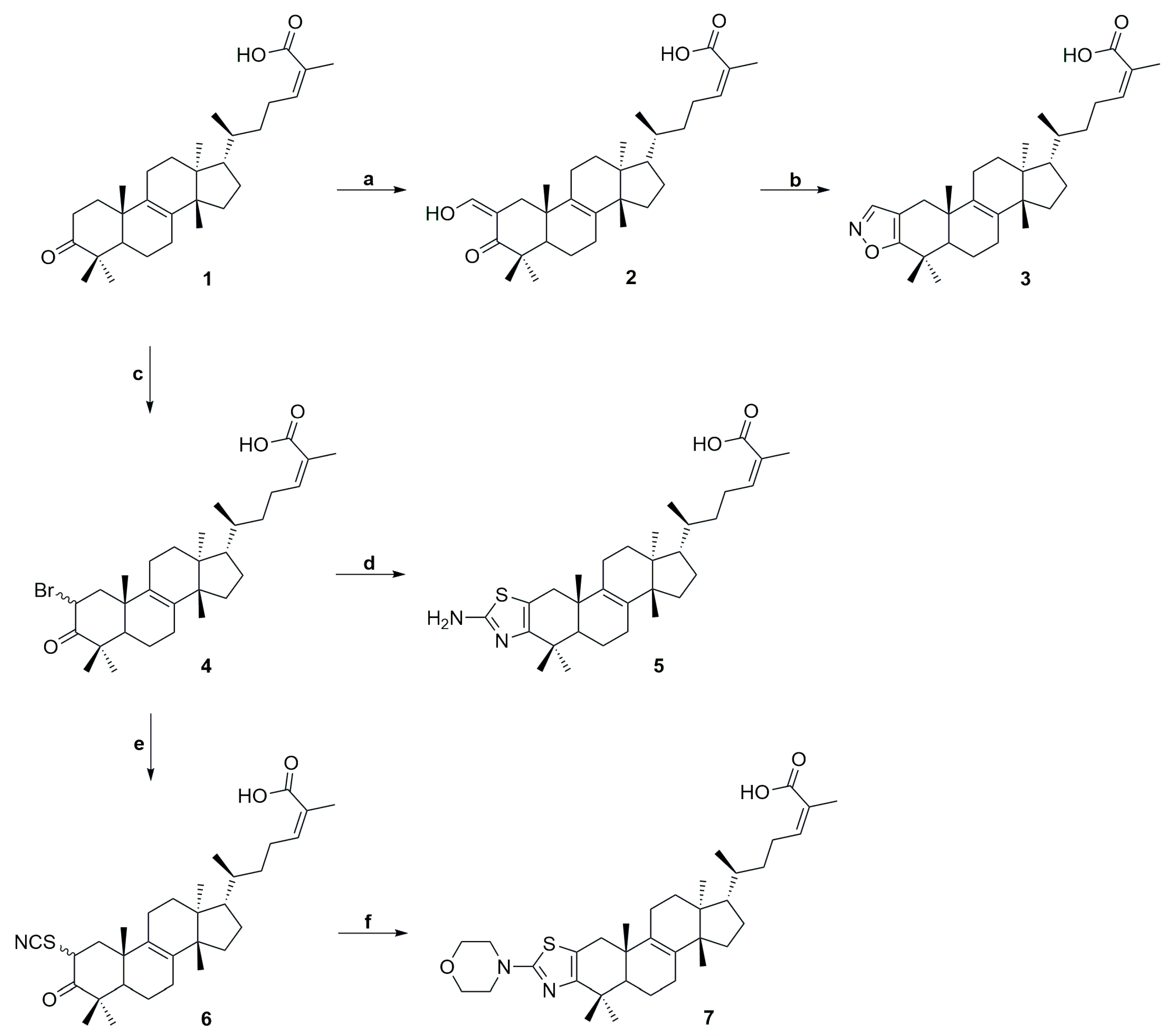
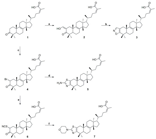
2.1.2. Synthesis of 24Z-Isomasticadienonic Acid Analogs
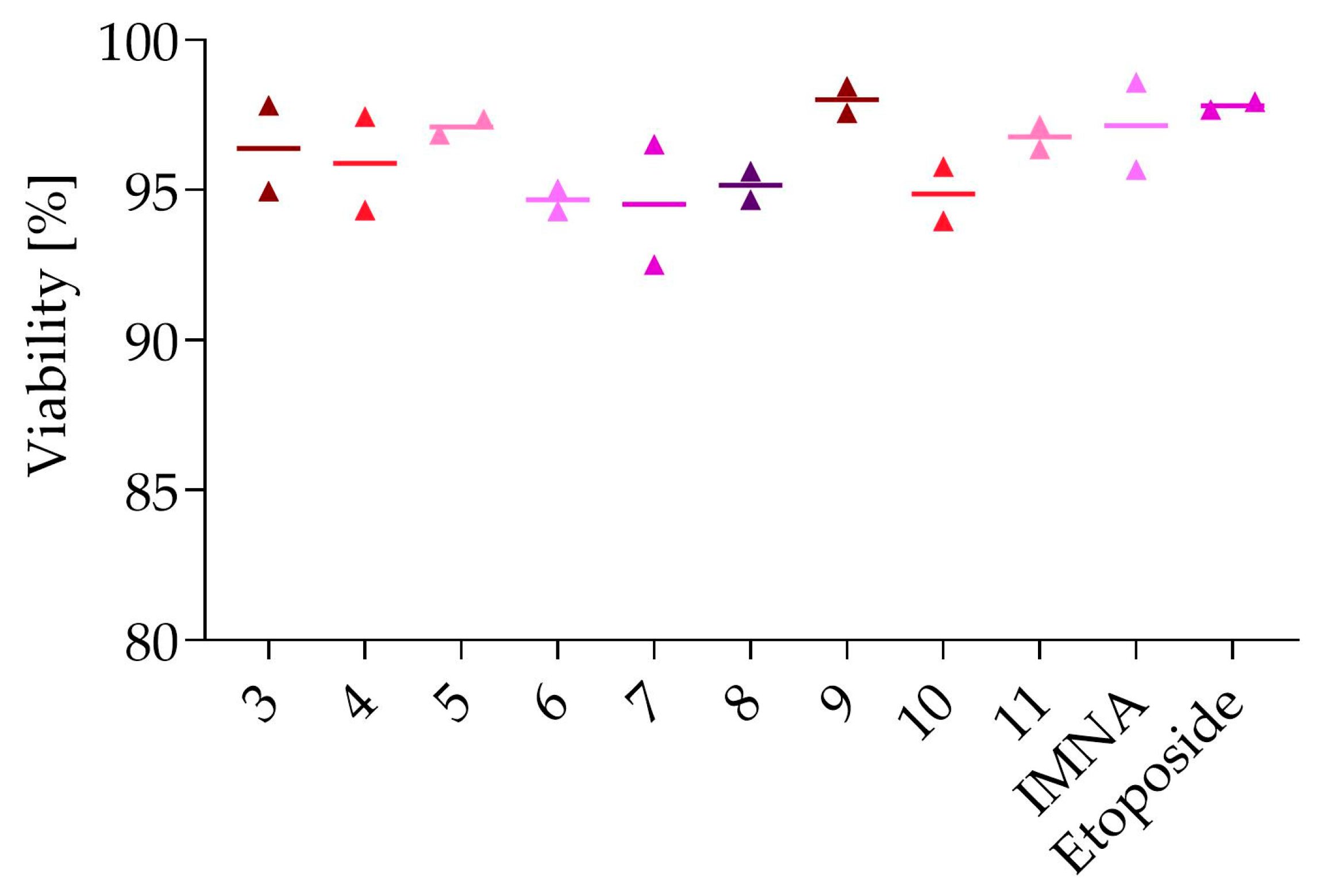
2.2. Antitumoral Evaluation
3. Materials and Methods
3.1. Semi-Synthesis of 24Z-Isomasticadienonic Acid
3.1.1. Isolation of 24Z-Masticadienonic Acid (MNA)
3.1.2. Synthesis of 24Z-Isomasticadienonic Acid (1)
3.2. Synthesis of 24Z-Isomasticadienonic Acid Analogs
3.2.1. Synthesis of 2-Hydroxymethylen-3-oxotirucalla-8,24Z-dien-26-oic Acid (2)
3.2.2. Synthesis of (S,Z)-2-Methyl-6-((1S,3aS,5aR,10aS,12aS)-3a,6,6,10a,12a-pentamethyl-2,3,3a,4,5,5a,6,10,10a,11,12,12a-dodecahydro-1H-cyclopenta[7,8]phenanthro[3,2-d]isoxazol-1-yl)hept-2-enoic Acid (3)
3.2.3. Synthesis of 2-Bromo-3-oxotirucalla-8,24Z-dien-26-oic Acid (4)
3.2.4. Synthesis of (S,Z)-6-((1S,3aS,5aR,10aS,12aS)-8-Amino-3a,6,6,10a,12a-pentamethyl-2,3,3a,4,5,5a,6,10,10a,11,12,12a-dodecahydro-1H-cyclopenta[7,8]phenanthro[2,3-d]thiazol-1-yl)-2-methylhept-2-enoic Acid (5)
3.2.5. Synthesis of 2-Thiocyanate-3-oxotirucalla-8,24Z-dien-26-oic Acid (6)
3.2.6. Synthesis of (S,Z)-2-Methyl-6-((1S,3aS,5aR,10aS,12aS)-3a,6,6,10a,12a-pentamethyl-8-morpholino-2,3,3a,4,5,5a,6,10,10a,11,12,12a-dodecahydro-1H-cyclopenta[7,8]phenanthro[2,3-d]thiazol-1-yl)hept-2-enoic Acid (7)
3.2.7. Synthesis of 2-Hydroxy-3-oxotirucalla-8,24Z-dien-26-oic acid (8), 1α-hydroxy-3-oxa-nor- tirucalla-8,24Z-dien-27-oic acid (9), 3β-hydroxy-1(2→3)-abeotirucalla-8,24Z-dien-26-oic Acid (10)
3.2.8. Spectroscopic Data of 1α-Hydroxy-3-oxa-nor-oxotirucalla-8,24Z-dien-27-oic acid (9)
3.2.9. Synthesis of 3-One-1(2→3)-abeotirucalla-8,24Z-dien-26-oic Acid (11)
3.3. Antitumoral Assays
3.4. Cell Viability of PBMCs
4. Conclusions
Supplementary Materials
Author Contributions
Funding
Institutional Review Board Statement
Informed Consent Statement
Data Availability Statement
Conflicts of Interest
References
- Newman, D.J.; Cragg, G.M. Natural Products as Sources of New Drugs from 1981 to 2014. J. Nat. Prod. 2016, 79, 629–661. [Google Scholar] [CrossRef] [PubMed]
- Reddy, L.; Odhav, B.; Bhoola, K.D. Natural Products for Cancer Prevention: A Global Perspective. Pharmacol. Ther. 2003, 99, 1–13. [Google Scholar] [CrossRef] [PubMed]
- Atanasov, A.G.; Zotchev, S.B.; Dirsch, V.M.; Supuran, C.T. Natural Products in Drug Discovery: Advances and Opportunities. Nat. Rev. Drug Discov. 2021, 20, 200–216. [Google Scholar] [CrossRef] [PubMed]
- Cassels, B.K.; Asencio, M. Anti-HIV Activity of Natural Triterpenoids and Hemisynthetic Derivatives 2004–2009. Phytochem. Rev. 2011, 10, 545–564. [Google Scholar] [CrossRef]
- Agra, L.C.; Ferro, J.N.S.; Barbosa, F.T.; Barreto, E. Triterpenes with Healing Activity: A Systematic Review. J. Dermatol. Treat. 2015, 26, 465–470. [Google Scholar] [CrossRef]
- Shanmugam, M.K.; Nguyen, A.H.; Kumar, A.P.; Tan, B.K.H.; Sethi, G. Targeted Inhibition of Tumor Proliferation, Survival, and Metastasis by Pentacyclic Triterpenoids: Potential Role in Prevention and Therapy of Cancer. Cancer Lett. 2012, 320, 158–170. [Google Scholar] [CrossRef]
- Safayhi, H.; Sailer, E.R. Anti-Inflammatory Actions of Pentacyclic Triterpenes. Planta Med. 1997, 63, 487–493. [Google Scholar] [CrossRef]
- Hostettmann-Kaldas, M.; Nakanishi, K. Moronic Acid, a Simple Triterpenoid Keto Acid with Antimicrobial Activity Isolated from Ozoroa Mucronata. Planta Med. 1979, 37, 358–360. [Google Scholar] [CrossRef]
- Liu, J. Pharmacology of Oleanolic Acid and Ursolic Acid. J. Ethnopharmacol. 1995, 49, 57–68. [Google Scholar] [CrossRef]
- Woźniak, Ł.; Skąpska, S.; Marszałek, K. Ursolic Acid-A Pentacyclic Triterpenoid with a Wide Spectrum of Pharmacological Activities. Molecules 2015, 20, 20614–20641. [Google Scholar] [CrossRef]
- Eichenmüller, M.; Von Schweinitz, D.; Kappler, R. Betulinic Acid Treatment Promotes Apoptosis in Hepatoblastoma Cells. Int. J. Oncol. 2009, 35, 873–879. [Google Scholar] [CrossRef] [PubMed]
- Genet, C.; Strehle, A.; Schmidt, C.; Boudjelal, G.; Lobstein, A.; Schoonjans, K.; Souchet, M.; Auwerx, J.; Saladin, R.; Wagner, A. Structure−Activity Relationship Study of Betulinic Acid, A Novel and Selective TGR5 Agonist, and Its Synthetic Derivatives: Potential Impact in Diabetes. J. Med. Chem. 2010, 53, 178–190. [Google Scholar] [CrossRef] [PubMed]
- Xu, T.; Pang, Q.; Zhou, D.; Zhang, A.; Luo, S.; Wang, Y.; Yan, X. Proteomic Investigation into Betulinic Acid-Induced Apoptosis of Human Cervical Cancer HeLa Cells. PLoS ONE 2014, 9, e105768. [Google Scholar] [CrossRef] [PubMed]
- Li, L.; Du, Y.; Kong, X.; Li, Z.; Jia, Z.; Cui, J.; Gao, J.; Wang, G.; Xie, K. Lamin B1 Is a Novel Therapeutic Target of Betulinic Acid in Pancreatic Cancer. Clin. Cancer Res. 2013, 19, 4651–4661. [Google Scholar] [CrossRef]
- Bernardo, T.C.; Cunha-Oliveira, T.; Serafim, T.L.; Holy, J.; Krasutsky, D.; Kolomitsyna, O.; Krasutsky, P.; Moreno, A.M.; Oliveira, P.J. Dimethylaminopyridine Derivatives of Lupane Triterpenoids Cause Mitochondrial Disruption and Induce the Permeability Transition. Bioorg. Med. Chem. 2013, 21, 7239–7249. [Google Scholar] [CrossRef]
- Borkova, L.; Gurska, S.; Dzubak, P.; Burianova, R.; Hajduch, M.; Sarek, J.; Popa, I.; Urban, M. Lupane and 18α-Oleanane Derivatives Substituted in the Position 2, Their Cytotoxicity and Influence on Cancer Cells. Eur. J. Med. Chem. 2016, 121, 120–131. [Google Scholar] [CrossRef]
- de Vasconcelos Cerqueira Braz, J.; Carvalho Nascimento Juúnior, J.A.; Serafini, M.R. Terpenes with Antitumor Activity: A Patent Review. Recent Pat. Anticancer Drug Discov. 2020, 15, 321–328. [Google Scholar] [CrossRef]
- Yan, X.-J.; Gong, L.-H.; Zheng, F.-Y.; Cheng, K.-J.; Chen, Z.-S.; Shi, Z. Triterpenoids as Reversal Agents for Anticancer Drug Resistance Treatment. Drug Discov. Today 2014, 19, 482–488. [Google Scholar] [CrossRef]
- Xu, J.; Li, Z.; Luo, J.; Yang, F.; Liu, T.; Liu, M.; Qiu, W.-W.; Tang, J. Synthesis and Biological Evaluation of Heterocyclic Ring-Fused Betulinic Acid Derivatives as Novel Inhibitors of Osteoclast Differentiation and Bone Resorption. J. Med. Chem. 2012, 55, 3122–3134. [Google Scholar] [CrossRef]
- Herrera-España, A.D.; Us-Martín, J.; Hernández-Ortega, S.; Mirón-López, G.; Quijano, L.; Villanueva-Toledo, J.R.; Mena-Rejón, G.J. Synthesis, Structure Analysis and Activity against Breast and Cervix Cancer Cells of a Triterpenoid Thiazole Derived from Ochraceolide A. J. Mol. Struct. 2020, 1204, 127555. [Google Scholar] [CrossRef]
- Kvasnica, M.; Urban, M.; Dickinson, N.J.; Sarek, J. Pentacyclic Triterpenoids with Nitrogen- and Sulfur-Containing Heterocycles: Synthesis and Medicinal Significance. Nat. Prod. Rep. 2015, 32, 1303–1330. [Google Scholar] [CrossRef] [PubMed]
- Paraschos, S.; Magiatis, P.; Mitakou, S.; Petraki, K.; Kalliaropoulos, A.; Maragkoudakis, P.; Mentis, A.; Sgouras, D.; Skaltsounis, A.L. In Vitro and in Vivo Activities of Chios Mastic Gum Extracts and Constituents against Helicobacter Pylori. Antimicrob. Agents Chemother. 2007, 51, 551–559. [Google Scholar] [CrossRef] [PubMed]
- Stamou, P.; Gianniou, D.D.; Trougakos, I.P.; Mitakou, S.; Halabalaki, M.; Kostakis, I.K.; Skaltsounis, A.-L. Anti-Inflammatory Activity of the Major Triterpenic Acids of Chios Mastic Gum and Their Semi-Synthetic Analogues. Biomolecules 2024, 14, 1618. [Google Scholar] [CrossRef] [PubMed]
- Ayeleso, T.B.; Matumba, M.G.; Mukwevho, E. Oleanolic Acid and Its Derivatives: Biological Activities and Therapeutic Potential in Chronic Diseases. Molecules 2017, 22, 1915. [Google Scholar] [CrossRef]
- Aiken, C.; Chen, C.H. Betulinic Acid Derivatives as HIV-1 Antivirals. Trends Mol. Med. 2005, 11, 31–36. [Google Scholar] [CrossRef]
- Mlala, S.; Oyedeji, A.O.; Gondwe, M.; Oyedeji, O.O. Ursolic Acid and Its Derivatives as Bioactive Agents. Molecules 2019, 24, 2751. [Google Scholar] [CrossRef]
- Hubert, A.J.; Reimlinger, H. The Isomerization of Olefins Part II. Thermal and Catalytic Lsomerization of Olefins Using Acids, Metals, Metal Complexes, or Boron Compounds as Catalysts. Synthesis 1970, 1970, 405–430. [Google Scholar] [CrossRef]
- Leal, A.S.; Wang, R.; Salvador, J.A.R.; Jing, Y. Synthesis of Novel Ursolic Acid Heterocyclic Derivatives with Improved Abilities of Antiproliferation and Induction of P53, P21waf1 and NOXA in Pancreatic Cancer Cells. Bioorg. Med. Chem. 2012, 20, 5774–5786. [Google Scholar] [CrossRef]
- Fu, H.-J.; Zhou, Y.-R.; Bao, B.-H.; Jia, M.-X.; Zhao, Y.; Zhang, L.; Li, J.-X.; He, H.-L.; Zhou, X.-M. Tryptophan Hydroxylase 1 (Tph-1)-Targeted Bone Anabolic Agents for Osteoporosis. J. Med. Chem. 2014, 57, 4692–4709. [Google Scholar] [CrossRef]
- Kang, X.; Hu, J.; Gao, Z.; Ju, Y.; Xu, C. Synthesis, Anti-Proliferative and Proapoptotic Activity of Novel Oleanolic Acid Azaheterocyclic Derivatives. MedChemComm 2012, 3, 1245–1249. [Google Scholar] [CrossRef]
- Chen, Y.; Li, C.; Zheng, Y.; Gao, Y.; Hu, J.; Chen, H. Discovery of FZU-03,010 as a Self-Assembling Anticancer Amphiphile for Acute Myeloid Leukemia. Bioorg. Med. Chem. Lett. 2017, 27, 1007–1011. [Google Scholar] [CrossRef]
- Wang, R.; Yang, W.; Fan, Y.; Dehaen, W.; Li, Y.; Li, H.; Wang, W.; Zheng, Q.; Huai, Q. Design and Synthesis of the Novel Oleanolic Acid-Cinnamic Acid Ester Derivatives and Glycyrrhetinic Acid-Cinnamic Acid Ester Derivatives with Cytotoxic Properties. Bioorg. Chem. 2019, 88, 102951. [Google Scholar] [CrossRef]
- Wang, Y.; Zhang, D.; Ma, G.; Su, Z.; Liu, M.; Wang, R.; Meng, Q.; Bi, Y.; Wang, H. Design, Synthesis, and Biological Evaluation of Ocotillol Derivatives Fused with 2-Aminothiazole via A-Ring as Modulators of P-Glycoprotein-Mediated Multidrug Resistance. Eur. J. Med. Chem. 2022, 243, 114784. [Google Scholar] [CrossRef]
- Borkova, L.; Adamek, R.; Kalina, P.; Drašar, P.; Dzubak, P.; Gurska, S.; Rehulka, J.; Hajduch, M.; Urban, M.; Sarek, J. Synthesis and Cytotoxic Activity of Triterpenoid Thiazoles Derived from Allobetulin, Methyl Betulonate, Methyl Oleanonate, and Oleanonic Acid. ChemMedChem 2017, 12, 390–398. [Google Scholar] [CrossRef]
- Kacharov, A.D.; Yemets, S.V.; Nemykin, V.N.; Kacharova, L.M.; Fokin, A.A.; Krasutsky, P.A. Stereoselectivity of A-Ring Contraction for 3-Oxotriterpenoids. RSC Adv. 2013, 3, 19057–19063. [Google Scholar] [CrossRef]
- Banerjee, A.K. Lead Tetraacetate in Organic Synthesis. Org. Med. Chem. Int. J. 2021, 10, 555788. [Google Scholar] [CrossRef]






| Compound | Capan-1 | HCT-116 | LN229 | NCl-H460 | DND-41 | HL-60 | K562 | Z138 |
|---|---|---|---|---|---|---|---|---|
| 3 | 6.7 ± 0.4 | >50 | >50 | >50 | >50 | >50 | >50 | >50 |
| 4 | 9.4 ± 1.5 | 22.0 ± 0.8 | 28.5 ± 5.3 | 25.1 ± 1.9 | 20.5 ± 3.9 | 14.7 ± 3.3 | >50 | >50 |
| 5 | 23.5 ± 2.4 | 28.2 ± 1.9 | 27.9 ± 2.9 | 24.5 ± 7.2 | 19.0 ± 2.0 | 19.5 ± 3.2 | >50 | 25.0 ± 1.4 |
| 6 | 7.4 ± 1.0 | 24.3 ± 1.4 | 23.3 ± 2.9 | 21.3 ± 2.3 | 18.5 ± 0.7 | 15.0 ± 1.2 | 35.0 ± 3.9 | 17.9 ± 0.4 |
| 7 | 26.0 ± 0.4 | >50 | >50 | >50 | >50 | >50 | >50 | >50 |
| 8 | 22.1 ± 2.6 | >50 | >50 | >50 | 21.6 ± 1.6 | >50 | >50 | >50 |
| 9 | 39.4 ± 1.5 | >50 | >50 | >50 | >50 | >50 | >50 | >50 |
| 10 | 9.9 ± 3.6 | 24.6 ± 1.2 | 26.8 ± 2.3 | 22.1 ± 0.9 | 19.5 ± 1.9 | 14.2 ± 1.4 | 23.7 ± 2.5 | 28.8 ± 0.6 |
| 11 | 24.6 ± 2.1 | >50 | >50 | >50 | 49.3 ± 0.8 | 29.6 ± 8.9 | >50 | >50 |
| IMNA | 26.5 ± 1.6 | 42.3 ± 2.3 | >50 | >50 | 34.2 ± 2.5 | 21.7 ± 3.1 | >50 | 32.7 ± 3.2 |
| Etoposide | 0.24 ± 0.01 | 1.09 ± 0.19 | 4.80 ± 0.87 | 2.36 ± 0.70 | 0.08 ± 0.03 | 0.30 ± 0.12 | 4.47 ± 0.11 | 0.08 ± 0.007 |
Disclaimer/Publisher’s Note: The statements, opinions and data contained in all publications are solely those of the individual author(s) and contributor(s) and not of MDPI and/or the editor(s). MDPI and/or the editor(s) disclaim responsibility for any injury to people or property resulting from any ideas, methods, instructions or products referred to in the content. |
© 2025 by the authors. Licensee MDPI, Basel, Switzerland. This article is an open access article distributed under the terms and conditions of the Creative Commons Attribution (CC BY) license (https://creativecommons.org/licenses/by/4.0/).
Share and Cite
Stamou, P.; Persoons, L.; Schols, D.; De Jonghe, S.; Skaltsounis, L.A.; Kostakis, I.K. Design and Synthesis of Structurally Modified Analogs of 24Z-Isomasticadienonic Acid with Enhanced Anti-Proliferative Activity. Molecules 2025, 30, 4572. https://doi.org/10.3390/molecules30234572
Stamou P, Persoons L, Schols D, De Jonghe S, Skaltsounis LA, Kostakis IK. Design and Synthesis of Structurally Modified Analogs of 24Z-Isomasticadienonic Acid with Enhanced Anti-Proliferative Activity. Molecules. 2025; 30(23):4572. https://doi.org/10.3390/molecules30234572
Chicago/Turabian StyleStamou, Panagiota, Leentje Persoons, Dominique Schols, Steven De Jonghe, Leandros A. Skaltsounis, and Ioannis K. Kostakis. 2025. "Design and Synthesis of Structurally Modified Analogs of 24Z-Isomasticadienonic Acid with Enhanced Anti-Proliferative Activity" Molecules 30, no. 23: 4572. https://doi.org/10.3390/molecules30234572
APA StyleStamou, P., Persoons, L., Schols, D., De Jonghe, S., Skaltsounis, L. A., & Kostakis, I. K. (2025). Design and Synthesis of Structurally Modified Analogs of 24Z-Isomasticadienonic Acid with Enhanced Anti-Proliferative Activity. Molecules, 30(23), 4572. https://doi.org/10.3390/molecules30234572

