Multifunctional Starch-Based Composite Films Embedded with Carbon Dots for pH-Responsive Sensing and Monitoring of Food Freshness
Abstract
1. Introduction
2. Results and Discussion
2.1. Structure and Fluorescence of Ellagic Acid-Based Carbon Dots
2.2. Mechanical Properties of CDs/Starch Composite Films
2.3. Crystalline Structure of CDs/Starch Composite Films
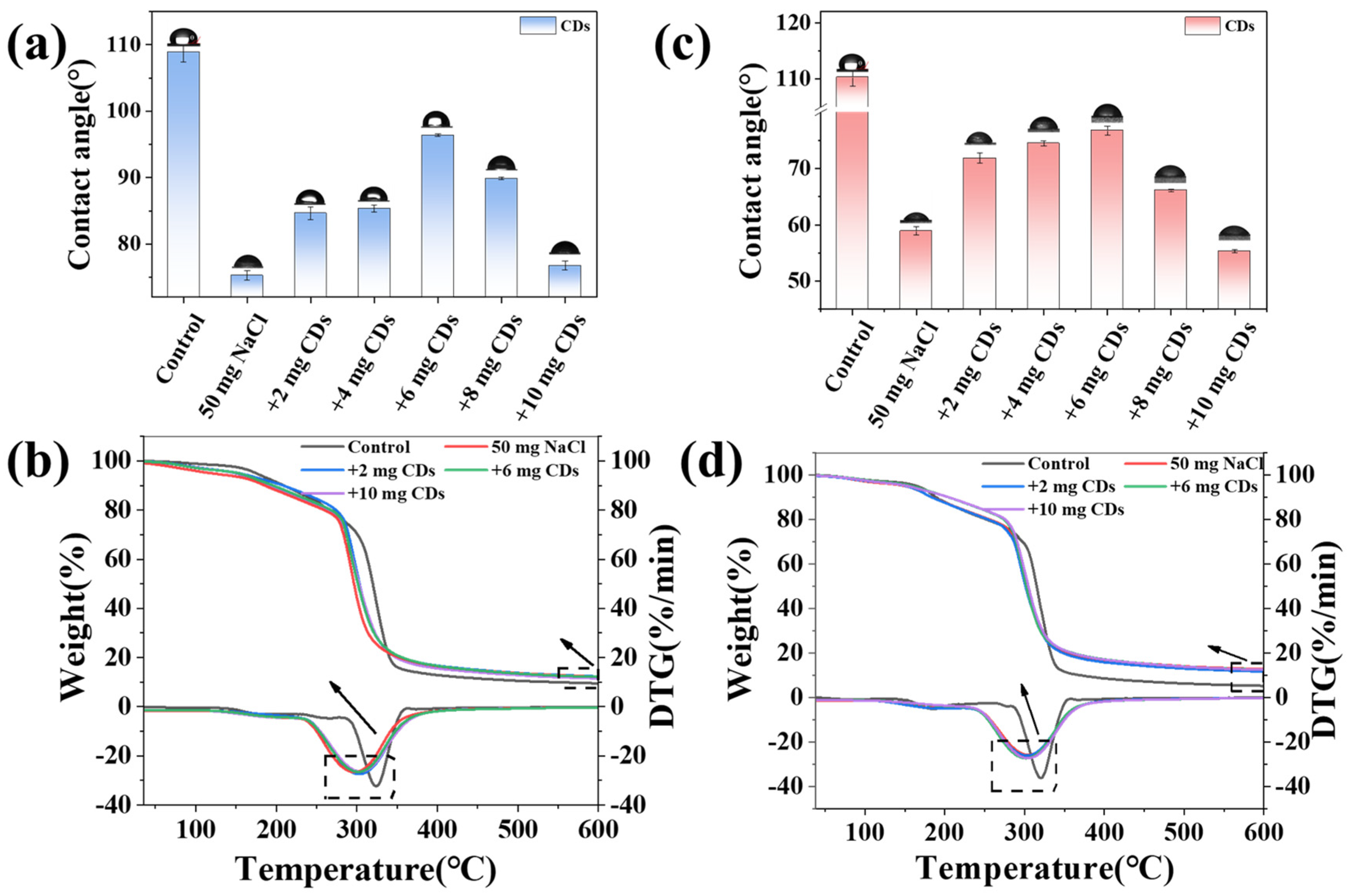
2.4. Hydrophilicity and Thermal Stability of CDs/Starch Composite Films
2.5. Chemical Structure Analysis of CDs/Starch Composite Films
2.6. Electrical Properties of CDs/Starch Composite Films
2.7. Fluorescence Properties of CDs/Starch Composite Films
2.8. pH-Responsive Behavior and Sensing Performance of CDs/Starch Composite Films
2.9. Application of CDs/Starch Composite Films in Juice Freshness Detection
3. Materials and Methods
3.1. Experimental Materials
3.2. Preparation of Ellagic Acid Carbon Dots
3.3. Preparation of Starch Film
3.4. Methods
4. Conclusions
Author Contributions
Funding
Institutional Review Board Statement
Informed Consent Statement
Data Availability Statement
Conflicts of Interest
References
- Hu, Y.X.; Li, T.Q. Smart food packaging: Recent advancement and trends. Adv. Food Nutr. Res. 2024, 111, 1–33. [Google Scholar] [PubMed]
- Hou, Y.H.; Wu, Z.J.; Qin, W.; Loy, D.A.; Lin, D.R. A review on surface and interface engineering of nanocellulose and its application in smart packaging. Adv. Colloid Interface Sci. 2025, 345, 103645. [Google Scholar] [CrossRef] [PubMed]
- Lavrukhina, O.I.; Amelin, V.G.; Kish, L.K.; Tretyakov, A.; Pen’kov, T.D. Determination of Residual Amounts of Antibiotics in Environmental Samples and Food Products. J. Anal. Chem. 2022, 77, 1349–1385. [Google Scholar] [CrossRef]
- Dang, H.N.P.; Quirino, J.P. High Performance Liquid Chromatography versus Stacking-Micellar Electrokinetic Chromatography for the Determination of Potentially Toxic Alkenylbenzenes in Food Flavouring Ingredients. Molecules 2022, 27, 13. [Google Scholar] [CrossRef]
- Gökekin, Y.; Bulut, M.; Ersen, B.Ç.; Güleli, M.; Çalişkan, C. Evaluation and characterization of different extraction methods for obtaining extractable and leachable materials from rubber stopper systems used in pharmaceutical products. Eur. J. Pharm. Biopharm. 2025, 216, 114844. [Google Scholar] [CrossRef]
- Da Silva, G.F.; Botelho, B.G.; Da Cunha, T.M. Development and application of a GC-MS method for evaluating the sugar profile and the presence of sweeteners in Brazilian Kombuchas. J. Food Compos. Anal. 2025, 147, 108015. [Google Scholar] [CrossRef]
- Zheng, S.W.; Sun, D.W.; Zhu, Z.W. Intelligent hydrogels: Food detection, preservation and delivery driven by material-derived intelligence. Trends Food Sci. Technol. 2025, 165, 105247. [Google Scholar] [CrossRef]
- Li, T.; Tan, H.H.; Liu, Y.; Ge, C.; Sun, Z.Y.; Tang, Z.M.; Yang, L. Preparation of responsive photonic crystals and their application in the detection of food hazards. Food Control. 2025, 181, 111753. [Google Scholar] [CrossRef]
- Ali, K.; Niaz, N.; Mgomi, F.C.; Ul Haq, F.; Ashraf, W.; Khalid, M.U.; Wang, Q.L.; Wu, M.A. pH-responsive pea protein-sodium alginate hydrogel beads for freshness monitoring in protein drinks: Structural and molecular insight. Food Hydrocoll. 2025, 171, 111848. [Google Scholar] [CrossRef]
- Baniasadi, H.; Abidnejad, R.; Fazeli, M.; Niskanen, J.; Lizundia, E. Advances in polysaccharide-based food packaging: Functionalization strategies and sustainability considerations. Mater. Sci. Eng. R Rep. 2025, 167, 101128. [Google Scholar] [CrossRef]
- Di Matteo, A.; Stanzione, M.; Orlo, E.; Russo, C.; Lavorgna, M.; Buonocore, G.G.; Isidori, M. Biodegradable films enriched with thymol and carvacrol with antioxidant and antibacterial properties to extend cheese shelf-life. Food Control. 2025, 179, 111541. [Google Scholar] [CrossRef]
- Othman, S.H.; Zaid, N.S.; Shapi’i, R.A.; Nordin, N.; Talib, R.A.; Tawakkal, I.S.M.A. Starch biopolymer films containing carbon black nanoparticles: Properties and active food packaging application. J. Sci. Adv. Mater. Devices 2025, 10, 100995. [Google Scholar] [CrossRef]
- Jana, J.; Sharma, T.S.K.; Chowdhury, S.; Ghanem, M.A.; Babu, B.M.; Kang, S.G.; Chung, J.S.; Choi, W.M.; Hur, S.H. Au-decorated α-Fe2O3-based electrochemical sensor for the detection of propyl gallate for monitoring preservative levels in packaged foods. Food Chem. 2025, 486, 144597. [Google Scholar] [CrossRef]
- Mayegowda, S.B.; Roy, A.; Manjula, N.G.; Pandit, S.; Alghamdi, S.; Almehmadi, M.; Allahyani, M.; Awwad, N.S.; Sharma, R. Eco-friendly synthesized nanoparticles as antimicrobial agents: An updated review. Front. Cell. Infect. Microbiol. 2023, 13, 1224778. [Google Scholar] [CrossRef]
- Zibaei, R.; Ebrahimi, B.; Rouhi, M.; Hashami, Z.; Roshandel, Z.; Hasanvand, S.; Guimaraes, J.D.; Goharifar, M.; Mohammadi, R. Development of packaging based on PLA/POE/SeNPs nanocomposites by blown film extrusion method: Physicochemical, structural, morphological and antioxidant properties. Food Packag. Shelf Life 2023, 38, 101104. [Google Scholar] [CrossRef]
- Macieja, S.; Sroda, B.; Zielinska, B.; Roy, S.; Bartkowiak, A.; Lopusiewicz, L. Bioactive Carboxymethyl Cellulose (CMC)-Based Films Modified with Melanin and Silver Nanoparticles (AgNPs)-The Effect of the Degree of CMC Substitution on the In Situ Synthesis of AgNPs and Films’ Functional Properties. Int. J. Mol. Sci. 2023, 23, 15560. [Google Scholar] [CrossRef] [PubMed]
- Zheng, Y.; Liang, W.Q.; Li, X.Y.; Zhang, C.; Zhang, K. Heavy atom effect in carbon dots: Enhanced photosensitization performance for visual detection of copper ions. Sens. Actuators B Chem. 2025, 446, 138641. [Google Scholar] [CrossRef]
- Lyu, J.S.; Park, K.W.; Han, J. Unveiling the utilization of biowaste-derived carbon nanodots as texture modifiers in extrusion-cooked soy-protein-based high-moisture meat analogs. Food Hydrocoll. 2025, 172, 111977. [Google Scholar] [CrossRef]
- Anh, T.N.; Hien, N.T.; Dang, H.L.T.; Ngoc, N.T.B.; Dien, P.T.; Hoang, N.M.; Hanh, N.T.; Ha, N.T.; Khai, N.M.; Pham, T.D.; et al. Green chemistry for synthesizing carbon dots and their application in pollutant treatment and environmental protection. Desalination 2025, 615, 119214. [Google Scholar] [CrossRef]
- Gao, J.Z.; Wu, X.Y.; Hu, Y.C.; Wu, K.; Zhou, T.; Wei, D.; Wu, C.H.; Ding, J.; Luo, F.; Sun, J.; et al. Enzyme-Mimetic Hydroxyapatite for Diabetic Wound Dressing with Immunomodulation and Collagen Remodeling Functions. ACS Appl. Mater. Interfaces 2025, 17, 35116–35127. [Google Scholar] [CrossRef]
- Laura, A.; Giancarlo, C.; Barbara, L.F.; Heiko, L.; Melissa, S.; Luca, Z.; Barbara, V. Carbon Quantum Dots Interactions with Pyrogallol, Benzoic Acid, and Gallic Acid: A Study on Their Non-Covalent Nature. Nanomaterials 2025, 15, 1457. [Google Scholar] [CrossRef] [PubMed]











Disclaimer/Publisher’s Note: The statements, opinions and data contained in all publications are solely those of the individual author(s) and contributor(s) and not of MDPI and/or the editor(s). MDPI and/or the editor(s) disclaim responsibility for any injury to people or property resulting from any ideas, methods, instructions or products referred to in the content. |
© 2025 by the authors. Licensee MDPI, Basel, Switzerland. This article is an open access article distributed under the terms and conditions of the Creative Commons Attribution (CC BY) license (https://creativecommons.org/licenses/by/4.0/).
Share and Cite
Zhang, X.; Liu, C.; Yang, X.; Jiang, Q.; Liu, C.; Zhao, P. Multifunctional Starch-Based Composite Films Embedded with Carbon Dots for pH-Responsive Sensing and Monitoring of Food Freshness. Molecules 2025, 30, 4421. https://doi.org/10.3390/molecules30224421
Zhang X, Liu C, Yang X, Jiang Q, Liu C, Zhao P. Multifunctional Starch-Based Composite Films Embedded with Carbon Dots for pH-Responsive Sensing and Monitoring of Food Freshness. Molecules. 2025; 30(22):4421. https://doi.org/10.3390/molecules30224421
Chicago/Turabian StyleZhang, Xiaoxu, Chengguo Liu, Xiaoqin Yang, Qian Jiang, Can Liu, and Ping Zhao. 2025. "Multifunctional Starch-Based Composite Films Embedded with Carbon Dots for pH-Responsive Sensing and Monitoring of Food Freshness" Molecules 30, no. 22: 4421. https://doi.org/10.3390/molecules30224421
APA StyleZhang, X., Liu, C., Yang, X., Jiang, Q., Liu, C., & Zhao, P. (2025). Multifunctional Starch-Based Composite Films Embedded with Carbon Dots for pH-Responsive Sensing and Monitoring of Food Freshness. Molecules, 30(22), 4421. https://doi.org/10.3390/molecules30224421

