Introduction of a 4-Hexyl-2-thienyl Substituent on Pyridine Rings as a Route for Brightly Luminescent 1,3-Di-(2-pyridyl)benzene Platinum(II) Complexes
Abstract
1. Introduction
2. Results and Discussion
2.1. Synthesis of the Platinum(II) Complexes
2.2. Photophysical Properties
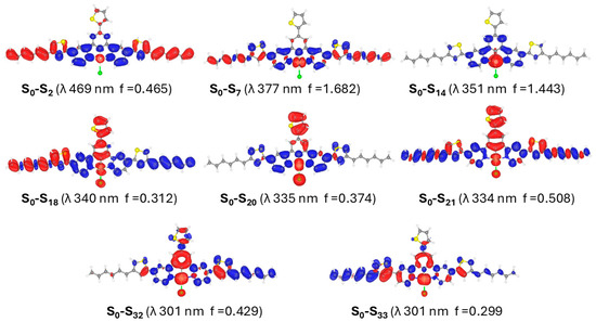
2.3. Theoretical Calculations
3. Materials and Methods
3.1. Synthesis of PtL1Cl
3.1.1. Synthesis of Ligand HL1
3.1.2. Synthesis of Complex PtL1Cl
3.2. Synthesis of PtL2Cl
3.2.1. Synthesis of Ligand H2L
3.2.2. Synthesis of Complex PtL2Cl
3.3. Preparation of PMMA Films
3.4. Theoretical Calculations
4. Conclusions
Supplementary Materials
Author Contributions
Funding
Institutional Review Board Statement
Informed Consent Statement
Data Availability Statement
Acknowledgments
Conflicts of Interest
References
- Yoshida, M.; Saito, K.; Matsukawa, H.; Yanagida, S.; Ebina, M.; Maegawa, Y.; Inagaki, S.; Kobayashi, A.; Kato, M. Immobilization of luminescent Platinum(II) complexes on periodic mesoporous organosilica and their water reduction photocatalysis. J. Photochem. Photobiol. A 2018, 358, 334–344. [Google Scholar] [CrossRef]
- Domingo-Legarda, P.; Casado-Sánchez, A.; Marzo, L.; Alemán, J.; Cabrera, S. Photocatalytic water-soluble cationic platinum(II) complexes bearing quinolinate and phosphine ligands. Inorg. Chem. 2020, 59, 13845–13857. [Google Scholar] [CrossRef] [PubMed]
- Gómez de Segura, D.; Corral-Zorzano, A.; Alcolea, E.; Moreno, M.T.; Lalinde, E. Phenylbenzothiazole-based platinum (II) and diplatinum (II) and (III) complexes with pyrazolate groups: Optical properties and photocatalysis. Inorg. Chem. 2024, 63, 1589–1606. [Google Scholar] [CrossRef] [PubMed]
- Deplano, P.; Pilia, L.; Espa, D.; Mercuri, M.L.; Serpe, A. Square-planar d8 metal mixed-ligand dithiolene complexes as second order nonlinear optical chromophores: Structure/property relationship. Coord. Chem. Rev. 2010, 254, 1434–1447. [Google Scholar] [CrossRef]
- Espa, D.; Pilia, L.; Marchiò, L.; Mercuri, M.L.; Serpe, A.; Barsella, A.; Fort, A.; Dalgleish, S.J.; Robertson, N.; Deplano, P. Redox-switchable chromophores based on metal (Ni, Pd, Pt) mixed-ligand dithiolene complexes showing molecular second-order nonlinear-optical activity. Inorg. Chem. 2011, 50, 2058–2060. [Google Scholar] [CrossRef]
- Colombo, A.; Dragonetti, C.; Marinotto, D.; Righetto, S.; Roberto, D.; Tavazzi, S.; Escadeillas, M.; Guerchais, V.; Le Bozec, H.; Boucekkine, A.; et al. Cyclometallated 4-styryl-2-phenylpyridine Pt(II) acetylacetonate complexes as second-order NLO building blocks for SHG active polymeric films. Organometallics 2013, 32, 3890–3894. [Google Scholar] [CrossRef]
- Espa, D.; Pilia, L.; Makedonas, C.; Marchiò, L.; Mercuri, M.L.; Serpe, A.; Barsella, A.; Fort, A.; Mitsopoulou, C.A.; Deplano, P. Role of the acceptor in tuning the properties of metal [M(II) = Ni, Pd, Pt] dithiolato/dithione (donor/acceptor) second-order nonlinear chromophores: Combined experimental and theoretical studies. Inorg. Chem. 2014, 53, 1170–1183. [Google Scholar] [CrossRef]
- Espa, D.; Pilia, L.; Attar, S.; Serpe, A.; Deplano, P. Molecular engineering of heteroleptic metal-dithiolene complexes with optimized second-order NLO response. Inorg. Chim. Acta 2018, 470, 295–302. [Google Scholar] [CrossRef]
- Colombo, A.; Dragonetti, C.; Guerchais, V.; Roberto, D. An excursion in the second-order nonlinear optical properties of platinum complexes. Coord. Chem. Rev. 2021, 446, 214113. [Google Scholar] [CrossRef]
- Durand, R.J.; Achelle, S.; Robin-Le Guen, F.; Caytan, E.; Le Poul, N.; Barsella, A.; Guevara Level, P.; Jacquemin, D.; Gauthier, S. Investigation of second-order nonlinear optical responses in a series of V-shaped binuclear platinum(ii) complexes. Dalton Trans. 2021, 50, 4623–4633. [Google Scholar] [CrossRef]
- Erkan, S.; Karakas, D. Modeling, spectroscopic structural properties of platinum-II complexes of 2-((phenylimino)methyl)phenolate-based ligands and research of nonlinear optical, organic light emitting diode and solar cell performances. Mater. Today Commun. 2023, 37, 107494. [Google Scholar] [CrossRef]
- Fagnani, F.; Colombo, A.; Dragonetti, C.; Roberto, D.; Guerchais, V.; Roisnel, T.; Marinotto, D.; Fantacci, S. Multifunctional organometallic compounds: An interesting luminescent NLO-active alkynylplatinum (II) complex. Eur. J. Inorg. Chem. 2024, 27, e202400478. [Google Scholar]
- Wenger, O.S. Vapochromism in organometallic and coordination complexes: Chemical sensors for volatile organic compounds. Chem. Rev. 2013, 5, 3686–3733. [Google Scholar] [CrossRef]
- Kobayashi, A.; Kato, M. Vapochromic platinum(II) complexes: Crystal engineering toward intelligent sensing devices. Eur. J. Inorg. Chem. 2014, 27, 4469–4483. [Google Scholar] [CrossRef]
- Rodrigue-Witchel, A.; Rochester, D.L.; Zhao, S.-B.; Lavelle, K.B.; Williams, J.A.G.; Wang, S.; Connick, W.B.; Reber, C. Pressure-induced variations of MLCT and ligand-centered luminescence spectra in square-planar platinum(II) complexes. Polyhedron 2016, 108, 151–155. [Google Scholar] [CrossRef]
- Attar, S.; Espa, D.; Artizzu, F.; Mercuri, M.L.; Serpe, A.; Sessini, E.; Concas, G.; Congiu, F.; Marchiò, L.; Deplano, P. Platinum–dithiolene monoanionic salt exhibiting multiproperties, including room-temperature proton-dependent solution luminescence. Inorg. Chem. 2016, 55, 5118–5126. [Google Scholar] [CrossRef]
- Attar, S.; Espa, D.; Artizzu, F.; Pilia, L.; Serpe, A.; Pizzotti, M.; Di Carlo, G.; Marchiò, L.; Deplano, P. Optically multiresponsive heteroleptic platinum dithiolene complex with proton-switchable properties. Inorg. Chem. 2017, 56, 6763–6767. [Google Scholar] [CrossRef]
- Law, A.S.-Y.; Yeung, M.C.-L.; Yam, V.W.-W. Arginine-rich peptide-induced supramolecular self-assembly of water-soluble anionic alkynylplatinum(II) complexes: A continuous and label-free luminescence assay for trypsin and inhibitor screening. ACS Appl. Mater. Interfaces 2017, 9, 41143–41150. [Google Scholar] [CrossRef]
- Attar, S.; Artizzu, F.; Marchiò, L.; Espa, D.; Pilia, L.; Casula, M.F.; Serpe, A.; Pizzotti, M.; Orbelli-Biroli, A.; Deplano, P. Uncommon optical properties and silver-responsive turn-off/on luminescence in a PtII heteroleptic dithiolene complex. Chem. Eur. J. 2018, 24, 10503–10512. [Google Scholar] [CrossRef]
- Zheng, Q.; Borsley, S.; Tu, T.; Cockroft, S.L. Reversible stimuli-responsive chromism of a cyclometallated platinum(II) complex. Chem. Commun. 2020, 93, 14705–14708. [Google Scholar] [CrossRef]
- Haque, A.; El Moll, H.; Alenezi, K.M.; Khan, M.S.; Wong, W.Y. Functional materials based on cyclometalated platinum (II) β-diketonate complexes: A Review of structure–property relationships and applications. Materials 2021, 14, 4236. [Google Scholar] [CrossRef] [PubMed]
- Poh, W.C.; Au-Yeung, H.-L.; Chan, A.K.-W.; Hong, E.Y.-H.; Cheng, Y.-H.; Leung, M.-Y.; Lai, S.-L.; Low, K.-H.; Yam, V.W.-W. Cyclometalated platinum(II) complexes with donor-acceptor-containing bidentate ligands and their application studies as organic resistive memories. Chem. Asian J. 2021, 16, 3669–3676. [Google Scholar] [CrossRef] [PubMed]
- Yam, V.W.-W.; Cheng, Y.-H. Stimuli-responsive and switchable platinum(II) Complexes and their applications in memory storage. Bull. Chem. Soc. Jpn. 2022, 95, 846–854. [Google Scholar] [CrossRef]
- Ning, Y.Y.; Jin, G.Q.; Wang, M.X.; Gao, S.; Zhang, J.L. Recent progress in metal-based molecular probes for optical bioimaging and biosensing. Curr. Opin. Chem. Biol. 2022, 66, 102097–102107. [Google Scholar] [CrossRef]
- Chan, C.W.-T.; Law, A.S.-Y.; Yam, V.W.-W. A luminescence assay in the red for the detection of hydrogen peroxide and glucose based on metal coordination polyelectrolyte-induced supramolecular self-assembly of alkynylplatinum(II) complexes. Chem. Eur. J. 2023, 29, e202300203. [Google Scholar] [CrossRef]
- Chan, C.W.-T.; Chan, K.; Yam, V.W.-W. Induced self-assembly and disassembly of alkynylplatinum(II) 2,6-bis(benzimidazol-2′-yl)pyridine complexes with charge reversal properties: “proof-of-principle” demonstration of ratiometric Förster resonance energy transfer sensing of pH. ACS Appl. Mater. Interfaces 2023, 15, 25122–25133. [Google Scholar] [CrossRef]
- Xu, Y.; Leung, M.-Y.; Yan, L.; Chen, Z.; Li, P.; Cheng, Y.-H.; Chan, M.H.-Y.; Yam, V.W.-W. Synthesis, characterization, and resistive memory behaviors of highly strained cyclometalated platinum(II) nanohoops. J. Am. Chem. Soc. 2024, 146, 13226–13235. [Google Scholar] [CrossRef]
- Cocchi, M.; Virgili, D.; Fattori, V.; Rochester, D.L.; Williams, J.A.G. N^C^N-coordinated platinum(II) complexes as phosphorescent emitters in high-performance organic light-emitting devices. Adv. Funct. Mater. 2007, 17, 285–289. [Google Scholar] [CrossRef]
- Che, C.M.; Kwok, C.C.; Lai, S.W.; Rausch, A.F.; Finkenzeller, W.J.; Zhu, N.Y.; Yersin, H. Photophysical Properties and OLED Applications of Phosphorescent Platinum(II) Schiff Base Complexes. Chem. Eur. J. 2010, 16, 233–247. [Google Scholar] [CrossRef]
- Kalinowski, J.; Fattori, V.; Cocchi, M.; Williams, J.A.G. Light-emitting devices based on organometallic platinum complexes as emitters. Coord. Chem. Rev. 2011, 255, 2401–2425. [Google Scholar] [CrossRef]
- Gildea, L.F.; Williams, J.A.G. Iridium and platinum complexes for OLEDs. In Organic Light-Emitting Diodes: Materials, Devices and Applications; Buckley, A., Ed.; Woodhead: Cambridge, UK, 2013. [Google Scholar]
- Cheng, G.; Chow, P.-K.; Kui, S.C.F.; Kwok, C.-C.; Che, C.-M. High-efficiency polymer light-emitting devices with robust phosphorescent platinum(II) emitters containing tetradentate dianionic O^N^C^N ligands. Adv. Mater. 2013, 25, 6765–6770. [Google Scholar] [CrossRef] [PubMed]
- Hsu, C.-W.; Ly, K.T.; Lee, W.-K.; Wu, C.-C.; Wu, L.C.; Lee, J.-J.; Lin, T.-C.; Liu, S.-H.; Chou, P.-T.; Lee, G.-H.; et al. Triboluminescence and metal phosphor for organic light-emitting diodes: Functional Pt(II) complexes with both 2-pyridylimidazol-2-ylidene and bipyrazolate chelates. ACS Appl. Mater. Interfaces 2016, 8, 33888–33898. [Google Scholar] [CrossRef]
- Cebrian, C.; Mauro, M. Recent advances in phosphorescent platinum complexes for organic light-emitting diodes. Beilstein J. Org. Chem. 2018, 14, 1459–1481. [Google Scholar] [CrossRef]
- Ly, K.T.; Chen-Cheng, R.-W.; Lin, H.-W.; Shiau, Y.-J.; Liu, S.-H.; Chou, P.-T.; Tsao, C.-S.; Huang, Y.-C.; Chi, Y. Near-infrared organic light-emitting diodes with very high external quantum efficiency and radiance. Nat. Photonics 2017, 11, 63–68. [Google Scholar]
- Chen, W.-C.; Sukpattanacharoen, C.; Chan, W.-H.; Huang, C.-C.; Hsu, H.-F.; Shen, D.; Hung, W.-Y.; Kungwan, N.; Escudero, D.; Lee, C.-S.; et al. Modulation of Solid-State Aggregation of Square-Planar Pt(II) Based Emitters: Enabling Highly Efficient Deep-Red/Near Infrared Electroluminescence. Adv. Funct. Mater. 2020, 30, 2002494. [Google Scholar] [CrossRef]
- Shafikov, M.Z.; Pander, P.; Zaytsev, A.V.; Daniels, R.; Martinscroft, R.; Dias, F.B.; Williams, J.A.G.; Kozhevnikov, V.N. Extended ligand conjugation and dinuclearity as a route to efficient platinum-based near-infrared (NIR) triplet emitters and solution-processed NIR-OLEDs. J. Mater. Chem. C 2021, 9, 127–135. [Google Scholar] [CrossRef]
- Roberto, D.; Colombo, A.; Dragonetti, C.; Fagnani, F.; Cocchi, M.; Marinotto, D. Novel class of cyclometalated platinum(II) complexes for solution-processable OLEDs. Molecules 2022, 27, 5171. [Google Scholar] [CrossRef]
- Colombo, A.; De Soricellis, G.; Dragonetti, C.; Fagnani, F.; Roberto, D.; Carboni, B.; Guerchais, V.; Roisnel, T.; Cocchi, M.; Fantacci, S.; et al. Introduction of a mesityl substituent on pyridyl rings as a facile strategy for improving the performance of luminescent 1,3-bis-(2-pyridyl)benzene platinum(ii) complexes: A springboard for blue OLEDs. J. Mater. Chem. C 2024, 12, 9702–9715. [Google Scholar] [CrossRef]
- Zhou, F.; Pan, Y.; Hung, W.-Y.; Chen, C.-F.; Chen, K.-M.; Li, J.-L.; Yiu, S.-M.; Liu, Y.-M.; Chou, P.-T.; Chi, Y.; et al. Tetradentate Pt(II) complexes based on xylenylamino linked dual pyrazolate chelates for organic light emitting diodes. Chem. Eur. J. 2024, 30, e202402636. [Google Scholar] [CrossRef]
- Hung, C.-M.; Wang, S.-F.; Chao, W.-C.; Li, J.-L.; Chen, B.-H.; Lu, C.-H.; Tu, K.-Y.; Yang, S.-D.; Hung, W.-Y.; Chi, Y.; et al. High-performance near-infrared OLEDs maximized at 925 nm and 1022 nm through interfacial energy transfer. Nat Commun. 2024, 15, 4664. [Google Scholar] [CrossRef] [PubMed]
- Sun, Y.; Zhan, F.; Huang, D.; Wang, X.; Dou, L.; Xu, K.; Yang, Y.-F.; Li, G.; She, Y. 8-Phenylquinoline-Based Tetradentate 6/6/6 Platinum(II) Complexes for Near-Infrared Emitters. Inorg. Chem. 2023, 62, 13156–13164. [Google Scholar] [CrossRef]
- Li, G.; Liu, Y.; Xu, K.; Zhang, C.; Chen, J.; Chu, Q.; Yang, Y.-F.; She, Y. Perimidocarbene-Based Tetradentate Platinum(II) Complexes with an Unexpectedly Negligible 3MLCT Character. Inorg. Chem. 2024, 63, 6435–6444. [Google Scholar] [CrossRef]
- Li, G.; Ameri, L.; Dorame, B.; Zhu, Z.-Q.; Li, J. Improved Operational Stability of Blue Phosphorescent OLEDs by Functionalizing Phenyl-Carbene Groups of Tetradentate Pt(II) Complexes. Adv. Funct. Mater. 2024, 34, 2405066. [Google Scholar] [CrossRef]
- Xu, K.; Zhang, C.; Yang, L.; Zhan, F.; Lou, W.; Yang, Y.-F.; She, Y.; Li, G. Molecular Engineering of a Rigid Tetradentate Pt(II) Emitter for High-Performance OLEDs Realizing the BT.2020 Blue Gamut. Angew. Chem. Int. Ed. 2025, 64, e202517695. [Google Scholar] [CrossRef] [PubMed]
- Zhang, C.; Xu, K.; Yang, Y.-F.; She, Y.; Li, G. Dual Regulation of Molecular Rigidity and Orbital Engineering of Pt(II) Emitters for High-Performance Deep-Blue OLEDs. Adv. Sci. 2025, e09722. [Google Scholar] [CrossRef] [PubMed]
- Chu, Q.; Yao, H.; Tong, J.; Xu, K.; She, Y.; Li, G. Platinum(II) Phosphors Featuring 3D Geometry and Locally Excited State for High-Performance Deep-Blue OLEDs. Chem. Mater. 2025, 37, 6404–6413. [Google Scholar] [CrossRef]
- Zhan, F.; Xu, K.; Zheng, J.; Chen, Q.; Shen, G.; Dai, J.; Feng, Q.; Guo, H.; Liu, S.; Ying, J.; et al. Modular synthesis of tetradentate Pt(II) complexes for structure-property studies and deep-blue OLED fabrications. Chem. Eng. J. 2025, 524, 169759. [Google Scholar] [CrossRef]
- Li, G.; Chu, Q.; Yao, H.; Wu, K.; She, Y.-B. High-performance deep-blue phosphorescent organic light-emitting diodes enabled by a platinum(ii) emitter. Nat. Photonics 2025, 19, 977–984. [Google Scholar] [CrossRef]
- Zhu, J.; Huang, M.; Zhang, Y.; Chen, Z.; Deng, Y.; Zhang, H.; Wang, X.; Yang, C. Improving the Blue Color Purity of Tetradentate Pt(II) Complexes with the Assistance of F⋅⋅⋅H Interaction Towards High-Performance Blue Phosphorescent OLEDs with EQE over 33%. Angew. Chem. Int. Ed. 2025, 64, e202418770. [Google Scholar] [CrossRef]
- Wang, L.; Miao, J.; Zhang, Y.; Wu, C.; Huang, H.; Wang, X.; Yang, C. Discrete Mononuclear Platinum(II) Complexes Realize High-Performance Red Phosphorescent OLEDs with EQEs of up to 31.8% and Superb Device Stability. Adv. Mater. 2023, 35, 2303066. [Google Scholar] [CrossRef]
- Wen, Z.; Xu, Y.; Song, X.-F.; Miao, J.; Zhang, Y.; Li, K.; Yang, C. Approaching the Shortest Intermetallic Distance of Half-Lantern Diplatinum(II) Complexes for Efficient and Stable Deep-Red Organic Light-Emitting Diodes. Adv. Opt. Mater. 2023, 11, 2300201. [Google Scholar] [CrossRef]
- Wang, S.; Yam, C.Y.; Hu, L.H.; Hung, F.-F.; Chen, S.; Che, C.-M.; Chen, G.H. A general protocol for phosphorescent platinum(II) complexes: Generation, high throughput virtual screening and highly accurate predictions. Mater. Futures 2025, 4, 025601. [Google Scholar] [CrossRef]
- Xin, Y.; Mao, M.; Xu, S.; Tan, K.; Cheng, G.; Zhang, H.; Dai, H.; Huang, T.; Zhang, D.; Duan, L.; et al. High-Efficiency, Long-Lifetime and Color-Tunable Hybrid WOLEDs Using a Platinum Complex with Voltage-Dependent Monomer and Aggregate Emission. Adv. Sci. 2025, 12, 2411364. [Google Scholar] [CrossRef] [PubMed]
- Li, H.; Hung, F.-F.; Wu, S.; Qiu, J.; Li, C.; Nie, S.; Yang, J.; Duan, L.; Zhou, P.; Cheng, G.; et al. Deep Blue Tetradentate Pt(II) Emitter Coordinated With Fused Fluorenyl N-heterocyclic Carbene. High Efficiency, Narrow FWHM, and Superior Operational Lifetime LT 95 of 290 h at 1000 cd m−2. Small 2025, 21, 2409662. [Google Scholar] [CrossRef]
- Lam, T.-L.; Li, H.; Tan, K.; Chen, Z.; Tang, Y.-K.; Yang, J.; Cheng, G.; Dai, L.; Che, C.-M. Sterically Hindered Tetradentate [Pt(O^N^C^N)] Emitters with Radiative Decay Rates up to 5.3 × 10 5 s−1 for Phosphorescent Organic Light-Emitting Diodes with LT 95 Lifetime over 9200 h at 1000 cd m−2. Small 2024, 20, 2307393. [Google Scholar] [CrossRef] [PubMed]
- Zhao, Q.; Huang, C.; Li, F. Phosphorescent heavy-metal complexes for bioimaging. Chem. Soc. Rev. 2011, 40, 2508–2524. [Google Scholar] [CrossRef]
- Baggaley, E.; Weinstein, J.A.; Williams, J.A.G. Lighting the way to see inside the live cell with luminescent transition metal complexes. Coord. Chem. Rev. 2012, 256, 1762–1785. [Google Scholar] [CrossRef]
- Colombo, A.; Fiorini, F.; Septiadi, D.; Dragonetti, C.; Nisic, F.; Valore, A.; Roberto, D.; Mauro, M.; De Cola, L. Neutral N^C^N terdentate luminescent Pt(II) complexes: Their synthesis, photophysical properties, and bio-imaging applications. Dalton Trans. 2015, 44, 8478–8487. [Google Scholar] [CrossRef]
- Mitra, K.; Lyons, C.E.; Hartman, M.C.T. A platinum(II) complex of heptamethine cyanine for photoenhanced cytotoxicity and cellular imaging in near-IR light. Angew. Chem., Int. Ed. 2018, 57, 10263–10267. [Google Scholar] [CrossRef]
- Schur, J.; Lüning, A.; Klein, A.; Köster, R.W.; Ott, I. Platinum alkynyl complexes: Cellular uptake, inhibition of thioredoxin reductase and toxicity in zebrafish embryos. Inorg. Chim. Acta 2019, 495, 118982. [Google Scholar] [CrossRef]
- Yam, V.W.-W.; Law, A.S.-Y. Luminescent d8 metal complexes of platinum(II) and gold(III): From photophysics to photofunctional materials and probes. Coord. Chem. Rev 2020, 414, 213298. [Google Scholar] [CrossRef]
- Law, A.S.-Y.; Lee, L.C.-C.; Lo, K.K.-W.; Yam, V.W.-W. Aggregation and supramolecular self-assembly of low-energy red luminescent alkynylplatinum(II) complexes for RNA detection, nucleolus imaging, and RNA synthesis inhibitor screening. J. Am. Chem. Soc. 2021, 143, 5396–5405. [Google Scholar] [CrossRef]
- Li, B.; Wang, Y.; Chan, M.H.-Y.; Pan, M.; Li, Y.; Yam, V.W.-W. Supramolecular Assembly of Organoplatinum(II) Complexes for Subcellular Distribution and Cell Viability Monitoring with Differentiated Imaging. Angew. Chem. 2022, 61, e202210703. [Google Scholar] [CrossRef] [PubMed]
- Berrones Reyes, J.; Sherin, P.S.; Sarkar, A.; Kuimova, M.K.; Vilar, R. Platinum(II)-based optical probes for imaging quadruplex DNA structures via phosphorescence lifetime imaging microscopy. Angew. Chem. Int. Ed. 2023, 62, e202310402. [Google Scholar] [CrossRef]
- Doherty, R.E.; Sazanovich, I.V.; McKenzie, L.K.; Stasheuski, A.S.; Coyle, R.; Baggaley, E.; Bottomley, S.; Weinstein, J.A.; Bryant, H.E. Photodynamic killing of cancer cells by a platinum(II) complex with cyclometallating ligand. Sci. Rep. 2016, 6, 22668. [Google Scholar] [CrossRef]
- Chatzisideri, T.; Thysiadis, S.; Katsamakas, S.; Dalezis, P.; Sigala, I.; Lazarides, T.; Nikolakaki, E.; Trafalis, D.; Gederaas, O.A.; Lindgren, M.; et al. Synthesis and biological evaluation of a platinum(II)-c(RGDyK) conjugate for integrin-targeted photodynamic therapy. Eur. J. Med. Chem. 2017, 141, 221–231. [Google Scholar] [CrossRef]
- Shi, H.; Clarkson, G.J.; Sadler, P.J. Dual action photosensitive platinum(II) anticancer prodrugs with photoreleasable azide ligands. Inorg. Chim. Acta 2019, 489, 230–235. [Google Scholar] [CrossRef]
- McKenzie, L.K.; Bryant, H.E.; Weinstein, J.A. Transition metal complexes as photosensitisers in one- and two-photon photodynamic therapy. Coord. Chem. Rev. 2019, 379, 2–29. [Google Scholar] [CrossRef]
- Scoditti, S.; Dabbish, E.; Russo, N.; Mazzone, G.; Sicilia, E. Anticancer activity, DNA binding, and photodynamic properties of a N^C^N-coordinated Pt(II) complex. Inorg. Chem. 2021, 60, 10350–10360. [Google Scholar] [CrossRef]
- De Soricellis, G.; Fagnani, F.; Colombo, A.; Dragonetti, C.; Roberto, D. Exploring the potential of N^C^N cyclometalated Pt(II) complexes bearing 1,3-di(2-pyridyl)benzene derivatives for imaging and photodynamic therapy. Inorg. Chim. Acta 2022, 541, 121082. [Google Scholar] [CrossRef]
- Yersin, H.; Rausch, A.F.; Czerwieniec, R.; Hofbeck, T.; Fischer, T. The triplet state of organo-transition metal compounds. Triplet harvesting and singlet harvesting for efficient OLEDs. Coord. Chem. Rev. 2011, 255, 2622–2652. [Google Scholar] [CrossRef]
- Chou, P.T.; Chi, Y.; Chung, M.W.; Lin, C.C. Harvesting luminescence via harnessing the photophysical properties of transition metal complexes. Coord. Chem. Rev. 2011, 255, 2653–2665. [Google Scholar] [CrossRef]
- Cocchi, M.; Kalinowski, J.; Fattori, V.; Williams, J.A.G.; Murphy, L. Color-variable highly efficient organic electrophosphorescent diodes manipulating molecular exciton and excimer emissions. Appl. Phys. Lett. 2009, 94, 073309–073311. [Google Scholar] [CrossRef]
- Cardenas, D.J.; Echavarren, A.M.; Ramirez de Arellano, M.C. Divergent Behavior of Palladium(II) and Platinum(II) in the Metalation of 1,3-Di(2-pyridyl)benzene. Organometallics 1999, 18, 3337–3341. [Google Scholar] [CrossRef]
- Williams, J.A.G.; Beeby, A.; Davies, E.S.; Weinstein, J.A.; Wilson, C. An alternative route to highly luminescent platinum(II) complexes: cyclometalation with N∧C∧N-coordinating dipyridylbenzene ligands. Inorg. Chem. 2003, 42, 8609–8611. [Google Scholar] [CrossRef]
- Williams, J.A.G. The coordination chemistry of dipyridylbenzene: N-deficient terpyridine or panacea for brightly luminescent metal complexes? Chem. Soc. Rev. 2009, 38, 1783–1801. [Google Scholar] [CrossRef] [PubMed]
- Sotoyama, W.; Satoh, T.; Sato, H.; Matsuura, A.; Sawatari, N. Excited states of phosphorescent platinum(II) complexes containing N^C^N-coordinating tridentate ligands: spectroscopic investigations and time-dependent density functional theory calculations. J. Phys. Chem. A 2005, 109, 9760–9766. [Google Scholar] [CrossRef]
- Cocchi, M.; Kalinowski, J.; Murphy, L.; Williams, J.A.G.; Fattori, V. Mixing of molecular exciton and excimer phosphorescence to tune color and efficiency of organic LEDs. Org. Electron. 2010, 11, 388–396. [Google Scholar] [CrossRef]
- Williams, J.A.G. Photochemistry and Photophysics of Coordination Compounds: Platinum. Top. Curr. Chem. 2007, 281, 205–268. [Google Scholar]
- Colombo, A.; De Soricellis, G.; Fagnani, F.; Dragonetti, C.; Cocchi, M.; Carboni, B.; Guerchais, V.; Marinotto, D. Introduction of a triphenylamine substituent on pyridyl rings as a springboard for a new appealing brightly luminescent 1,3-di-(2-pyridyl)benzene platinum(ii) complex family. Dalton Trans. 2022, 51, 12161–12169. [Google Scholar] [CrossRef]
- De Soricellis, G.; Carboni, B.; Guerchais, V.; Williams, J.A.G.; Marinotto, D.; Colombo, A.; Dragonetti, C.; Fagnani, F.; Fantacci, S.; Roberto, D. New members of the family of highly luminescent 1,3-bis(4-phenylpyridin-2-yl)-4,6-difluorobenzene platinum(II) complexes: Exploring the effect of substituents on the 4-phenylpyridine unit. Dalton Trans. 2025, 54, 10566–10573. [Google Scholar] [CrossRef] [PubMed]
- De Soricellis, G.; Guerchais, V.; Colombo, A.; Dragonetti, C.; Fagnani, F.; Roberto, D.; Marinotto, D. Effect of the substitution of the mesityl group with other bulky substituents on the luminescence performance of [Pt(1,3-bis(4-mesityl-pyridin-2-yl)-4,6-difluoro-benzene)Cl]. Molecules 2025, 30, 1498. [Google Scholar] [CrossRef] [PubMed]
- Farley, S.J.; Rochester, D.L.; Thompson, A.L.; Howard, J.A.K.; Williams, J.A.G. Controlling Emission Energy, Self-Quenching, and Excimer Formation in Highly Luminescent N^C^N-Coordinated Platinum(II) Complexes. Inorg. Chem. 2005, 44, 9690–9703. [Google Scholar] [CrossRef]
- Rochester, D.L.; Develay, S.; Zalis, S.; Williams, J.A.G. Localised to intraligand charge-transfer states in cyclometalated platinum complexes: An experimental and theoretical study into the influence of electron-rich pendants and modulation of excited states by ion binding. Dalton Trans. 2009, 1728–1741. [Google Scholar] [CrossRef]
- Frisch, M.J.; Trucks, G.W.; Schlegel, H.B.; Scuseria, G.E.; Robb, M.A.; Cheeseman, J.R.; Scalmani, G.; Barone, V.; Mennucci, B.; Petersson, G.A.; et al. Gaussian 09, Revision D.01; Gaussian, Inc.: Wallingford, CT, USA, 2009.
- Becke, A.D. Density-functional thermochemistry. III. The role of exact exchange. J. Chem. Phys. 1993, 98, 5648–5652. [Google Scholar] [CrossRef]
- Grimme, S.; Ehrlich, S.; Goerigk, L. Effect of the Damping Function in Dispersion Corrected Density Functional Theory. J. Comput. Chem. 2011, 32, 1456–1465. [Google Scholar] [CrossRef]
- Miertus, S.; Scrocco, E.; Tomasi, J. Electrostatic interaction of a solute with a continuum. A direct utilizaion of Ab initio molecular potentials for the prevision of solvent effects. Chem. Phys. 1981, 55, 117–129. [Google Scholar] [CrossRef]
- Cossi, M.; Barone, V.; Cammi, R.; Tomasi, J. Ab initio study of solvated molecules: A new implementation of the polarizable continuum model. Chem. Phys. Lett. 1996, 255, 327–335. [Google Scholar] [CrossRef]
- Barone, V.; Cossi, M. Quantum calculation of molecular energies and energy gradients in solution by a conductor solvent model. J. Phys. Chem. A 1998, 102, 1995–2001. [Google Scholar] [CrossRef]
- Cossi, M.; Rega, N.; Scalmani, G.; Barone, V. Energies, structures, and electronic properties of molecules in solution with the C-PCM solvation model. J. Comput. Chem. 2003, 24, 669–681. [Google Scholar] [CrossRef] [PubMed]
- McLean, A.D.; Chandler, G.S. Contracted Gaussian basis sets for molecular calculations. I. Second row atoms, Z = 11–18. J. Chem. Phys. 1980, 72, 5639–5648. [Google Scholar] [CrossRef]
- Wachters, A.J.H. Gaussian basis set for molecular wavefunctions containing third-row atoms. J. Chem. Phys. 1970, 52, 1033. [Google Scholar] [CrossRef]
- Petersson, A.; Al-Laham, M.A. A Complete Basis Set Model Chemistry. II. Open-Shell Systems and the Total Energies of the First-Row Atoms. J. Chem. Phys. 1991, 94, 6081–6090. [Google Scholar] [CrossRef]
- Hay, P.J.; Wadt, W.R. Ab initio effective core potentials for molecular calculations. Potentials for K to Au including the outermost core orbitals. J. Chem. Phys. 1985, 82, 299–310. [Google Scholar] [CrossRef]
- Wu, J.; Zhang, Y.; Hong, Q.; Yang, H.; Zhang, L.; Zhang, M.; Yu, L. Organometallic modification of silica with europium endowing the fluorescence properties: The key technique for numerical quality monitoring. Chin. Chem. Lett. 2025, 36, 110165. [Google Scholar] [CrossRef]
- Ma, Y.H.; Gao, X.; Zhang, W.T.; Yang, Z.R.; Zhao, Z.; Qu, C. Enhanced red luminescence of Ca3Si2−xMxO7:Eu3+ (M = Al, P) phosphors via partial substitution of Si4+ for applications in white light-emitting diodes. Rare Met. 2024, 43, 736–748. [Google Scholar] [CrossRef]
- Suzuki, K.; Kobayashi, A.; Kaneko, S.; Takehira, K.; Yoshihara, T.; Ishida, H.; Shiina, Y.; Oishic, S.; Tobita, S. Reevaluation of absolute luminescence quantum yields of standard solutions using a spectrometer with an integrating sphere and a back-thinned CCD detector. Phys. Chem. Chem. Phys. 2009, 11, 9850–9860. [Google Scholar] [CrossRef] [PubMed]









| λmax,em/nm Monomer [Excimer/Aggregate] a | Φlum Degassed [Aerated] | τ/µs | |
|---|---|---|---|
![]() | 534 b [752] | 0.96 b [0.02] | 24.1 |
![]() | 554 b [738] | 0.99 b [0.06] | 5.9 |
![]() | 501 [690–700] | 0.62 c [0.045] | 7.9 |
![]() | 548 [690–700] | 0.54 c [0.015] | 20.5 |
![]() | 548 [725] | 0.89 b,d [0.01] | 50.0 |
Disclaimer/Publisher’s Note: The statements, opinions and data contained in all publications are solely those of the individual author(s) and contributor(s) and not of MDPI and/or the editor(s). MDPI and/or the editor(s) disclaim responsibility for any injury to people or property resulting from any ideas, methods, instructions or products referred to in the content. |
© 2025 by the authors. Licensee MDPI, Basel, Switzerland. This article is an open access article distributed under the terms and conditions of the Creative Commons Attribution (CC BY) license (https://creativecommons.org/licenses/by/4.0/).
Share and Cite
Colombo, A.; Dragonetti, C.; Fagnani, F.; Roberto, D.; Fantacci, S.; Marinotto, D. Introduction of a 4-Hexyl-2-thienyl Substituent on Pyridine Rings as a Route for Brightly Luminescent 1,3-Di-(2-pyridyl)benzene Platinum(II) Complexes. Molecules 2025, 30, 4410. https://doi.org/10.3390/molecules30224410
Colombo A, Dragonetti C, Fagnani F, Roberto D, Fantacci S, Marinotto D. Introduction of a 4-Hexyl-2-thienyl Substituent on Pyridine Rings as a Route for Brightly Luminescent 1,3-Di-(2-pyridyl)benzene Platinum(II) Complexes. Molecules. 2025; 30(22):4410. https://doi.org/10.3390/molecules30224410
Chicago/Turabian StyleColombo, Alessia, Claudia Dragonetti, Francesco Fagnani, Dominique Roberto, Simona Fantacci, and Daniele Marinotto. 2025. "Introduction of a 4-Hexyl-2-thienyl Substituent on Pyridine Rings as a Route for Brightly Luminescent 1,3-Di-(2-pyridyl)benzene Platinum(II) Complexes" Molecules 30, no. 22: 4410. https://doi.org/10.3390/molecules30224410
APA StyleColombo, A., Dragonetti, C., Fagnani, F., Roberto, D., Fantacci, S., & Marinotto, D. (2025). Introduction of a 4-Hexyl-2-thienyl Substituent on Pyridine Rings as a Route for Brightly Luminescent 1,3-Di-(2-pyridyl)benzene Platinum(II) Complexes. Molecules, 30(22), 4410. https://doi.org/10.3390/molecules30224410






