Structural, Mechanical, and Electronic Properties of High-Hardness Silicon Tetranitride
Abstract
1. Introduction
2. Results and Discussion
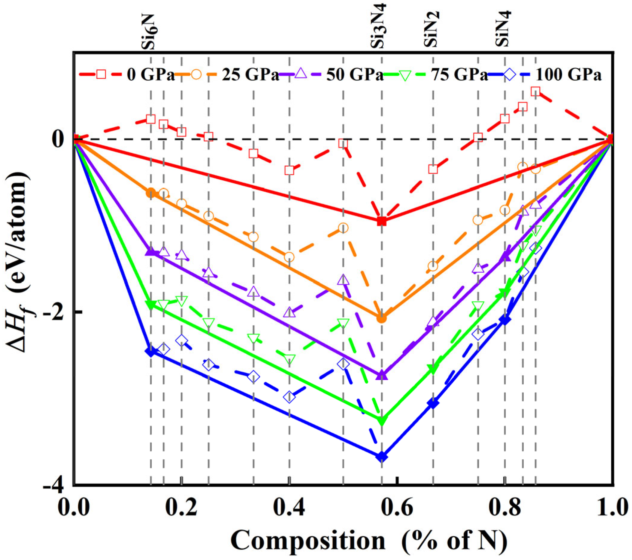
2.1. Stable Si−N Compounds
2.2. Crystal Structures
2.3. Mechanical, High-Energy Density, and Electronic Properties
2.4. Dynamic and Thermal Stabilities
3. Calculation Methods and Details
4. Conclusions
Supplementary Materials
Author Contributions
Funding
Data Availability Statement
Conflicts of Interest
References
- Gao, E.; Yang, H.; Guo, Y.; Nielsen, S.O.; Baughman, R.H. The stiffest and strongest predicted material: C2N atomic chains approach the theoretical limits. Adv. Sci. 2023, 10, 2204884. [Google Scholar] [CrossRef]
- Chen, D.; Chen, G.; Lv, L.; Dong, J.; Shang, Y.; Hou, X.; Wang, Y.; Shang, J.; Wang, S.; Yin, Y. General approach for synthesizing hexagonal diamond by heating post-graphite phases. Nat. Mater. 2025, 24, 513. [Google Scholar] [CrossRef]
- Dong, H.; Li, B.; Liu, B.; Zhang, Y.; Sun, L.; Luo, K.; Wu, Y.; Ma, M.; Liu, B.; Hu, W. Extraordinary high-temperature mechanical properties in binder-free nanopolycrystalline WC ceramic. J. Mater. Sci. Technol. 2022, 97, 169. [Google Scholar] [CrossRef]
- Wang, Y.; Csanadi, T.; Zhang, H.; Dusza, J.; Reece, M.J. Synthesis, microstructure, and mechanical properties of novel high entropy carbonitrides. Acta Mater. 2022, 231, 117887. [Google Scholar] [CrossRef]
- Chen, L.; Tai, J.; Wang, D.; Wang, S.; Liang, H.; Yin, H. High-performance solar-blind photodetector based on amorphous BN in harsh environment operations. Appl. Phys. Lett. 2024, 124, 042102. [Google Scholar] [CrossRef]
- Tian, F.; Wang, J.; He, Z.; Ma, Y.; Wang, L.; Cui, T.; Chen, C.; Liu, B.; Zou, G. Superhard semiconducting C3N2 compounds predicted via first-principles calculations. Phys. Rev. B Condens. Matter 2008, 78, 235431. [Google Scholar] [CrossRef]
- Ding, C.; Wang, J.; Han, Y.; Yuan, J.; Gao, H.; Sun, J. High energy density polymeric nitrogen nanotubes inside carbon nanotubes. Chin. Phys. Lett. 2022, 39, 036101. [Google Scholar] [CrossRef]
- Ding, C.; Yuan, J.; Wang, X.; Huang, T.; Wang, Y.; Sun, J. Single-bonded nitrogen chain and porous nitrogen layer via Ce–N compounds. Mater. Adv. 2023, 4, 2162. [Google Scholar] [CrossRef]
- Liu, L.; Zhang, S.; Zhang, H. Pressure-driven Ne-bearing polynitrides with ultrahigh energy density. Chin. Phys. Lett. 2022, 39, 056102. [Google Scholar] [CrossRef]
- O’Sullivan, O.T.; Zdilla, M.J. Properties and promise of catenated nitrogen systems as high-energy-density materials. Chem. Rev. 2020, 120, 5682. [Google Scholar] [CrossRef]
- Zhang, J.; Liu, G.; Cui, W.; Ge, Y.; Du, S.; Gao, Y.; Zhang, Y.; Li, F.; Chen, Z.; Du, S. Plastic deformation in silicon nitride ceramics via bond switching at coherent interfaces. Science 2022, 378, 371. [Google Scholar] [CrossRef]
- Surucu, G.; Gullu, H.H.; Candan, A.; Yildiz, B.; Erkisi, A. First-principles studies of Tin+1SiNn (n = 1, 2, 3) MAX phase. Philos. Mag. 2020, 100, 2183. [Google Scholar] [CrossRef]
- Wang, C.; Yu, G.; Zhang, S.; Zhao, Y.; Chen, H.; Cheng, T.; Zhang, X. A pressure-induced superhard SiCN4 compound uncovered by first-principles calculations. Phys. Chem. Chem. Phys. 2024, 26, 8938. [Google Scholar] [CrossRef]
- Li, Y.-L.; Liang, Y.; Zheng, F.; Ma, X.-F.; Cui, S.-J.; Sun, L. Enhanced crystallization and phase transformation of amorphous silicon nitride under high pressure. J. Mater. Res. 2001, 16, 67. [Google Scholar] [CrossRef]
- Cui, L.; Hu, M.; Wang, Q.; Xu, B.; Yu, D.; Liu, Z.; He, J. Prediction of novel hard phases of Si3N4: First-principles calculations. J. Solid. State Chem. 2015, 228, 20. [Google Scholar] [CrossRef]
- Ching, W.Y.; Xu, Y.N.; Gale, J.D.; Rühle, M. Ab-initio total energy calculation of α-and β-silicon nitride and the derivation of effective pair potentials with application to lattice dynamics. J. Am. Ceram. Soc. 1998, 81, 3189. [Google Scholar] [CrossRef]
- Qin, F.; Qin, S.; Prakapenka, V.B. High pressure behaviors and novel high-pressure phase of Si3N4 and TiN. Lithos 2020, 372, 105677. [Google Scholar] [CrossRef]
- Weihrich, R.; Eyert, V.; Matar, S.F. Structure and electronic properties of new model dinitride systems: A density-functional study of CN2, SiN2, and GeN2. Chem. Phys. Lett. 2003, 373, 636. [Google Scholar] [CrossRef]
- Niwa, K.; Ogasawara, H.; Hasegawa, M. Pyrite form of group-14 element pernitrides synthesized at high pressure and high temperature. Dalton Trans. 2017, 46, 9750. [Google Scholar] [CrossRef] [PubMed]
- Jurzick, P.L.; Krach, G.; Brüning, L.; Schnick, W.; Bykov, M. Synthesis and crystal structure of silicon pernitride SiN2 at 140 GPa. Struct. Rep. 2023, 79, 923. [Google Scholar] [CrossRef] [PubMed]
- Xiao, C.; He, S.; Chen, H.; Yu, Y.; Wang, Z.; Lu, C. Fabrication and properties of silicon nitride ceramics under high temperature and high pressure. Ceram. Int. 2025, 1. [Google Scholar] [CrossRef]
- Sluydts, M.; Pieters, M.; Vanhellemont, J.; Van Speybroeck, V.; Cottenier, S. High-throughput screening of extrinsic point defect properties in Si and Ge: Database and applications. Chem. Mater. 2017, 29, 975. [Google Scholar] [CrossRef]
- Škundrić, T.; Zagorac, D.; Schön, J.C.; Pejić, M.; Matović, B. Crystal structure prediction of the novel Cr2SiN4 compound via global optimization, data mining, and the PCAE method. Crystals 2021, 11, 891. [Google Scholar] [CrossRef]
- Mei, Z.-G.; Wang, Y.; Shang, S.; Liu, Z.-K. First-principles study of the mechanical properties and phase stability of TiO2. Comput. Mater. Sci. 2014, 83, 114. [Google Scholar] [CrossRef]
- Ying, P.; Li, Z.; Chen, S.; Li, H.; Gao, Y.; He, J.; Liu, C. First-principles study on stability, electronic and mechanical properties of 4^ 3T175 carbon allotrope. Comput. Mater. Sci. 2023, 219, 111956. [Google Scholar] [CrossRef]
- Wang, G.-M.; Zeng, W.; Tang, B.; Liu, F.-S.; Liu, Q.-J.; Li, X.-H.; Zhong, M. Structural, electronic, and mechanical properties of Y7Ru4InGe12: A first-principle study. J. Mol. Model. 2022, 28, 41. [Google Scholar] [CrossRef]
- Wang, Y.; Lv, J.; Zhu, L.; Ma, Y. Crystal structure prediction via particle-swarm optimization. Phys. Rev. B Condens. Matter 2010, 82, 094116. [Google Scholar] [CrossRef]
- Wang, Y.; Lv, J.; Zhu, L.; Ma, Y. CALYPSO: A method for crystal structure prediction. Comput. Phys. Commun. 2012, 183, 2063. [Google Scholar] [CrossRef]
- Fan, C.; Liu, S.; Liu, J.; Wu, B.; Tang, Q.; Tao, Y.; Pu, M.; Zhang, F.; Li, J.; Wang, X. Evidence for a high-pressure isostructural transition in nitrogen. Chin. Phys. Lett. 2022, 39, 026401. [Google Scholar] [CrossRef]
- Bini, R.; Ulivi, L.; Kreutz, J.; Jodl, H.J. High-pressure phases of solid nitrogen by Raman and infrared spectroscopy. J. Chem. Phys. 2000, 112, 8522. [Google Scholar] [CrossRef]
- Gao, F. Theoretical model of intrinsic hardness. Phys. Rev. B Condens. Matter 2006, 73, 132104. [Google Scholar] [CrossRef]
- Šimůnek, A.; Vackář, J. Hardness of covalent and ionic crystals: First-principle calculations. Phys. Rev. Lett. 2006, 96, 085501. [Google Scholar] [CrossRef]
- Chen, X.-Q.; Niu, H.; Li, D.; Li, Y. Modeling hardness of polycrystalline materials and bulk metallic glasses. Intermetallics 2011, 19, 1275. [Google Scholar] [CrossRef]
- Li, K.; Yang, P.; Niu, L.; Xue, D. Group electronegativity for prediction of materials hardness. J. Phys. Chem. A 2012, 116, 6911. [Google Scholar] [CrossRef]
- Liu, L.; Zhao, Z.; Yu, T.; Zhang, S.; Lin, J.; Yang, G. Hexagonal BC2N with remarkably high hardness. J. Phys. Chem. C 2018, 122, 6801. [Google Scholar] [CrossRef]
- Zhang, X.; Wang, Y.; Lv, J.; Zhu, C.; Li, Q.; Zhang, M.; Li, Q.; Ma, Y. First-principles structural design of superhard materials. J. Chem. Phys. 2013, 138, 114101. [Google Scholar] [CrossRef] [PubMed]
- Tian, Y.; Xu, B.; Zhao, Z. Microscopic theory of hardness and design of novel superhard crystals. Int. J. Refract. Met. Hard Mater. 2012, 33, 93. [Google Scholar] [CrossRef]
- Wang, M.; Li, Y.; Cui, T.; Ma, Y.; Zou, G. Origin of hardness in WB4 and its implications for ReB4, TaB4, MoB4, TcB4, and OsB4. Appl. Phys. Lett. 2008, 93, 101905. [Google Scholar] [CrossRef]
- Li, Q.; Zhou, D.; Zheng, W.; Ma, Y.; Chen, C. Anomalous stress response of ultrahard WB n compounds. Phys. Rev. Lett. 2015, 115, 185502. [Google Scholar] [CrossRef]
- Fulcher, B.; Cui, X.; Delley, B.; Stampfl, C. Hardness analysis of cubic metal mononitrides from first principles. Phys. Rev. B Condens. Matter 2012, 85, 184106. [Google Scholar] [CrossRef]
- Tian, Y.; Xu, B.; Yu, D.; Ma, Y.; Wang, Y.; Jiang, Y.; Hu, W.; Tang, C.; Gao, Y.; Luo, K. Ultrahard nanotwinned cubic boron nitride. Nature 2013, 493, 385. [Google Scholar] [CrossRef]
- Zhang, L.; Wang, Y.; Lv, J.; Ma, Y. Materials discovery at high pressures. Nat. Rev. Mater. 2017, 2, 17005. [Google Scholar] [CrossRef]
- Kaner, R.B.; Gilman, J.J.; Tolbert, S.H. Designing superhard materials. Science 2005, 308, 1268. [Google Scholar] [CrossRef] [PubMed]
- Wu, Z.-J.; Zhao, E.-J.; Xiang, H.-P.; Hao, X.-F.; Liu, X.-J.; Meng, J. Crystal structures and elastic properties of superhard IrN2 and IrN3 from first principles. Phys. Rev. B Condens. Matter 2007, 76, 054115. [Google Scholar] [CrossRef]
- Hou, J.; Weng, X.-J.; Oganov, A.R.; Shao, X.; Gao, G.; Dong, X.; Wang, H.-T.; Tian, Y.; Zhou, X.-F. Helium-nitrogen mixtures at high pressure. Phys. Rev. B 2021, 103, L060102. [Google Scholar] [CrossRef]
- Lin, J.; Wang, F.; Rui, Q.; Li, J.; Wang, Q.; Wang, X. A novel square planar N42− ring with aromaticity in BeN4. Matter Radiat. Extremes 2022, 7, 038401. [Google Scholar] [CrossRef]
- Lin, S.; Chen, J.; Zhang, B.; Hao, J.; Xu, M.; Li, Y. Lanthanium nitride LaN9 featuring azide units: The first metal nine-nitride as a high-energy-density material. Phys. Chem. Chem. Phys. 2024, 26, 3605. [Google Scholar] [CrossRef] [PubMed]
- Xia, K.; Zheng, X.; Yuan, J.; Liu, C.; Gao, H.; Wu, Q.; Sun, J. Pressure-stabilized high-energy-density alkaline-earth-metal pentazolate salts. J. Phys. Chem. C 2019, 123, 10205. [Google Scholar] [CrossRef]
- Yi, W.; Zhang, Y.; Zhang, G.; Liu, X. CuN10: A high-energy-density pentazolate with an antiferromagnetic state. Phys. Chem. Chem. Phys. 2025, 27, 5902. [Google Scholar] [CrossRef]
- Kamlet, M.J.; Dickinson, C. Chemistry of detonations. III. Evaluation of the simplified calculational method for chapman-jouguet detonation pressures on the basis of available experimental information. J. Chem. Phys. 1968, 48, 43. [Google Scholar] [CrossRef]
- Wang, Y.; Liu, Y.; Song, S.; Yang, Z.; Qi, X.; Wang, K.; Liu, Y.; Zhang, Q.; Tian, Y. Accelerating the discovery of insensitive high-energy-density materials by a materials genome approach. Nat. Commun. 2018, 9, 2444. [Google Scholar] [CrossRef] [PubMed]
- Mujica, A.; Rubio, A.; Munoz, A.; Needs, R. High-pressure phases of group-IV, III–V, and II–VI compounds. Rev. Mod. Phys. 2003, 75, 863. [Google Scholar] [CrossRef]
- Liu, L.; Wang, D.; Zhang, S.; Zhang, H. Pressure-stabilized GdN6 with an armchair–antiarmchair structure as a high energy density material. J. Mater. Chem. A 2021, 9, 16751. [Google Scholar] [CrossRef]
- Zhai, H.; Xu, R.; Dai, J.; Ma, X.; Yu, X.; Li, Q.; Ma, Y. Stabilized nitrogen framework anions in the Ga–N system. J. Am. Chem. Soc. 2022, 144, 21640. [Google Scholar] [CrossRef]
- Wang, X.; Wang, Z.; Gao, P.; Zhang, C.; Lv, J.; Wang, H.; Liu, H.; Wang, Y.; Ma, Y. Data-driven prediction of complex crystal structures of dense lithium. Nat. Commun. 2023, 14, 2924. [Google Scholar] [CrossRef] [PubMed]
- Zhang, J.; Liu, H.; Ma, Y.; Chen, C. Direct H-He chemical association in superionic FeO2H2He at Deep-Earth conditions. Natl. Sci. Rev. 2022, 9, nwab168. [Google Scholar] [CrossRef]
- Perdew, J.P.; Burke, K.; Ernzerhof, M. Generalized gradient approximation made simple. Phys. Rev. Lett. 1996, 77, 3865. [Google Scholar] [CrossRef]
- Lee, I.-H.; Martin, R.M. Applications of the generalized-gradient approximation to atoms, clusters, and solids. Phys. Rev. B 1997, 56, 7197. [Google Scholar] [CrossRef]
- Kresse, G.; Furthmüller, J. Efficiency of ab-initio total energy calculations for metals and semiconductors using a plane-wave basis set. Comput. Mater. Sci. 1996, 6, 15. [Google Scholar] [CrossRef]
- Blöchl, P.E. Projector augmented-wave method. Phys. Rev. B 1994, 50, 17953. [Google Scholar] [CrossRef]
- Pack, J.D.; Monkhorst, H.J. “Special points for Brillouin-zone integrations”—A reply. Phys. Rev. B 1977, 16, 1748. [Google Scholar] [CrossRef]
- Hill, R. The elastic behaviour of a crystalline aggregate. Proc. Phys. Soc. Sect. A 1952, 65, 349. [Google Scholar] [CrossRef]
- Wagner, J.-M.; Bechstedt, F. Properties of strained wurtzite GaN and AlN: Ab initio studies. Phys. Rev. B 2002, 66, 115202. [Google Scholar] [CrossRef]
- Togo, A.; Tanaka, I. First principles phonon calculations in materials science. Scr. Mater. 2015, 108, 1–5. [Google Scholar] [CrossRef]
- Parrinello, M.; Rahman, A. Crystal structure and pair potentials: A molecular-dynamics study. Phys. Rev. Lett. 1980, 45, 1196. [Google Scholar] [CrossRef]
- Becke, A.D.; Edgecombe, K.E. A simple measure of electron localization in atomic and molecular systems. J. Chem. Phys. 1990, 92, 5397. [Google Scholar] [CrossRef]
- Momma, K.; Izumi, F. VESTA3 for three-dimensional visualization of crystal, volumetric and morphology data. Appl. Crystallogr. 2011, 44, 1272. [Google Scholar] [CrossRef]
- Dronskowski, R.; Bloechl, P.E. Crystal orbital Hamilton populations (COHP): Energy-resolved visualization of chemical bonding in solids based on density-functional calculations. J. Phys. Chem. 1993, 97, 8617. [Google Scholar] [CrossRef]





| B | G | E | v | HV | |
|---|---|---|---|---|---|
| R-3c SiN4 | 259.53 | 204.23 | 485.38 | 0.18 | 31 |
| P-1 SiN4 | 227.38 | 139.45 | 347.35 | 0.25 | 17 |
Disclaimer/Publisher’s Note: The statements, opinions and data contained in all publications are solely those of the individual author(s) and contributor(s) and not of MDPI and/or the editor(s). MDPI and/or the editor(s) disclaim responsibility for any injury to people or property resulting from any ideas, methods, instructions or products referred to in the content. |
© 2025 by the authors. Licensee MDPI, Basel, Switzerland. This article is an open access article distributed under the terms and conditions of the Creative Commons Attribution (CC BY) license (https://creativecommons.org/licenses/by/4.0/).
Share and Cite
Liu, L.; Qi, J.; Ding, C.; Wang, D.; Zhang, S. Structural, Mechanical, and Electronic Properties of High-Hardness Silicon Tetranitride. Molecules 2025, 30, 4357. https://doi.org/10.3390/molecules30224357
Liu L, Qi J, Ding C, Wang D, Zhang S. Structural, Mechanical, and Electronic Properties of High-Hardness Silicon Tetranitride. Molecules. 2025; 30(22):4357. https://doi.org/10.3390/molecules30224357
Chicago/Turabian StyleLiu, Lulu, Jiacheng Qi, Chi Ding, Dinghui Wang, and Shoutao Zhang. 2025. "Structural, Mechanical, and Electronic Properties of High-Hardness Silicon Tetranitride" Molecules 30, no. 22: 4357. https://doi.org/10.3390/molecules30224357
APA StyleLiu, L., Qi, J., Ding, C., Wang, D., & Zhang, S. (2025). Structural, Mechanical, and Electronic Properties of High-Hardness Silicon Tetranitride. Molecules, 30(22), 4357. https://doi.org/10.3390/molecules30224357

