Characterization of a β-Galactosidase from Kosakonia oryzendophytica and Its Heterologous Expression in Bacillus subtilis for Galactooligosaccharides Production
Abstract
1. Introduction
2. Results and Discussion
2.1. Amino Acid Sequence and Structure Analysis
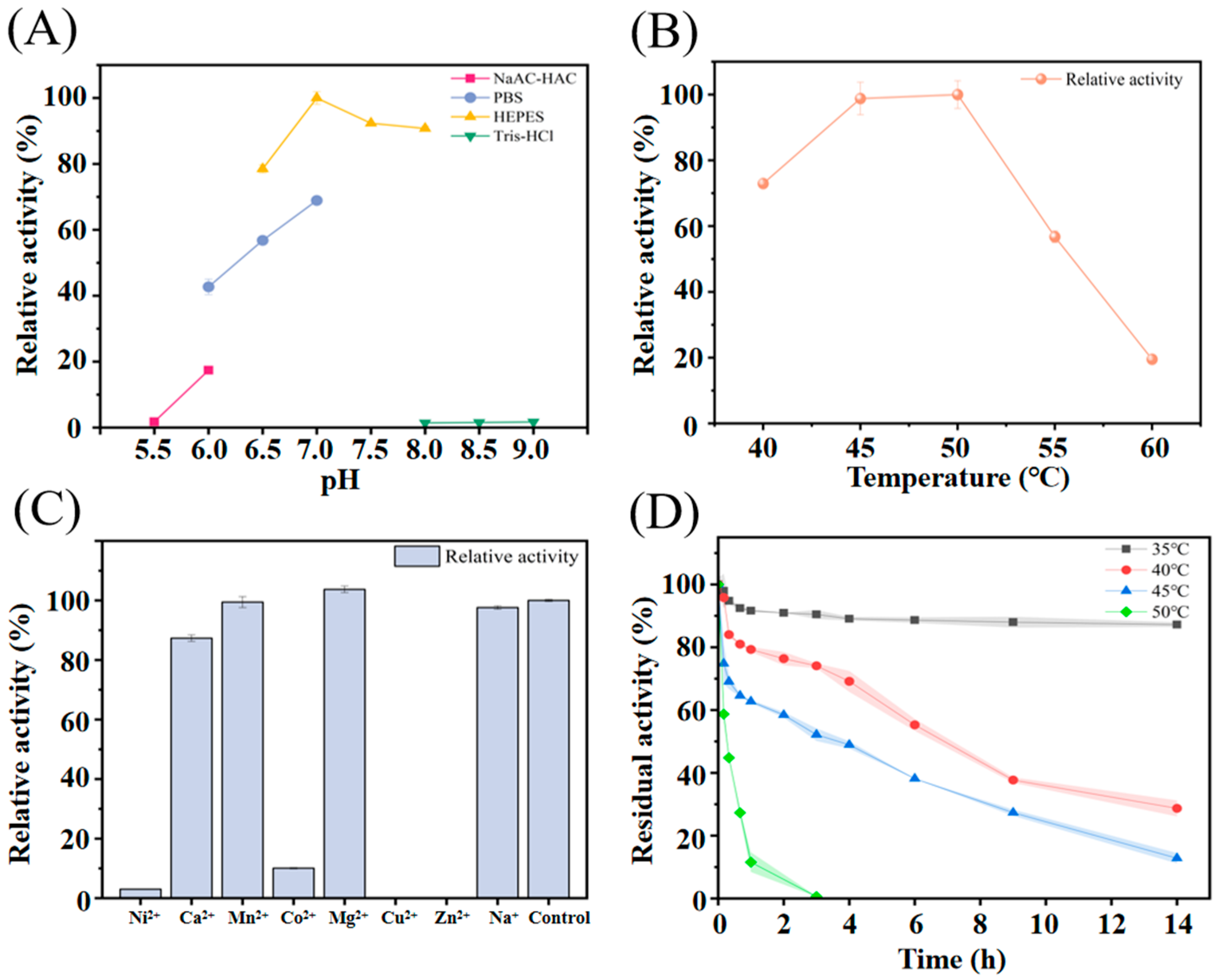
2.2. Biochemical Characterization of Koor β-Gal
2.3. Optimization of GOS Production Conditions
2.4. Products Analysis
2.5. Expression of Koor β-Gal in B. subtilis
3. Materials and Methods
3.1. Plasmid, Strains, and Chemicals
3.2. Cloning, Expression and Purification of Koor β-Gal
3.3. Enzyme Activity Assay of Koor β-Gal
3.4. Enzymatic Properties Determination
3.5. Bioconversion of GOS from D-Lactose
3.6. Expression of Koor β-Gal in B. subtilis
4. Conclusions
Supplementary Materials
Author Contributions
Funding
Institutional Review Board Statement
Informed Consent Statement
Data Availability Statement
Conflicts of Interest
References
- Xiao, Y.; Chen, Q.; Guang, C.; Zhang, W.; Mu, W. An overview on biological production of functional lactose derivatives. Appl. Microbiol. Biot. 2019, 103, 3683–3691. [Google Scholar] [CrossRef]
- Souza, A.; Gabardo, S.; Coelho, R.D.S. Galactooligosaccharides: Physiological benefits, production strategies, and industrial application. J. Biotechnol. 2022, 359, 116–129. [Google Scholar] [CrossRef]
- Wu, Y.; Zhang, X.; Liu, X.; Zhao, Z.; Tao, S.; Xu, Q.; Zhao, J.; Dai, Z.; Zhang, G.; Han, D. Galactooligosaccharides and Limosilactobacillus reuteri synergistically alleviate gut inflammation and barrier dysfunction by enriching Bacteroides acidifaciens for pentadecanoic acid biosynthesis. Nat. Commun. 2024, 15, 9291. [Google Scholar] [CrossRef]
- Shi, R.; Wei, J.; Ye, J.; Song, X.; Yang, X.; Zhang, Y.; Liu, S.; Ren, J.; Wang, D.; Zhao, Z. The novel synbiotic (Lactiplantibacillus plantarum and galacto-oligosaccharides) ameliorates obesity-related metabolic dysfunction: Arginine as a key mediator signaling molecule. J. Adv. Res. 2025. [Google Scholar] [CrossRef]
- Ambrogi, V.; Bottacini, F.; Cao, L.; Kuipers, B.; Schoterman, M.; van Sinderen, D. Galacto-oligosaccharides as infant prebiotics: Production, application, bioactive activities and future perspectives. Crit. Rev. Food Sci. 2023, 63, 753–766. [Google Scholar] [CrossRef]
- Balthazar, C.; Silva, H.; Celeguini, R.; Santos, R.; Pastore, G.; Junior, C.C.; Freitas, M.; Nogueira, L.; Silva, M.; Cruz, A. Effect of galactooligosaccharide addition on the physical, optical, and sensory acceptance of vanilla ice cream. J. Dairy Sci. 2015, 98, 4266–4272. [Google Scholar] [CrossRef] [PubMed]
- Li, X.; Wang, L.; Guan, B.; Xu, C.; Hu, Y.; Han, R.; Li, X.; Ni, Y.; Zeng, J.; Amirzada, M.I. Biochemical characterization of a β-galactosidase from Lactiplantibacillus plantarum YLBGNL-S7 and utilization of its permeabilized whole-cell catalyst for in situ galactooligosaccharide synthesis during yogurt making. LWT-Food Sci. Technol. 2025, 215, 117234. [Google Scholar] [CrossRef]
- Davis, L.; Martinez, I.; Walter, J.; Hutkins, R. A dose dependent impact of prebiotic galactooligosaccharides on the intestinal microbiota of healthy adults. Int. J. Food Microbiol. 2010, 144, 285–292. [Google Scholar] [CrossRef] [PubMed]
- Wang, G.X.; Jiang, J.; Liu, L.H.; Huang, J. Recombinant beta-galactosidase derived from Enterobacter cloacae Zjut HJ2001 for efficient biotransformation of galactooligosaccharides. Biochem. Eng. J. 2024, 212, 109514. [Google Scholar] [CrossRef]
- Nakazawa, Y.; Kageyama, M.; Matsuzawa, T.; Liang, Z.Q.; Kobayashi, K.; Shimizu, H.; Maeda, K.; Masuhiro, M.; Motouchi, S.; Kumano, S.; et al. Structure and function of a β-1,2-galactosidase from Bacteroides xylanisolvens, an intestinal bacterium. Commun. Biol. 2025, 8, 66. [Google Scholar] [CrossRef]
- Liu, P.; Chen, Y.H.; Ma, C.Q.; Ouyang, J.; Zheng, Z.J. β-Galactosidase: A traditional enzyme given multiple roles through protein engineering. Crit. Rev. Food Sci. 2025, 65, 1306–1325. [Google Scholar] [CrossRef]
- Duan, X.G.; Luan, S.Y. Efficient secreted expression of natural intracellular β-galactosidase from Bacillus aryabhattai via non-classical protein secretion pathway in Bacillus subtilis. Int. J. Biol. Macromol. 2023, 248, 125758. [Google Scholar] [CrossRef]
- Zerva, A.; Limnaios, A.; Kritikou, A.S.; Thomaidis, N.S.; Taoukis, P.; Topakas, E. A novel thermophile β-galactosidase from Thermothielavioides terrestris producing galactooligosaccharides from acid whey. New Biotechnol. 2021, 63, 45–53. [Google Scholar] [CrossRef]
- Iqbal, S.; Nguyen, T.H.; Nguyen, H.A.; Nguyen, T.T.; Maischberger, T.; Kittl, R.; Haltrich, D. Characterization of a Heterodimeric GH2 β-Galactosidase from Lactobacillus sakei Lb790 and Formation of Prebiotic Galacto-oligosaccharides. J. Agric. Food Chem. 2011, 59, 3803–3811. [Google Scholar] [CrossRef]
- Nguyen, T.-T.; Nguyen, H.A.; Arreola, S.L.; Mlynek, G.; Djinović-Carugo, K.; Mathiesen, G.; Nguyen, T.-H.; Haltrich, D. Homodimeric β-Galactosidase from Lactobacillus delbrueckii subsp. bulgaricus DSM 20081: Expression in Lactobacillus plantarum and Biochemical Characterization. J. Agric. Food Chem. 2012, 60, 1713–1721. [Google Scholar]
- Katrolia, P.; Yan, Q.J.; Jia, H.Y.; Li, Y.N.; Jiang, Z.Q.; Song, C.L. Molecular cloning and high-level expression of a β-galactosidase gene from Paecilomyces aerugineus in Pichia pastoris. J. Mol. Catal. B-Enzym. 2011, 69, 112–119. [Google Scholar] [CrossRef]
- Yin, H.; Bultema, J.B.; Dijkhuizen, L.; van Leeuwen, S.S. Reaction kinetics and galactooligosaccharide product profiles of the β-galactosidases from Bacillus circulans, Kluyveromyces lactis and Aspergillus oryzae. Food Chem. 2017, 225, 230–238. [Google Scholar] [CrossRef]
- Vera, C.; Córdova, A.; Aburto, C.; Guerrero, C.; Suárez, S.; Illanes, A. Synthesis and purification of galacto-oligosaccharides: State of the art. World J. Microb. Biotechnol. 2016, 32, 197. [Google Scholar] [CrossRef] [PubMed]
- Li, J.; Wang, J.Y.; Yan, Q.J.; Guan, L.Y.; Yang, S.Q.; Jiang, Z.Q. Biochemical characterization of a novel C-terminally truncated β-galactosidase from Paenibacillus antarcticus with high transglycosylation activity. J. Dairy Sci. 2024, 107, 10141–10152. [Google Scholar] [CrossRef] [PubMed]
- Jin, X.P.; Cheng, Z.; Zhang, Y.L.; Petrova, P.; Petrov, K.; Zhang, W.L.; Mu, W.M. A New β-Galactosidase from Pseudomonas tritici SWRI145 for efficient bioproduction of galactooligosaccharides. Foods 2025, 14, 3125. [Google Scholar] [CrossRef]
- Zhao, J.H.; Niu, D.D.; Liu, J.Q.; Jin, Z.L.; McHunu, N.P.; Singh, S.; Wang, Z.X. Enhancing β-Galactosidase performance for galactooligosaccharides preparation via strategic glucose re-tunneling. Int. J. Mol. Sci. 2024, 25, 12316. [Google Scholar] [CrossRef]
- Wu, Y.; Yuan, S.; Chen, S.; Wu, D.; Chen, J.; Wu, J. Enhancing the production of galacto-oligosaccharides by mutagenesis of Sulfolobus solfataricus β-galactosidase. Food Chem. 2013, 138, 1588–1595. [Google Scholar] [CrossRef]
- Arsov, A.; Ivanov, I.; Tsigoriyna, L.; Petrov, K.; Petrova, P. In vitro production of galactooligosaccharides by a novel β-galactosidase of Lactobacillus bulgaricus. Int. J. Mol. Sci. 2022, 23, 14308. [Google Scholar] [CrossRef] [PubMed]
- Mulualem, D.M.; Agbavwe, C.; Ogilvie, L.A.; Jones, B.V.; Kilcoyne, M.; O’Byrne, C.; Boyd, A. Metagenomic identification, purification and characterisation of the Bifidobacterium adolescentis BgaC β-galactosidase. Appl. Microbiol. Biotechnol. 2021, 105, 1063–1078. [Google Scholar] [CrossRef] [PubMed]
- Cramer, J.F.; Kjaer, K.H.; Yde, C.C.; Wichmann, J.; Jensen, H.M.; Kortman, G.A.M.; Dellomonaco, C.; Ewert, J. β-galactosidase from Bifidobacterium bifidum for improved in situ synthesis of GOS-oligomers with prebiotic effects. Int. Dairy J. 2025, 163, 106164. [Google Scholar] [CrossRef]
- Zhao, L.; Zhou, Y.; Qin, S.; Qin, P.; Chu, J.; He, B. β-Galactosidase BMG without galactose and glucose inhibition: Secretory expression in i and for synthesis of oligosaccharide. Int. J. Biol. Macromol. 2018, 120, 274–278. [Google Scholar] [CrossRef]
- Ren, G.; Cao, L.; Kong, W.; Wang, Z.; Liu, Y. Efficient secretion of the β-galactosidase Bgal1-3 via both Tat-dependent and Tat-independent pathways in Bacillus subtilis. J. Agric. Food Chem. 2016, 64, 5708–5716. [Google Scholar] [CrossRef] [PubMed]
- Yu, H.Y.; Wang, Y.L.; Yang, Z.S.; Ying, J.B.; Guan, F.F.; Liu, B.L.; Miao, M.; Mohamed, A.; Wei, X.; Yang, Y.J.; et al. Enhancing the synthesis efficiency of galacto-oligosaccharides of a β-galactosidase from Paenibacillus barengoltzii by engineering the active and distal sites. Food Chem. 2025, 483, 144208. [Google Scholar] [CrossRef]
- Lutz-Wahl, S.; Mozer, H.; Kussler, A.; Schulz, A.; Seitl, I.; Fischer, L. A new β-galactosidase from Paenibacillus wynnii with potential for industrial applications. J. Dairy Sci. 2024, 107, 3429–3442. [Google Scholar] [CrossRef]
- Zhang, W.L.; Ren, H.; Chen, J.J.; Ni, D.W.; Xu, W.; Mu, W.M. Enhancement of the D-allulose 3-epimerase expression in Bacillus subtilis through both transcriptional and translational regulations. J. Agric. Food Chem. 2024, 72, 8052–8059. [Google Scholar] [CrossRef]
- Zhang, W.; Xiong, S.; Ni, D.; Huang, Z.; Ding, J.; Mu, W. Engineering Bacillus subtilis for highly efficient production of functional disaccharide lactulose from lactose. Int. J. Biol. Macromol. 2024, 271, 132478. [Google Scholar] [CrossRef] [PubMed]
- Xiao, J.; Peng, B.; Su, Z.W.; Liu, A.K.; Hu, Y.J.; Nomura, C.T.; Chen, S.W.; Wang, Q. Facilitating protein expression with portable 5′-UTR secondary structures in Bacillus licheniformis. ACS Synth. Biol. 2020, 9, 1051–1058. [Google Scholar] [CrossRef] [PubMed]
- Tian, R.; Liu, Y.; Chen, J.; Li, J.; Liu, L.; Du, G.; Chen, J. Synthetic N-terminal coding sequences for fine-tuning gene expression and metabolic engineering in Bacillus subtilis. Metab. Eng. 2019, 55, 131–141. [Google Scholar] [CrossRef] [PubMed]






Disclaimer/Publisher’s Note: The statements, opinions and data contained in all publications are solely those of the individual author(s) and contributor(s) and not of MDPI and/or the editor(s). MDPI and/or the editor(s) disclaim responsibility for any injury to people or property resulting from any ideas, methods, instructions or products referred to in the content. |
© 2025 by the authors. Licensee MDPI, Basel, Switzerland. This article is an open access article distributed under the terms and conditions of the Creative Commons Attribution (CC BY) license (https://creativecommons.org/licenses/by/4.0/).
Share and Cite
Cheng, Z.; Jin, X.; Zhang, Y.; Ni, D.; Zhu, Y.; Xu, W.; Zhang, W.; Mu, W. Characterization of a β-Galactosidase from Kosakonia oryzendophytica and Its Heterologous Expression in Bacillus subtilis for Galactooligosaccharides Production. Molecules 2025, 30, 4343. https://doi.org/10.3390/molecules30224343
Cheng Z, Jin X, Zhang Y, Ni D, Zhu Y, Xu W, Zhang W, Mu W. Characterization of a β-Galactosidase from Kosakonia oryzendophytica and Its Heterologous Expression in Bacillus subtilis for Galactooligosaccharides Production. Molecules. 2025; 30(22):4343. https://doi.org/10.3390/molecules30224343
Chicago/Turabian StyleCheng, Zhuo, Xiangpeng Jin, Yulei Zhang, Dawei Ni, Yingying Zhu, Wei Xu, Wenli Zhang, and Wanmeng Mu. 2025. "Characterization of a β-Galactosidase from Kosakonia oryzendophytica and Its Heterologous Expression in Bacillus subtilis for Galactooligosaccharides Production" Molecules 30, no. 22: 4343. https://doi.org/10.3390/molecules30224343
APA StyleCheng, Z., Jin, X., Zhang, Y., Ni, D., Zhu, Y., Xu, W., Zhang, W., & Mu, W. (2025). Characterization of a β-Galactosidase from Kosakonia oryzendophytica and Its Heterologous Expression in Bacillus subtilis for Galactooligosaccharides Production. Molecules, 30(22), 4343. https://doi.org/10.3390/molecules30224343

