Cyclophane-Based Dendrimers: Today and Tomorrow
Abstract
1. Introduction
2. Dendrimers with Cyclophane Fragments as a Core
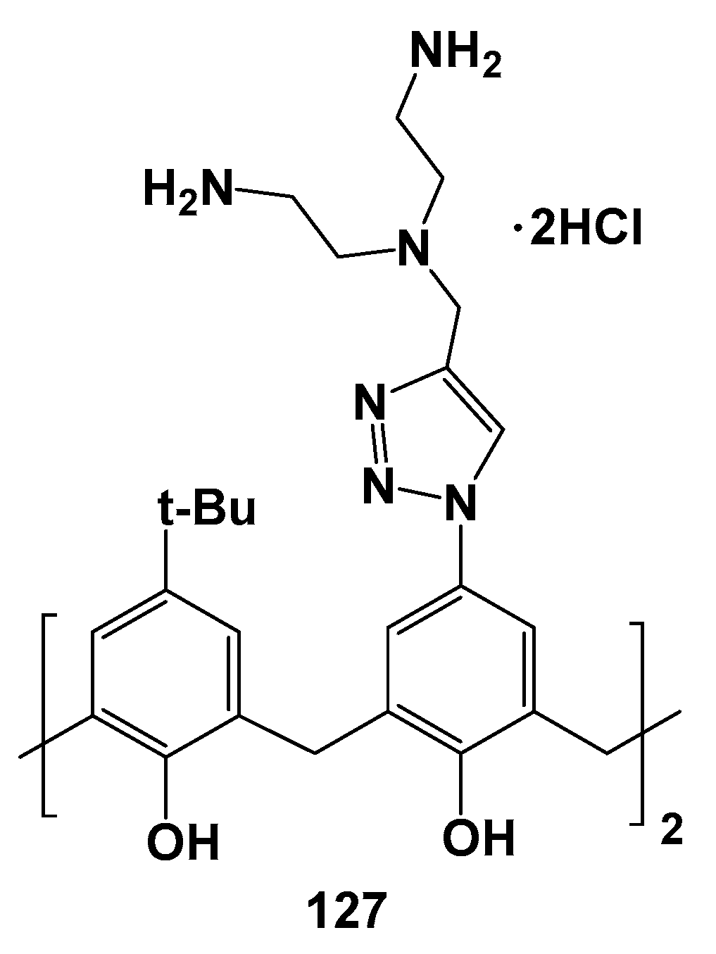
2.1. Dendrimers Based on Pillararenes
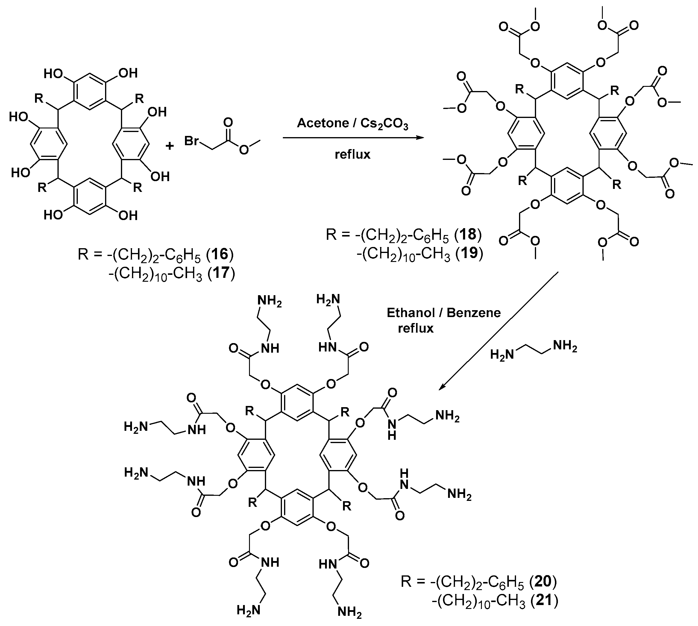
2.2. Dendrimers Based on Resorcinarenes
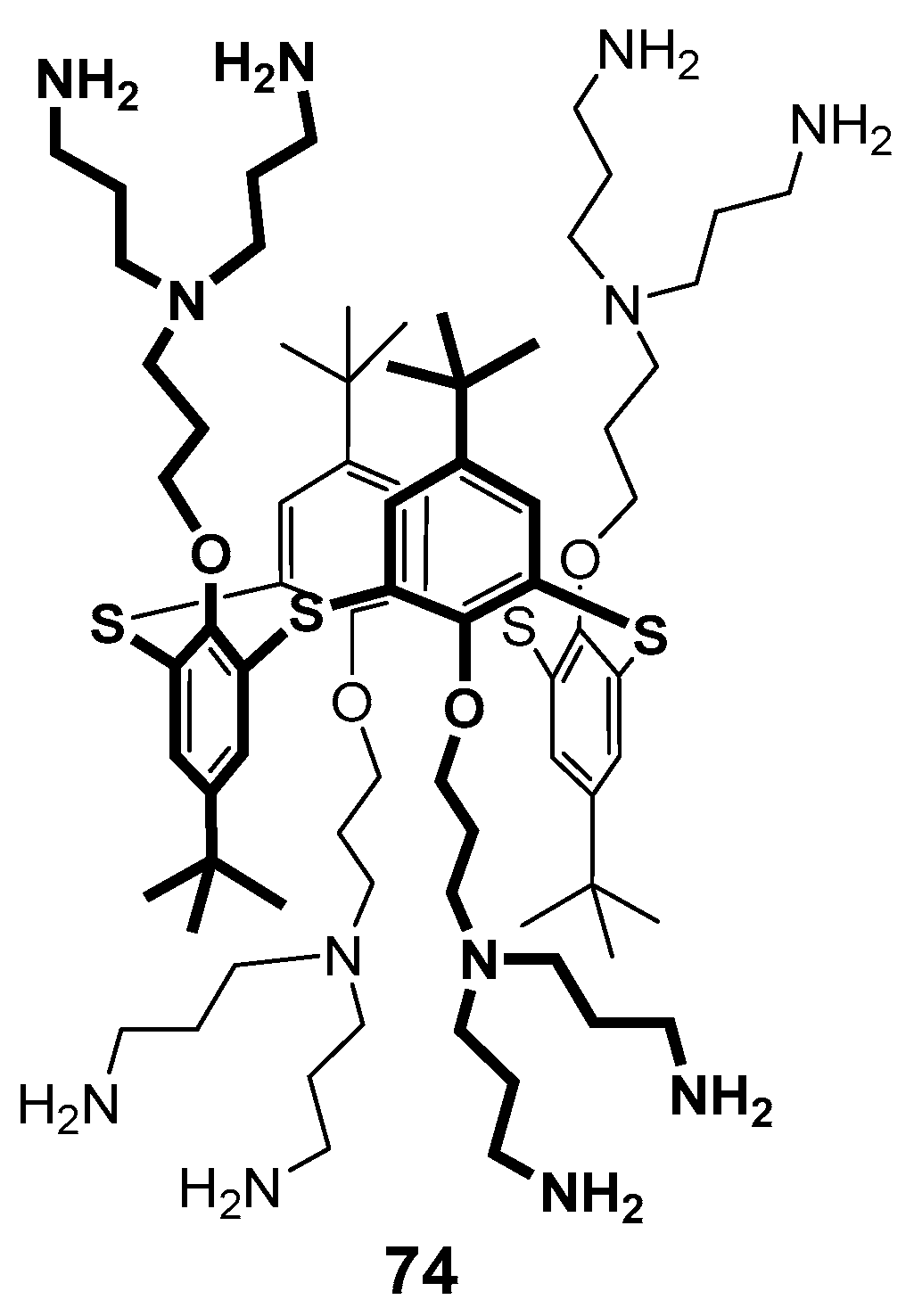
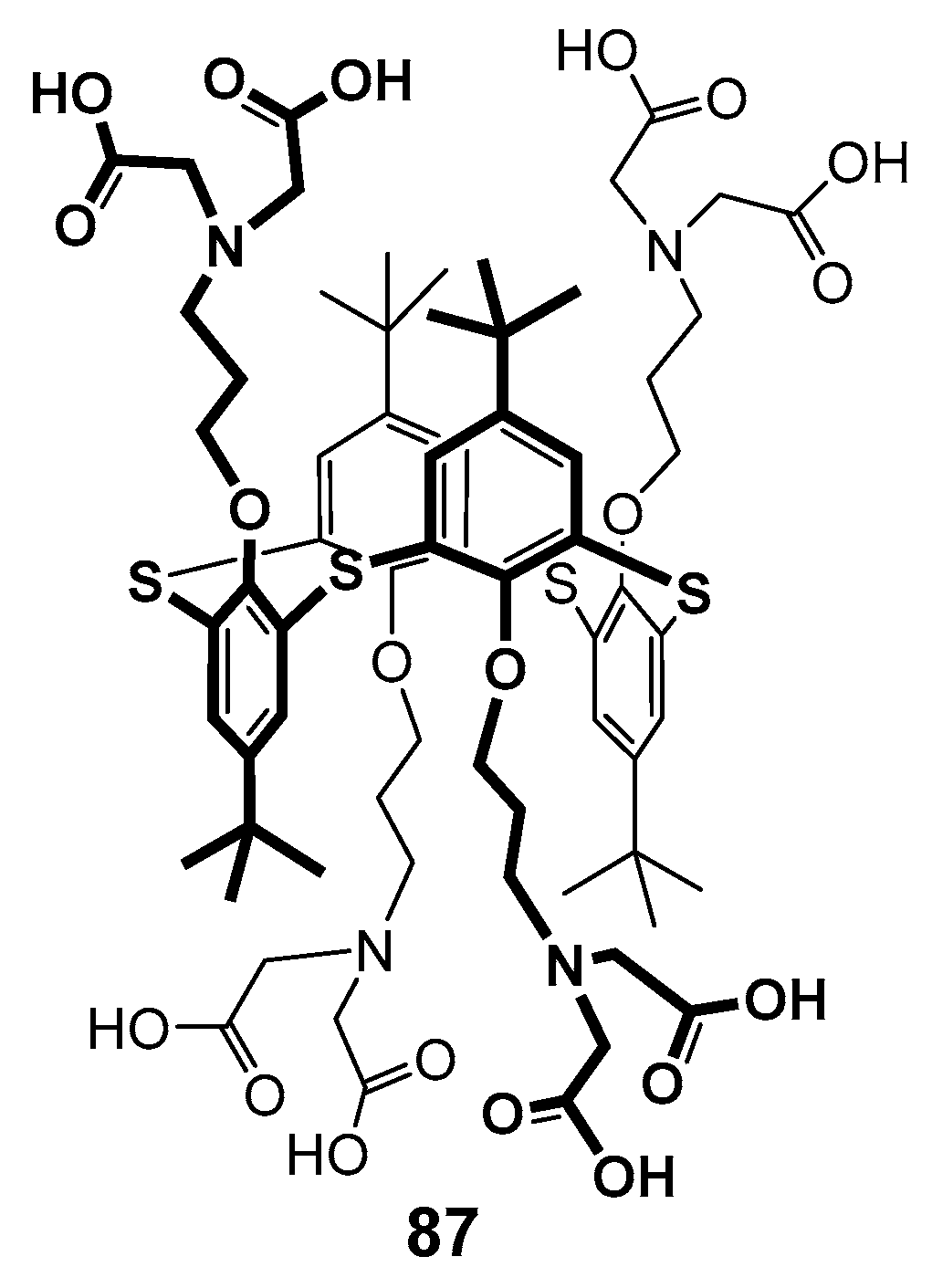
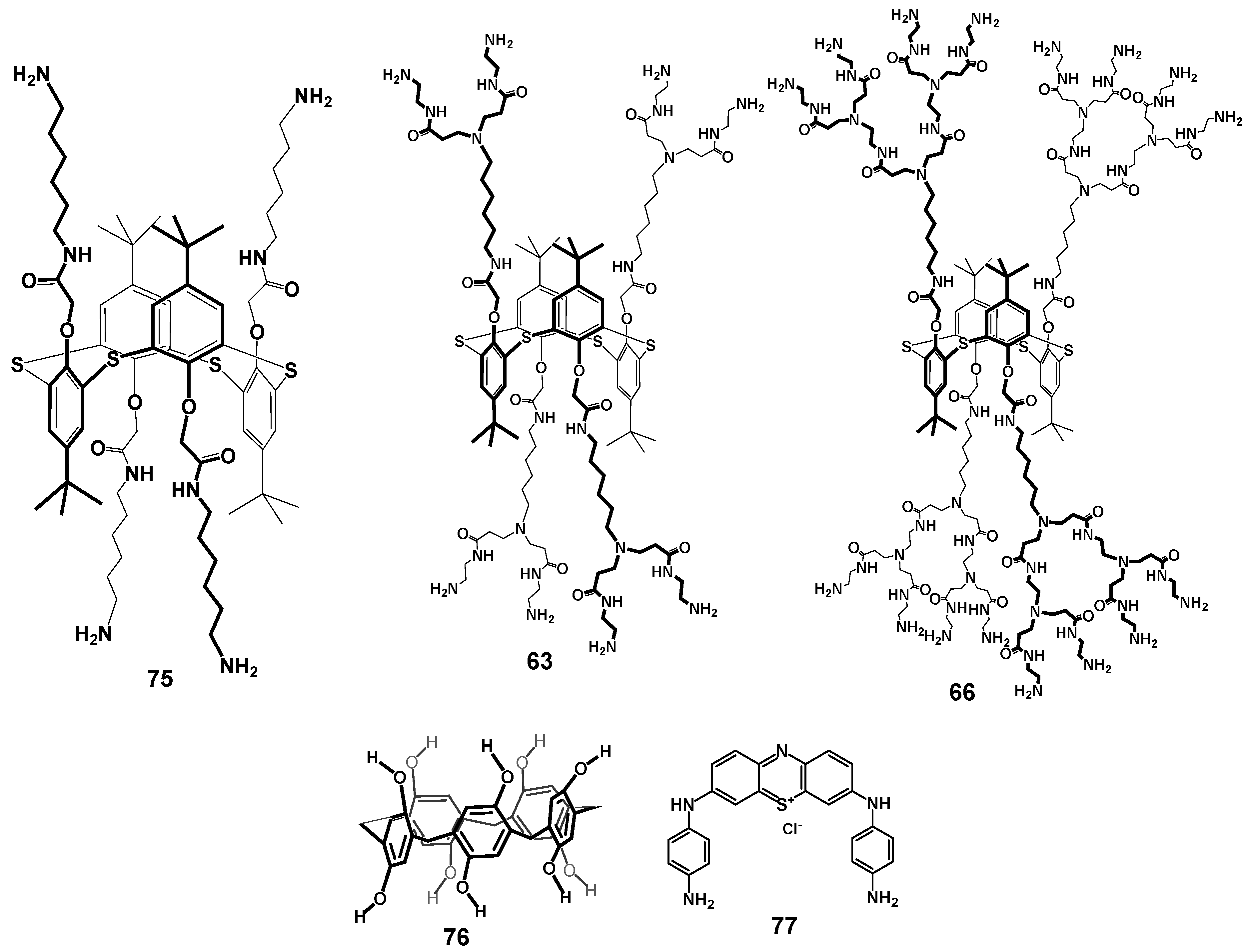
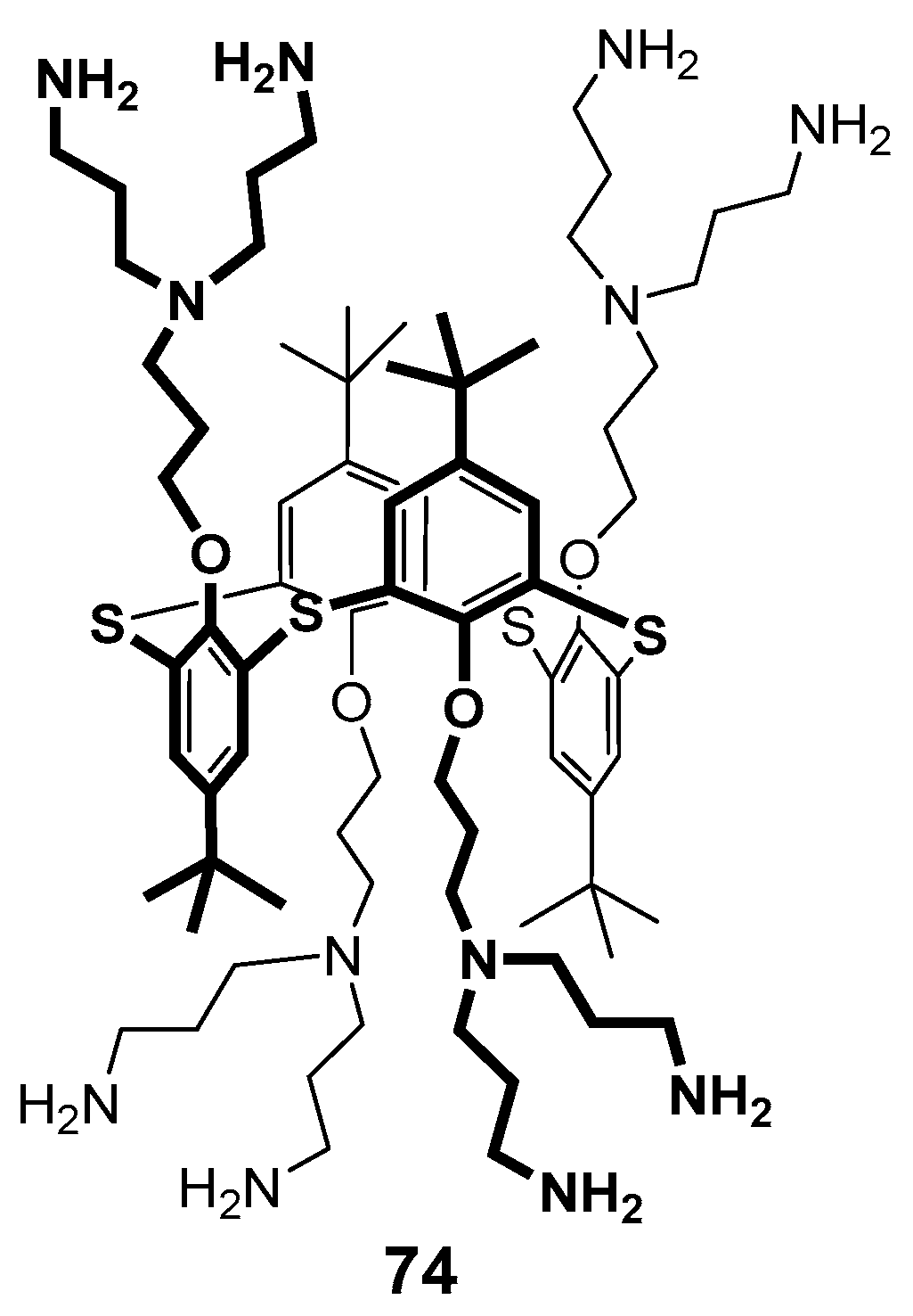
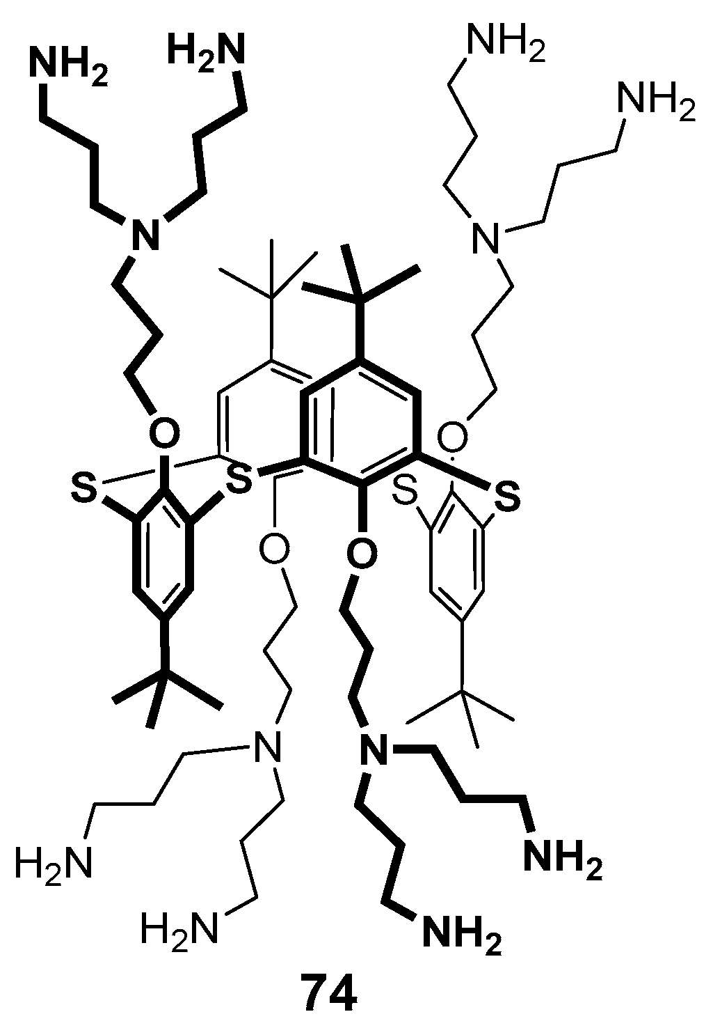
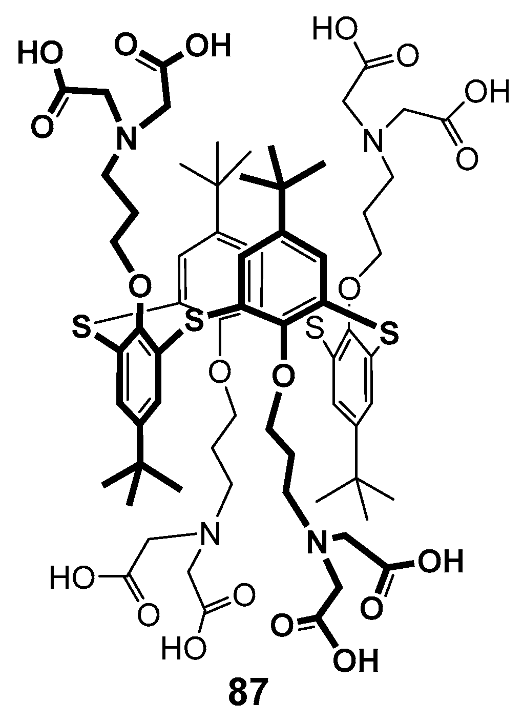
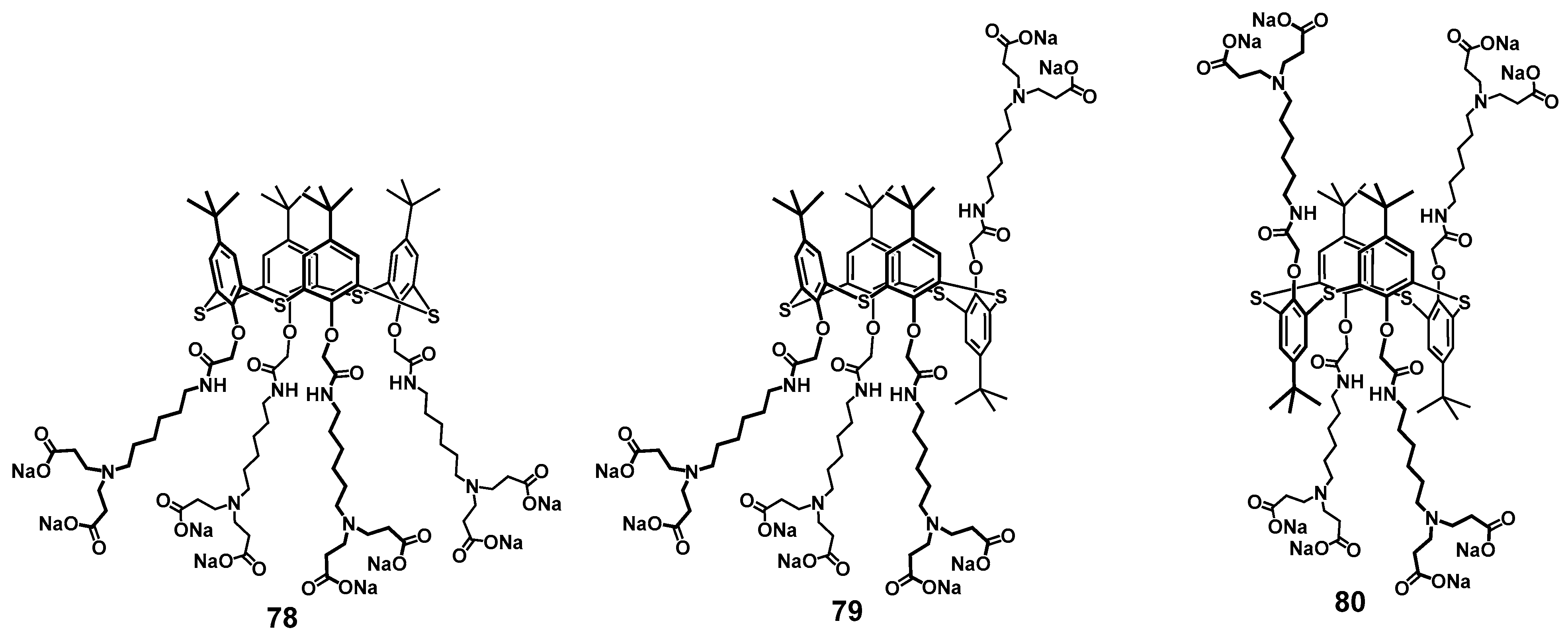
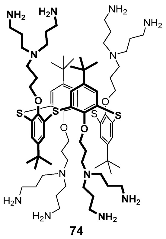
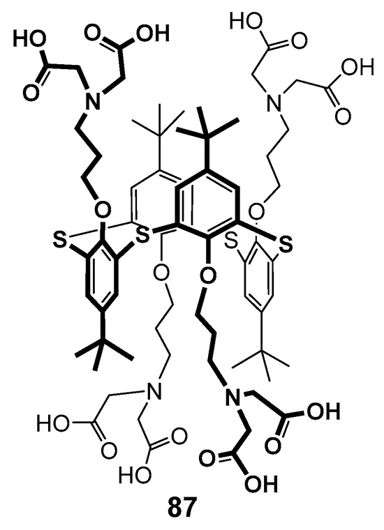
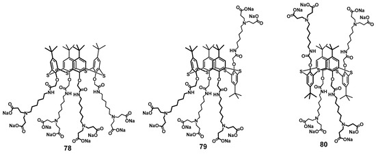
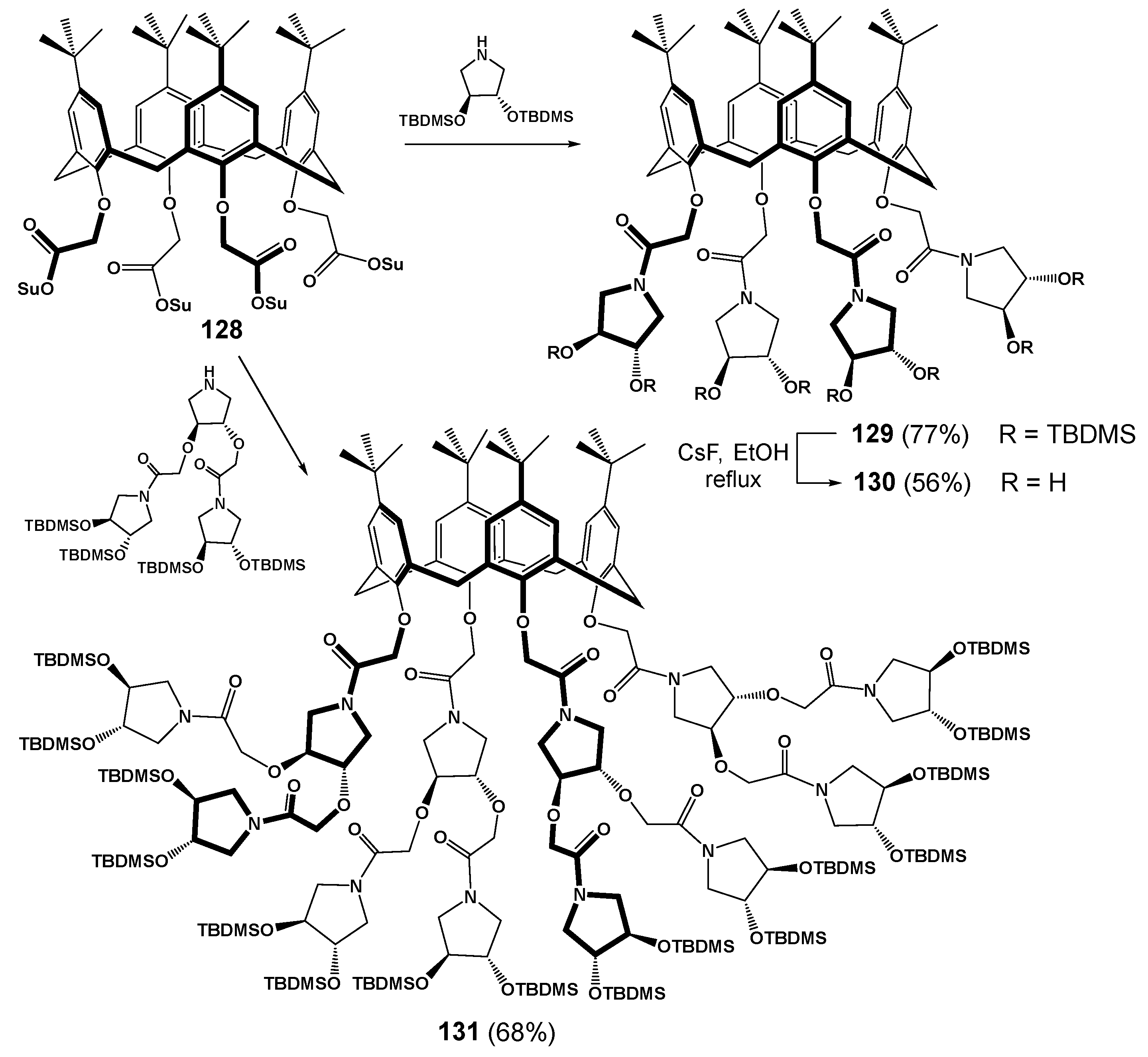
2.3. Dendrimers Based on (Thia)Calixarenes
2.4. Dendrimers with Addition Cyclophane Fragments in the Branches
3. Supramolecular Cyclophane Dendrimers
4. Conclusions
Author Contributions
Funding
Institutional Review Board Statement
Informed Consent Statement
Data Availability Statement
Conflicts of Interest
References
- Buhleir, E.; Wehner, W.; Vögtle, F. “Cascade”- and “Nonskid-Chain-like” Syntheses of Molecular Cavity Topologies. Synthesis 1978, 2, 155–158. [Google Scholar] [CrossRef]
- Tomalia, D.A.; Baker, H.; Dewald, J.; Hall, M.; Kallos, G.; Martin, S.; Roeck, J.; Ryder, J.; Smith, P. New Class of Polymers: Starburst-Dendritic Macromolecules. Polym. J. 1985, 17, 117–132. [Google Scholar] [CrossRef]
- Tomalia, D.A.; Nixon, L.S.; Hedstrand, D.M. The role of branch cell symmetry and other critical nanoscale design parameters in the determination of dendrimer encapsulation properties. Biomolecules 2020, 10, 642. [Google Scholar] [CrossRef]
- Gondkar, S.B.; Rasal, S.P.; Saudagar, R.B. Dendrimer: Asian J. Pharm. Res. 2016, 6, 188–192. [Google Scholar] [CrossRef]
- Patel, P.; Patel, V.; Patel, P.M. Synthetic strategy of dendrimers: A review. J. Indian Chem. Soc. 2022, 99, 100514. [Google Scholar] [CrossRef]
- Sarode, R.J.; Mahajan, H.S. Dendrimers for drug delivery: An overview of its classes, synthesis, and applications. J. Drug Deliv. Sci. Technol. 2024, 98, 105896. [Google Scholar] [CrossRef]
- Muzafarov, A.M.; Rebrov, Ε.A.; Papkov, V.S. Three-dimensionally growing polyorganosiloxanes. Possibilities of molecular construction in highly functional systems. Russ. Chem. Rev. 1991, 60, 807–814. [Google Scholar] [CrossRef]
- Karakhanov, E.; Maximov, A.; Zolotukhina, A. Heterogeneous Dendrimer-Based Catalysts. Polymers 2022, 14, 981. [Google Scholar] [CrossRef]
- Ortega, M.Á.; Merino, A.G.; Fraile-Martínez, O.; Recio-Ruiz, J.; Pekarek, L.; Guijarro, L.G.; García-Honduvilla, N.; Álvarez-Mon, M.; Buján, J.; García-Gallego, S. Dendrimers and Dendritic Materials: From Laboratory to Medical Practice in Infectious Diseases. Pharmaceutics 2020, 12, 874. [Google Scholar] [CrossRef] [PubMed]
- Wang, J.; Li, B.; Qiu, L.; Qiao, X.; Yang, H. Dendrimer-based drug delivery systems: History, challenges, and latest developments. J. Biol. Eng. 2022, 16, 18. [Google Scholar] [CrossRef]
- Astruc, D.; Boisselier, E.; Ornelas, C. Dendrimers Designed for Functions: From Physical, Photophysical, and Supramolecular Properties to Applications in Sensing, Catalysis, Molecular Electronics, Photonics, and Nanomedicine. Chem. Rev. 2010, 110, 1857–1959. [Google Scholar] [CrossRef]
- Li, L.; Deng, Y.; Zeng, Y.; Yan, B.; Deng, Y.; Zheng, Z.; Li, S.; Yang, Y.; Hao, J.; Xiao, X.; et al. The application advances of dendrimers in biomedical field. View 2023, 4, 20230023. [Google Scholar] [CrossRef]
- Beezer, A.E.; King, A.S.H.; Martin, I.K.; Mitchel, J.C.; Twyman, L.J.; Wain, C.F. Dendrimers as potential drug carriers; encapsulation of acidic hydrophobes within water soluble PAMAM derivatives. Tetrahedron 2003, 59, 3873–3880. [Google Scholar] [CrossRef]
- Madaan, K.; Kumar, S.; Poonia, N.; Lather, V.; Pandita, D. Dendrimers in drug delivery and targeting: Drug-dendrimer interactions and toxicity issues. J. Pharm. Bioallied Sci. 2014, 6, 139–150. [Google Scholar] [CrossRef]
- Starpharma. Available online: https://www.starpharma.com/company (accessed on 11 August 2025).
- Labieniec-Watala, M.; Watala, C. PAMAM Dendrimers: Destined for Success or Doomed to Fail? Plain and Modified PAMAM Dendrimers in the Context of Biomedical Applications. J. Pharm. Sci. 2015, 104, 2–14. [Google Scholar] [CrossRef]
- Rana, A.; Adhikary, M.; Singh, P.K.; Das, B.C.; Bhatnagar, S. “Smart” drug delivery: A window to future of translational medicine. Front. Chem. 2022, 10, 1095598. [Google Scholar] [CrossRef] [PubMed]
- Caminade, A.-M.; Wei, Y.; Majoral, J.-P. Dendrimers and macrocycles: Reciprocal influence on the properties. Comptes Rendus Chim. 2009, 12, 105–120. [Google Scholar] [CrossRef]
- Wang, X.; Ma, L.; Li, C.; Yang, Y.-W. Macrocycle-Based Antibacterial Materials. Chem. Mater. 2024, 36, 2177–2193. [Google Scholar] [CrossRef]
- Jimenez, D.G.; Poongavanam, V.; Kihlberg, J. Macrocycles in Drug Discovery—Learning from the Past for the Future. J. Med. Chem. 2023, 66, 5377–5396. [Google Scholar] [CrossRef] [PubMed]
- Driggers, E.M.; Hale, S.P.; Lee, J.; Terrett, N.K. The exploration of macrocycles for drug discovery—An underexploited structural class. Nat. Rev. Drug Discov. 2008, 7, 608–624. [Google Scholar] [CrossRef] [PubMed]
- Stoikov, I.I.; Antipin, I.S.; Burilov, V.A.; Kurbangalieva, A.R.; Rostovskii, N.V.; Pankova, A.S.; Balova, I.A.; Remizov, Y.O.; Pevzner, L.M.; Petrov, M.L.; et al. Organic Chemistry in Russian Universities. Achievements of Recent Years. Russ. J. Org. Chem. 2024, 60, 1361–1584. [Google Scholar] [CrossRef]
- Nag, K.; Singh, D.R.; Shetti, A.N.; Kumar, H.; Sivashanmugam, T.; Parthasarathy, S. Sugammadex: A revolutionary drug in neuromuscular pharmacology. Anesth. Essays Res. 2013, 7, 302–306. [Google Scholar] [CrossRef]
- Shurpik, D.N.; Mostovaya, O.A.; Sevastyanov, D.A.; Lenina, O.A.; Sapunova, A.S.; Voloshina, A.D.; Petrov, K.A.; Kovyazina, I.V.; Cragg, P.J.; Stoikov, I.I. Supramolecular neuromuscular blocker inhibition by a pillar[5]arene through aqueous inclusion of rocuronium bromide. Org. Biomol. Chem. 2019, 17, 9951–9959. [Google Scholar] [CrossRef] [PubMed]
- Zhao, Q.; Zhu, J.; Chen, Y.; Dong, H.; Zhou, S.; Yin, Y.; Cai, Q.; Chen, S.; Chen, C.; Wang, L. Trapping and Reversing Neuromuscular Blocking Agent by Anionic Pillar[5]arenes: Understanding the Structure-Affinity-Reversal Effects. J. Hazard. Mater. 2024, 469, 133875. [Google Scholar] [CrossRef]
- Zhao, Y.; Chen, L.; Chen, J.; Li, J.; Meng, Q.; Sue, A.C.-H.; Li, C. Water-soluble terphen[3]arene macrocycle: A versatile reversal agent of neuromuscular blockers. Chem. Commun. 2023, 59, 5858–5861. [Google Scholar] [CrossRef] [PubMed]
- Selinger, A.J.; Cavallin, N.A.; Yanai, A.; Birol, I.; Hof, F. Template-Directed Synthesis of Bivalent, Broad-Spectrum Hosts for Neuromuscular Blocking Agents. Angew. Chem. 2022, 134, e202113235. [Google Scholar] [CrossRef]
- Pedersen, C.J. The Discovery of Crown Ethers (Noble Lecture). Angew. Chem. Int. Ed. Engl. 1988, 27, 1021–1027. [Google Scholar] [CrossRef]
- Lehn, J.-M. Supramolecular Chemistry—Scope and Perspectives Molecules, Supermolecules, and Molecular Devices (Nobel Lecture). Angew. Chem. Int. Ed. Engl. 1988, 27, 89–112. [Google Scholar] [CrossRef]
- Crini, G. Review: A History of Cyclodextrins. Chem. Rev. 2014, 114, 10940–10975. [Google Scholar] [CrossRef]
- Paolesse, R.; Nardis, S.; Monti, D.; Stefanelli, M.; Di Natale, C. Porphyrinoids for Chemical Sensor Applications. Chem. Rev. 2017, 117, 2517–2583. [Google Scholar] [CrossRef]
- Cheng, G.; Luo, J.; Liu, Y.; Chen, X.; Wu, Z.; Chen, T. Cucurbituril-Oriented Nanoplatforms in Biomedical Applications. ACS Appl. Bio Mater. 2020, 3, 8211–8824. [Google Scholar] [CrossRef] [PubMed]
- Kumar, R.; Sharma, A.; Singh, H.; Suating, P.; Kim, H.S.; Sunwoo, K.; Shim, I.; Gibb, B.C.; Kim, J.S. Revisiting Fluorescent Calixarenes: From Molecular Sensors to Smart Materials. Chem. Rev. 2019, 119, 9657–9721. [Google Scholar] [CrossRef]
- Lei, H.; Li, X.; Meng, J.; Zheng, H.; Zhang, W.; Cao, R. Structure Effects of Metal Corroles on Energy-Related Small Molecule Activation Reactions. ACS Catal. 2019, 9, 4320–4344. [Google Scholar] [CrossRef]
- Zyryanov, G.V.; Kopchuk, D.S.; Kovalev, I.S.; Santra, S.; Majee, A.; Ranu, B.C. Pillararenes as Promising Carriers for Drug Delivery. Int. J. Mol. Sci. 2023, 24, 5167. [Google Scholar] [CrossRef]
- Kralj, M.; Tušek-Božić, L.; Frkanec, L. Biomedical Potentials of Crown Ethers: Prospective Antitumor Agents. ChemMedChem 2008, 3, 1478–1492. [Google Scholar] [CrossRef]
- Chehardoli, G.; Bahmani, A. The role of crown ethers in drug delivery. Supramol. Chem. 2019, 31, 221–238. [Google Scholar] [CrossRef]
- Vatsadze, S.Z.; Maximov, A.L.; Bukhtiyarov, V.I. Supramolecular Effects and Systems in Catalysis. A Review. Dokl. Chem. 2022, 502, 1–27. [Google Scholar] [CrossRef]
- Gutsche, C.D. Calixarenes Revisited. Monographs in Supramolecular Chemistry; Stoddart, J.F., Ed.; The Royal Society of Chemistry: Cambridge, UK, 1998; 248p. [Google Scholar] [CrossRef]
- Morohashi, N.; Narumi, F.; Iki, N.; Hattori, T.; Miyano, S. Thiacalixarenes. Chem. Rev. 2006, 106, 5291–5316. [Google Scholar] [CrossRef]
- Jain, V.K.; Kanaiya, P.H. Chemistry of calix[4]resorcinarenes. Russ. Chem. Rev. 2011, 80, 75–102. [Google Scholar] [CrossRef]
- Ogoshi, T.; Yamagishi, T.; Nakamoto, Y. Pillar-Shaped Macrocyclic Hosts Pillar[n]arenes: New Key Players for Supramolecular Chemistry. Chem. Rev. 2016, 116, 7937–8002. [Google Scholar] [CrossRef] [PubMed]
- Fasting, C.; Schalley, C.A.; Weber, M.; Seitz, O.; Hecht, S.; Koksch, B.; Dernedde, J.; Graf, C.; Knapp, E.-W.; Haag, R. Multivalency as a chemical organization and action principle. Angew. Chem. Int. Ed. 2012, 51, 10472–10498. [Google Scholar] [CrossRef] [PubMed]
- Fa, S.; Kakuta, T.; Yamagishi, T.; Ogoshi, T. Conformation and Planar Chirality of Pillar[n]arenes. Chem. Lett. 2019, 48, 1278–1287. [Google Scholar] [CrossRef]
- Chen, J.-F.; Ding, J.-D.; Wei, T.-B. Pillararenes: Fascinating planar chiral macrocyclic arenes. Chem. Commun. 2021, 57, 9029–9039. [Google Scholar] [CrossRef]
- Barron, L.D. Chirality and Life. In Strategies of Life Detection; Botta, O., Bada, J.L., Gomez-Elvira, J., Javaux, E., Selsis, F., Summons, R., Eds.; Space Sciences Series of ISSI; Springer: Boston, MA, USA, 2008; Volume 25, pp. 187–201. [Google Scholar] [CrossRef]
- Blackmond, D.G. The origin of biological homochirality. Cold Spring Harb. Perspect. Biol. 2010, 2, a002147. [Google Scholar] [CrossRef]
- Uppuluri, S.; Swanson, D.R.; Piehler, L.T.; Li, J.; Hagnauer, G.L.; Tomalia, D.A. Core-Shell Tecto(dendrimers): I. Synthesis and Characterization of Saturated Shell Models. Adv. Mater. 2000, 12, 796–800. [Google Scholar] [CrossRef]
- Zhu, Y.; Gao, Y.; Rebek, J.; Yu, Y. Recent Applications of Pillararene-Inspired Water-Soluble Hosts. Chem. Eur. J. 2025, 31, e202404424. [Google Scholar] [CrossRef]
- Zhang, H.; Liu, Z.; Xin, F.; Zhao, Y. Metal-ligated pillararene materials: From chemosensors to multidimensional self-assembled architectures. Coord. Chem. Rev. 2020, 420, 213425. [Google Scholar] [CrossRef]
- Yan, M.; Zhou, J. Pillararene-Based Supramolecular Polymers for Cancer Therapy. Molecules 2023, 28, 1470. [Google Scholar] [CrossRef]
- Nierengarten, I.; Nothisen, M.; Sigwalt, D.; Biellmann, T.; Holler, M.; Remy, J.-S.; Nierengarten, J.-F. Polycationic Pillar[5]arene Derivatives: Interaction with DNA and Biological Applications. Chem. Eur. J. 2013, 19, 17552–17558. [Google Scholar] [CrossRef]
- Buffet, K.; Nierengarten, I.; Galanos, N.; Gillon, E.; Holler, M.; Imberty, A.; Matthews, S.E.; Vidal, S.; Vincent, S.P.; Nierengarten, J.-F. Pillar[5]arene-Based Glycoclusters: Synthesis and Multivalent Binding to Pathogenic Bacterial Lectins. Chem. Eur. J. 2016, 22, 2955–2963. [Google Scholar] [CrossRef] [PubMed]
- Stoikov, D.; Ivanov, A.; Shafigullina, I.; Gavrikova, M.; Padnya, P.; Shiabiev, I.; Stoikov, I.; Evtugyn, G. Flow-Through Amperometric Biosensor System Based on Functionalized Aryl Derivative of Phenothiazine and PAMAM-Calix-Dendrimers for the Determination of Uric Acid. Biosensors 2024, 14, 120. [Google Scholar] [CrossRef]
- Planells, M.; Abate, A.; Hollman, D.J.; Stranks, S.D.; Bharti, V.; Gaur, J.; Mohanty, D.; Chand, S.; Snaith, H.J.; Robertson, N. Diacetylene bridged triphenylamines as hole transport materials for solid state dye sensitized solar cells. J. Mater. Chem. A 2013, 1, 6949–6960. [Google Scholar] [CrossRef]
- Bettucci, O.; Pascual, J.; Turren-Cruz, S.-H.; Cabrera-Espinoza, A.; Matsuda, W.; Vӧlker, S.F.; Kӧbler, H.; Nierengarten, I.; Reginato, G.; Collavini, S.; et al. Dendritic-Like Molecules Built on a Pillar[5]arene Core as Hole Transporting Materials for Perovskite Solar Cells. Chem. Eur. J. 2021, 27, 8110–8117. [Google Scholar] [CrossRef] [PubMed]
- Timmerman, P.; Verboom, W.; Reinhoudt, D.N. Resorcinarenes. Tetrahedron 1996, 52, 2663–2704. [Google Scholar] [CrossRef]
- Tero, T.-R.; Nissinen, M. A perspective to resorcinarene crowns. Tetrahedron 2014, 70, 1111–1123. [Google Scholar] [CrossRef]
- Wang, K.; Liu, Q.; Zhou, L.; Sun, H.; Yao, X.; Hu, X.-Y. State-of-the-art and recent progress in resorcinarene-based cavitand. Chin. Chem. Lett. 2023, 34, 108559. [Google Scholar] [CrossRef]
- Wiegmann, S.; Fukuhara, G.; Neumann, B.; Stammler, H.-G.; Inoue, Y.; Mattay, J. Inherently Chiral Resorcin[4]arenes with Urea and Amide Side Arms: Synthesis, Structure and Chiral Recognition. Eur. J. Org. Chem. 2013, 2013, 1240–1245. [Google Scholar] [CrossRef]
- Castillo-Aguirre, A.A.; Sanabria-Español, E.; Maldonado, M.; Esteso, M.A. DMSO-controlled self-assembly of supramolecular structures of aryl-resorcinarenes. J. Mol. Liq. 2023, 387, 122703. [Google Scholar] [CrossRef]
- Li, M.; Soon Ho, C.K.; Wee On, I.K.; Gandon, V.; Zhu, Y. Inherently chiral resorcinarene cavitands through ionic catalyst-controlled cross-coupling. Chem 2024, 10, 3323–3341. [Google Scholar] [CrossRef]
- García Márquez, A.; Gutiérrez Nava, M.; Domínguez Chavez, J.G.; Klimova, E.; Klimova, T.; Martínez-Garcia, M. Supramolecular Complexes of Resorcinarene-Dendrimers and Fullerene C60. Fuller. Nanotub. Car. N. 2006, 14, 357–363. [Google Scholar] [CrossRef]
- Domínguez Chavez, J.G.; Gutiérrez Nava, M.; Flores Maturano, J.; Klimova, T.; Klimova, E.; Martínez-Garcia, M. Synthesis of Allyl-Bearing Dendrimers with a Resorcinarene Core and Their Supramolecular Complexes with Fullerene C60. J. Nanosci. Nanotechnol. 2007, 7, 1377–1385. [Google Scholar] [CrossRef]
- Lijanova, I.V.; Monter, R.G.; Likhanova, N.V.; Garibay, F.V.; Olivares, X.O.C. Synthesis of PAMAM dendrimers with a resorcinarene core and their metal complexation. Supramol. Chem. 2012, 24, 56–64. [Google Scholar] [CrossRef]
- Sandra, C.M.; Eduardo, C.C.; Simon, H.O.; Teresa, R.A.; Antonio, N.C.; Lijanova, I.V.; Marcos, M.G. Anticancer activity and anti-inflammatory studies of 5-aryl-1,4-benzodiazepine derivatives. Anticancer Agents Med. Chem. 2012, 12, 611–618. [Google Scholar] [CrossRef]
- Cortez-Maya, S.; Hernández-Ortega, S.; Ramírez-Apan, T.; Lijanova, I.V.; Martínez-García, M. Synthesis of 5-aryl-1,4-benzodiazepine derivatives attached in resorcinaren-PAMAM dendrimers and their anti-cancer activity. Bioorg. Med. Chem. 2012, 20, 415–421. [Google Scholar] [CrossRef] [PubMed]
- Bonelli, P.; Tuccillo, F.M.; Calemma, R.; Pezzetti, F.; Borrelli, A.; Martinelli, R.; De Rosa, A.; Esposito, D.; Palaia, R.; Castello, G. Changes in the gene expression profile of gastric cancer cells in response to ibuprofen: A gene pathway analysis. Pharmacogenomics J. 2011, 11, 412–428. [Google Scholar] [CrossRef]
- Yao, M.; Zhou, W.; Sangha, S.; Albert, A.; Chang, A.J.; Liu, T.C.; Wolfe, M.M. Effects of Nonselective Cyclooxygenase Inhibition with Low-Dose Ibuprofen on Tumor Growth, Angiogenesis, Metastasis, and Survival in a Mouse Model of Colorectal Cancer. Clin. Cancer Res. 2005, 11, 1618–1628. [Google Scholar] [CrossRef] [PubMed]
- Pedro-Hernández, L.D.; Martínez-Klimova, E.; Cortez-Maya, S.; Mendoza-Cardozo, S.; Ramírez-Ápan, T.; Martínez-García, M. Synthesis, Characterization, and Nanomedical Applications of Conjugates between Resorcinarene-Dendrimers and Ibuprofen. Nanomaterials 2017, 7, 163. [Google Scholar] [CrossRef]
- Mendoza-Cardozo, S.; Pedro-Hernández, L.D.; Organista-Mateos, U.; Allende-Alarcón, L.I.; Martínez-Klimova, E.; Ramírez-Ápan, T.; Martínez-García, M. In vitro activity of resorcinarene-chlorambucil conjugates for therapy in human chronic myelogenous leukemia cells. Drug Dev. Ind. Pharm. 2019, 45, 683–688. [Google Scholar] [CrossRef] [PubMed]
- Cortez-Maya, S.; Klimova, E.; Puente Lee, R.I.; Borja-Miranda, A.; Martínez-García, M. Synthesis and Characterization of Ferrocenyl Carboxilic Surface-Functionalized Resorcinaren-PAMAM Dendrimers. Curr. Org. Chem. 2015, 19, 1954–1960. [Google Scholar] [CrossRef]
- Pedro-Hernández, L.D.; Martínez-Klimova, E.; Martínez-Klimov, M.E.; Cortez-Maya, S.; Vargas-Medina, A.C.; Ramírez-Ápan, T.; Hernández-Ortega, S.; Martínez-García, M. Anticancer Activity of Resorcinarene-PAMAM-Dendrimer Conjugates of Flutamide. Anti-Cancer Agents Med. Chem. 2018, 18, 993–1000. [Google Scholar] [CrossRef]
- Knyazeva, I.R.; Syakaev, V.V.; Habicher, W.D.; Burilov, A.R. Novel first-generation dendrimers on calix[4]resorcinol core equipped with multiple triazole units. Mendeleev Commun. 2022, 32, 103–104. [Google Scholar] [CrossRef]
- Cheriaa, N.; Mahouachi, M.; Othman, A.B.; Baklouti, L.; Abidi, R.; Kim, J.S.; Kim, Y.; Harrowfield, J.; Vicens, J. Calixdendrimers. In Calixarenes in the Nanoworld; Vicens, J., Harrowfield, J., Eds.; Springer: Dordrecht, The Netherlands, 2007; pp. 89–108. [Google Scholar]
- Lhoták, P.; Shinkai, S. Synthesis and metal-binding properties of oligo-calixarenes. An approach towards the calix[4]arene-based dendrimers. Tetrahedron 1995, 51, 7681–7696. [Google Scholar] [CrossRef]
- Štatastný, V.; Stibor, I.; Dvořáková, H.; Lhoták, P. Synthesis of (thia)calix[4]arene oligomers: Towards calixarene-based dendrimers. Tetrahedron 2004, 60, 3383–3391. [Google Scholar] [CrossRef]
- Xu, H.; Kinsel, G.R.; Zhang, J.; Li, M.; Rudkevich, D.M. Calixarene amino acids; building blocks for calixarene peptides and peptide-dendrimers. Tetrahedron 2003, 59, 5837–5848. [Google Scholar] [CrossRef]
- Mahouachi, M.; Kim, Y.; Lee, S.H.; Abidi, R.; Harrowfield, J.; Vicens, J. Calixarene-based Hyperbranched Molecules with an N,S-Multidentate Ligand Core. Supramol. Chem. 2005, 14, 323–330. [Google Scholar] [CrossRef]
- Kellermann, M.; Bauer, W.; Hirsch, A.; Schade, B.; Ludwig, K.; Bӧttcher, C. The First Account of a Structurally Persistent Micelle. Angew. Chem. Int. Ed. 2004, 43, 2959–2962. [Google Scholar] [CrossRef] [PubMed]
- Appelhans, D.; Smet, M.; Khimich, G.; Komber, H.; Voigt, D.; Lhoták, P.; Kucklinge, D.; Voit, B. Lysine dendrimers based on thiacalix[4]arene core moieties as molecular scaffolds for supramolecular host systems. New J. Chem. 2005, 29, 1386–1389. [Google Scholar] [CrossRef]
- Zhang, F.; Sun, Y.; Tian, D.; Shin, W.S.; Kim, J.S.; Li, H. Selective molecular recognition on calixarene-functionalized 3D surfaces. Chem. Commun. 2016, 52, 12685–12693. [Google Scholar] [CrossRef]
- Shiabiev, I.; Pysin, D.; Kharlamova, A.; Zueva, I.; Petrov, K.; Bukharov, M.; Babaeva, O.; Mostovaya, O.; Padnya, P.; Stoikov, I. Design of reversible cholinesterase inhibitors: Fine-tuning of enzymatic activity by PAMAM-calix-dendrimers. Int. J. Biol. Macromol. 2025, 287, 138503. [Google Scholar] [CrossRef]
- Terenteva, O.; Mostovaya, O.; Bukharov, M.; Mykhametzyanov, T.; Bikmukhametov, A.; Lyubina, A.; Voloshina, A.; Petrov, K.; Padnya, P.; Stoikov, I. Peptidomimetics based on thiacalixarene with L-tyrosine moieties: Antibacterial activity against methicillin-resistant Staphylococcus aureus and degradation induced by binding to α-chymotrypsin. Bioorg. Chem. 2025, 160, 108434. [Google Scholar] [CrossRef]
- Mostovaya, O.; Shiabiev, I.; Pysin, D.; Stanavaya, A.; Abashkin, V.; Shcharbin, D.; Padnya, P.; Stoikov, I. PAMAM-Calix-Dendrimers: Second Generation Synthesis, Fluorescent Properties and Catecholamines Binding. Pharmaceutics 2022, 14, 2748. [Google Scholar] [CrossRef]
- Mostovaya, O.A.; Padnya, P.L.; Shurpik, D.N.; Shiabiev, I.E.; Stoikov, I.I. Novel lactide derivatives of p-tert-butylthiacalix[4]arene: Directed synthesis and molecular recognition of catecholamines. J. Mol. Liq. 2021, 327, 114806. [Google Scholar] [CrossRef]
- Mostovaya, O.; Shiabiev, I.; Ovchinnikov, D.; Pysin, D.; Mukhametzyanov, T.; Stanavaya, A.; Abashkin, V.; Shcharbin, D.; Khannanov, A.; Kutyreva, M.; et al. PAMAM-Calix-Dendrimers: Third Generation Synthesis and Impact of Generation and Macrocyclic Core Conformation on Hemotoxicity and Calf Thymus DNA Binding. Pharmaceutics 2024, 16, 1379. [Google Scholar] [CrossRef]
- Fischer, D.; Li, Y.; Ahlemeyer, B.; Krieglstein, J.; Kissel, T. In Vitro Cytotoxicity Testing of Polycations: Influence of Polymer Structure on Cell Viability and Hemolysis. Biomaterials 2003, 24, 1121–1131. [Google Scholar] [CrossRef]
- Dománski, D.M.; Klajnert, B.; Bryszewska, M. Influence of PAMAM Dendrimers on Human Red Blood Cells. Bioelectrochemistry 2004, 63, 189–191. [Google Scholar] [CrossRef]
- Mostovaya, O.; Padnya, P.; Shiabiev, I.; Mukhametzyanov, T.; Stoikov, I. PAMAM-calix-dendrimers: Synthesis and Thiacalixarene Conformation Effect on DNA Binding. Int. J. Mol. Sci. 2021, 22, 11901. [Google Scholar] [CrossRef]
- Khairutdinov, B.; Ermakova, E.; Sitnitsky, A.; Stoikov, I.; Zuev, Y. Supramolecular complex formed by DNA oligonucleotide and thiacalix[4]arene. NMR-spectroscopy and molecular docking. J. Mol. Struct. 2014, 1074, 126–133. [Google Scholar] [CrossRef]
- Yakimova, L.S.; Puplampu, J.B.; Evtugin, G.A.; Stoikov, I.I. Polyfunctional branched nitrogen-containing p-tert-butylthiacalix[4]arene derivatives as efficient agents for packaging calf thymus DNA. Russ. Chem. Bull. 2017, 66, 1515–1523. [Google Scholar] [CrossRef]
- Padnya, P.; Shiabiev, I.; Pysin, D.; Gerasimova, T.; Ranishenka, B.; Stanavaya, A.; Abashkin, V.; Shcharbin, D.; Shi, X.; Shen, M.; et al. Non-Viral Systems Based on PAMAM-Calix-Dendrimers for Regulatory siRNA Delivery into Cancer Cells. Int. J. Mol. Sci. 2024, 25, 12614. [Google Scholar] [CrossRef] [PubMed]
- Zare, M.; Pemmada, R.; Madhavan, M.; Shailaja, A.; Ramakrishna, S.; Kandiyil, S.P.; Donahue, J.M.; Thomas, V. Encapsulation of miRNA and siRNA into Nanomaterials for Cancer Therapeutics. Pharmaceutics 2022, 14, 1620. [Google Scholar] [CrossRef]
- Kulikova, T.; Padnya, P.; Shiabiev, I.; Rogov, A.; Stoikov, I.; Evtugyn, G. Electrochemical Sensing of Interactions between DNA and Charged Macrocycles. Chemosensors 2021, 9, 347. [Google Scholar] [CrossRef]
- Kulikova, T.; Shamagsumova, R.; Rogov, A.; Stoikov, I.; Padnya, P.; Shiabiev, I.; Evtugyn, G. Electrochemical DNA-Sensor Based on Macrocyclic Dendrimers with Terminal Amino Groups and Carbon Nanomaterials. Sensors 2023, 23, 4761. [Google Scholar] [CrossRef]
- Padnya, P.; Mostovaya, O.; Ovchinnikov, D.; Shiabiev, I.; Pysin, D.; Akhmedov, A.; Mukhametzyanov, T.; Lyubina, A.; Voloshina, A.; Petrov, K.; et al. Combined antimicrobial agents based on self-assembled PAMAM-calix-dendrimers/lysozyme nanoparticles: Design, antibacterial properties and cytotoxicity. J. Mol. Liq. 2023, 389, 122838. [Google Scholar] [CrossRef]
- Rosales-Hurtado, M.; Meffre, P.; Szurmant, H.; Benfodda, Z. Synthesis of histidine kinase inhibitors and their biological properties. Med. Res. Rev. 2020, 40, 1440–1495. [Google Scholar] [CrossRef]
- Alenazi, N.A.; Aleanizy, F.S.; Alqahtani, F.Y.; Aldossari, A.A.; Alanazi, M.M.; Alfaraj, R. Anti-quorum sensing activity of poly-amidoamine dendrimer generation 5 dendrimer loaded kinase inhibitor peptide against methicillin-resistant Staphylococcus aureus. Saudi Pharm. J. 2024, 32, 101932. [Google Scholar] [CrossRef]
- Nazarova, A.; Shiabiev, I.; Shibaeva, K.; Mostovaya, O.; Mukhametzyanov, T.; Khannanov, A.; Evtugyn, V.; Zelenikhin, P.; Shi, X.; Shen, M.; et al. Thiacalixarene Carboxylic Acid Derivatives as Inhibitors of Lysozyme Fibrillation. Int. J. Mol. Sci. 2024, 25, 4721. [Google Scholar] [CrossRef]
- Martinez, A.; Castro, A. Novel cholinesterase inhibitors as future effective drugs for the treatment of Alzheimer’s disease. Expert Opin. Investig. Drugs 2006, 15, 1–12. [Google Scholar] [CrossRef]
- Mantegazza, R.; Bonanno, S.; Camera, G.; Antozzi, C. Current and emerging therapies for the treatment of myasthenia gravis. Neuropsychiatr. Dis. Treat. 2011, 7, 151–160. [Google Scholar] [CrossRef] [PubMed]
- Shurpik, D.N.; Padnya, P.L.; Stoikov, I.I.; Cragg, P.J. Antimicrobial Activity of Calixarenes and Related Macrocycles. Molecules 2020, 25, 5145. [Google Scholar] [CrossRef] [PubMed]
- Shiabiev, I.E.; Pysin, D.A.; Akhmedov, A.A.; Babaeva, O.B.; Babaev, V.M.; Lyubina, A.P.; Voloshina, A.D.; Petrov, K.A.; Padnya, P.L.; Stoikov, I.I. Towards antibacterial agents: Synthesis and biological activity of multivalent amide derivatives of thiacalix[4]arene with hydroxyl and amine groups. Pharmaceutics 2023, 15, 2731. [Google Scholar] [CrossRef]
- Shiabiev, I.E.; Pysin, D.A.; Padnya, P.L.; Stoikov, I.I. First-Generation Dendrimers Based on Thiacalix[4]arene Containing Hydroxyl Terminal Groups: Synthesis and Self-Assembly. Russ. J. Gen. Chem. 2022, 92, 2574–2581. [Google Scholar] [CrossRef]
- Mostovaya, O.A.; Vavilova, A.A.; Stoikov, I.I. Supramolecular Systems Based on Thiacalixarene Derivatives and Biopolymers. Colloid J. 2022, 84, 546–562. [Google Scholar] [CrossRef]
- Kamaly, N.; He, J.C.; Ausiello, D.A.; Farokhzad, N.K.O.C. Nanomedicines for renal disease: Current status and future applications. Nat. Rev. Nephrol. 2016, 12, 738–753. [Google Scholar] [CrossRef]
- Hao, M.; Chen, B.; Zhao, X.; Zhao, N.; Xu, F.-J. Organic/inorganic nanocomposites for cancer immunotherapy. Mater. Chem. Front. 2020, 4, 2571–2609. [Google Scholar] [CrossRef]
- Esfand, R.; Tomalia, D.A. Poly(amidoamine) (PAMAM) dendrimers: From biomimicry to drug delivery and biomedical applications. Drug Discov. Today 2001, 8, 117–236. [Google Scholar] [CrossRef]
- Stoikov, I.I.; Galukhin, A.V.; Zaikov, E.N.; Antipin, I.S. Synthesis and complexation properties of 1,3-alternate stereoisomers of p-tert-butylthiacalix[4]arenes tetrasubstituted at the lower rim by the phthalimide group. Mendeleev Commun. 2009, 19, 193–195. [Google Scholar] [CrossRef]
- Fayzullin, D.A.; Vylegzhanina, N.N.; Gnezdilov, O.I.; Salnikov, V.V.; Galukhin, A.V.; Stoikov, I.I.; Antipin, I.S.; Zuev, Y.F. Influence of Nature of Functional Groups on Interaction of Tetrasubstituted at Lower Rim p-tert-Butyl Thiacalix[4]arenes in 1,3-Alternate Configuration with Model Lipid Membranes. Appl. Magn. Reson. 2011, 40, 231–243. [Google Scholar] [CrossRef]
- Shibaeva, K.S.; Nazarova, A.A.; Kuznetsova, D.I.; Stoikov, I.I. Synthesis of aminobismethylenephosphonic acids on a platform of p-tert-Butylthiacalix[4]arene in 1,3-alternate configuration. Rus. J. Gen. Chem. 2016, 86, 579–583. [Google Scholar] [CrossRef]
- Yakimova, L.; Vavilova, A.; Shibaeva, K.; Sultanaev, V.; Mukhametzyanov, T.; Stoikov, I. Supramolecular approaches to the formation of nanostructures based on phosphonate-thiacalix[4]arenes, their selective lysozyme recognition. Colloids Surf. A Physicochem. Eng. Asp. 2021, 611, 125897. [Google Scholar] [CrossRef]
- Yakimova, L.S.; Sultanaev, V.R.; Vavilova, A.A.; Shibaeva, K.S.; Stoikov, I.I. Self-assembly of interpolyelectrolyte complexes and mixed micelles from guanidinium and phosphonate derivatives of p-tert-butylthiacalix[4]arene and solubilization of paclitaxel. J. Mol. Liq. 2024, 395, 123836. [Google Scholar] [CrossRef]
- Olenyuk, B.; Leininger, S.; Stang, P.J. Self-assembly of discrete cyclic nanostructures mediated by transition metals. Chem. Rev. 2000, 100, 853–907. [Google Scholar] [CrossRef]
- Št’astný, V.; Stibor, I.; Petříčková, H.; Sýkora, J.; Lhoták, P. Thiacalix[4]arene derivatives with proximally bridged lower rim. Tetrahedron 2005, 61, 9990–9995. [Google Scholar] [CrossRef]
- Fatykhova, A.M.; Sultanova, E.D.; Burilov, V.A.; Gafiatullin, B.K.; Fedoseeva, A.A.; Veshta, T.A.; Ziganshin, M.A.; Ziganshina, S.A.; Evtugyn, V.G.; Islamov, D.R.; et al. Gallic acid-based dendrimers with thiacalix[4]arene core: Synthesis, aggregation and use for Pd NP’s stabilization. New J. Chem. 2023, 47, 19223–19234. [Google Scholar] [CrossRef]
- Sultanova, E.D.; Fedoseeva, A.A.; Fatykhova, A.M.; Mironova, D.A.; Ziganshina, S.A.; Ziganshin, M.A.; Evtugyn, V.G.; Burilov, V.A.; Solovieva, S.E.; Antipin, I.S. Multi-functional imidazolium dendrimers based on thiacalix[4]arenes: Self-assembly, catalysis and DNA binding. Soft Matter 2024, 20, 7072–7082. [Google Scholar] [CrossRef]
- Ocherednyuk, E.A.; Sultanova, E.D.; Makarov, E.G.; Fedoseeva, A.A.; Khannanov, A.A.; Evtugyn, V.G.; Solovieva, S.E.; Burilov, V.A.; Antipin, I.S. Epichlorohydrin-based CuAAC dendrimers with a calix[4]arene core and polar hydroxyl/oxyethyl terminal groups: Synthesis, aggregation and use in catalysis. New J. Chem. 2024, 48, 13999–14012. [Google Scholar] [CrossRef]
- Burilov, V.; Makarov, E.; Mironova, D.; Sultanova, E.; Bilyukova, I.; Akyol, K.; Evtugyn, V.; Islamov, D.; Usachev, K.; Mukhametzyanov, T.; et al. Calix[4]arene Polyamine Triazoles: Synthesis, Aggregation and DNA Binding. Int. J. Mol. Sci. 2022, 23, 14889. [Google Scholar] [CrossRef]
- Burilov, V.A.; Fatikhova, G.A.; Dokuchaeva, M.N.; Nugmanov, R.I.; Mironova, D.A.; Dorovatovskii, P.V.; Khrustalev, V.N.; Solovieva, S.E.; Antipin, I.S. Synthesis of new p-tert-butylcalix[4]arene-based polyammonium triazolyl amphiphiles and their binding with nucleoside phosphates. Beilstein J. Org. Chem. 2018, 14, 1980–1993. [Google Scholar] [CrossRef]
- Marradi, M.; Cicchi, S.; Sansone, F.; Casnati, A.; Goti, A. Low-generation dendrimers with a calixarene core and based on a chiral C2-symmetric pyrrolidine as iminosugar mimics. Beilstein J. Org. Chem. 2012, 8, 951–957. [Google Scholar] [CrossRef] [PubMed]
- Kumar, S.; Yadav, M.S.; Singh, S.K.; Rajkhowa, S.; Tiwari, V.K. Synthesis of Calix[4]arene Appended Lactosylated G1 and Galactosylated G2 Generation Glycodendrimers using a ‘CuAAC’ Click Approach. SynOpen 2023, 7, 145–153. [Google Scholar] [CrossRef]
- Rahimi, M.; Karimian, R.; Mostafidi, E.; Noruzi, E.B.; Taghizadeh, S.; Shokouhi, B.; Kafil, H.S. Highly branched amine-functionalized p-sulfonatocalix[4]arene decorated with human plasma proteins as a smart, targeted, and stealthy nano-vehicle for the combination chemotherapy of MCF7 cells. New J. Chem. 2018, 42, 13010–13024. [Google Scholar] [CrossRef]
- Kritika; Roy, I. Therapeutic applications of magnetic nanoparticles: Recent advances. Mater. Adv. 2022, 3, 7425–7444. [Google Scholar] [CrossRef]
- Rudzevich, Y.; Fischer, K.; Schmidt, M.; Bӧhmer, V. Fourfold tetraurea calix[4]arenes—Potential cores for the formation of self-assembled dendrimers. Org. Biomol. Chem. 2005, 3, 3916–3925. [Google Scholar] [CrossRef] [PubMed]
- Rudzevich, Y.; Rudzevich, V.; Moon, C.; Schnell, I.; Fischer, K.; Bӧhmer, V. Self-Assembly of Programmed Building Blocks into Structurally Uniform Dendrimers. J. Am. Chem. Soc. 2005, 127, 14168–14169. [Google Scholar] [CrossRef] [PubMed]
- Bu, J.-H.; Zheng, Q.-Y.; Chen, C.-F.; Huang, Z.-T. The synthesis of calix[4]crown based dendrimer. Tetrahedron 2005, 61, 897–902. [Google Scholar] [CrossRef]
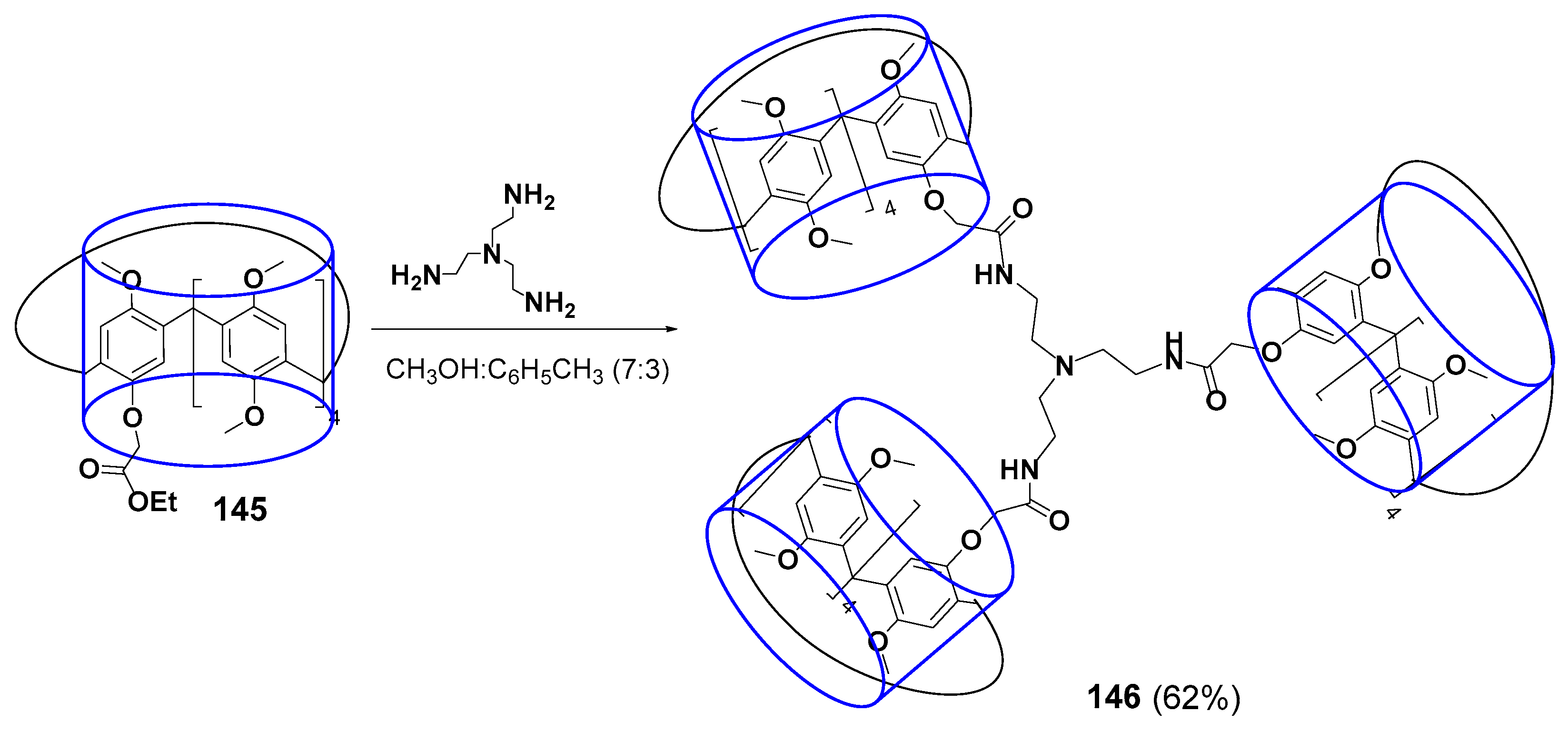
- Shurpik, D.N.; Yakimova, L.S.; Gorbachuk, V.V.; Sevastyanov, D.A.; Padnya, P.L.; Bazanova, O.B.; Rizvanov, I.K.; Stoikov, I.I. Hybrid multicyclophanes based on thiacalix[4]arene and pillar[5]arene: Synthesis and influence on the formation of polyaniline. Org. Chem. Front. 2018, 5, 2780–2786. [Google Scholar] [CrossRef]
- Khadieva, A.; Gorbachuk, V.; Shurpik, D.; Stoikov, I. Synthesis of Tris-pillar[5]arene and Its Association with Phenothiazine Dye: Colorimetric Recognition of Anions. Molecules 2019, 24, 1807. [Google Scholar] [CrossRef]
- Elizarov, A.M.; Chang, T.; Chiu, S.-H.; Stoddart, J.F. Self-Assembly of Dendrimers by Slippage. Org. Lett. 2002, 4, 3565–3568. [Google Scholar] [CrossRef]
- Liu, G.; Li, Z.; Wu, D.; Xue, W.; Li, T.; Liu, S.H.; Yin, J. Dendritic[2]Rotaxanes: Synthesis, Characterization, and Properties. J. Org. Chem. 2014, 79, 643–652. [Google Scholar] [CrossRef]
- Newkome, G.R.; Kim, H.J.; Choi, K.H.; Moorefield, C.N. Synthesis of Neutral Metallodendrimers Possessing Adamantane Termini: Supramolecular Assembly with β-Cyclodextrin. Macromolecules 2004, 37, 6268–6274. [Google Scholar] [CrossRef]
- Schönbeck, C.; Li, H.; Han, B.-H.; Laursen, B.W. Solvent Effects and Driving Forces in Pillararene Inclusion Complexes. J. Phys. Chem. B 2015, 119, 6711–6720. [Google Scholar] [CrossRef]
- Chi, X.; Xue, M. Inclusion[2]complexes based on a pillar[5]arene with mono(ethylene oxide) substituents and vinylogous viologens. RSC Adv. 2014, 4, 365–368. [Google Scholar] [CrossRef]
- Li, Q.; Han, K.; Li, J.; Jia, X.; Li, C. Synthesis of dendrimer-functionalized pillar[5]arenes and their self-assembly to dimeric and trimeric complexes. Tetrahedron Lett. 2015, 56, 3826–3829. [Google Scholar] [CrossRef]
- Li, C.; Han, K.; Li, J.; Zhang, Y.; Chen, W.; Yu, Y.; Jia, X. Supramolecular Polymers Based on Efficient Pillar[5]arene—Neutral Guest Motifs. Chem. Eur. J. 2013, 19, 11892–11897. [Google Scholar] [CrossRef] [PubMed]









































Disclaimer/Publisher’s Note: The statements, opinions and data contained in all publications are solely those of the individual author(s) and contributor(s) and not of MDPI and/or the editor(s). MDPI and/or the editor(s) disclaim responsibility for any injury to people or property resulting from any ideas, methods, instructions or products referred to in the content. |
© 2025 by the authors. Licensee MDPI, Basel, Switzerland. This article is an open access article distributed under the terms and conditions of the Creative Commons Attribution (CC BY) license (https://creativecommons.org/licenses/by/4.0/).
Share and Cite
Mostovaya, O.; Vavilova, A.; Gazizova, A.; Stoikov, I. Cyclophane-Based Dendrimers: Today and Tomorrow. Molecules 2025, 30, 4211. https://doi.org/10.3390/molecules30214211
Mostovaya O, Vavilova A, Gazizova A, Stoikov I. Cyclophane-Based Dendrimers: Today and Tomorrow. Molecules. 2025; 30(21):4211. https://doi.org/10.3390/molecules30214211
Chicago/Turabian StyleMostovaya, Olga, Alena Vavilova, Asiya Gazizova, and Ivan Stoikov. 2025. "Cyclophane-Based Dendrimers: Today and Tomorrow" Molecules 30, no. 21: 4211. https://doi.org/10.3390/molecules30214211
APA StyleMostovaya, O., Vavilova, A., Gazizova, A., & Stoikov, I. (2025). Cyclophane-Based Dendrimers: Today and Tomorrow. Molecules, 30(21), 4211. https://doi.org/10.3390/molecules30214211

