A Neodymium(III)-Based Hydrogen-Bonded Bilayer Framework with Dual Functions: Selective Ion Sensing and High Proton Conduction
Abstract
1. Introduction
2. Results and Discussion
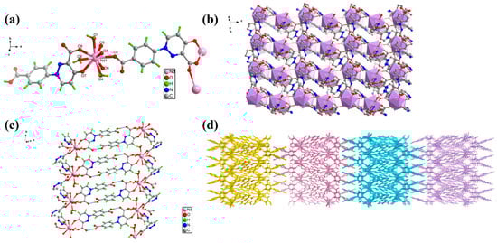
2.1. Crystal Structure Description of SNUT-15
2.2. FT-IR Spectra Analysis
2.3. Powder X-Ray Diffraction Analysis
2.4. Thermal Analysis
2.5. Morphological Analysis
2.6. XPS Analysis
2.7. Hirshfeld Surface Analysis
2.8. UV–Vis Absorption
2.9. Fluorescence Sensing Analysis
2.10. Proton Conductivity Analysis
3. Experimental Section
3.1. Materials and Methods
3.2. Synthesis of {Nd(H2O)3(4-CPCA)[H(4-CPCA)]∙H2O}n (SNUT-15)
3.3. Determination of Crystal Structures

3.4. Fluorescence Sensing Measurements
3.5. Proton Conductivity
4. Conclusions
Author Contributions
Funding
Institutional Review Board Statement
Informed Consent Statement
Data Availability Statement
Conflicts of Interest
References
- Ke, Z.J.; Zhuang, W.H.; Yu, J.X.; Liu, Q.Y.; Rao, X.P. Application of pyrene-based HOFs in ethyl cellulose-based food packaging films. Int. J. Biol. Macromol. 2025, 306, 141383–141395. [Google Scholar] [CrossRef]
- Xi, X.J.; Li, Y.; Lang, F.F.; Xu, L.; Pang, J.D.; Bu, X.H. Robust porous hydrogen-bonded organic frameworks: Synthesis and applications in gas adsorption and separation. Giant 2023, 16, 100181–100208. [Google Scholar] [CrossRef]
- Mohan, B.; Singh, G.; Gupta, R.K.; Sharma, P.K.; Solovev, A.A. Hydrogen–bonded organic frameworks (HOFs): Multifunctional material on analytical monitoring. Trends Anal. Chem. 2024, 170, 117436–117452. [Google Scholar] [CrossRef]
- Qiao, J.Q.; Zuo, S.W.; Li, Z.F.; Li, G. Latest progress in proton-conducting hydrogen–bonded organic frameworks. Inorg. Chem. Front. 2023, 10, 5856–5884. [Google Scholar] [CrossRef]
- Cai, S.Z.; An, Z.F.; Huang, W. Recent Advances in Luminescent Hydrogen–Bonded Organic Frameworks: Structures, Photophysical Properties, Applications. Adv. Funct. Mater. 2022, 32, 2207145–2207163. [Google Scholar] [CrossRef]
- Wang, Y.; Song, L.N.; Wang, X.X.; Wang, Y.F.; Xu, J.J. Hydrogen–Bonded Organic Frameworks-based Electrolytes with Controllable Hydrogen Bonding Networks for Solid–State Lithium Batteries. Angew. Chem. Int. Ed. 2024, 63, e202401910. [Google Scholar] [CrossRef]
- Yang, J.Y.; Wang, J.K.; Hou, B.H.; Huang, X.; Wang, T.; Bao, Y.; Hao, H.X. Porous hydrogen–bonded organic frameworks (HOFs): From design to potential applications. Chem. Eng. J. 2020, 399, 125873–125937. [Google Scholar] [CrossRef]
- Li, J.T.; Chen, B.L. Flexible hydrogen–bonded organic frameworks (HOFs): Opportunities and challenges. Chem. Sci. 2024, 15, 9874–9892. [Google Scholar] [CrossRef]
- Luo, J.; Liu, B.S.; Cao, C.; Wei, F. Neodymium(III) organic frameworks (Nd–MOF) as near infrared fluorescent probe for highly selectively sensing of Cu2+. Inorg. Chem. Commun. 2017, 76, 18–21. [Google Scholar] [CrossRef]
- Zhu, K.; Xu, X.; Yan, B. Lanthanide Functionalized Hydrogen-bonded Organic Framework Hybrid Materials: Luminescence Responsive Sensing, Intelligent Applications and Biomimetic Design. Acc. Mater. Res. 2024, 5, 1401–1414. [Google Scholar] [CrossRef]
- Xu, H.; Hu, H.C.; Cao, C.S.; Zhao, B. Lanthanide Organic Framework as a Regenerable Luminescent Probe for Fe3+. Inorg. Chem. 2015, 54, 4585–4587. [Google Scholar] [CrossRef]
- Liu, B.; Wu, W.P.; Hou, L.; Wang, Y.Y. Four uncommon nanocage-based Ln–MOFs: Highly selective luminescent sensing for Cu2+ ions and selective CO2 capture. Chem. Commun. 2014, 50, 8731–8734. [Google Scholar] [CrossRef]
- Tang, Q.; Liu, S.X.; Liu, Y.W.; Miao, J.; Li, S.J.; Zhang, L.; Shi, Z.; Zheng, Z.P. Cation Sensing by a Luminescent Metal–Organic Framework with Multiple Lewis Basic Sites. Inorg. Chem. 2013, 52, 2799–2801. [Google Scholar] [CrossRef]
- Zhou, J.M.; Shi, W.; Xu, N.; Cheng, P. Highly Selective Luminescent Sensing of Fluoride and Organic Small–Molecule Pollutants Based on Novel Lanthanide Metal–Organic Frameworks. Inorg. Chem. 2013, 52, 8082–8090. [Google Scholar] [CrossRef]
- Xu, H.; Cao, C.S.; Zhao, B. A water–stable lanthanide–organic framework as recyclable luminescent probe for detecting pollutant phosphorus anions. Chem. Commun. 2015, 51, 10280–10283. [Google Scholar] [CrossRef]
- Li, Y.; Zhang, S.S.; Song, D.T. A Luminescent Metal–Organic Framework as a Turn-On Sensor for DMF Vapor. Angew. Chem. Int. Ed. 2013, 52, 710–713. [Google Scholar] [CrossRef] [PubMed]
- Qin, J.H.; Ma, B.; Liu, X.F.; Lu, H.L.; Dong, X.Y.; Zang, S.Q.; Hou, H.W. Aqueous- and vapor-phase detection of nitroaromatic explosives by a water–stable fluorescent microporous MOF directed by an ionic liquid. J. Mater. Chem. A 2015, 3, 12690–12697. [Google Scholar] [CrossRef]
- Hu, Y.L.; Ding, M.L.; Liu, X.Q.; Sun, L.B.; Jiang, H.L. Rational Synthesis of An Exceptionally Stable Zn(II) Metal–Organic Framework for Highly Selective and Sensitive Detection of Picric Acid. Chem. Commun. 2016, 52, 5734–5737. [Google Scholar] [CrossRef] [PubMed]
- Zheng, N.; Jia, B.; Liu, J.; Wang, X.J.; Zhang, D.; Zhang, H.R.; Wang, G.Q. Multi–strategy combined bionic coating for long–term robust protection against marine biofouling. J. Mater. Sci. Technol. 2025, 210, 265–277. [Google Scholar] [CrossRef]
- Liu, J.; Wang, X.; Zheng, N.; Yao, P.; Zhang, Y.; Xia, F.; Zhang, H.; Wang, P.; Zhang, C.; Min, X.; et al. Biomimetic fluorinated polysiloxane/polyurea–silica coating with rapid self–healing and anti–icing performances. Nano Res. 2025, 18, 94907514–94907525. [Google Scholar] [CrossRef]
- Kwon, N.H.; Han, S.; Kim, J.H.; Cho, E.S. Super Proton Conductivity Through Control of Hydrogen–Bonding Networks in Flexible Metal–Organic Frameworks. Small 2023, 19, 2301122–2301129. [Google Scholar] [CrossRef]
- Pérez, D.H.; González, J.A.; Romo, M.R.; Hernández, S.R.; Mejía, A.E.; Gil, P.M.; Piñon, N.S.; Garrido, A.S.; Pardavé, M.P. Electrochemical Nucleation and Growth of Neodymium on Glassy Carbon Electrodes using Reline as a Deep Eutectic Solvent. Electrochim. Acta 2025, 535, 146643–146654. [Google Scholar] [CrossRef]
- Huang, P.P.; Wu, T.T.; Tuo, M.Q.; Ge, J.; Huang, P.; Wang, W.Q.; Yang, J.P.; Pan, H.B.; Lu, J.F. Supramolecular complexes of Co(II), Zn(II) and Mn(II) based on a pyridazine dicarboxylic derivative: Synthesis, crystal structures and properties. J. Mol. Struct. 2024, 1307, 138061–138072. [Google Scholar] [CrossRef]
- Zhou, L.; Hu, Q.; Chai, L.Q.; Mao, K.H.; Zhang, H.S. X–ray characterization, spectroscopic, DFT calculations and Hirshfeld surface analysis of two 3–D supramolecular mononuclear zinc(II) and trinuclear copper(II) complexes. Polyhedron 2019, 158, 102–116. [Google Scholar] [CrossRef]
- Chai, L.Q.; An, H.L.; Chen, T.T.; Cai, Y.Y. Structural, spectroscopic, theoretical calculation and Hirshfeld surface analyses of 3–D supramolecular dinuclear zinc(II) and copper(II) complexes. J. Mol. Struct. 2024, 1299, 137151–137165. [Google Scholar] [CrossRef]
- Shobana, D.; Sudha, S.; Dimić, D. Structural elucidation and Z–scan investigation of NLO E-N’ –(4–formylbenzylidene)furan–2–carbohydrazide hydrate crystal. Opt. Mater. 2024, 152, 115437–115447. [Google Scholar] [CrossRef]
- Maithra, N.; Srivatsan, S.S.; Kumar, B.K.; Chethan, B.S.; Pruthviraj, K.; Kumar, D.C.V.; Kirthan, B.R.; Prabhakara, M.C.; Lokanath, N.K. Exploring the structural intricacies of 1D HOF in a novel hydrazone derivative exhibiting anticancer potential: A crystallographic and computational approach. J. Mol. Struct. 2025, 1322, 140523–140538. [Google Scholar] [CrossRef]
- Zheng, B.Z.; Fan, J.Y.; Chen, B.; Qin, X.; Wang, J.; Wang, F.; Deng, R.R.; Liu, X.G. Rare–Earth Doping in Nanostructured Inorganic Materials. Chem. Rev. 2022, 122, 5519–5603. [Google Scholar] [CrossRef] [PubMed]
- Hu, Z.C.; Deibert, B.J.; Li, J. Luminescent metal–organic frameworks for chemical sensing and explosive detection. Chem. Soc. Rev. 2014, 43, 5815–5840. [Google Scholar] [CrossRef] [PubMed]
- Annapragada, R.; Vandavasi, K.R.; Kanuparthy, P.R. Metal–organic framework membranes for proton exchange membrane fuel cells: A mini-review. Inorg. Chim. Acta 2023, 546, 121304–121311. [Google Scholar] [CrossRef]
- Biradha, K.; Goswami, A.; Moi, R.; Saha, S. Metal–organic frameworks as proton conductors: Strategies for improved proton conductivity. Dalton Trans. 2021, 50, 10655–10673. [Google Scholar] [CrossRef] [PubMed]
- Ji, G.X.; Han, Y.F.; Wang, J.J.; Sun, J.S.; Huang, X.Q.; Wang, C.A. A 3D Zn–MOF for luminescent sensing of p–nitrophenol and L–lysine, and enhanced proton conduction properties. Dye. Pigment. 2025, 235, 112601–112607. [Google Scholar] [CrossRef]
- Gao, J.H.; Wang, J.X.; Huang, P.P.; Liu, J.; Zheng, N.; Shi, J.; Xu, H.T.; Yue, S.Y.; Lu, J.F. A new pyrazine carboxyl derivative and its two d10 metal coordination polymers: Syntheses, characterization, DFT and property. J. Mol. Struct. 2023, 1290, 135935–135945. [Google Scholar] [CrossRef]
- Sheldrick, G.M. Crystal structure refinement with SHELXL. Acta Cryst. C 2015, 71, 3–8. [Google Scholar] [CrossRef]
- Dolomanov, O.V.; Bourhis, L.J.; Gildea, R.J.; Howard, J.A.K. OLEX2: A complete structure solution, refinement and analysis program. J. Appl. Crystallogr. 2009, 42, 339–341. [Google Scholar] [CrossRef]
















| Molecular Formula | C24H21N4NdO14 |
|---|---|
| CCDC number | 2,463,804 |
| Relative molecular mass | 733.69 |
| T/K | 293.00 |
| Crystal system | monoclinic |
| Space group | C2/c |
| a/Å | 60.631(13) |
| b/Å | 7.3249(14) |
| c/Å | 11.959(2) |
| α/(°) | 90 |
| β/(°) | 94.262(8) |
| γ/(°) | 90 |
| Volume/Å3 | 5296.7(18) |
| Z | 8 |
| F(000) | 2920.0 |
| Crystal size/mm3 | 0.2 mm × 0.11 mm × 0.05 mm |
| 2θ range for data collection/° | 5.39°~51.314° |
| Index ranges | −73 ≤ h ≤ 73, −8 ≤ k ≤ 8, −14 ≤ l ≤ 12 |
| Final R indices [I > 2σ(I)] | R1 = 0.0260, wR2 = 0.0684 |
| Final R indexes [all data] | R1 = 0.0329, wR2 = 0.0717 |
| Bond | Bond Length/Å | Bond | Bond Angle/(°) |
|---|---|---|---|
| Nd1-O4 | 2.440(2) | O4-Nd1-O3 | 76.30(7) |
| Nd1-O3 | 2.521(2) | O4-Nd1-O2 | 133.52(8) |
| Nd1-O2 | 2.486(2) | O4-Nd1-O1 | 141.25(8) |
| Nd1-O1 | 2.461(2) | O4-Nd1-O5 | 90.85(8) |
| Nd1-O5 | 2.505(2) | O2-Nd1-O3 | 71.97(7) |
| Nd1-O13 | 2.551(2) | O2-Nd1-O5 | 135.17(8) |
Disclaimer/Publisher’s Note: The statements, opinions and data contained in all publications are solely those of the individual author(s) and contributor(s) and not of MDPI and/or the editor(s). MDPI and/or the editor(s) disclaim responsibility for any injury to people or property resulting from any ideas, methods, instructions or products referred to in the content. |
© 2025 by the authors. Licensee MDPI, Basel, Switzerland. This article is an open access article distributed under the terms and conditions of the Creative Commons Attribution (CC BY) license (https://creativecommons.org/licenses/by/4.0/).
Share and Cite
Liu, J.; Guo, X.-Y.; Zhu, W.-D.; Zheng, N.; Lu, J.-F. A Neodymium(III)-Based Hydrogen-Bonded Bilayer Framework with Dual Functions: Selective Ion Sensing and High Proton Conduction. Molecules 2025, 30, 3455. https://doi.org/10.3390/molecules30173455
Liu J, Guo X-Y, Zhu W-D, Zheng N, Lu J-F. A Neodymium(III)-Based Hydrogen-Bonded Bilayer Framework with Dual Functions: Selective Ion Sensing and High Proton Conduction. Molecules. 2025; 30(17):3455. https://doi.org/10.3390/molecules30173455
Chicago/Turabian StyleLiu, Jie, Xin-Yu Guo, Wen-Duo Zhu, Nan Zheng, and Jiu-Fu Lu. 2025. "A Neodymium(III)-Based Hydrogen-Bonded Bilayer Framework with Dual Functions: Selective Ion Sensing and High Proton Conduction" Molecules 30, no. 17: 3455. https://doi.org/10.3390/molecules30173455
APA StyleLiu, J., Guo, X.-Y., Zhu, W.-D., Zheng, N., & Lu, J.-F. (2025). A Neodymium(III)-Based Hydrogen-Bonded Bilayer Framework with Dual Functions: Selective Ion Sensing and High Proton Conduction. Molecules, 30(17), 3455. https://doi.org/10.3390/molecules30173455

