Synthesis, Characterization and Biological Profile of Cationic Cobalt Complexes with First-Generation Quinolones
Abstract
1. Introduction
2. Results and Discussion
2.1. Synthesis and Spectroscopic Characterization
2.2. Structures of the Complexes
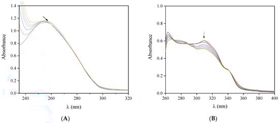
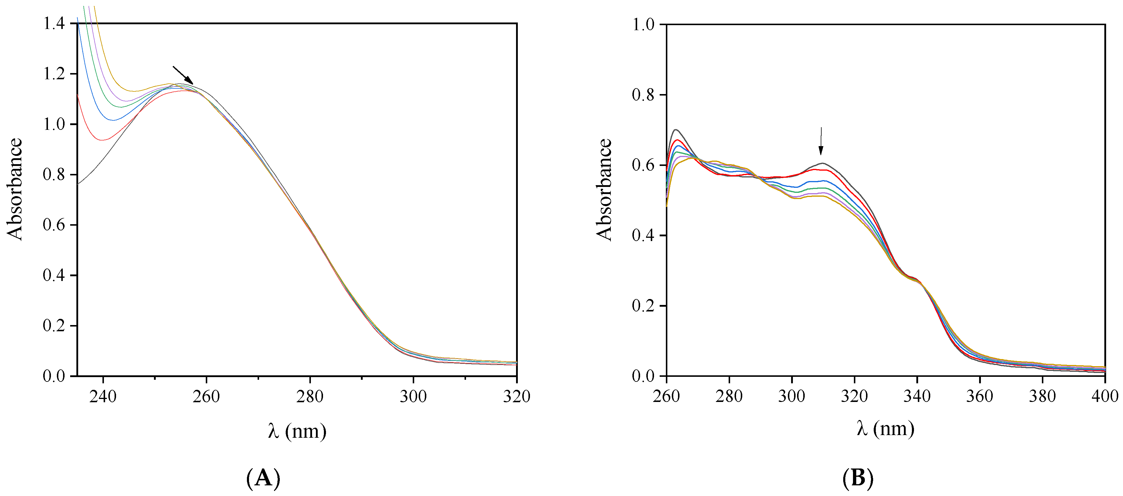
2.3. Interaction of the Complexes with CT DNA
2.4. Interaction of the Complexes with Serum Albumins
3. Experimental
3.1. Materials—Instrumentation—Physical Measurements
3.2. Synthesis of the Complexes
3.2.1. Synthesis of Compounds [Co(bipy)2Cl2]Cl (a) and [Co(phen)2Cl2](H2O) (b)
3.2.2. Synthesis of Complexes [Co(N,N′-donor)2(Q)](PF6)x (x = 2 for 1–5 and x = 1 for 6)
3.3. Crystallographic Data Collection and Structure Determination
3.4. Study of the In Vitro Biological Profile of the Compounds
4. Conclusions
Supplementary Materials
Author Contributions
Funding
Institutional Review Board Statement
Informed Consent Statement
Data Availability Statement
Conflicts of Interest
Abbreviations
| bipy | 2,2′-bipyridine |
| BSA | bovine serum albumin |
| CT | calf-thymus |
| cx− | anion of cinoxacin |
| EB | ethidium bromide |
| flmq− | anion of flumequine |
| Hcx | cinoxacin |
| Hflmq | flumequine |
| Hoxo | oxolinic acid |
| Hppa | pipemidic acid |
| HQ | quinolone |
| HSA | human serum albumin |
| K | SA-binding constant |
| Kavid | binding constant with avidin |
| Kb | DNA-binding constant |
| Kox | DNA-binding constant for the oxidized form of the complex |
| kq | quenching constant |
| Kred | DNA-binding constant for the reduced form of the complex |
| KSV | Stern–Volmer constant |
| oxo− | oxolinate anion |
| phen | 1,10-phenanthroline |
| ppa− | pipemidate anion |
| Q− | anion of quinolone |
| Δν(COO) | νasym(COO) − νsym(COO) |
References
- Andriole, V.T. The Quinolones, 3rd ed.; Academic Press: San Diego, CA, USA, 2000. [Google Scholar]
- Millanao, A.R.; Mora, A.Y.; Villagra, N.A.; Bucarey, S.A.; Hidalgo, A.A. Biological Effects of Quinolones: A Family of Broad-Spectrum Antimicrobial Agents. Molecules 2021, 26, 7153. [Google Scholar] [CrossRef] [PubMed]
- Newman, R.L.; Holt, R.J.; Frankcombe, C.H. Nalidixic Acid: Microbiological and Clinical Studies on Urinary Infections in Children. Arch. Dis. Child. 1966, 41, 389–394. [Google Scholar] [CrossRef] [PubMed]
- Wagman, A.S.; Wentland, M.P. Quinolone Antibacterial Agents. Compr. Med. Chem. II 2007, 7, 567–596. [Google Scholar] [CrossRef]
- Tuma, J.; Connors, W.H.; Stitelman, D.H.; Richert, C. On the Effect of Covalently Appended Quinolones on Termini of DNA Duplexes. J. Am. Chem. Soc. 2002, 124, 4236–4246. [Google Scholar] [CrossRef]
- Pham, T.D.M.; Ziora, Z.M.; Blaskovich, M.A.T. Quinolone Antibiotics. Medchemcomm 2019, 10, 1719–1739. [Google Scholar] [CrossRef]
- King, D.E.; Malone, R.; Lilley, S.H. New Classification and Update on the Quinolone Antibiotics. Am. Fam. Physician 2000, 61, 2741–2748. [Google Scholar]
- Shams, W.E.; Evans, M.E. Guide to Selection of Fluoroquinolones in Patients with Lower Respiratory Tract Infections. Drugs 2012, 65, 949–991. [Google Scholar] [CrossRef]
- Turel, I. The Interactions of Metal Ions with Quinolone Antibacterial Agents. Coord. Chem. Rev. 2002, 232, 27–47. [Google Scholar] [CrossRef]
- Duffy, C.P.; Elliott, C.J.; O’Connor, R.A.; Heenan, M.M.; Coyle, S.; Cleary, I.M.; Kavanagh, K.; Verhaegen, S.; O’Loughlin, C.M.; NicAmhlaoibh, R.; et al. Enhancement of Chemotherapeutic Drug Toxicity to Human Tumour Cells In Vitro by a Subset of Non-Steroidal Anti-Inflammatory Drugs (NSAIDs). Eur. J. Cancer 1998, 34, 1250–1259. [Google Scholar] [CrossRef]
- Uivarosi, V. Metal Complexes of Quinolone Antibiotics and Their Applications: An Update. Molecules 2013, 18, 11153–11197. [Google Scholar] [CrossRef]
- Ferreira, M.; Gameiro, P.; Ruiz, J.; Pons, M.J. Fluoroquinolone-Transition Metal Complexes: A Strategy to Overcome Bacterial Resistance. Microorganisms 2021, 9, 1506. [Google Scholar] [CrossRef] [PubMed]
- Psomas, G.; Kessissoglou, D.P. Quinolones and Non-Steroidal Anti-Inflammatory Drugs Interacting with Copper(II), Nickel(II), Cobalt(II) and Zinc(II): Structural Features, Biological Evaluation and Perspectives. Dalton Trans. 2013, 42, 6252–6276. [Google Scholar] [CrossRef] [PubMed]
- Irgi, E.P.; Geromichalos, G.D.; Balala, S.; Kljun, J.; Kalogiannis, S.; Papadopoulos, A.; Turel, I.; Psomas, G. Cobalt(II) Complexes with the Quinolone Antimicrobial Drug Oxolinic Acid: Structure and Biological Perspectives. RSC Adv. 2015, 5, 36353–36367. [Google Scholar] [CrossRef]
- Tarushi, A.; Psomas, G.; Raptopoulou, C.P.; Kessissoglou, D.P. Zinc Complexes of the Antibacterial Drug Oxolinic Acid: Structure and DNA-Binding Properties. J. Inorg. Biochem. 2009, 103, 898–905. [Google Scholar] [CrossRef]
- Zampakou, M.; Akrivou, M.; Andreadou, E.G.; Raptopoulou, C.P.; Psycharis, V.; Pantazaki, A.A.; Psomas, G. Structure, Antimicrobial Activity, DNA- and Albumin-Binding of Manganese(II) Complexes with the Quinolone Antimicrobial Agents Oxolinic Acid and Enrofloxacin. J. Inorg. Biochem. 2013, 121, 88–99. [Google Scholar] [CrossRef] [PubMed]
- Chalkidou, E.; Perdih, F.; Turel, I.; Kessissoglou, D.P.; Psomas, G. Copper(II) Complexes with Antimicrobial Drug Flumequine: Structure and Biological Evaluation. J. Inorg. Biochem. 2012, 113, 55–65. [Google Scholar] [CrossRef]
- Tsitsa, I.; Tarushi, A.; Doukoume, P.; Perdih, F.; De Almeida, A.; Papadopoulos, A.; Kalogiannis, S.; Casini, A.; Turel, I.; Psomas, G. Structure and Biological Activities of Metal Complexes of Flumequine. RSC Adv. 2016, 6, 19555–19570. [Google Scholar] [CrossRef]
- Skyrianou, K.C.; Perdih, F.; Turel, I.; Kessissoglou, D.P.; Psomas, G. Nickel-Quinolones Interaction. Part 3—Nickel(II) Complexes of the Antibacterial Drug Flumequine. J. Inorg. Biochem. 2010, 104, 740–749. [Google Scholar] [CrossRef]
- Tarushi, A.; Kljun, J.; Turel, I.; Pantazaki, A.A.; Psomas, G.; Kessissoglou, D.P. Zinc(II) Complexes with the Quinolone Antibacterial Drug Flumequine: Structure, DNA- and Albumin-Binding. New J. Chem. 2013, 37, 342–355. [Google Scholar] [CrossRef]
- Tarushi, A.; Lafazanis, K.; Kljun, J.; Turel, I.; Pantazaki, A.A.; Psomas, G.; Kessissoglou, D.P. First- and Second-Generation Quinolone Antibacterial Drugs Interacting with Zinc(II): Structure and Biological Perspectives. J. Inorg. Biochem. 2013, 121, 53–65. [Google Scholar] [CrossRef]
- Nfor, E.N.; Burrows, A.D.; Keenan, L.L. A Zinc(II) Coordination Polymer Containing Flumequine: Synthesis, Crystal Structure and Luminescence Properties. Inorg. Chem. Commun. 2014, 46, 180–183. [Google Scholar] [CrossRef]
- Arnaouti, E.; Georgiadou, C.; Hatzidimitriou, A.G.; Kalogiannis, S.; Psomas, G. Erbium(III) Complexes with Fluoroquinolones: Structure and Biological Properties. J. Inorg. Biochem. 2024, 255, 112525. [Google Scholar] [CrossRef] [PubMed]
- Sha, J.Q.; Li, X.; Qiu, H.B.; Zhang, Y.H.; Yan, H. Nickel Complexes of the Different Quinolone Antibacterial Drugs: Synthesis, Structure and Interaction with DNA. Inorganica Chim. Acta 2012, 383, 178–184. [Google Scholar] [CrossRef]
- Huang, J.; Hu, W.P.; An, Z. Poly[[Bis-[Μ2-8-Ethyl-5-Oxo-2-(Piperazin-1-Yl)-5, 8-Dihydro-Pyrido [2,3-d]Pyrimidine-6-Carboxyl-Ato]Manganese(II)] Dihydrate]. Acta Crystallogr. Sect. E Struct. Rep. Online 2008, 64, m547. [Google Scholar] [CrossRef] [PubMed]
- Qi, X.; Shao, M.; Li, C.X. Poly[[Bis-[Μ2-8-Ethyl-5-Oxo-2-(Piperazin-1-Yl)-5, 8-Dihydro-Pyrido [2,3-d]Pyrimidine-6-Carboxyl-Ato]Cobalt(II)] Dihydrate]. Acta Crystallogr. Sect. E Struct. Rep. Online 2009, 65, m1334. [Google Scholar] [CrossRef]
- Kljun, J.; Bratsos, I.; Alessio, E.; Psomas, G.; Repnik, U.; Butinar, M.; Turk, B.; Turel, I. New Uses for Old Drugs: Attempts to Convert Quinolone Antibacterials into Potential Anticancer Agents Containing Ruthenium. Inorg. Chem. 2013, 52, 9039–9052. [Google Scholar] [CrossRef]
- Ruiz, M.; Ortiz, R.; Perello, L.; Latorre, J.; Server-Carrio, J. Potentiometric and Spectroscopic Studies of Transition-Metal Ions Complexes with a Quinolone Derivative (Cinoxacin). Crystal Structures of New Cu(II) and Ni(II) Cinoxacin Complexes. J. Inorg. Biochem. 1997, 65, 87–96. [Google Scholar] [CrossRef]
- Chulvi, C.; Munoz, M.C.; Perello, L.; Ortiz, R.; Arriortua, M.I.; Via, J.; Urtiaga, K.; Amigo, J.M.; Ochando, L.E. Coordination Behavior of Cinoxacine: Synthesis and Crystal Structure of Tris(Cinoxacinate)Cobaltate(II) of Sodium Hexahydrate (HCx = 1-Ethyl-4(1H)-Oxo-(1,3)Dioxolo-(4,5g)Cinnoline-3-Carboxylic Acid). J. Inorg. Biochem. 1991, 42, 133–138. [Google Scholar] [CrossRef]
- Ruiz, M.; Perello, L.; Server-Carrio, J.; Ortiz, R.; Garcia-Granda, S.; Diaz, M.R.; Canton, E. Cinoxacin Complexes with Divalent Metal Ions. Spectroscopic Characterization. Crystal Structure of a New Dinuclear Cd(II) Complex Having Two Chelate-Bridging Carboxylate Groups. Antibacterial Studies. J. Inorg. Biochem. 1998, 69, 231–239. [Google Scholar] [CrossRef]
- Lopez-Gresa, M.P.; Ortiz, R.; Perello, L.; Latorre, J.; Liu-Gonzalez, M.; García-Granda, S.; Perez-Priede, M.; Canton, E. Interactions of Metal Ions with Two Quinolone Antimicrobial Agents (Cinoxacin and Ciprofloxacin): Spectroscopic and X-Ray Structural Characterization. Antibacterial Studies. J. Inorg. Biochem. 2002, 92, 65–74. [Google Scholar] [CrossRef]
- Kljun, J.; Bytzek, A.K.; Kandioller, W.; Bartel, C.; Jakupec, M.A.; Hartinger, C.G.; Keppler, B.K.; Turel, I. Physicochemical Studies and Anticancer Potency of Ruthenium H6-p-Cymene Complexes Containing Antibacterial Quinolones. Organometallics 2011, 30, 2506–2512. [Google Scholar] [CrossRef] [PubMed]
- Ruiz, M.; Perello, L.; Ortiz, R.; Castineiras, A.; Maichle-Mossmer, C.; Canton, E. Synthesis, Characterization, and Crystal Structure of [Cu(Cinoxacinate)2]·2H2O Complex: A Square-Planar CuO4 Chromophore. Antibacterial Studies. J. Inorg. Biochem. 1995, 59, 801–810. [Google Scholar] [CrossRef]
- Bivian-Castro, E.Y.; Cervantes-Lee, F.; Mendoza-Díaz, G. Synthesis, Characterization and Crystal Structure of Copper(II) Ternary Complex with Cinoxacin and Histamine. Inorganica Chim. Acta 2004, 357, 349–353. [Google Scholar] [CrossRef]
- Zoroddu, M.A.; Aaseth, J.; Crisponi, G.; Medici, S.; Peana, M.; Nurchi, V.M. The Essential Metals for Humans: A Brief Overview. J. Inorg. Biochem. 2019, 195, 120–129. [Google Scholar] [CrossRef] [PubMed]
- Yamada, K. Cobalt: Its Role in Health and Disease. In Metal Ions in Life Sciences; Springer: London, UK, 2013; Volume 13, pp. 295–320. [Google Scholar]
- Dwyer, F.P.; Gyarfas, E.C.; Rogers, W.P.; Koch, J.H. Biological Activity of Complex Ions. Nature 1952, 170, 190–191. [Google Scholar] [CrossRef]
- Schwartz, J.A.; Lium, E.K.; Silverstein, S.J. Herpes Simplex Virus Type 1 Entry Is Inhibited by the Cobalt Chelate Complex CTC-96. J. Virol. 2001, 75, 4117–4128. [Google Scholar] [CrossRef]
- Farrer, N.J.; Sadler, P.J. Medicinal Inorganic Chemistry: State of the Art, New Trends, and a Vision of the Future. In Bioinorganic Medicinal Chemistry; Wiley: Hoboken, NJ, USA, 2011; pp. 1–47. [Google Scholar]
- Anthony, E.J.; Bolitho, E.M.; Bridgewater, H.E.; Carter, O.W.L.; Donnelly, J.M.; Imberti, C.; Lant, E.C.; Lermyte, F.; Needham, R.J.; Palau, M.; et al. Metallodrugs Are Unique: Opportunities and Challenges of Discovery and Development. Chem. Sci. 2020, 11, 12888–12917. [Google Scholar] [CrossRef]
- O’Hara, J.A.; Douple, E.B.; Abrams, M.J.; Picker, D.J.; Giandomenico, C.M.; Vollano, J.F. Potentiation of Radiation-Induced Cell Kill by Synthetic Metalloporphyrins. Int. J. Radiat. Oncol. Biol. Phys. 1989, 16, 1049–1052. [Google Scholar] [CrossRef]
- Shreaz, S.; Sheikh, R.A.; Bhatia, R.; Neelofar, K.; Imran, S.; Hashmi, A.A.; Manzoor, N.; Basir, S.F.; Khan, L.A. Antifungal Activity of α-Methyl Trans Cinnamaldehyde, Its Ligand and Metal Complexes: Promising Growth and Ergosterol Inhibitors. BioMetals 2011, 24, 923–933. [Google Scholar] [CrossRef]
- Patil, M.; Hunoor, R.; Gudasi, K. Transition Metal Complexes of a New Hexadentate Macroacyclic N2O4-Donor Schiff Base: Inhibitory Activity against Bacteria and Fungi. Eur. J. Med. Chem. 2010, 45, 2981–2986. [Google Scholar] [CrossRef]
- Dhanaraj, C.J.; Johnson, J. Quinoxaline Based Bio-Active Mixed Ligand Transition Metal Complexes: Synthesis, Characterization, Electrochemical, Antimicrobial, DNA Binding, Cleavage, Antioxidant and Molecular Docking Studies. J. Photochem. Photobiol. B 2015, 151, 100–109. [Google Scholar] [CrossRef] [PubMed]
- Tabrizi, L.; McArdle, P.; Erxleben, A.; Chiniforoshan, H. Nickel(II) and Cobalt(II) Complexes of Lidocaine: Synthesis, Structure and Comparative In Vitro Evaluations of Biological Perspectives. Eur. J. Med. Chem. 2015, 103, 516–529. [Google Scholar] [CrossRef] [PubMed]
- Prabhakara, C.T.; Patil, S.A.; Kulkarni, A.D.; Naik, V.H.; Manjunatha, M.; Kinnal, S.M.; Badami, P.S. Synthesis, Spectral, Thermal, Fluorescence, Antimicrobial, Anthelmintic and DNA Cleavage Studies of Mononuclear Metal Chelates of Bi-Dentate 2H-Chromene-2-One Schiff Base. J. Photochem. Photobiol. B 2015, 148, 322–332. [Google Scholar] [CrossRef] [PubMed]
- Sherif, Y.E.; Hosny, N.M. Anti-Rheumatic Potential of Ethyl 2-(2-Cyano-3-Mercapto-3-(Phenylamino) Acrylamido)-4,5,6,7-Tetrahydrobenzo[b]Thiophene-3-Carboxylate and Its Co(II), Cu(II) and Zn(II) Complexes. Eur. J. Med. Chem. 2014, 83, 338–343. [Google Scholar] [CrossRef]
- Netalkar, P.P.; Netalkar, S.P.; Budagumpi, S.; Revankar, V.K. Synthesis, Crystal Structures and Characterization of Late First Row Transition Metal Complexes Derived from Benzothiazole Core: Anti-Tuberculosis Activity and Special Emphasis on DNA Binding and Cleavage Property. Eur. J. Med. Chem. 2014, 79, 47–56. [Google Scholar] [CrossRef]
- Galal, S.A.; Abd El-All, A.S.; Hegab, K.H.; Magd-El-Din, A.A.; Youssef, N.S.; El-Diwani, H.I. Novel Antiviral Benzofuran-Transition Metal Complexes. Eur. J. Med. Chem. 2010, 45, 3035–3046. [Google Scholar] [CrossRef]
- Pires, B.M.; Giacomin, L.C.; Castro, F.A.V.; dos S. Cavalcanti, A.; Pereira, M.D.; Bortoluzzi, A.J.; Faria, R.B.; Scarpellini, M. Azido- and Chlorido-Cobalt Complex as Carrier-Prototypes for Antitumoral Prodrugs. J. Inorg. Biochem. 2016, 157, 104–113. [Google Scholar] [CrossRef]
- Eshkourfu, R.; Cobeljic, B.; Vujcic, M.; Turel, I.; Pevec, A.; Sepcic, K.; Zec, M.; Radulovic, S.; Srdic-Radic, T.; Mitic, D.; et al. Synthesis, Characterization, Cytotoxic Activity and DNA Binding Properties of the Novel Dinuclear Cobalt(III) Complex with the Condensation Product of 2-Acetylpyridine and Malonic Acid Dihydrazide. J. Inorg. Biochem. 2011, 105, 1196–1203. [Google Scholar] [CrossRef]
- Jimenez-Garrido, N.; Perello, L.; Ortiz, R.; Alzuet, G.; Gonzalez-Alvarez, M.; Cantan, E.; Liu-Gonzalez, M.; Garcia-Granda, S.; Perez-Priede, M. Antibacterial Studies, DNA Oxidative Cleavage, and Crystal Structures of Cu(II) and Co(II) Complexes with Two Quinolone Family Members, Ciprofloxacin and Enoxacin. J. Inorg. Biochem. 2005, 99, 677–689. [Google Scholar] [CrossRef]
- Protogeraki, C.; Andreadou, E.G.; Perdih, F.; Turel, I.; Pantazaki, A.A.; Psomas, G. Cobalt(II) Complexes with the Antimicrobial Drug Enrofloxacin: Structure, Antimicrobial Activity, DNA- and Albumin-Binding. Eur. J. Med. Chem. 2014, 86, 189–201. [Google Scholar] [CrossRef]
- He, J.H.; Xiao, D.R.; Chen, H.Y.; Sun, D.Z.; Yan, S.W.; Wang, X.; Ye, Z.L.; Luo, Q.L.; Wang, E.B. A Series of 2D Metal–Quinolone Complexes: Syntheses, Structures, and Physical Properties. J. Solid. State Chem. 2013, 198, 279–288. [Google Scholar] [CrossRef]
- Kouris, E.; Kalogiannis, S.; Perdih, F.; Turel, I.; Psomas, G. Cobalt(II) Complexes of Sparfloxacin: Characterization, Structure, Antimicrobial Activity and Interaction with DNA and Albumins. J. Inorg. Biochem. 2016, 163, 18–27. [Google Scholar] [CrossRef] [PubMed]
- Janzen, L.; Miller, R.G.; Metzler-Nolte, N. Synthesis, Characterisation and Antimicrobial Activity of Supramolecular Cobalt-Peptide Conjugates. Dalton Trans. 2024, 53, 10890–10900. [Google Scholar] [CrossRef] [PubMed]
- Chang, E.L.; Simmers, C.; Knight, D.A. Cobalt Complexes as Antiviral and Antibacterial Agents. Pharmaceuticals 2010, 3, 1711–1728. [Google Scholar] [CrossRef]
- Takeuchi, T.; Böttcher, A.; Quezada, C.M.; Meade, T.J.; Gray, H.B. Inhibition of Thermolysin and Human α-Thrombin by Cobalt(III) Schiff Base Complexes. Bioorg Med. Chem. 1999, 7, 815–819. [Google Scholar] [CrossRef]
- Louie, A.Y.; Meade, T.J. A Cobalt Complex That Selectively Disrupts the Structure and Function of Zinc Fingers. Proc. Natl. Acad. Sci. USA 1998, 95, 6663–6668. [Google Scholar] [CrossRef]
- Blower, P.J.; Dilworth, J.R.; Maurer, R.I.; Mullen, G.D.; Reynolds, C.A.; Zheng, Y. Towards New Transition Metal-Based Hypoxic Selective Agents for Therapy and Imaging. J. Inorg. Biochem. 2001, 85, 15–22. [Google Scholar] [CrossRef]
- Kanina, A.; Mei, H.; Palma, C.; Neary, M.C.; Cheng, S.-Y.; Zhang, G. Synthesis, Reductive Reactivity and Anticancer Activity of Cobalt(III)– and Manganese(III)–Salen Complexes. Chemistry 2025, 7, 85. [Google Scholar] [CrossRef]
- Law, B.Y.K.; Qu, Y.Q.; Mok, S.W.F.; Liu, H.; Zeng, W.; Han, Y.; Gordillo-Martinez, F.; Chan, W.-K.; Wong, K.M.-C.; Wong, V.K.W.; et al. New Perspectives of Cobalt Tris(Bipyridine) System: Anti-Cancer Effect and Its Collateral Sensitivity towards Multidrug-Resistant (MDR) Cancers. Oncotarget 2017, 8, 55003–55021. [Google Scholar] [CrossRef]
- Wilson, W.R.; Moselen, J.W.; Cliffe, S.; Denny, W.A.; Ware, D.C. Exploiting Tumor Hypoxia Through Bioreductive Release of Diffusible Cytotoxins: The Cobalt(III)-Nitrogen Mustard Complex SN 24771. Int. J. Radiat. Oncol. Biol. Phys. 1994, 29, 323–327. [Google Scholar] [CrossRef]
- Allardyce, C.S.; Dyson, P.J. Metal-Based Drugs That Break the Rules. Dalton Trans. 2016, 45, 3201–3209. [Google Scholar] [CrossRef] [PubMed]
- Rubin-Preminger, J.M.; Kozlov, L.; Goldberg, I. Hydrogen-Bonding and π–π Stacking Interactions in Aquachloridobis(1,10-Phenanthroline)Cobalt(II) Chloride Dichloridobis(1,10-Phenanthroline)Cobalt(II) Hexahydrate. Acta Crystallogr. C 2008, 64, m83–m86. [Google Scholar] [CrossRef] [PubMed]
- Vlcek, A.A. Preparation of Co(Dipy)2X2+ Complexes (X− = Chloride, Bromide, Iodide, Nitrite) by Controlled Oxidative Processes. Inorg. Chem. 1967, 6, 1425–1427. [Google Scholar] [CrossRef]
- McKenzie, E.D. The Steric Effect in Bis(2,2′-Bipyridyl) and Bis(1,10-Phenanthroline) Metal Compounds. Coord. Chem. Rev. 1971, 6, 187–216. [Google Scholar] [CrossRef]
- Geary, W.J. The Use of Conductivity Measurements in Organic Solvents for the Characterisation of Coordination Compounds. Coord. Chem. Rev. 1971, 7, 81–122. [Google Scholar] [CrossRef]
- Nakamoto, K. Infrared and Raman Spectra of Inorganic and Coordination Compounds: Part B: Applications in Coordination, Organometallic, and Bioinorganic Chemistry; John Wiley & Sons, Inc.: Hoboken, NJ, USA, 2008; pp. 1–408. [Google Scholar] [CrossRef]
- Szorcsik, A.; Nagy, L.; Sletten, J.; Szalontai, G.; Kamu, E.; Fiore, T.; Pellerito, L.; Kálmán, E. Preparation and Structural Studies on Dibutyltin(IV) Complexes with Pyridine Mono- and Dicarboxylic Acids. J. Organomet. Chem. 2004, 689, 1145–1154. [Google Scholar] [CrossRef]
- Bernhardt, P.V.; Lawrance, G.A. Cobalt. In Comprehensive Coordination Chemistry II; Elsevier: Amsterdam, The Netherlands, 2003; Volume 6, pp. 1–145. [Google Scholar]
- Kakoulidou, C.; Kalogiannis, S.; Angaridis, P.; Psomas, G. Synthesis, Characterization and Biological Activity of Zn Coordination Compounds with the Quinolone Gatifloxacin. Polyhedron 2019, 166, 98–108. [Google Scholar] [CrossRef]
- Hadjiliadis, N.D.; Sletten, E. Metal Complex-DNA Interactions; Hadjiliadis, N., Sletten, E., Eds.; Wiley: Hoboken, NJ, USA, 2009; ISBN 978-1-405-17629-3. [Google Scholar]
- Rehman, S.U.; Sarwar, T.; Husain, M.A.; Ishqi, H.M.; Tabish, M. Studying Non-Covalent Drug–DNA Interactions. Arch. Biochem. Biophys. 2015, 576, 49–60. [Google Scholar] [CrossRef]
- Zeglis, B.M.; Pierre, V.C.; Barton, J.K. Metallo-Intercalators and Metallo-Insertors. Chem. Commun. 2007, 44, 4565–4579. [Google Scholar] [CrossRef]
- Wolfe, A.; Shimer, G.H.; Meehan, T. Polycyclic Aromatic Hydrocarbons Physically Intercalate into Duplex Regions of Denatured DNA. Biochemistry 1987, 26, 6392–6396. [Google Scholar] [CrossRef]
- Dimitrakopoulou, A.; Dendrinou-Samara, C.; Pantazaki, A.A.; Alexiou, M.; Nordlander, E.; Kessissoglou, D.P. Synthesis, Structure and Interactions with DNA of Novel Tetranuclear, [Mn4(II/II/II/IV)] Mixed Valence Complexes. J. Inorg. Biochem. 2008, 102, 618–628. [Google Scholar] [CrossRef] [PubMed]
- Bravo-Anaya, L.; Rinaudo, M.; Martínez, F. Conformation and Rheological Properties of Calf-Thymus DNA in Solution. Polymers 2016, 8, 51. [Google Scholar] [CrossRef] [PubMed]
- Arjmand, F.; Aziz, M.; Tabassum, S. Cyclic Voltammetry-An Electrochemical Approach to Study Metal-Based Potential Antitumor Drug-DNA Interaction. Curr. Anal. Chem. 2010, 7, 71–79. [Google Scholar] [CrossRef]
- Arshad, N.; Farooqi, S.I. Cyclic Voltammetric DNA Binding Investigations on Some Anticancer Potential Metal Complexes: A Review. Appl. Biochem. Biotechnol. 2018, 186, 1090–1110. [Google Scholar] [CrossRef]
- Zivec, P.; Perdih, F.; Turel, I.; Giester, G.; Psomas, G. Different Types of Copper Complexes with the Quinolone Antimicrobial Drugs Ofloxacin and Norfloxacin: Structure, DNA- and Albumin-Binding. J. Inorg. Biochem. 2012, 117, 35–47. [Google Scholar] [CrossRef]
- Carter, M.T.; Rodriguez, M.; Bard, A.J. Voltammetric Studies of the Interaction of Metal Chelates with DNA. 2. Tris-Chelated Complexes of Cobalt(III) and Iron(II) with 1,10-Phenanthroline and 2,2′-Bipyridine. J. Am. Chem. Soc. 1989, 111, 8901–8911. [Google Scholar] [CrossRef]
- Garbett, N.C.; Hammond, N.B.; Graves, D.E. Influence of the Amino Substituents in the Interaction of Ethidium Bromide with DNA. Biophys. J. 2004, 87, 3974–3981. [Google Scholar] [CrossRef]
- Tsai, C.C.; Jain, S.C.; Sobell, H.M. Visualization of Drug-Nucleic Acid Interactions at Atomic Resolution: I. Structure of an Ethidium/Dinucleoside Monophosphate Crystalline Complex, Ethidium:5-Iodouridylyl (3′–5′) Adenosine. J. Mol. Biol. 1977, 114, 301–315. [Google Scholar] [CrossRef]
- Wilson, W.D.; Ratmeyer, L.; Zhao, M.; Strekowski, L.; Boykin, D. The Search for Structure-Specific Nucleic Acid-Interactive Drugs: Effects of Compound Structure on RNA versus DNA Interaction Strength. Biochemistry 1993, 32, 4098–4104. [Google Scholar] [CrossRef]
- Lakowicz, J.R. Principles of Fluorescence Spectroscopy; Springer: Berlin/Heidelberg, Germany, 2006; ISBN 9780387312781. [Google Scholar]
- Heller, D.P.; Greenstock, C.L. Fluorescence Lifetime Analysis of DNA Intercalated Ethidium Bromide and Quenching by Free Dye. Biophys. Chem. 1994, 50, 305–312. [Google Scholar] [CrossRef]
- He, X.M.; Carter, D.C. Atomic Structure and Chemistry of Human Serum Albumin. Nature 1992, 358, 209–215. [Google Scholar] [CrossRef] [PubMed]
- Olson, R.E.; Christ, D.D. Chapter 33. Plasma Protein Binding of Drugs. Annu. Rep. Med. Chem. 1996, 31, 327–336. [Google Scholar] [CrossRef]
- Stella, L.; Capodilupo, A.L.; Bietti, M. A Reassessment of the Association between Azulene and [60]Fullerene. Possible Pitfalls in the Determination of Binding Constants through Fluorescence Spectroscopy. Chem. Commun. 2008, 4744–4746. [Google Scholar] [CrossRef] [PubMed]
- Laitinen, O.H.; Hytonen, V.P.; Nordlund, H.R.; Kulomaa, M.S. Genetically Engineered Avidins and Streptavidins. Cell. Mol. Life Sci. 2006, 63, 2992–3017. [Google Scholar] [CrossRef]
- Strenger, I.; Rosu, T.; Negoiu, M. Refinement of the Crystal Structure of Cw-Bis(2,2′-Bipyridyl)-Dichlorocobalt(III) Chloride Dihydrate, [C20H16N4CoCl2]Cl·2H2O. Z. Für Krist.—New Cryst. Struct. 2000, 215, 489–490. [Google Scholar] [CrossRef][Green Version]
- Marmur, J. A Procedure for the Isolation of Deoxyribonucleic Acid from Micro-Organisms. J. Mol. Biol. 1961, 3, 208–218. [Google Scholar] [CrossRef]
- Reichmann, M.E.; Rice, S.A.; Thomas, C.A.; Doty, P. A Further Examination of the Molecular Weight and Size of Desoxypentose Nucleic Acid. J. Am. Chem. Soc. 1954, 76, 3047–3053. [Google Scholar] [CrossRef]
- Bruker Analytical X-Ray Systems, Inc. Apex2, Version 2 User Manual; M86–E01078; Bruker Analytical X-Ray Systems, Inc.: Madison, WI, USA, 2006. [Google Scholar]
- Siemens Industrial Automation, Inc. SADABS: Area–Detector Absorption Correction; Siemens Industrial Automation, Inc.: Plano, TX, USA, 1996. [Google Scholar]
- Betteridge, P.W.; Carruthers, J.R.; Cooper, R.I.; Prout, K.; Watkin, D.J. CRYSTALS Version 12: Software for Guided Crystal Structure Analysis. J. Appl. Crystallogr. 2003, 36, 1487. [Google Scholar] [CrossRef]
- Palatinus, L.; Chapuis, G. SUPERFLIP—A Computer Program for the Solution of Crystal Structures by Charge Flipping in Arbitrary Dimensions. J. Appl. Crystallogr. 2007, 40, 786–790. [Google Scholar] [CrossRef]
- Wang, Y.-Q.; Zhang, H.-M.; Zhang, G.-C.; Tao, W.-H.; Tang, S.-H. Interaction of the Flavonoid Hesperidin with Bovine Serum Albumin: A Fluorescence Quenching Study. J. Lumin. 2007, 126, 211–218. [Google Scholar] [CrossRef]
- de Meulenaer, J.; Tompa, H. The Absorption Correction in Crystal Structure Analysis. Acta Crystallogr. 1965, 19, 1014–1018. [Google Scholar] [CrossRef]






| Compound | 1–5 | 6 |
|---|---|---|
| Bond | Length (Å) | Length (Å) |
| Co1—O1 | 1.879 (2)–1.901 (2) | 1.923 (2) |
| Co1—O3 | 1.878 (2)–1.9055 (19) | 1.9235 (19) |
| Co1—N1 | 1.927 (3)–1.962 (3) | 2.042 (3) |
| Co1—N2 | 1.922 (3)–1.940 (3) | 2.018 (2) |
| Co1—N3 | 1.926 (3)–1.963 (2) | 2.034 (3) |
| Co1—N4 | 1.904 (3)–1.964 (3) | 2.031 (3) |
| Bonds | Angle (°) | Angle (°) |
| O1—Co1—O3 | 94.09 (10)–95.28 (9) | 91.97 (9) |
| O1—Co1—N trans | 174.47 (11)–177.31 (11) | 174.35 (10) |
| O1—Co1—N cis | 85.58 (10)–94.63 (11) | 90.40 (10)–93.55 (9) |
| O3—Co1—N trans | 174.27 (11)–177.35 (11) | 173.30 (10) |
| O3—Co1—N cis | 81.97 (12)–94.54 (11) | 87.29 (9)–92.71 (10) |
| N—Co1—N chelate | 81.97 (12)–84.46 (13) | 80.88 (12)–81.09 (11) |
| N—Co1—N trans | 175.77 (11)–177.92 (12) | 171.33 (11) |
| N—Co1—N cis | 90.59 (12)–97.07 (11) | 90.96 (10)–93.83 (11) |
| Compound | λmax (nm) (ΔA/A0 (%)) a, Δλmax (nm) b) | Kb (M−1) |
|---|---|---|
| Hoxo [15] | 324(+50 a), 334(+45 a) | 3.02(±0.10) × 103 |
| Hflmq [17,18] | 326 (−15); 340 (+7) | 3.53(±0.45) × 105 |
| [Co(bipy)2(oxo)](PF6)2, (1) | 315 (−11, +4) | 2.03(±0.19) × 105 |
| [Co(phen)2(oxo)](PF6)2, (2) | 344 (−10, +1) | 1.07(±0.08) × 104 |
| [Co(bipy)2(flmq)](PF6)2, (3) | 310 (−15, +1) | 2.68(±0.15) × 105 |
| [Co(phen)2(flmq)](PF6), (6) | 325 (+5, 0) | 2.09(±0.18) × 104 |
| [Co(bipy)2Cl2]Cl, (a) | 296 (+4.5, +3); 315 (−30, +10) | 1.27(±0.12) × 106 |
| [Co(phen)2Cl2](H2O), (b) | 278 (−3, 0) | 8.61(±0.11) × 106 |
| Complex | Epc(f) a | Epc(b) b | ΔEpc c | Epa(f) a | Epa(b) b | ΔEpa c | d | d | Kred/Kox |
|---|---|---|---|---|---|---|---|---|---|
| [Co(bipy)2(oxo)](PF6)2, 1 | −726 | −714 | +12 | −497 | −521 | −24 | −617.5 | −611.5 | 0.90 |
| [Co(phen)2(oxo)](PF6)2, 2 | −732 | −723 | +9 | −474 | −437 | +37 | −580 | −603 | 1.48 |
| [Co(bipy)2(flmq)](PF6)2, 3 | −740 | −730 | +10 | −403 | −388 | +15 | −559 | −571.5 | 1.24 |
| [Co(phen)2(flmq)](PF6), 6 | −791 | −798 | −7 | −388 | −378 | +10 | −588 | −589.5 | 1.03 |
| [Co(bipy)2Cl2]Cl, a | −762 | −764 | −2 | −408 | −479 | −71 | −621.5 | −585 | 0.54 |
| [Co(phen)2Cl2](H2O), b | −842 | −945 | −103 | −425 | −420 | +5 | −682.5 | −633.5 | 0.44 |
| Compound | ΔI/I0 (%) | KSV (M−1) | kq(M−1s−1) |
|---|---|---|---|
| Hoxo [15] | ~0 | Not defined | - |
| Hflmq [17,18] | 55.0 | 1.19(±0.06) × 106 | 5.17(±0.26) × 1013 |
| [Co(bipy)2(oxo)](PF6)2, 1 | 70.0 | 3.77(±0.12) × 105 | 1.64(±0.05) × 1013 |
| [Co(phen)2(oxo)](PF6)2, 2 | 73.4 | 2.63(±0.08) × 105 | 1.14(±0.03) × 1013 |
| [Co(bipy)2(flmq)](PF6)2, 3 | 64.5 | 2.87(±0.07) × 105 | 1.25(±0.03) × 1013 |
| [Co(phen)2(flmq)](PF6), 6 | 72.8 | 3.28(±0.12) × 105 | 1.42(±0.05) × 1013 |
| [Co(bipy)2Cl2]Cl, a | 59.4 | 1.58(±0.03) × 105 | 6.88(±0.15) × 1012 |
| [Co(phen)2Cl2](H2O), b | 47.4 | 1.02(±0.02) × 105 | 4.44(±0.10) × 1012 |
| Compound | ΔI/I0 (%) | kq (M−1s−1) | K (M−1) |
|---|---|---|---|
| BSA | |||
| Hoxo [15] | 5.01(±0.22) × 1012 | 1.09(±0.09) × 105 | |
| Hflmq [17,18] | 8.26(±0.36) × 1012 | 6.67 × 104 | |
| [Co(bipy)2(oxo)](PF6)2, 1 | 76.5 | 1.59(±0.07) × 1013 | 2.38(±0.14) × 104 |
| [Co(phen)2(oxo)](PF6)2, 2 | 84.2 | 2.80(±0.10) × 1013 | 1.39(±0.05) × 105 |
| [Co(bipy)2(flmq)](PF6)2, 3 | 76.5 | 1.53(±0.05) × 1013 | 1.87(±0.08) × 105 |
| [Co(phen)2(flmq)](PF6), 6 | 81.2 | 1.97(±0.07) × 1013 | 4.93(±0.23) × 105 |
| [Co(bipy)2Cl2]Cl, a | 58.5 | 7.27(±0.22) × 1011 | 1.13(±0.04) × 104 |
| [Co(phen)2Cl2](H2O), b | 55.1 | 6.49(±0.17) × 1011 | 9.00(±0.33) × 103 |
| HSA | |||
| Hoxo [15] | 6.39(±0.26) × 1012 | 1.13(±0.20) × 105 | |
| Hflmq [17,18] | 1.00(±0.17) × 1013 | 2.37 × 106 | |
| [Co(bipy)2(oxo)](PF6)2, 1 | 70.3 | 1.16(±0.04) × 1013 | 3.76(±0.09) × 104 |
| [Co(phen)2(oxo)](PF6)2, 2 | 77.0 | 1.75(±0.05) × 1013 | 3.13(±0.12) × 105 |
| [Co(bipy)2(flmq)](PF6)2, 3 | 76.8 | 1.53(±0.03) × 1013 | 1.49(±0.04) × 105 |
| [Co(phen)2(flmq)](PF6), 6 | 59.4 | 6.25(±0.25) × 1012 | 1.16(±0.04) × 105 |
| [Co(bipy)2Cl2]Cl, a | 53.3 | 6.16(±0.20) × 1012 | 1.31(±0.05) × 105 |
| [Co(phen)2Cl2](H2O), b | 49.9 | 4.49(±0.12) × 1012 | 2.38(±0.07) × 105 |
Disclaimer/Publisher’s Note: The statements, opinions and data contained in all publications are solely those of the individual author(s) and contributor(s) and not of MDPI and/or the editor(s). MDPI and/or the editor(s) disclaim responsibility for any injury to people or property resulting from any ideas, methods, instructions or products referred to in the content. |
© 2025 by the authors. Licensee MDPI, Basel, Switzerland. This article is an open access article distributed under the terms and conditions of the Creative Commons Attribution (CC BY) license (https://creativecommons.org/licenses/by/4.0/).
Share and Cite
Tialiou, A.; Hatzidimitriou, A.G.; Psomas, G. Synthesis, Characterization and Biological Profile of Cationic Cobalt Complexes with First-Generation Quinolones. Molecules 2025, 30, 2646. https://doi.org/10.3390/molecules30122646
Tialiou A, Hatzidimitriou AG, Psomas G. Synthesis, Characterization and Biological Profile of Cationic Cobalt Complexes with First-Generation Quinolones. Molecules. 2025; 30(12):2646. https://doi.org/10.3390/molecules30122646
Chicago/Turabian StyleTialiou, Alexia, Antonios G. Hatzidimitriou, and George Psomas. 2025. "Synthesis, Characterization and Biological Profile of Cationic Cobalt Complexes with First-Generation Quinolones" Molecules 30, no. 12: 2646. https://doi.org/10.3390/molecules30122646
APA StyleTialiou, A., Hatzidimitriou, A. G., & Psomas, G. (2025). Synthesis, Characterization and Biological Profile of Cationic Cobalt Complexes with First-Generation Quinolones. Molecules, 30(12), 2646. https://doi.org/10.3390/molecules30122646

