Abstract
Tuberculosis (TB) remains one of the leading causes of mortality worldwide, exacerbated by the emergence of multidrug-resistant (MDR) and extensively drug-resistant (XDR) Mycobacterium tuberculosis strains. In the pursuit of novel therapeutic strategies, thiazolidin-4-one derivatives have gained significant attention due to their structural diversity and broad-spectrum biological activities. This review provides a comprehensive summary of recent advances (2021–present) in the synthesis, structure–activity relationship (SAR), and mechanisms of action of thiazolidin-4-one derivatives as promising antitubercular agents. A detailed discussion of synthetic pathways is presented, including classical and multi-component reactions leading to various subclasses such as thiazolidine-2,4-diones, rhodanines, and pseudothiohydantoins. The SAR analysis highlights key functional groups that enhance antimycobacterial activity, such as halogen substitutions and heterocyclic linkers, while molecular docking and in vitro studies elucidate interactions with key Mtb targets including InhA, MmpL3, and DNA gyrase. Several compounds demonstrate potent inhibitory effects with MIC values lower than or comparable to first-line TB drugs, alongside favorable cytotoxicity profiles. These findings underscore the potential of thiazolidin-4-one scaffolds as a valuable platform for the development of next-generation antitubercular therapeutics.
1. Introduction
Tuberculosis (TB) remains one of the world’s deadliest infectious diseases, caused by Mycobacterium tuberculosis (Mtb), and responsible for millions of deaths annually. As reported in the Global Tuberculosis Report 2024, tuberculosis caused an estimated 1.25 million deaths worldwide in 2023—including 1.09 million among HIV-negative individuals and 161,000 among people living with HIV [1]. Despite the availability of first-line anti-TB drugs such as isoniazid, rifampicin, pyrazinamide, and ethambutol, the emergence of multidrug-resistant (MDR) and extensively drug-resistant (XDR) Mtb strains presents a major global health challenge. These alarming trends highlight the urgent need for new therapeutic agents with novel mechanisms of action to combat resistant strains and shorten treatment regimens.
Among various heterocyclic scaffolds investigated for their biological potential, thiazolidin-4-one derivatives have garnered significant attention due to their structural versatility and broad-spectrum pharmacological activities, including antimicrobial [2,3,4], anticancer [5,6,7,8], anti-inflammatory [9,10], antiprotozoal [11,12], and antitubercular effects [13]. Notably, several recent studies have demonstrated that thiazolidin-4-one-based compounds exhibit promising inhibitory activity against Mtb, often comparable or superior to the existing drugs, while targeting key bacterial enzymes such as InhA [14], DNA gyrase [15], and MmpL3 [16,17].
Despite the growing interest in this class of compounds, only a limited number of reviews have specifically focused on thiazolidin-4-one derivatives with antitubercular activity [13]. Therefore, this review aims to provide a comprehensive overview of recent advances (from 2021 to the present) in the design, synthesis, and biological evaluation of thiazolidin-4-one derivatives as potential antitubercular agents. Particular emphasis is placed on structure–activity relationship (SAR), mechanisms of action, and molecular docking studies, to identify key structural features that contribute to enhanced antimycobacterial efficacy and inform future drug development strategies.
2. Methodology
Among the numerous reviews on the activity of thiazolidin-4-ones [18,19,20,21,22], the scientific literature contains only one that strictly addresses their antitubercular activity [13]. For the present study, literature was selected from the period 2021 to the present, sourced from the following scientific databases: Scopus (Elsevier), SciFinder (Chemical Abstracts), and PubMed. Research articles, short communications, and reports were included in our analysis. The search was conducted using specific keywords, including “thiazolidin-4-one”, “4-thiazolidinone”, “thiazolidine-2,4-dione”, “2,4-thiazolidinedione”, “thiazolidinedione-2,4”, “2-thioxothiazolidin-4-one”, “rhodanine”, “2-iminothiazolidin-4-one”, and “pseudothiohydantoin”, along with terms related to antitubercular activity, such as “antimycobacterial activity”, “antitubercular activity”, and “antituberculosis activity”. The review focused solely on thiazolidin-4-one derivatives, excluding other structural analogs or isomers such as thiorhodanine, isorhodanine, and thiohydantoin.
3. Main Pathways for Synthesis of Thiazolidin-4-one Ring
The compounds with thiazolidin-4-one core (colored blue in Figure 1) include derivatives of thiazolidine-2,4-dione (TZD), 2-thioxothiazolidin-4-one (rhodanine), 2-iminothiazolidin-4-one (pseudothiohydantoin), and 2-alkyl/arylthiazolidin-4-one.
Figure 1.
Different thiazolidin-4-one derivatives.
One of the classical approaches for the synthesis of thiazolidin-4-one ring involves a [2+3]-cyclocondensation reaction. In this process, various derivatives such as 2-halogencarboxylic acids, maleic acid derivatives, aroylacrylic acids, and dimethyl acetylenedicarboxylate (DMAD) are used as equivalents of the dielectrophilic synthon [C2]2+. These compounds react with N,S-nucleophiles, including dithiocarbamates (1) and thiocarbamates (2), leading to the formation of 3-substituted rhodanine or thiazolidine-2,4-dione (3) [23,24,25,26], 3-substituted rhodanine-5-acetamide derivatives (4) [27], 3-substituted 5-aroylmethylrhodanine (5) [28], or 3-substituted derivatives of (4-oxothiazolidin-5-ylidene)acetic acid (6) [29] (Scheme 1).
Scheme 1.
Synthesis of rhodanine and thiazolidine-2,4-dione rings using dithiocarbamates and thiocarbamates.
The same dielectrophilic synthon [C2]2+, which includes 2-halogencarboxylic acids, maleic acid derivatives, aroylacrylic acids, and DMAD, along with other N,S-nucleophiles such as thioureas and thiosemicarbazones, is utilized for the synthesis of pseudothiohydantoin (2-iminothiazolidin-4-one) derivatives. The products of these reactions include 2-iminothiazolidin-4-ones (9, 10) [30,31,32,33], (2-imino-4-oxothiazolidin-5-yl)acetic acid derivatives (11, 12) [11,12,34], 5-aroylmethyl-2-iminothiazolidin-4-ones (13, 14) [11], and (2-imino-4-oxothiazolidin-5-ylidene)acetic acid derivatives (15, 16) [12,35] which are presented in Scheme 2.
Scheme 2.
Synthesis of pseudothiohydantoin ring using thioureas and thiosemicarbazones.
Another method of constructing the 2-minothiazolidin-4-one is the cyclization of 2-chloroacetamide derivatives with ammonium thiocyanate in ethanol. The result of this reaction is the formation of 2-iminothiazolidin-4-one compounds (17) with a good yield of 40–50% (Scheme 3) [36].
Scheme 3.
Synthesis of 2-iminothiazolidin-4-one derivatives.
A convenient and efficient method for the synthesis of 3-substituted rhodanines (18), particularly from amines or hydrazides of aromatic carboxylic acids, is the Holmberg method. This approach involves the reaction of thiocarbonyl-bis-thioglycolic acid with amino derivatives or hydrazides in an ethanol or ethanol–water medium [37,38] (Scheme 4).
Scheme 4.
Synthesis of rhodanine derivatives.
3-Unsubstituted rhodanine derivatives (19) can be obtained by the reaction of 2-halogencarboxylic acids and ammonium or alkali metal thiocyanates [39,40], whereas 3-unsubstituted thiazolidine-2,4-diones (20) are synthesized by the reaction of thioglycolic acid with potassium cyanate [41] (Scheme 5).
Scheme 5.
Synthesis of 3-unsubstituted TZD and rhodamine derivatives.
On the other hand, 3-substituted thiazolidine-2,4-diones (21) are obtained following the reaction of thioglycolic acid with aryl isocyanates [42,43] (Scheme 6).
Scheme 6.
Synthesis of 3-substituted TZD.
Thioglycolic acid can also be used for the synthesis of 2-aryl/heteroarylthiazolidin-4-ones in a three-component reaction. The condensation of substituted aromatic amines in toluene, followed by cyclocondensation with thioglycolic acid, leads to the formation of 2-heteroarylthiazolidin-4-ones (22) [44] (Scheme 7).
Scheme 7.
Synthesis of 2-heteroarylthiazolidin-4-ones.
Another example of a three-component reaction is the synthesis of 2,3-diarylthiazolidin-4-ones (23) using N,N’-dicyclohexylcarbodiimide (DCC) in tetrahydrofuran (THF) as the solvent [45] (Scheme 8).
Scheme 8.
Synthesis of 2-arylthiazolidin-4-ones.
The esters of thioglycolic acid have been used for the synthesis of 2-methylidenethiazolidin-4-ones. Based-catalyst condensation of ethyl thioglycolate with methylene active nitriles such as ethyl 2-cyanoacetate, malononitrile, or 2-cyanoacetamide has led to obtaining 2-methylidenethiazolidin-4-ones (24) [46]. Scheme 9 illustrates the synthesis process.
Scheme 9.
Synthesis of 2-methylidenethiazolidin-4-ones.
The acid hydrolysis method for pseudohydantoins was first proposed by Volhard in 1874 [47] and has since found broad practical application in the synthesis of the TZD ring [48,49].
The reaction of [2+3]-cyclocondensation using thioureas as N,S-nucleophiles with following acid hydrolysis is a traditional approach to the synthesis of TZDs (25–27) (Scheme 10). In these reactions, 2-halogenonitriles [50], chloroacetic acid [51], or maleic anhydride [52] have been used as equivalents of the dielectrophilic synthon [C2]2+.
Scheme 10.
Synthesis of TZD ring by the reaction of cyclocondensation with following acid hydrolysis.
An alternative approach to the synthesis of TZD involves ring transformation reactions. In this process, 2-thioxo-1,3-thiazanones undergo ring transformation to yield TZD (28) (Scheme 11) [53].
Scheme 11.
Synthesis of thiazolidine-2,4-diones via ring transformation reaction.
The above-mentioned synthetic approaches presented in this section are classical strategies for constructing the thiazolidin-4-one system and remain relevant in modern applications [54,55,56,57,58].
4. Structure–Activity Relationship (SAR)
4.1. 2-Alkyl/Arylthiazolidin-4-ones
Verma and Saundane synthesized a series of 2-phenylindol-3-ylthiazolidin-4-one derivatives bearing a 1,3,4-oxadiazole moiety and evaluated their antitubercular activity against M. tuberculosis H37Rv [59]. Compounds 29a–29i (Figure 2) showed antitubercular activity at MIC values in the range of 1.5–>100 µg/mL. The most effective compound was derivative 29d (MIC = 1.5 µg/mL). As a continuation of this research, Verma et al. modified 2-phenylindol-3-ylthiazolidin-4-one derivatives by the indolyl-pyridine moiety in the third position of the thiazolidine ring [60]. This modification led to obtaining compounds 30a–30i and improvement in antitubercular activity compared to series compounds 29a–29i (MIC = 0.8–25 µg/mL). The most effective compounds (30e, 30h, and 30i) among derivatives 30 were 32-fold more active than their analogs 29 (MIC 0.8 vs. 25 µg/mL), whereas the analog of 29d, compound 30d, showed antitubercular activity at the same concentration (MIC = 1.5 µg/mL).
Figure 2.
The structures of 3-substituted 2-phenylindol-3-ylthiazolidin-4-one derivatives 29a–29i and 30a–30i.
Alghamdi et al. synthesized a series of 2-arylthiazolidin-4-one hybrids (31a–31h) with an isonicotinoylamino substituent at the third position of the thiazolidine ring (Figure 3). These derivatives showed weak antituberculosis activity against the Mtb H37Rv strain with MICs in the range of 25–100 µg/mL. The most active among them was compound 31h (MIC = 25 µg/mL) with 4-hydroxy-3-methoxyphenyl substituent in the second position [61]. The replacement of isonicotinoylamino substituent by the 1-methylindazole-3-carboxamide (compounds 32a–32e) led to slightly improved antimycobacterial activity against Mtb H37Rv (MIC = 13.79–>100 µg/mL) [62], wherein the most active compound 32a (MIC = 13.79 µg/mL) contained 3-nitrophenyl substituent in the second position of thiazolidine ring. The worst activity against Mtb showed compound 32d with 4-tolyl substituent in position 2 (MIC > 100 µg/mL). The same is true for the derivative 31d (MIC = 100 µg/mL), as well as for compound 33, which also has a 4-tolyl substituent in position 2 and exhibited only 38% growth inhibition of Mtb at a concentration of 12.5 µg/mL [54].
Figure 3.
The structures of 3-acylamino-2-arylthiazolidin-4-ones.
Chintakunta and Subbareddy synthesized ofloxacin containing thiazolidin-4-one derivatives (34a–34d, 35, and 36) and investigated their antitubercular activity [63] (Figure 3). The introduction ofloxacin moiety in the third position of the thiazolidine ring significantly improved antitubercular activity. The MICs for compounds 34b–34d, 35, and 36 were compared to those for isoniazid and ethambutol (MIC = 1.6 µg/mL) and showed two-fold better than activity pyrazinamide (MIC 1.6 vs. 3.125 µg/mL).
The influence of structural fragments on the antitubercular activity of 3-acylaminothiazolidin-4-ones is depicted in Figure 4.
Figure 4.
The SAR for 3-acylaminothiazolidin-4-ones.
Salve et al. designed and synthesized of new 3-[(7-chloroquinolin-4-yl)amino]thiazolidine-4-ones (37a–37n, 38) [64]. A series of these derivatives (Figure 5) displayed good antimycobacterial activity in the range of MICs from 1.56 to 12.5 µM. Derivatives 37f, 37h, and 37i, containing 4-bromophenyl, 4-methoxyphenyl, and 3,4-dimethoxyphenyl substituents at position 2, exhibited antimycobacterial activity comparable to the reference drugs pyrazinamide and ciprofloxacin (MIC = 3.12 µM). On the other hand, compounds with 2,4-dichlorophenyl, 3-bromo-4-fluorophenyl, 4-dimethylaminophenyl, and 2-thienyl substituents at position 2 of the thiazolidine ring (compounds 37e, 37g, 37n, and 38) demonstrated activity superior to pyrazinamide or ciprofloxacin and comparable to ethambutol (MIC = 1.56 µM). The remaining derivatives of this series were active at concentrations of 6.25–12.5 µM [64].
Figure 5.
The structures of 3-arylaminothiazolidin-4-one derivatives.
The replacement of the 3-(7-chloroquinolin-4-yl)amino substituent with the 4-tolylamino group (39a, 39b) decreased the antimycobacterial activity against Mtb H37Rv (MIC = 12.5 µg/mL) [65].
Othman and colleagues designed and synthesized new thiazolidin-4-one conjugates with 1,3-thiazole at position 3 of the thiazolidine ring (40a–40m) (Figure 6). The obtained compounds were evaluated for their antitubercular activity against the Mtb H37Ra (drug-sensitive strain), MDR, and XDR Mtb strains. All the tested compounds displayed potent to mild antitubercular activity with MIC in the 0.12–62.5 µg/mL range against drug-sensitive strains. The compound 40h with 4-bromophenyl substituent showed activity against Mtb H37Ra comparable to the reference drug isoniazid (MIC = 0.12 µg/mL). Worth noticing that compounds 40b, 40m (MIC = 0.48 µg/mL), and 40i (MIC = 0.98 µg/mL) also showed good antitubercular potential. Other derivatives exhibited moderate or mild activity with MIC range of 1.95–7.81 µg/mL and 15.63–62.5 µg/mL, respectively [55].
Figure 6.
Thiazolidin-4-ones with 1,3-thiazole moiety.
Additionally, compound 40h showed the highest activity to the MDR and XDR strains with MIC = 1.95 and 7.81 µg/mL, correspondingly. Also, high effectiveness was shown by 4-methoxy or 4-chloro analogs of 40h, compounds 40b and 40m. Their MICs against the MDR Mtb strain were 3.9 and 7.81 µg/mL, respectively. Other compounds displayed a moderate effect with MIC = 15.63–31.25 µg/mL (40e, 40i, and 40j), mild activity in the range of concentration 62.5–125 µg/mL (40a, 40e, 40f, 40g, 40k, and 40l), or were inactive (40a, 40c, 40d, 40f, 40g, and 40j–40l) towards both the MDR and XDR Mtb strains. Details of the results are presented in Table 1.
Table 1.
Antitubercular activity of compounds 40a–40m.
The introduction of the benzothiazole moiety at position 3 of the thiazolidine ring generally resulted in decreased antitubercular activity (Figure 6). The activity of compounds 41a and 41b, which were the most effective against Mtb H37Rv in this series, had an MIC of 6.25 µg/mL. This concentration was comparable to that of the reference antibiotic streptomycin [66].
The replacement of substituents (2-aryl and 3-thiazolyl) at positions 2 and 3 of derivatives 40a–40m led to a decrease in the antitubercular activity of compounds 42a–42t against Mtb H37Ra (MIC90 = 61.25–>100 µM). Nevertheless, some of these compounds (42j, 42o, and 42t) showed activity against Mycobacterium bovis BCG with MIC90 values of 5.44, 4.43, and 5.10 µM, respectively [44].
The main trends in structure–activity relationships for thiazolidin-4-ones containing a 1,3-thiazole moiety are presented in Figure 7. Figure 7 illustrates the influence of changing the position of the thiazole moiety (highlighted in red) within the thiazolidin-4-one ring (shown in blue).
Figure 7.
The structure–activity relationship of thiazolidin-4-ones with a 1,3-thiazole moiety.
Trawally et al. obtained a series of spirothiazolidin-4-one derivatives based on mandelic acid hydrazide and evaluated them in vitro for their antitubercular activity. Only compound 43 (Figure 8) displayed 98% inhibition at a concentration of 6.25 µg/mL, which suggests a moderate antitubercular effect against Mtb H37Rv compared to the reference drug rifampicin (MIC = 0.125 µg/mL) [67].
Figure 8.
The structures of spirothiazolidin-4-one derivatives.
Other spirothiazolidin-4-one derivatives described by Pandey et al. were tested for activity against Mtb H37Rv. The results reveal that only two compounds (44a and 44b) showed antitubercular activity with an MIC of 6.25 µg/mL, which is better than the rest of the compounds in the series (MIC > 12.5 µg/mL) [68].
It is worth noting that Moulishankar and Thirugnanasambandam developed a quantitative structure–activity relationship (QSAR) model for certain 2-arylthiazolidin-4-one derivatives, which are potent antitubercular agents. This research investigates the contribution of molecular descriptors of thiazolidin-4-ones to their antitubercular activity. The QSAR equation identifies the molecular descriptors that are either positively or negatively correlated with antitubercular activity. Additionally, it was found that the polarizability, electronegativities, surface area contributions, and presence of halogen atoms in the 2-arylthiazolidin-4-one derivatives increase, thereby enhancing their antitubercular activity [69].
4.2. 2-Iminothiazolidin-4-ones (Pseudothiohydantoins)
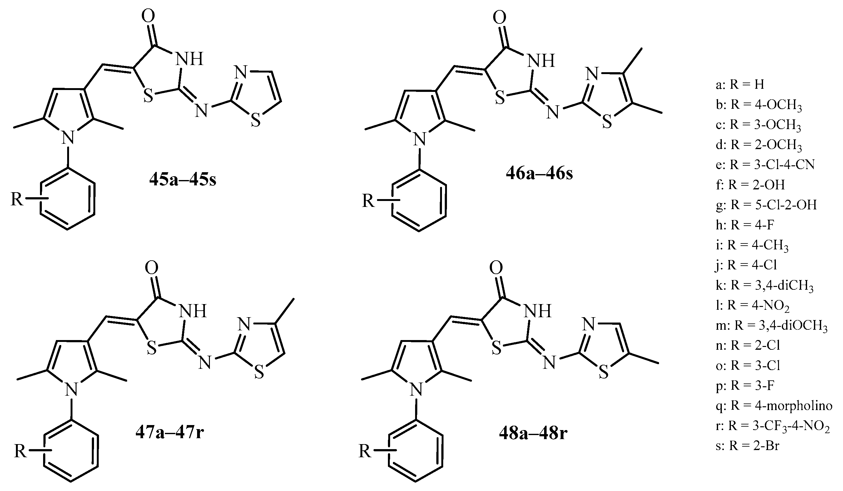
Ahmed and co-workers synthesized a series of pyrrole-thiazolidin-4-one hybrids (compounds 45, 46, 47, and 48) as promising antitubercular agents (Figure 9) [56,70]. All these derivatives contain a thiazole moiety in their structure. Evaluation of antitubercular activity against the Mtb H37Rv strain showed that compounds 45a–45s with unsubstituted thiazole moieties were generally more active than derivatives 46a–46s with a 4,5-dimethylthiazole moiety. The compound 45k with 3,4-dimethylphenyl substituent was the most active among all the tested hybrids (MIC = 0.5 µg/mL). Moreover, hybrid 45k was two-fold better than the reference drugs streptomycin and ethambutol with MIC = 1 µg/mL. But, its analog 46k showed 8-fold worse activity (MIC = 4 µg/mL). However, it is worth noting that compounds 45d, 45h, 45q, 46c, 46n, 46o, and 46s displayed good antitubercular activity with MICs in the range of 2–4 µg/mL. Other derivatives of series 45 and 46 showed moderate or mild antitubercular effect (MIC = 8–64 µg/mL), or they were also inactive (MIC > 64 µg/mL). Moreover, none of the tested derivatives were active against other mycobacterial strains (Mycobacterium abscessus, Mycobacterium fortuitum, and Mycobacterium chelonae). Their MICs were >64 µg/mL [56].
Figure 9.
The structures of pyrrole-thiazolidin-4-one hybrids with a thiazole moiety.
The compounds from series 47 and 48, containing 4-methylthiazole or 5-methylthiazole moieties, demonstrated a level of antitubercular activity comparable to that of series 45 and 46. The compounds 48a–48r with 5-methylthiazole were more active than the analogs of series 47 with a 4-methylthiazole moiety. The most active compounds among the tested derivatives were 48a and 48k, bearing phenyl and 3,4-dimethylphenyl substituents, respectively (Figure 9). They exhibited excellent activity with MIC = 0.5 µg/mL. The good antitubercular activity also showed derivatives 48h–48j and 48o with MIC values of 4 µg/mL. Other compounds from series 47 and 48 exhibited moderate to mild activity or were inactive, with MIC values ranging from 8 to 64 µg/mL or exceeding 64 µg/mL. Like the compounds of series 45 and 46, hybrids 47 and 48 were inactive against M. abscessus, M. fortuitum, and M. chelonae strains [70].
As reported by Kumar et al., the thiazolidin-4-one-based derivatives 49a–49d (Figure 10), containing a thiazole moiety, exhibited activity against Mycobacterium tuberculosis H37Rv comparable to the reference drug streptomycin (MIC = 6.25 µg/mL). In the case of compound 49a (MIC = 0.78 µg/mL), this activity was 4-fold and 8-fold greater than that of the reference drugs pyrazinamide and streptomycin, respectively [71].
Figure 10.
The structures of 5-arylidenethiazolidin-4-one derivatives with thiazole and 5-nitrothiazole moieties.
The introduction of a 5-nitro group into the thiazole ring significantly improved the antitubercular activity compared to the unsubstituted thiazole analogs (Figure 10). The compounds 51a–51q, except for 50 (MIC90 = 31.25 µM), exhibited antitubercular activity with MIC90 values ranging from <0.24 to 2 µM. The most effective compounds were 51c, 51g, 51h, 51i, 51l, 51n, and 51q with MIC90 values less than 0.24 µM. Additionally, all the tested compounds were non-cytotoxic against HEK-293 cells at a concentration of 32 µg/mL (CC50 > 32 µg/mL) [72].
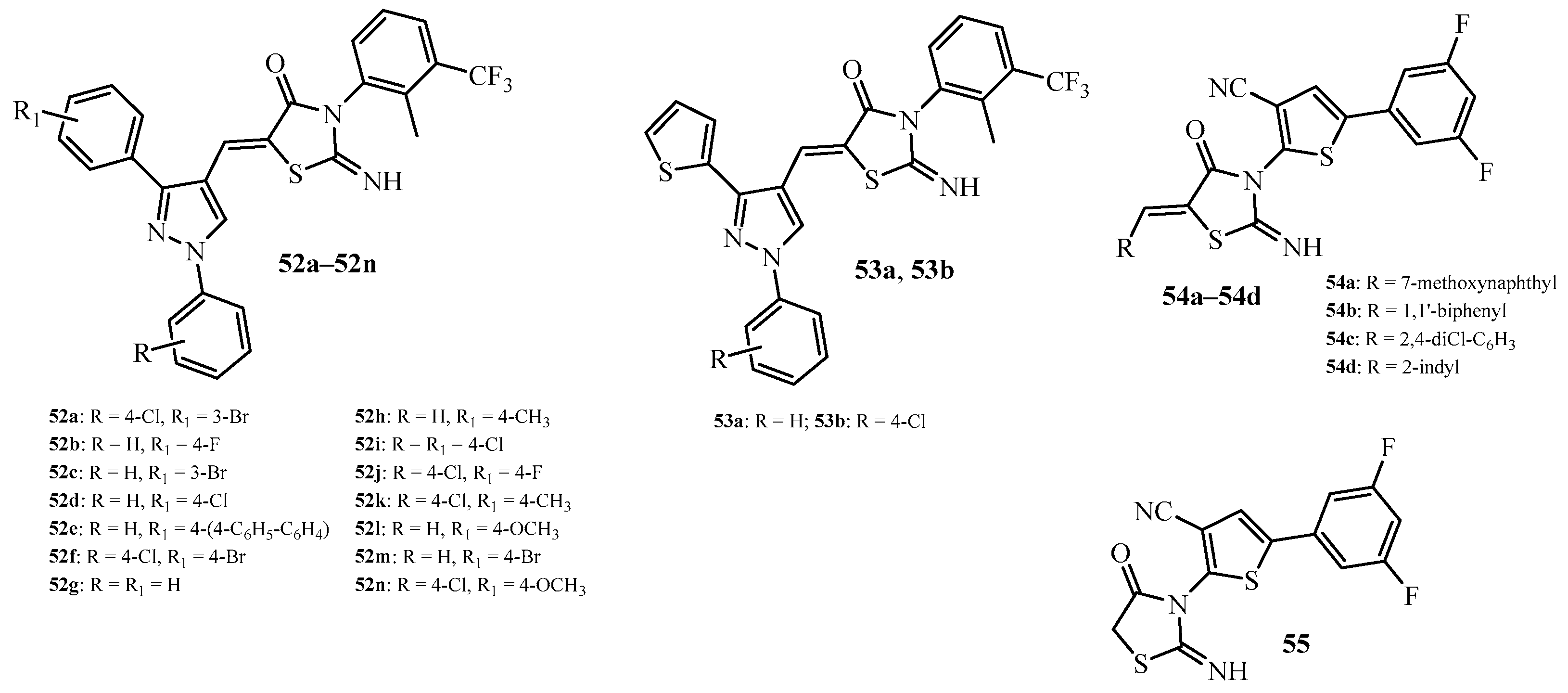
Kamat et al. described the synthesis and antimycobacterial activity of 2-iminothiazolidin-4-one derivatives bearing a pyrazole moiety (52a–52n, 53a, and 53b) (Figure 11). The compounds were tested against replicating and nonreplicating M. tuberculosis H37Rv strains and exhibited activity with MIC values ranging from 3.03 to >100 µg/mL. Five derivatives—52a, 52c, 52d, 52e, and 52f—showed promising potential as antitubercular agents against replicating Mtb H37Rv (MIC = 3.03–22.55 µg/mL). Compound 52a with 4-chlorophenyl substituent demonstrated the highest potential within the series (MIC = 3.03 µg/mL). It is worth noting that the in vitro cytotoxicity study of the most effective compounds against Vero cells revealed a low toxicity level, with an IC50 ranging from 33.5 to 84.45 µg/mL [73].
Figure 11.
The structures of 3,5-disubstituted 2-iminothiazolidin-4-ones.
As reported by Nayak, thiazolidin-4-one derivatives containing a thiophene moiety (54a–54d) inhibited M. tuberculosis H37Rv at concentrations ranging from 12.5 to 50 µg/mL. The absence of a substituent at position 5 (compound 55) resulted in reduced antimycobacterial activity, with an inhibitory concentration of 100 µg/mL [74].
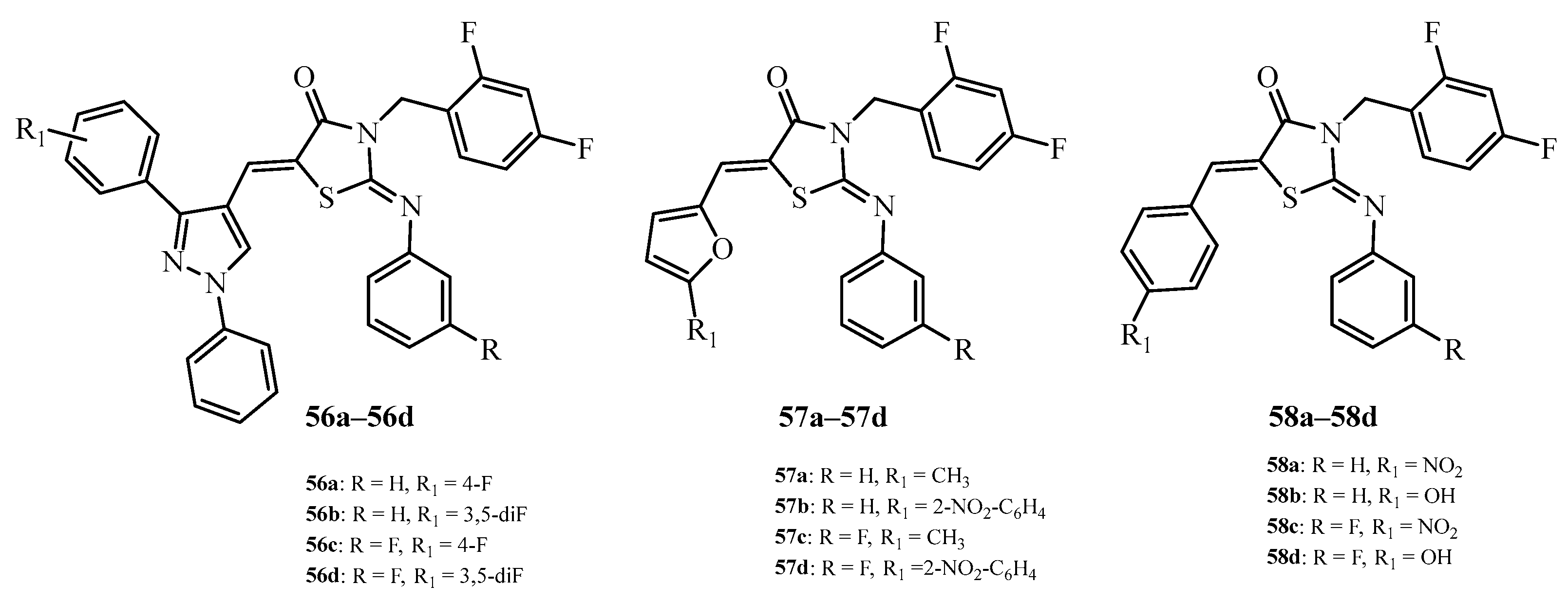
The modification of the 2-imino group of the thiazolidine ring with phenyl or 3-fluorophenyl substituents significantly enhanced antitubercular activity. The MIC values against M. tuberculosis H37Rv strain for the tested compounds (56a–56d, 57a–57d, and 58a–58d) ranged from 1.6 to 6.25 µg/mL (Figure 12). The majority of the compounds demonstrated excellent activity, with MIC values of 1.6 µg/mL, which were comparable to the reference drug isoniazid and superior to pyrazinamide and ethambutol (MIC = 3.12 µg/mL) [75].
Figure 12.
The structures of 2,3,5-trisubstituted 2-iminothiazolidin-4-one derivatives.
Among the 2-hydrazinylidenethiazolidin-4-ones tested against M. tuberculosis H37Rv, only compounds 59, 60, and 61 exhibited moderate antitubercular activity (Figure 13). Compound 59 demonstrated 76% inhibition of M. tuberculosis at a concentration of 12.5 µg/mL [54]. Derivative 60 showed antitubercular activity with an MIC value of 12.5 µg/mL [76]. A slightly better activity was observed for derivative 61, which inhibited the growth of M. tuberculosis H37Rv with a minimum inhibitory concentration of 6.25 µg/mL (12.32 µM) [57].
Figure 13.
The structures of 2-hydrazinylidenethiazolidin-4-ones.
Younis and colleagues designed, synthesized, and evaluated the antimycobacterial activity of novel thiazolo [3,2-a][1,3,5]triazine (62, 63a–63c, 64a–64c, 66a–66c, 67a–67c, and 68) and bis-thiazolidin-4-one (65a–65c) derivatives (Figure 14). To assess their antitubercular effects, the synthesized compounds were tested against the drug-sensitive Mtb H37Ra strain, as well as multidrug-resistant (MDR) and extensively drug-resistant (XDR) strains [77]. Among the tested compounds, derivatives 62 and 64c exhibited the highest efficacy. These compounds were active against both drug-sensitive and drug-resistant strains. Their MIC values were 2.49 µM (62) and 2.28 µM (64c) against the Mtb H37Ra strain; 9.91 µM (62) and 18.14 µM (64c) against the MDR strain; and 39.72 µM (62) and 36.31 µM (64c) against the XDR strain. Replacing the furan-2-ylmethylidene substituent in compound 62 with benzylidene groups in compounds 63a–63c resulted in a significant decrease in the antimycobacterial activity (MIC 2.49 µM vs. 60.4–85.99 µM). It is also worth noting that compounds 65b and 66a demonstrated good activity against both drug-sensitive and drug-resistant strains. The MIC values for compound 65b were 3.60 µM (Mtb H37Ra), 28.89 µM (MDR), and 115.52 µM (XDR), while for compound 66a, they were 4.43 µM, 17.73 µM, and 70.94 µM, respectively. Moreover, compounds 64b, 66b, and 68 exhibited antimycobacterial activity against both the Mtb H37Ra and MDR strains, with MIC values ranging from 8.97 to 17.55 µM and 39.03 to 71.85 µM, respectively. The remaining derivatives showed moderate to mild activity, or no antimycobacterial effect [77].
Figure 14.
The structures of thiazolo [3,2-a][1,3,5]triazine derivatives (62, 63a–63c, 64a–64c, 66a–66c, 67a–67c, and 68) and bis-thiazolidin-4-ones (65a–65c).
4.3. Thiazolidine-2,4-diones
Angelova et al. described the synthesis of novel TZD derivatives substituted in position 5. In this work, the authors replace the chromene scaffold (compound 70) with the indole heterocycle (compounds 69a, 69b) to test the possibility of increasing the antimycobacterial activity (Figure 15). The results of antimycobacterial tests confirmed the potential of the new compounds as antitubercular agents. Compounds 69a and 69b inhibited M. tuberculosis H37Rv with MIC values of 1.55 µM and 1.43 µM, respectively. These values were lower than those of the reference drugs isoniazid (MIC = 1.82 µM) and ethambutol (MIC = 2.00 µM) [78]. However, the results were not superior to those obtained for the previously described chromene derivative 70 (MIC = 0.36 µM) [79]. It is worth emphasizing that compounds 69a and 69b exhibited low cytotoxicity against HEK-293 cells (IC50 > 200 µM), thereby demonstrating a high selectivity index (SI > 129).
Figure 15.
The structures of 3 and 5-substituted TZD.
Our study presents the design, synthesis, antitubercular activity evaluation, and drug interaction analysis of novel TZD-based compounds containing pyridinecarbohydrazide (71a–71e, 72a, 72b, 73a, and 73b) and thiosemicarbazone moieties (74a–74e, 75a, and 75b) (Figure 15) [80]. The results of our study revealed that TZD–pyridine-4-carbohydrazide hybrids (71a and 71c–71e) exhibited excellent activity against M. tuberculosis H37Rv, with MIC values ranging from 0.078 to 0.283 µM. Furthermore, all of these compounds (71a and 71c–71e) demonstrated superior activity compared to the reference drugs ethambutol (MIC = 2.45 µM) and streptomycin (MIC = 0.43 µM). Notably, compounds 71a (MIC = 0.078 µM) and 71d (MIC = 0.144 µM) outperformed isoniazid (MIC = 0.228 µM) and rifampicin (MIC = 0.152 µM) in terms of inhibitory potency against the Mtb H37Rv strain. TZD–pyridine-4-carbohydrazide hybrids (71a and 71c–71e) also exhibited notable activity against the Mtb-MDR 210 strain, with MIC values in the range of 8.38–18.08 µM.
The other series of TZD-based hybrids, namely TZD–thiosemicarbazones (74a–74e), exhibited good antimycobacterial activity against the Mtb H37Rv strain, with MIC values ranging from 0.63 to 9.27 µM. Within this series, compound 74c was the most effective, with an MIC of 0.63 µM.
The substitution of the pyridine-4-carbohydrazide moiety with pyridine-2-carbohydrazide (compounds 72a and 72b) led to a moderate reduction in antitubercular activity (MICs 0.262–0.283 µM vs. 2.26–4.19 µM). In contrast, replacement with pyridine-3-carbohydrazide (73a and 73b) resulted in a complete loss of activity (MICs 578.6 and 268.2 µM, respectively) (Figure 16). In a similar manner, trends were observed for the TZD–thiosemicarbazones (74c and 74d). The introduction of a 4-substituted thiosemicarbazone moiety (75a and 75b) led to a marked reduction in activity against the Mtb H37Rv strain (MICs 0.63 vs. 31.56 µM and 5.17 vs. 32.17 µM). The incorporation of a second thiazolidinone ring into molecule 74a, yielding compound 76, resulted in a significant reduction in activity, with MIC increasing from 2.84 µM to 34.6 µM (Figure 16).
Figure 16.
The SAR of 3-substituted TZD.
Moreover, based on the fractional inhibitory concentration index (FICI), the potency of two-drug combinations of the new compounds with one of four reference drugs in combination therapy was evaluated. Some of the tested compounds (71e and 76) showed a synergistic effect with isoniazid against the Mtb H37Rv strain (FICI = 0.474), while compounds 74c and 74e exhibited synergy with rifampicin against the Mtb 192 strain, with FICI values of 0.375 and 0.187, respectively. These findings suggest that the compounds may serve as effective scaffolds for the development of new co-adjuvants in tuberculosis therapy [80].
TZD-hydroxamate derivatives (77a–77d and 78a–78d) reported by Dak et al. demonstrated significant inhibition of intracellular Mtb H37Ra survival within RAW 264.7 macrophages (Figure 17). The most potent compound, 77d, reduced bacterial survival by 83.2% after 72 h at a concentration of 128 µM. Other notably active derivatives included 77a (67.3%), 77b (80.3%), and 78b (51.9%), all exhibiting over 50% inhibition. The observed structure–activity relationship indicated that activity was enhanced by para-substitution on the aromatic ring and the presence of an isopropyl group at the ester moiety attached to the benzene ring [81].
Figure 17.
The structures of 3,5-disubstituted TZD.
The series of pyrimidine-linked thiazolidinedione derivatives (79a–79j) exhibited good to excellent antimycobacterial activity, with MIC values ranging from 0.22 to 10.91 µM (Figure 17). The most promising antitubercular effects were observed for compounds 79g, 79i, and 79j, which contained electron-withdrawing groups such as trifluoromethyl, 3,5-difluoro, and 3,4,5-trifluoro, respectively. Their MIC values were 0.22, 0.71, and 0.32 µM. Notably, compounds 79g and 79j showed greater potency than the reference drug isoniazid (MIC = 0.35 µM) [82].
4.4. 2-Thioxothiazolidin-4-ones (Rhodanines)
Cheng and co-workers reported the antitubercular activity of 5-arylidenerhodanine-3-acetic acid derivatives (80a–80d) (Figure 18). These compounds exhibited mild activity against Mtb H37Rv, with MIC values ranging from 58.3 to 64.9 µM. Notably, compound 80a, bearing a butyl substituent, exhibited better activity than its cyclohexyl analog 80b, with MIC values of 58.3 µM and 63.8 µM, respectively. An opposite trend was observed for compounds 80c and 80d, with MIC values of 64.9 µM and 62.2 µM, respectively [58].
Figure 18.
The structures of rhodanine derivatives with antitubercular effects.
Other rhodanine derivatives linked to enamine-carbohydrazide, described by Maddipatla et al., generally exhibited moderate to mild antitubercular activity in vitro (MIC = 16–128 µg/mL). Only two derivatives, 81 and 82 (Figure 18), demonstrated good to excellent antitubercular activity, with MIC values of 8 and 1 µg/mL, respectively [83].
5. Mechanism of Action
In the process of discovering new drugs and mechanisms of action against Mycobacterium tuberculosis, the crystal structures of many key protein targets are extensively utilized. Among the most frequently studied are the following: enoyl-acyl carrier protein reductase (InhA), 3-oxoacyl-[acyl-carrier-protein] synthase 1 (KasA), (3R)-hydroxyacyl-ACP dehydratase heterodimer (HadAB), polyketide synthase (Pks13), fatty acid degradation protein D32 (FadD32), and the trehalose monomycolate transporter (MmpL3)—all of which play essential roles in the biosynthesis and transport of mycolic acids [84]. Additionally, common therapeutic targets include the following: decaprenylphosphoryl-ß-D-ribose 2′-oxidase (DprE1), which participates in the cell wall biogenesis [85,86]; mycobacterial zinc metalloprotease-1 (Zmp1), which is essential enzyme for intracellular survival and pathogenicity of Mtb [87]; or pantothenate synthetase (PS), which catalyzes the synthesis of pantothenate from D-pantoate and ß-alanine with the hydrolysis of ATP into AMP and inorganic pyrophosphate [88].
5.1. Enoyl-Acyl Carrier Protein Reductase (InhA)
According to Kamat et al., the most active compound among the series 52 (Figure 11), namely the 2-iminothiazolidin-4-one derivative bearing a pyrazole moiety with a p-chlorophenyl substituent (compound 52a), was subjected to molecular docking to evaluate its potential binding modes. These modes were then analyzed and compared to those of the reference ligand, 5-{[4-(9H-fluoren-9-yl)piperazin-1-yl]carbonyl}-1H-indole, in complex with the enoyl-ACP reductase enzyme InhA (PDB ID: 00001p44). The docking score for compound 52a was −6.41 kcal/mol, whereas the reference ligand exhibited a significantly higher binding affinity with a docking score of −12.05 kcal/mol. Critical amino acid residue analysis revealed a single C–H bond interaction between the trifluoromethyl group of compound 52a and the Pro193 residue, with a bond length of 3.61 Å, as well as a π–π interaction with the Phe97 residue. Additionally, several π–alkyl interactions were observed between the substituted aryl rings of compound 52a and surrounding amino acid residues [73].
Among the thiazolidine-4-one conjugates containing a thiazole moiety (40a–40m) (Figure 6), the most effective derivatives, 40b and 40h, exhibited notable inhibitory activity against the InhA enzyme, with IC50 values of 1.3 ± 0.61 µM and 1.06 ± 0.97 µM, respectively—comparable to that of isoniazid (IC50 = 0.23 ± 1.2 µM). Moreover, molecular docking studies demonstrated that compounds 40b and 40h exhibited strong binding affinity toward the InhA enzyme (PDB ID: 00003fne), with docking scores of −10.3 kcal/mol and −10.61 kcal/mol, respectively. These values were superior to that of the triclosan derivative 2-(2,4-dichlorophenoxy)-5-(pyridin-2-ylmethyl)phenol, which showed a docking score of −9.89 kcal/mol [55].
Additionally, the 1-methylindazole-3-carboxamide thiazolidin-4-one derivative bearing a 3-nitrophenyl group (compound 32a) (Figure 3) exhibited favorable binding energy (ΔG = −9.99 kcal/mol) with the InhA enzyme (PDB ID: 00005jfo), along with a dissociation energy (Ki) of 47.89 nM [62]. However, despite these promising computational results, no in vitro InhA inhibitory activity was confirmed for compound 32a.
The two most promising triazolo [3,2-a][1,3,5]triazine derivatives (62 and 64c) exhibited good inhibitory activity against InhA, with IC50 values of 3.9 and 2.47 µM, respectively, compared to triclosan (IC50 = 1.22 µM) as a reference drug. The preferential activity of compound 64c over compound 62 was confirmed by docking studies. Their binding energies at the active site of InhA (PDB ID: 00004dre) were −8.64 kcal/mol for compound 62, and −12.36 kcal/mol (E-isomer) and −14.06 kcal/mol (Z-isomer) for compound 64c. For comparison, the binding energy of the reference compound triclosan was −11.33 kcal/mol [77].
2-Acylhydrazono-5-arylidenethiazolidin-4-ones 83 and 84 (Table S1 in the Supplementary Materials) demonstrated 51% and 39% inhibition of Mtb InhA at a concentration of 50 µM, but were inactive against Mtb H37Rv (MIC > 25 µg/mL). However, the most active derivative, compound 61 (MIC = 6.25 µg/mL), exhibited only 22% InhA inhibition at 50 µM [57].
5.2. Mycobacterial Membrane Protein Large 3 (MmpL3)
Mycolic acids are long-chain fatty acids that constitute the outer layer of the mycobacterial cell wall. They protect the bacteria, contribute to drug resistance, and are essential for survival [89]. Mycobacterial membrane protein large 3 (MmpL3) is a critical transporter of mycolic acids and other lipids, indispensable for bacterial growth and viability. Due to its essential role, MmpL3 represents a promising target for novel antitubercular agents [90].
3,5-Disubstituted TZD derivatives 79g, 79i, and 79j showed good binding affinity to MmpL3 (PDB ID: 00006ajj), with docking scores of −19.28 kcal/mol, −14.07 kcal/mol, and −15.63 kcal/mol, respectively (Table S1). The docking score for compound 79g, which contains a 4-trifluoromethyl group, was slightly higher than that of the reference difluoroindole derivative ICA38 (docking score: −21.69 kcal/mol) [82]. The other 2-iminothiazolidin-4-one derivative containing a pyrrole moiety (48a) also demonstrated binding energy to MmpL3 (PDB ID: 00006aji) higher than that of the reference pyrrole derivative BM212 and the pyrazole derivative rimonabant, with docking scores of −9.936 kcal/mol vs. −11.11 kcal/mol and −11.59 kcal/mol, respectively [70].
5.3. DNA Gyrase
The series of ofloxacin-containing thiazolidin-4-one derivatives (34a–34d, 35, and 36) demonstrated stronger binding affinity to DNA gyrase (PDB ID: 00005bs8) in molecular docking studies than the reference drug ofloxacin (binding energy: −9.0 kcal/mol). The binding energies of compounds 34a–34d, 35, and 36 ranged from −10.7 to −10.1 kcal/mol [63]. Detailed data are presented in Table S1.
Sajid et al. conducted a theoretical analysis of the binding affinities of 22 (2-aryl-4-oxo-4,5-dihydrothiazol-5-yl)acethydrazide derivatives against DNA gyrase subunit B (PDB ID: 00003ig0), a potential target for Mtb. In this study, compound 85 was identified as a lead molecule, demonstrating strong binding affinity to the target protein with a docking score of −7.0 kcal/mol (Table S1) [91].
A new series of 3-(7-chloroquinolin-4-yl)aminothiazolidin-4-ones was reported as Mtb DNA gyrase inhibitors [64]. The most effective compounds (37e, 37h, 37n, and 38) were evaluated for their inhibition of DNA GyrB using a DNA gyrase supercoiling assay. The results revealed that compounds 37e, 37h, 37n, and 38 exhibited 16%, 36%, 68%, and 82% inhibition of DNA gyrase at a concentration of 1 µM, respectively. Molecular docking studies confirmed the potential of these four compounds as DNA gyrase inhibitors by revealing their binding affinities and interactions with the active site of GyrB ATPase (PDB ID: 00004b6c), with docking scores ranging from −4.50 to −3.14 kcal/mol (Table S1). The docking score of the most potent compound, 38 with a thiophen-2-yl substituent, correlated well with the results of the DNA supercoiling assay.
5.4. Other Promising Targets
Among the spirothiazolidin-4-one derivatives, compounds 44a and 44b exhibited an affinity for α-sterol demethylase from Mycobacterium tuberculosis (PDB ID: 00001ea1), with E-glide scores of −31.567 and −35.168 kcal/mol for two conformers of 44a, and −31.696 kcal/mol for 44b [68]. Reverse docking studies conducted during MD simulations identified stable docked poses of another spirothiazolidin-4-one compound (43) for the NAD-bound form (PDB ID: 00004bqp) and the apoform of InhA (PDB ID: 00004bii), as well as for Pks13 (PDB ID: 00005v3x), DprE1 (PDB ID: 00004p8c), FadD32 (PDB ID: 00005hm3), and HadAB (PDB ID: 00004rlt). Based on MM-GBSA binding energy calculations, compound 43 was found to bind with moderate affinity to HadAB (−100 to −60 kcal/mol) and the apoform of InhA (−80 kcal/mol), and with low affinity to Pks13, DprE1, FadD32, and the NAD-bound form of InhA, with binding energies ranging from −80/−70 to −60/−40 kcal/mol [67]. A detailed overview of the binding energy results is presented in Table S1.
Some 2-Iminothiazolidin-4-one derivatives demonstrated binding affinity to the MurB protein (PDB ID: 00001hsk) (compound 49c) [71], pantothenate synthetase (PDB ID: 00003ivx) (compounds 56b, 57a, and 57d) [75], and the DevR/DosR dormancy regulator (PDB ID: 00001zlk) (compounds 86–88) [92].
The TZD hydroxamate derivative 77d exhibited 41% inhibition of zinc metalloprotease 1 (Zmp1) at a concentration of 40 µM [81]. Other TZD derivatives, 69a and 70, demonstrated a binding affinity for β-ketoacyl-ACP synthase (KasA), with E-scores of −7.65 kcal/mol and −7.15 kcal/mol, respectively [78].
Rhodanine derivatives 80a–80d (Figure 18) exhibited significant inhibitory activity against Mycobacterium tuberculosis protein tyrosine phosphatase B (MptpB), with IC50 values ranging from 0.35 to 0.64 µM. They also demonstrated acceptable selectivity, showing low inhibition against protein tyrosine phosphatase 1B (PTP1B), with IC50 values between 1.75 and 11.31 µM (Table S1). Additionally, compound 80c showed notable inhibitory activity against Mycobacterium tuberculosis protein tyrosine phosphatase A (MptpA), with an IC50 of 4.06 ± 0.51 µM [58].
The rhodanine-linked enamine-carbohydrazide compound described by Maddipatla et al. demonstrated inhibitory activity against carbonic anhydrase (CA). This study evaluated CA inhibition against a panel of human CA isoforms I and II, as well as Mycobacterium tuberculosis carbonic anhydrase isoforms (mtCA 1–3). The compound showed only moderate inhibition of human CA isoforms. In contrast, it exhibited stronger inhibitory potential against the Mycobacterium tuberculosis isoforms mtCA1, mtCA2, and mtCA3. Among the series, compound 89, bearing a 4-nitro group, was the most potent inhibitor of mtCA2, with a Ki value of 9.5 µM (Table S1). However, it displayed only moderate activity against Mtb H37Rv, with an MIC of 32 µg/mL. Interestingly, compound 82, which was the most effective against Mtb H37Rv (MIC = 1 µg/mL), exhibited a similar binding mode to that of compound 89 with mtCA2. Both compounds 82 and 89 demonstrated metal coordination with the zinc ion, a characteristic feature of classical carbonic anhydrase inhibitors. These compounds demonstrated selectivity toward mtCA2, as indicated by the screening results [83].
In the search for new therapeutic agents against Mycobacterium tuberculosis, several thiazolidin-4-one derivatives have shown promising activity against key Mtb targets involved in essential metabolic and structural pathways. These targets include InhA, MmpL3, DNA gyrase, and other enzymes related to cell wall biosynthesis, lipid transport, and bacterial survival mechanisms. Multiple compounds demonstrated strong binding affinity in molecular docking studies and, in some cases, notable in vitro inhibitory activity. Particularly effective derivatives included those targeting InhA (e.g., 40b, 40h, and 64c), MmpL3 (e.g., 79g), and DNA gyrase (e.g., 38). Moreover, select compounds showed specificity for Mtb enzymes over human homologs, such as compound 89 targeting mtCA2. Overall, these findings support the potential of thiazolidinone-based scaffolds as versatile platforms for the development of novel antitubercular agents.
6. Conclusions and Future Perspectives
In conclusion, thiazolidin-4-one derivatives have emerged as a versatile class of compounds with significant potential in antitubercular drug discovery, demonstrating potent activity against drug-sensitive, multidrug-resistant, and extensively drug-resistant Mycobacterium tuberculosis strains. Their structural flexibility allows for diverse chemical modifications that enhance efficacy, selectivity, and target specificity, as shown by structure–activity relationship studies and in vitro assays. Many compounds have shown favorable cytotoxicity profiles and multitarget activity, inhibiting key enzymes such as InhA, MmpL3, and DNA gyrase. Future perspectives should focus on the optimization of lead compounds through SAR and QSAR modeling, comprehensive in vivo pharmacokinetic and toxicity profiling, and the evaluation of synergistic effects in combination with existing antitubercular therapies. Further mechanistic studies employing crystallography and molecular dynamics are needed to confirm binding modes, while the design of dual- or multi-target hybrid molecules could provide new solutions to overcome resistance and improve therapeutic efficacy.
Supplementary Materials
The following supporting information can be downloaded at https://www.mdpi.com/article/10.3390/molecules30102201/s1, Table S1: Potential molecular targets of thiazolidin-4-one derivatives with corresponding in vitro activity and computational binding data.
Author Contributions
Conceptualization, N.T.; methodology, N.T.; validation, W.D.; formal analysis, W.D. and N.T.; investigation, W.D. and N.T.; data curation, N.T.; writing—original draft preparation, W.D. and N.T.; writing—review and editing, N.T.; visualization, W.D.; supervision, N.T. All authors have read and agreed to the published version of the manuscript.
Funding
This research was funded by the Medical University of Lublin (DS14).
Institutional Review Board Statement
Not applicable.
Informed Consent Statement
Not applicable.
Data Availability Statement
Data are contained within the article and Supplementary Materials.
Conflicts of Interest
The authors declare no conflicts of interest.
Abbreviations
The following abbreviations are used in this manuscript:
| AMP | adenosine monophosphate |
| ATP | adenosine triphosphate |
| CA | carbonic anhydrase |
| Dev/DosR | DevR/DosR dormancy regulator |
| DMAD | dimethyl acetylenedicarboxylate |
| DNA | deoxyribonucleic acid |
| DprE1 | decaprenylphosphoryl-β-D-ribose 2′-oxidase |
| FadD32 | fatty acid degradation protein D32 |
| FICI | fractional inhibitory concentration index |
| HadAB | (3R)-hydroxyacyl-ACP dehydratase heterodimer |
| HEK-293 | human embryonic kidney cell line |
| HIV | human immunodeficiency virus |
| IC50 | half maximal inhibitory concentration |
| InhA | enoyl-acyl carrier protein reductase |
| KasA | β-ketoacyl-acyl carrier protein synthase |
| Ki | inhibition constant |
| MDR | multidrug-resistant |
| MIC | minimum inhibitory concentration |
| MmpL3 | mycobacterial membrane protein large 3 |
| MptpA | Mycobacterium tuberculosis protein tyrosine phosphatase A |
| MptpB | Mycobacterium tuberculosis protein tyrosine phosphatase B |
| Mtb | Mycobacterium tuberculosis |
| MurB | UDP-N-acetylenolpyruvoylglucosamine reductase |
| Pks13 | polyketide synthase |
| PS | pantothenate synthetase |
| PTP1B | protein tyrosine phosphatase 1B |
| QSAR | quantitative structure–activity relationship |
| RAW 264.7 | adherent cell line isolated from a mouse tumor that was induced by Abelson murine leukemia virus |
| SAR | structure–activity relationship |
| TB | tuberculosis |
| THF | tetrahydrofuran |
| TZD | thiazolidine-2,4-dione |
| XDR | extensively drug-resistant |
| Zmp1 | zinc metalloprotease 1 |
References
- Global Tuberculosis Report 2024; World Health Organization: Geneva, Switzerland, 2024.
- Zhao, R.; Du, B.; Luo, Y.; Xue, F.; Wang, H.; Qu, D.; Han, S.; Heilbronner, S.; Zhao, Y. Antimicrobial and anti-biofilm activity of a thiazolidinone derivative against Staphylococcus aureus in vitro and in vivo. Microbiol. Spectr. 2024, 12, e02327-23. [Google Scholar] [CrossRef]
- Trotsko, N.; Kosikowska, U.; Paneth, A.; Plech, T.; Malm, A.; Wujec, M. Synthesis and antibacterial activity of new thiazolidine-2,4-dione-based chlorophenylthiosemicarbazone hybrids. Molecules 2018, 23, 1023. [Google Scholar] [CrossRef] [PubMed]
- Trotsko, N.; Kosikowska, U.; Paneth, A.; Wujec, M.; Malm, A. Synthesis and antibacterial activity of new (2,4-dioxothiazolidin-5-yl/ylidene)acetic acid derivatives with thiazolidine-2,4-dione, rhodanine and 2-thiohydantoin moieties. Saudi Pharm. J. 2018, 26, 568–577. [Google Scholar] [CrossRef] [PubMed]
- Mukhrish, Y.E.; Amri, N.J.; Al-humaidi, J.Y.; Oubella, A.; Auhmani, A.; Itto, M.Y.A. Discovery of novel thiazolidinone-1,2,3-triazole hybrids with (D)-limonene skeleton as anticancer agents: Design, synthesis and biological evaluation. J. Mol. Struct. 2024, 1308, 138127. [Google Scholar] [CrossRef]
- Szczepański, J.; Khylyuk, D.; Korga-Plewko, A.; Michalczuk, M.; Mańdziuk, S.; Iwan, M.; Trotsko, N. Rhodanine-piperazine hybrids as potential VEGFR, EGFR, and HER2 targeting anti-breast cancer agents. Int. J. Mol. Sci. 2024, 25, 12401. [Google Scholar] [CrossRef] [PubMed]
- Kamboj, P.; Anjali; Imtiyaz, K.; Rizvi, M.A.; Nath, V.; Kumar, V.; Husain, A.; Amir, M. Design, synthesis, biological assessment and molecular modeling studies of novel imidazothiazole-thiazolidinone hybrids as potential anticancer and anti-inflammatory agents. Sci. Rep. 2024, 14, 8457. [Google Scholar] [CrossRef]
- Trotsko, N.; Przekora, A.; Zalewska, J.; Ginalska, G.; Paneth, A.; Wujec, M. Synthesis and in vitro antiproliferative and antibacterial activity of new thiazolidine-2,4-dione derivatives. J. Enzym. Inhib. Med. Chem. 2018, 33, 17–24. [Google Scholar] [CrossRef]
- Mekhlef, Y.O.; AboulMagd, A.M.; Gouda, A.M. Design, synhtesis, molecular docking, and biological evaluation of novel 2,3-diaryl-1,3-thiazolidine-4-one derivatives as potential anti-inflammatory and cytotoxic agents. Bioorg. Chem. 2023, 133, 106411. [Google Scholar] [CrossRef]
- Haroun, M.; Petrou, A.; Tratrat, C.; Kolokotroni, A.; Fesatidou, M.; Zagaliotis, P.; Gavalas, A.; Venugopala, K.N.; Sreeharsha, N.; Nair, A.B.; et al. Discovery of 5-methylthiazole-thiazolidinone conjugates as potential anti-inflammatory agents: Molecular target indetification and in silico studies. Molecules 2022, 27, 8137. [Google Scholar] [CrossRef]
- Kryshchyshyn, A.; Kaminskyy, D.; Karpenko, O.; Gzella, A.; Grellier, P.; Lesyk, R. Thiazolidinone/thiazole based hybrids—New class of antitrypanosomal agents. Eur. J. Med. Chem. 2019, 174, 292–308. [Google Scholar] [CrossRef]
- Trotsko, N.; Bekier, A.; Paneth, A.; Wujec, M.; Dzitko, K. Synthesis and in vitro anti-Toxoplasma gondii activity of novel thiazolidin-4-one derivatives. Molecules 2019, 24, 3029. [Google Scholar] [CrossRef]
- Trotsko, N. Antitubercular properties of thiazolidin-4-ones—A review. Eur. J. Med. Chem. 2021, 215, 113266. [Google Scholar] [CrossRef] [PubMed]
- Prasad, M.S.; Bhole, R.P.; Khedekar, P.B.; Chikhale, R.V. Mycobacterium enoyl acyl carrier protein reductase (InhA): A key target for antitubercular drug discovery. Bioorg. Chem. 2021, 115, 105242. [Google Scholar] [CrossRef] [PubMed]
- Mdluli, K.; Ma, Z. Mycobacterium tuberculosis DNA gyrase as a target for drug discovery. Infect. Disord. Drug Targets 2007, 7, 159–168. [Google Scholar] [CrossRef]
- Shao, M.; McNeil, M.; Cook, G.M.; Lu, X. MmpL3 inhibitors as antituberculosis drugs. Eur. J. Med. Chem. 2020, 200, 112390. [Google Scholar] [CrossRef] [PubMed]
- Bolla, J.R. Targeting MmpL3 for anti-tuberculosis drug development. Biochem. Soc. Trans. 2020, 48, 1463–1472. [Google Scholar] [CrossRef]
- Seboletswe, P.; Cele, N.; Singh, P. Thiazolidinone-heterocycle frameworks: A concise review of their pharmacological significance. ChemMedChem 2023, 18, e202200618. [Google Scholar] [CrossRef]
- Manjal, S.K.; Kaur, R.; Bhatia, R.; Kumar, K.; Singh, V.; Shankar, R.; Kaur, R.; Rawal, R.K. Synthetic and medicinal perspective of thiazolidinones: A review. Bioorg. Chem. 2017, 75, 406–423. [Google Scholar] [CrossRef]
- Trotsko, N. Thiazolidin-4-ones as a promising scaffold in the development of antibiofilm agents—A review. Int. J. Mol. Sci. 2024, 25, 325. [Google Scholar] [CrossRef]
- Mech, D.; Kurowska, A.; Trotsko, N. The bioactivity of thiazolidin-4-ones: A short review of the most recent studies. Int. J. Mol. Sci. 2021, 22, 11533. [Google Scholar] [CrossRef]
- Gupta, S.; Jha, S.; Rani, S.; Arora, P.; Kumar, S. Medicinal perspective of 2,4-thiazolidinediones derivatives: An insight into recent advancements. ChemistryOpen 2024, 13, e202400147. [Google Scholar] [CrossRef] [PubMed]
- Tarasevicius, E.L. Synthesis of 3-furfurylrhodanine and its 5-arylidene derivatives. Farmatsevtychnyi Zhurnal 1966, 6, 11–14. [Google Scholar]
- Yakubich, V.I.; Gritsyuk, L.V. Synthesis of methionine-based rhodanines. Farmatsevtychnyi Zhurnal 1984, 1, 40–43. [Google Scholar]
- Yakubich, V.I.; Fedirko, Y.M. Synthesis of asparagine acid-based rhodanines. Farmatsevtychnyi Zhurnal 1983, 5, 58–60. [Google Scholar]
- Hanefeld, W.; Jalili, M.A. Synthese und reaktionen von 3-aminorhodaninen. Arch. Pharm. 1987, 320, 323–337. [Google Scholar] [CrossRef]
- Kinugawa, J.; Nagase, H. 2-Thioxo-4-thiazolidinone-5-acetic Acid Derivatives. JP 41016285 B 14 September 1966. Available online: https://scifinder-n.cas.org/searchDetail/reference/6827c08638bc51022663f787/referenceDetails (accessed on 16 May 2025).
- Kandeel, K.A.; Youssef, A.S.A. Reaction of 5-aroylmethylene-3-benzyl-4-oxo-2-thioxo-1,3-thiazolidines with nitrile oxides. Molecules 2001, 6, 510–518. [Google Scholar] [CrossRef]
- Nagase, H. Fungicides XXII. Reaction of dimethyl acetylenedicarboxylate with dithiocarbamates, thiolcarbamates, thiosemicarbazides, and thiosemicarbazones. Chem. Pharm. Bull. 1973, 21, 279–286. [Google Scholar] [CrossRef]
- Carradori, S.; Secci, D.; Bizzarri, B.; Chimenti, P.; De Monte, C.; Guglielmi, P.; Campestre, C.; Rivanera, D.; Bordon, C.; Jones-Brando, L. Synthesis and biological evaluation of anti-Toxoplasma gondii activity of a novel scaffold of thiazolidinone derivatives. J. Enzym. Inhib. Med. Chem. 2017, 32, 746–758. [Google Scholar] [CrossRef]
- D’Ascenzio, M.; Bizzarri, B.; De Monte, C.; Carradori, S.; Bolasco, A.; Secci, D.; Rivanera, D.; Faulhaber, N.; Bordon, C.; Jones-Brando, L. Design, synthesis and biological characterization of thiazolidin-4-one derivatives as promising inhibitors of Toxoplasma gondii. Eur. J. Med. Chem. 2014, 86, 17–30. [Google Scholar] [CrossRef]
- Pan, B.; Huang, R.-Z.; Han, S.-Q.; Qu, D.; Zhu, M.-L.; Wei, P.; Ying, H.-J. Design, synthesis, and antibiofilm activity of 2-arylimino-3-aryl-thiazolidine-4-ones. Bioorg. Med. Chem. Lett. 2010, 20, 2461–2464. [Google Scholar] [CrossRef]
- Mushtaque, M.; Avecilla, F.; Azam, A. Synthesis, characterization and structure optimization of a series of thiazolidinone derivatives as Entamoeba histolytica inhibitors. Eur. J. Med. Chem. 2012, 55, 439–448. [Google Scholar] [CrossRef] [PubMed]
- Arakelian, A.N.; Dunn, H.; Grieshammer, J.L.L.; Coleman, L.E. 2-Imino-4-oxo-5-thiazolidineacetic acid and its derivatives. J. Org. Chem. 1960, 25, 465–467. [Google Scholar] [CrossRef]
- Jangale, A.D.; Dalal, D.K. Highly efficient, combinatorial and catalyst-free approach for the synthesis of 2-benzylidenehydrazono-3-phenyl-4-thiazolidinone-5-acetates in ethanol. ChemistrySelect 2019, 4, 1323–1329. [Google Scholar] [CrossRef]
- Hosseinzadeh, N.; Hasani, M.; Foroumadi, A.; Nadsri, H.; Emami, S.; Samadi, N.; Faramarzi, M.A.; Saniee, P.; Siavoshi, F.; Abadian, N.; et al. 5-Nitro-heteroarylidene analogs of 2-thiazolyliminol-4-thiazolidinones as a novel series of antibacterial agents. Med. Chem. Res. 2013, 22, 2293–2302. [Google Scholar] [CrossRef]
- Nektegayev, I.; Lesyk, R. 3-Oxyarylthiazolidones-4 and their choleretic activity. Sci. Pharm. 1999, 67, 227–230. [Google Scholar]
- Holmberg, B.; Psilanderhielm, B. Uber einige Amidderivate von Thiocarbonglycolsauren. Chem. Zentr. 1911, Bd.I, 296–297. [Google Scholar]
- Nencki, M. Uber die Einwirkung der Monochloressigsaure auf Sulfocyansaure und Salze. J. Prakt. Chem. 1877, 16, 1–17. [Google Scholar] [CrossRef]
- Minka, A.F. Synthesis and study of 5-alkyl derivatives of rhodanine. Farmatsevtychnyi Zhurnal 1963, 5, 32–35. [Google Scholar]
- Kretov, A.E.; Bespalyi, A.S. Thiazolidine derivatives. Zhurnal Obshchei Khimii 1963, 33, 1878–1882. [Google Scholar]
- Andreasch, R. Substituted rhodanines and some of their aldehyde condensation products. XIII. J. Chem. Soc. 1917, 112, 663. [Google Scholar]
- Andreasch, R. New synthesis of 2,4-dioxythiazole and of its 3-phenyl derivative. Monatshefte Chem. 1917, 38, 203–209. [Google Scholar] [CrossRef]
- Abhale, Y.K.; Shinde, A.; Shelke, M.; Nawale, L.; Sarkar, D.; Mhaske, P.C. Synthesis of new 2-(thiazol-4-yl)thiazolidin-4-one derivatives as potential anti-mycobacterial agents. Bioorg. Chem. 2021, 115, 105192. [Google Scholar] [CrossRef] [PubMed]
- Shawky, A.M.; Almalki, F.A.; Abdalla, A.N.; Youssif, B.G.M.; Abdel-Fattah, M.M.; Hersi, F.; El-Sherief, H.A.M.; Ibrahim, N.A.; Gouda, A.M. Discovery and optimization of 2,3-diaryl-1,3-thiazolidin-4-one-based derivatives as potent and selective cytotoxic agents with anti-inflammatory activity. Eur. J. Med. Chem. 2023, 259, 115712. [Google Scholar] [CrossRef] [PubMed]
- Isidor, J.L.; McKee, R.L. Synthesis of 2-methylene-4-thiazolidinones. J. Org. Chem. 1973, 38, 3615–3617. [Google Scholar] [CrossRef]
- Volhard, J. Ueber einige Derivate des Sulfoharnstoffs. J. Prakt. Chem. 1874, 9, 6–30. [Google Scholar] [CrossRef]
- Lozinskii, M.O.; Kukota, S.N.; Pel’kis, P.S. Condensation and cyclization of (arylazo)chloroacetic acids. VIII. New 5-(arylhydrazono)-3-aryl-2-(arylamino)-4-thiazolidones and their oxidation and hydrolysis. Khimiya Geterotsiklicheskikh Soedin. 1971, 3, 171–175. [Google Scholar]
- Turkevich, N.M.; Yakubich, V.I. Synthesis and hydrazinolysis of 3-substituted rhodanines. Khimiya Geterotsiklicheskikh Soedin. 1971, 3, 121–125. [Google Scholar]
- Nomura, M.; Kinoshita, S.; Satoh, H.; Maeda, T.; Murakami, K.; Tsunoda, M.; Miyashi, H.; Awano, K. (3-Substituted benzyl)thiazolidine-2,4-diones as structurally new antihyperglycemic agents. Bioorg. Med. Chem. Lett. 1999, 9, 533–538. [Google Scholar] [CrossRef]
- Turkevich, N.M.; Vvedenskii, V.M.; Petlichnaya, L.M. Substitutions in the azolidine ring. XIII. Method of obtaining pseudothiohydantoin and 2,4-thiazolidinedione. Ukr. Khimicheskii Zhurnal 1961, 27, 680–681. [Google Scholar]
- Lesyk, R.B.; Zimenkovsky, B.S.; Golota, S.M.; Leb’yak, M.M. Synthesis of 2,4-dioxothiazolidine-5-acetic acid and its amides—Perspective synthons for obtaining combinatorial libraries of biologically active substances. Farmatsevtychnyi Zhurnal 2001, 5, 57–63. [Google Scholar]
- Orlinskii, M.M. Recyclization of 2-thioxo-1,3-thiazan-4-one and its derivatives. Zhurnal Org. Khimii 1993, 29, 2323–2324. [Google Scholar]
- Dincel, E.D.; Şatana, D.; Özbey, S.; Ulusoy-Güzeldemirci, N. Synthesis, characterization and antimicrobial evaluation of new 2-(2-thienylcarbonyl)hydrazono-3-alkyl/aryl-4-thiazolidinone and 2-aryl-3-(2-thienylcarbonyl)amino-4-thiazolidinone derivatives. J. Res. Pharm. 2022, 26, 641–654. [Google Scholar] [CrossRef]
- Othman, D.I.A.; Hamdi, A.; Abdel-Aziz, M.M.; Elfeky, S.M. Novel 2-arylthiazolidin-4-one-thiazole hybrids with potent activity against Mycobacterium tuberculosis. Bioorg. Chem. 2022, 124, 105809. [Google Scholar] [CrossRef] [PubMed]
- Ahmed, S.; Mital, A.; Akhir, A.; Saxena, D.; Ahmad, M.N.; Dasgupta, A.; Chopra, S.; Jain, R. Pyrrole-thiazolidinone hybrids as a new structural class of broad-spectrum anti-infectives. Eur. J. Med. Chem. 2023, 260, 115757. [Google Scholar] [CrossRef]
- Birgül, S.I.D.; Kumari, J.; Tamhaev, R.; Mourey, L.; Lherbet, C.; Sriram, D.; Akdemir, A.; Küçükgüzel, I. In silico design, synthesis and antitubercular activity of novel 2-acylhydrazono-5-arylmethylene-4-thiazolidinones as enoyl-acyl carrier protein reductase inhibitors. J. Biomol. Struct. Dyn. 2024, 42, 1–19. [Google Scholar] [CrossRef] [PubMed]
- Cheng, S.; Zou, Y.; Chen, X.; Chen, J.; Wang, B.; Tian, J.; Ye, F.; Lu, Y.; Huang, H.; Lu, Y.; et al. Design, synthesis and biological evaljuation of 3-substituted-2-thioxothiazolidin-4-one (rhodanine) derivatives as antitubercular agents against Mycobacterium tuberculosis protein tyrosine phosphatase B. Eur. J. Med. Chem. 2023, 258, 115571. [Google Scholar] [CrossRef]
- Verma, V.A.; Saundane, A.R. Synthesis of some novel 5-(8-substituted-11H-indolo [3,2-c]isoquinolin-5-ylthio)-1′,3′,4′-oxadiazol-2-amines bearing thiazolidinones and azetidinones as potential antimicrobial, antioxidant, antituberculosis, and anticancer agents. Polycycl. Aromat. Compd. 2021, 41, 871–896. [Google Scholar] [CrossRef]
- Verma, V.A.; Saundane, A.R.; Meti, R.S.; Shamrao, R.; Katkar, V. Synthesis, biological evaluation and docking studies of some new indolyl-pyridine containing thiazolidinone and azetidinone analogs. Polycycl. Aromat. Compd. 2022, 42, 1545–1559. [Google Scholar] [CrossRef]
- Alghamdi, S.; Almehmadi, M.M.; Asif, M.; Alshehri, M.M.; Kamal, M. Amtimycobacterial evaluation and microwave-assisted synthesis of N-(5-methyl-4-oxo-2-arylthiazolidin-3-yl) isonicotinamide derivatives. Pharm. Chem. J. 2022, 56, 215–219. [Google Scholar] [CrossRef]
- Dunga, A.K.; Rao Allaka, T.; Shaik, A.; Nemuri, R.; Thandlam, A.K.; Nechipadappu, S.K.; Pothana, P.; Kishore, P.V.N.N. Synthesis of novel antimicrobial indazole-linked 1,2,4-triazolylthiadiazole and 4-thiazolidinone derivatives and study of their molecular modelling. Russ. J. Gen. Chem. 2023, 93, 949–961. [Google Scholar] [CrossRef]
- Chintakunta, R.; Subbareddy, G.V. Synthesis docking studies, characterization and anti-tubercular activity of ofloxacin containing thiazolidinone derivatives. J. Young Pharm. 2022, 14, 77–81. [Google Scholar] [CrossRef]
- Salve, P.S.; Parchure, P.; Araujo, L.; Kavalapure, R.S.; Jalapure, S.S.; Sriram, D.; Krishna, V.S.; Estharla, M.R.; Alegaon, S.G. Design and synthesis of new 3-((7-chloroquinolin-4-yl)amino)thiazolidin-4-one analogs as Mycobacterium tuberculosis DNA gyrase inhibitors. Future J. Pharm. Sci. 2021, 7, 10. [Google Scholar] [CrossRef]
- Alghamdi, S.; Kamal, M.; Asif, M. Antimycobacterial assessment and microwave-assisted synthesis of 2-aryl-3-(4-methylphenylamino)thiazolidin-4-one derivatives. Lett. Org. Chem. 2022, 19, 250–255. [Google Scholar] [CrossRef]
- Bhoge, N.; Magare, B.; Mohite, P. Synthesis and biological evaluation of 3-(benzo[d]thiazol-2-yl)-2-(substituted aryl)thiazolidin-4-one derivatives. Lett. Appl. NanoBioScience 2023, 13, 19. [Google Scholar] [CrossRef]
- Trawally, M.; Demir-Yazici, K.; Dingiş-Birgül, S.I.; Kaya, K.; Akdemir, A.; Güzel-Akdemir, Ö. Mandelic acid-based spirothiazolidinones targeting M. tuberculosis: Synthesis, in vitro and in silico investigations. Bioorg. Chem. 2022, 121, 105688. [Google Scholar] [CrossRef] [PubMed]
- Pandey, S.K.; Yadava, U.; Sharma, M.I.; Upadhyay, A.; Gupt, M.P.; Dwivedi, A.R.; Khatoon, A. Synthesis, molecular structure investigation, biological evaluation and docking studies of novel spirothiazolidinones. Results Chem. 2023, 5, 100726. [Google Scholar] [CrossRef]
- Moulishankar, A.; Thirugnanasambandam, S. Quantitative structure activity relationship (QSAR) modeling study of some novel thiazolidine-4-one derivatives as potent anti-tubercular agents. J. Recept. Signal Transduct. 2023, 43, 83–92. [Google Scholar] [CrossRef]
- Ahmed, S.; Mital, A.; Akhir, A.; Saxena, D.; Jahan, K.; Dubey, G.; Bharatam, P.V.; Dasgupta, A.; Chopra, S.; Jain, R. Pyrrole-thiazolidin-4-one analogues exhibit promising anti-tuberculosis activity. Asian J. Org. Chem. 2024, 13, e202400054. [Google Scholar] [CrossRef]
- Kumar, V.; Shetty, P.; HS, A.; Chandra, K.S.; Ramu, R.; Patil, S.M.; Baliga, A.; Rai, V.M.; Shenoy, M.S.; Udupi, V.; et al. Potential fluorinated anti-MRSA thiazolidinone derivatives with antibacterial, antitubercular activity and molecular docking studies. Chem. Biodivers. 2022, 19, e202100532. [Google Scholar] [CrossRef]
- Hart, D.; Legoabe, L.J.; Jesumoroti, O.J.; Jordaan, A.; Warner, D.F.; Steventon, R.; Beteck, R.M. Nitrothiazole-thiazolidinone hybrids: Synthesis and in vitro antimicrobial evaluation. Chem. Biodivers. 2022, 19, e202200729. [Google Scholar] [CrossRef]
- Kamat, V.; Poojary, B.; Puthran, D.; Das, V.B.; Kumar, B.K.; Sankaranarayan, M.; Shetye, G.; Ma, R.; Franzblau, S.G.; Nayak, S.P. Synthesis, antimycobacterial, cytotoxicity, anti-inflammatory, in silico studies and molecular dynamics of pyrazole-embedded thiazolidin-4-one hybrids. Arch. Pharm. 2023, 356, e2200444. [Google Scholar] [CrossRef]
- Nayak, S.G.; Poojary, B.; Kamat, V.; Puthran, D. Novel thiazolidin-4-one clubbed thiophene derivatives via Gewald synthesis as anti-tubercular and anti-inflammatory agents. J. Chin. Chem. Soc. 2021, 68, 1116–1127. [Google Scholar] [CrossRef]
- Nefisath, P.; Kumar, V.; Shashiprabha; Patil, S.M.; Ramu, R.; Shradha, S.; Dasappa, J.P. 2,3,5-Trisubstituted thiazolidinone derivatives as potential antimicrobial and antitubercular agents and in silico studies. ChemistrySelect 2024, 9, e202303188. [Google Scholar] [CrossRef]
- Pasha, M.A.; Mondal, S.; Panigrahi, N.; Shetye, G.; Ma, R.; Franzblau, S.G.; Zheng, Y.-T.; Murugesan, S. One-pot synthesis of novel hydrazono-1,3-thiazolidin-4-one derivatives as anti-HIV and anti-tubercular agents: Synthesis, biological evaluation, molecular modelling and admet studies. Curr. HIV Res. 2022, 20, 255–271. [Google Scholar] [CrossRef]
- Younis, M.H.; Mohammed, E.R.; Mohamed, A.R.; Abdel-Aziz, M.M.; Georgey, H.H.; Gawad, N.M.A. Design, synthesis and anti-Mycobacterium tuberculosis evaluation of new thiazolidin-4-one and thiazolo[3,2-a][1,3,5]triazine derivatives. Bioorg. Chem. 2022, 124, 105807. [Google Scholar] [CrossRef] [PubMed]
- Angelova, V.T.; Pencheva, T.; Buyukliev, R.; Yovkova, E.K.; Valkova, I.; Momekov, G.; Vulcheva, V. Antimycobacterial activity, in silico ADME evaluation, and docking study of novel thiazolidinedione and imidazolidinone conjugates. Russ. J. Bioorg. Chem. 2021, 47, 122–133. [Google Scholar] [CrossRef]
- Angelova, V.T.; Valcheva, V.; Vassilev, N.; Buyukliev, R.; Mihaylova, R.; Momekov, G. Synthesis, in vitro antiproliferative and antimycobacterial activity of thiazolidine-2,4-dione and hydantoin derivatives. Bulg. Chem. Commun. 2017, 49, 643–651. [Google Scholar]
- Trotsko, N.; Głogowska, A.; Kaproń, B.; Kozieł, K.; Augustynowicz-Kopeć, E.; Paneth, A. The new thiazolidine-2,4-dione-based hybrids with promising antimycobacterial activity: Design, synthesis, biological evaluation, and drug interaction analysis. J. Enzym. Inhib. Med. Chem. 2025, 40, 2442703. [Google Scholar] [CrossRef]
- Dak, M.; Šlachtova, V.; Šebela, M.; Bazgier, V.; Berka, K.; Smiejkowska, N.; Oorts, L.; Cappoen, D.; Brulikova, L. Novel heterocyclic hydroxamates as inhibitors of the mycobacterial zinc metalloprotease Zmp1 to probe its mechanism of function. Eur. J. Med. Chem. 2022, 244, 114831. [Google Scholar] [CrossRef]
- Raghu, M.S.; Kumar, C.B.P.; Yogesh Kumar, K.; Prashanth, M.K.; Alharethy, F.; Jeon, B.-H. Synthesis, biologicalevaluation and molecular docking study of pyrimidine linked thiazolidinedione derivatives as potential antimicrobial and antitubercular agents. Bioorg. Med. Chem. Lett. 2024, 103, 129707. [Google Scholar] [CrossRef]
- Maddipatla, S.; Bakchi, B.; Gadhave, R.R.; Ammara, A.; Sau, S.; Rani, B.; Nanduri, S.; Kalia, N.P.; Supuran, C.T.; Yaddanapudi, V.M. Exploring rhodanine linked enamine-carbohydrazide derivatives as mycobacterial carbonic anhydrase inhibitors: Design, synthesis, biological evaluation, and molecular docking studies. Arch. Pharm. 2024, 357, e2400064. [Google Scholar] [CrossRef] [PubMed]
- Chollet, A.; Maveyraud, L.; Lherbet, C.; Bernardes-Genisson, V. An overview on crystal structures of InhA protein: Apo-form, in complex with its natural ligands and inhibitors. Eur. J. Med. Chem. 2018, 146, 318. [Google Scholar] [CrossRef]
- Amado, P.S.M.; Woodley, C.; Cristiano, M.L.S.; O’neill, P.M. Recent advances of DprE1 inhibitors against Mycobacterium tuberculosis: Computational analysis of physicochemical and ADMET properties. ACS Omega 2022, 7, 40659–40681. [Google Scholar] [CrossRef]
- Yadav, S.; Soni, A.; Tanwar, O.; Bhadane, R.; Besra, G.S.; Kawathekar, N. DprE1 Inhibitors: Enduring aspirations for future antituberculosis drug discovery. ChemMedChem 2023, 18, e202300099. [Google Scholar] [CrossRef]
- Liang, W.G.; Mancl, J.M.; Zhao, M.; Tang, W.-J. Structural analysis of Mycobacterium tuberculosis M13 metalloprotease Zmp1 open states. Structure 2021, 29, 709–720. [Google Scholar] [CrossRef] [PubMed]
- Suresh, A.; Srinivasarao, S.; Khetmalis, Y.M.; Nizalapur, S.; Sankaranarayanan, M.; Sekhar, K.V.G.C. Inhibitors of pantothenate synthetase of Mycobacterium tuberculosis—A medicinal chemist perspective. RSC Adv. 2020, 10, 37098. [Google Scholar] [CrossRef]
- Marrakchi, H.; Laneelle, M.-A.; Daffe, M. Mycolic acids: Structures, biosynthesis, and beyond. Chem. Biol. 2014, 21, 67–85. [Google Scholar] [CrossRef] [PubMed]
- Williams, J.T.; Abramovitch, R.B. Molecular mechanisms of MmpL3 function and inhibition. Microb. Drug Resist. 2023, 29, 190–212. [Google Scholar] [CrossRef]
- Sajid, Z.; Akhtar, T.; Ahmad, K.; Haroon, M. Molecular docking simulation and ADMET/pharmacokinetic screening of newly designed 2-(2-aryl-4-oxo-4,5-dihydrothiazol-5-yl)acetohydrazides as potential antitubercular agents. ChemistrySelect 2024, 9, e202403715. [Google Scholar] [CrossRef]
- Sharma, D.; Sharma, S.; Sinha, N.; Jain, N.; Kumar, A.; Sarkar, A.; Tyagi, J.S.; Gupta, R.K. Novel benzoic thiazolidin-4-one derivatives targeting DevR/DosR dormancy regulator of Mycobacterium tuberculosis. J. Mol. Struct. 2022, 1254, 132278. [Google Scholar] [CrossRef]
Disclaimer/Publisher’s Note: The statements, opinions and data contained in all publications are solely those of the individual author(s) and contributor(s) and not of MDPI and/or the editor(s). MDPI and/or the editor(s) disclaim responsibility for any injury to people or property resulting from any ideas, methods, instructions or products referred to in the content. |
© 2025 by the authors. Licensee MDPI, Basel, Switzerland. This article is an open access article distributed under the terms and conditions of the Creative Commons Attribution (CC BY) license (https://creativecommons.org/licenses/by/4.0/).




























