A “Pincer” Type of Acridine–Triazole Fluorescent Dye for Iodine Detection by Both ‘Naked-Eye’ Colorimetric and Fluorometric Modes
Abstract
1. Introduction
2. Results
2.1. Spectra Property
2.2. Reversibility and Reusability of Probe 1
2.3. Mechanism Tests
2.3.1. Isothermal Calorimetric Titration (ITC) Studies
2.3.2. 1H NMR Study
2.4. Practical Application
3. Materials and Methods
3.1. Chemicals and Instruments
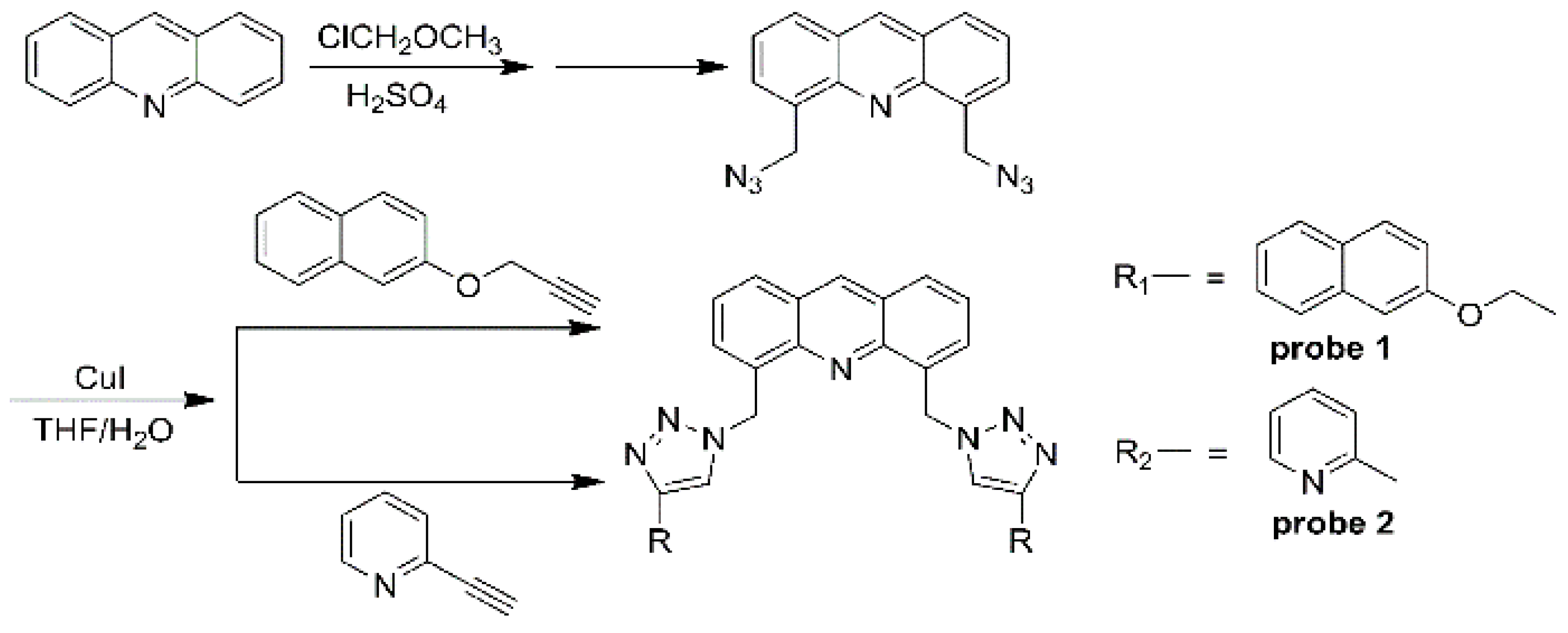
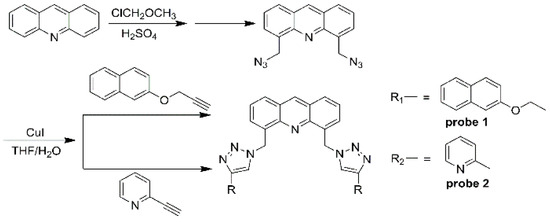
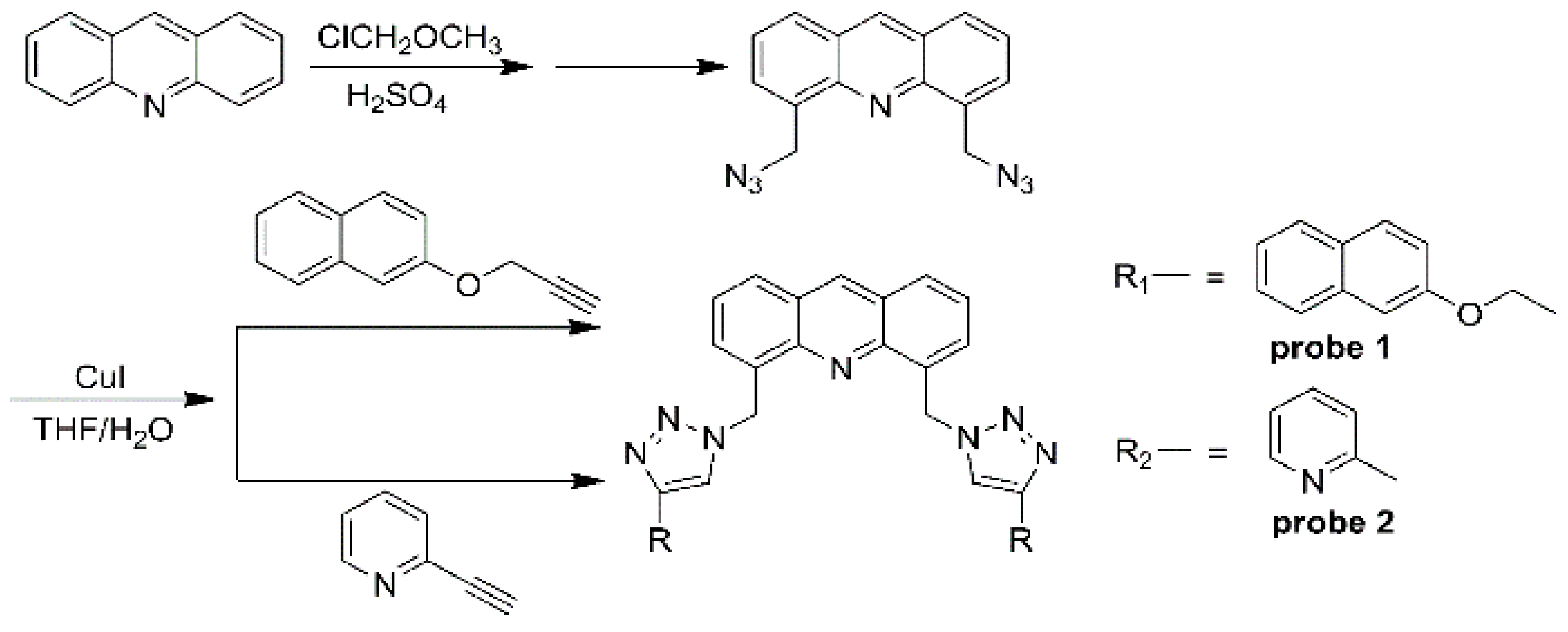
3.2. Design and Synthesis
3.3. Methodology
4. Conclusions
- Unlike most I-probe complexes, the spectroscopic detections of probe 1 can be performed in a THF/H2O system, offering broader applicability compared to detection in a purely organic system.
- I− can change the solution of probe 1 from colorless to light yellow, providing a visual detection capability.
- Despite being a fluorescence-quenching type, the detection limit of probe 1 still reaches 10−8 mol·L−1 The linear range of the I− concentration detected by the two spectral techniques spans two orders of magnitude.
- In fluorescence detection, the addition of an appropriate amount of silver ions (Ag+) can compete to release probe 1, demonstrating a reversible effect.
Supplementary Materials
Author Contributions
Funding
Institutional Review Board Statement
Informed Consent Statement
Data Availability Statement
Conflicts of Interest
References
- Wang, J.X.; Wang, Y.T.; Zhang, H.; Fu, M.-C. Visible-light-induced iodine-anion-catalyzed decarboxylative/deaminative C–H alkylation of enamides. Org. Chem. Front. 2021, 8, 4466–4472. [Google Scholar] [CrossRef]
- Wu, R.Z.; Yang, X.; Zhang, L.W.; Zhou, P.-P. Luminescent lanthanide metal–organic frameworks for chemical sensing and toxic anion detection. Dalton Trans. 2017, 46, 9859–9867. [Google Scholar] [CrossRef]
- Zhang, X.; Yuan, N.; Sun, J.; Zhao, X.; Du, J.; Nan, M.; Zhang, Q.; Ji, L. Association Between Iodine Nutritional Status and Adverse Pregnancy Outcomes in Beijing, China: A Single-Center Cohort Study. Biol. Trace Elem. Res. 2021, 200, 2620–2628. [Google Scholar] [CrossRef] [PubMed]
- Stanbury, J.B.; Ermans, A.E.; Bourdoux, P.; Todd, C.; Oken, E.; Tonglet, R.; Vidor, G.; Braverman, L.; Medeiros-Neto, G. Iodine-induced hyperthyroidism: Occurrence and epidemiology. Thyroid 1998, 8, 83–100. [Google Scholar] [CrossRef] [PubMed]
- Dai, G.; Levy, O.; Carrasco, N. Cloning and characterization of the thyroid iodide transporter. Nature 1996, 379, 458–460. [Google Scholar] [CrossRef]
- Zhang, R.X.; Li, P.F.; Zhang, W.J.; Li, N.; Zhao, N. A highly sensitive fluorescent sensor with aggregation-induced emission characteristics for the detection of iodide and mercury ions in aqueous solution. J. Mater. Chem. C 2016, 4, 10479–10485. [Google Scholar] [CrossRef]
- Kaur, I.; Khajuria, A.; Ohri, P.; Kaur, P.; Singh, K. Benzothiazole based Schiff-base-A mechanistically discrete sensor for HSO4− and I−: Application to bioimaging and vapour phase sensing of ethyl acetate. Sens. Actuators B Chem. 2018, 268, 29–38. [Google Scholar] [CrossRef]
- Harsha, K.G.; Rao, B.A.; Baggi, T.R.; Prabhakar, S.; Rao, V.J. Thiophene-phenylquinazoline probe for selective ratiometric fluorescence and visual detection of Fe (iii) and turn-off fluorescence for I− and its applications. Photochem. Photobiol. Sci. 2020, 19, 1707–1716. [Google Scholar] [CrossRef]
- Urai, A.; Takano, Y.; Imachi, H.; Ishii, S.; Matsui, Y.; Ogawara, M.; Tasumi, E.; Miyairi, Y.; Ogawa, N.O.; Yoshimura, T.; et al. Origin of deep methane associated with a unique community of microorganisms in an organic-and iodine-rich aquifer. ACS Earth Space Chem. 2021, 5, 1–11. [Google Scholar] [CrossRef]
- Quarles, C.D., Jr.; Toms, A.D.; Smith, R., Jr.; Sullivan, P.; Bass, D.; Leone, J. Automated ICP-MS method to measure bromine, chlorine, and iodine species and total metals content in drinking water. Talanta Open. 2020, 1, 100002. [Google Scholar] [CrossRef]
- Kimmig, S.R.; Thompson, C.; Baum, S.; Brown, C.F. Evaluation of iodine speciation and 129 I/127 I ratios at low concentrations in environmental samples using IC-ICP-MS. J. Radioanal. Nucl. Chem. 2021, 327, 929–937. [Google Scholar] [CrossRef]
- Michalke, B.; Morton, J.; Göen, T.; Hartwig, A.; MAK Commission; Arand, M. Iod und anorganische Iodide–Bestimmung von Iodid in Serum/Plasma oder Urin mittels Ionenchromatographie ICP MS. MAK Collect. Occup. Health Saf. 2021, 6, 1. [Google Scholar]
- Alasadi, R.; Heidari, T.; Aboobakri, E. Synthesize of nitrogen doped carbon quantum dots by the hydrothermal method and its application for detection of iodide anion using paper based smart phone detection system. In Proceedings of the IOP Conference Series: Earth and Environmental Science, Babylon, Iraq, 15–16 December 2020; IOP Publishing: Bristol, UK, 2021; Volume 722, p. 012011. [Google Scholar]
- Li, G.B.; Zhang, Z.; Liao, L.S.; Pan, R.-K.; Liu, S.-G. Anions effect construction of 1D naphthalene diimide supramolecular chains by π interactions and fluorescence detect iodide anion. Spectrochim. Acta Part A Mol. Biomol. Spectrosc. 2021, 254, 119588. [Google Scholar] [CrossRef] [PubMed]
- Wei, W.; Fan, J.; Xia, Y.; Yin, X. Multi-mode fluorescence sensing detection based on one core-shell structure quantum dots via different types of mechanisms. Spectrochim. Acta Part A Mol. Biomol. Spectrosc. 2020, 241, 118630. [Google Scholar] [CrossRef] [PubMed]
- Zou, Z.; Chen, J.; Shi, Z.; Yuan, C.; Zhou, G.; Liu, Q.; Chen, H.; Zeng, Q.; Liang, T.; Tang, K.L.; et al. Cobalt phosphates loaded into iodine-spaced reduced graphene oxide nanolayers for electrochemical measurement of superoxide generated by cell. ACS Appl. Nano Mater. 2021, 4, 3631–3638. [Google Scholar] [CrossRef]
- Hao, X.; Dai, S.; Wang, J.; Fang, Z. Synthesis of blue fluorescent carbon dots and their application in detecting mercury and iodine based on “off–on” mode. Luminescence 2021, 36, 721–732. [Google Scholar] [CrossRef] [PubMed]
- Jiang, R.; Zhang, Y.; Zhang, Q.; Li, L.; Yang, L. Carbon dot/gold nanocluster-based fluorescent colorimetric paper strips for quantitative detection of iodide ions in urine. ACS Appl. Nano Mater. 2021, 4, 9760–9767. [Google Scholar] [CrossRef]
- Geng, T.M.; Zhang, C.; Hu, C.; Liu, M.; Fei, Y.-T.; Xia, H.-Y. Synthesis of 1, 6-disubstituted pyrene-based conjugated microporous polymers for reversible adsorption and fluorescence sensing of iodine. New J. Chem. 2020, 44, 2312–2320. [Google Scholar] [CrossRef]
- Fei, A.; Hao, X.; Wang, J.; Xu, W.; Dai, S.; Fang, Z. Study on the preparation of fluorescent carbon dots from Epipremnum aureum and its application in the ions detection and bioimaging. J. Mater. Sci. Mater. Electron. 2021, 32, 20570–20582. [Google Scholar] [CrossRef]
- Hao, X.L.; Pan, X.H.; Gao, Y.; Wang, Y.; Guo, J.; Teng, Y.-X. Facile synthesis of nitrogen-doped green-emission carbon dots as fluorescent off–on probes for the highly selective sensing mercury and iodine ions. J. Nanosci. Nanotechnol. 2020, 20, 2045–2054. [Google Scholar] [CrossRef]
- Docker, A.; Shang, X.; Yuan, D.; Kuhn, H.; Zhang, Z.; Davis, J.J.; Beer, P.D.; Langton, M.J. Halogen Bonding Tetraphenylethene Anion Receptors: Anion-Induced Emissive Aggregates and Photo switchable Recognition. Angew. Chem. Int. Ed. 2021, 60, 19442–19450. [Google Scholar] [CrossRef]
- Valdes-García, J.; Rosales-Vázquez, L.D.; Bazany-Rodríguez, I.J.; Dorazco-González, A. Recent advances in luminescent recognition and chemosensing of iodide in water. Chem. –Asian J. 2020, 15, 2925–2938. [Google Scholar] [CrossRef] [PubMed]
- Olugbemi, S.A.; Adebayo, L.O.; Adewuyi, S. A New Pyrrole-2-carboxaldehyde Functionalized Chitosan-Cu (II) Complex-based Chemosensor for Iodide Anion in Aqueous Media. Chem. Sci. Int. J. 2023, 32, 1–12. [Google Scholar] [CrossRef]
- Brown, A.; Beer, P.D. Halogen bonding anion recognition. Chem. Commun. 2016, 52, 8645–8658. [Google Scholar] [CrossRef] [PubMed]
- Robinson, S.W.; Mustoe, C.L.; White, N.G.; Brown, A.; Thompson, A.L.; Kennepohl, P.; Beer, P.D. Evidence for halogen bond covalency in acyclic and interlocked halogen-bonding receptor anion recognition. J. Am. Chem. Soc. 2015, 137, 499–507. [Google Scholar] [CrossRef] [PubMed]
- Kumar, S.; Saravana, R.; Kumar, S.; Ashok Kumar, S.K. An “Off-On-Off” type fluorescent chemosensor for the relay detection of Zn2+ and H2PO4− in aqueous environment. Inorg. Chim. Act. 2020, 502, 119348. [Google Scholar] [CrossRef]
- Tavallali, H.; Deilamy-Rad, G.; Moaddeli, A.; Asghari, K. A new pincer-type “naked-eye” colorimetric probe for Cu2+ determination in 80% water media and its application as a solid state sensor and an efficient antibacterial product. Sens. Actuators B Chem. 2017, 244, 1121–1128. [Google Scholar] [CrossRef]
- Zhang, Y.-M.; Lin, Q.; Wei, T.-B.; Wang, D.-D.; Yao, H.; Wang, Y.-L. Simple colorimetric sensors with high selectivity for acetate and chloride in aqueous solution. Sens. Actuators B Chem. 2009, 137, 447–455. [Google Scholar] [CrossRef]
- Wang, Y.; Hu, X.Y.; Wang, L.; Shang, Z.; Chao, J.; Jin, W. A new acridine derivative as a highly selective ‘off–on’fluorescence chemosensor for Cd2+ in aqueous media. Sens. Actuators B Chem. 2011, 156, 126–131. [Google Scholar] [CrossRef]
- Lee, H.N.; Na Kim, H.; Swamy, K.; Park, M.S.; Kim, J.; Lee, H.; Lee, K.-H.; Park, S.; Yoon, J. New acridine derivatives bearing immobilized azacrown or azathiacrown ligand as fluorescent chemosensors for Hg2+ and Cd2+. Tetrahedron Lett. 2008, 49, 1261–1265. [Google Scholar] [CrossRef]
- Kim, S.K.; Seo, D.; Han, S.J.; Son, G.; Lee, I.-J.; Lee, C.; Lee, K.D.; Yoon, J. A new imidazolium acridine derivative as fluorescent chemosensor for pyrophosphate and dihydrogen phosphate. Tetrahedron 2008, 64, 6402–6405. [Google Scholar] [CrossRef]
- Yang, Y.-K.; Tae, J. Acridinium salt based fluorescent and colorimetric chemosensor for the detection of cyanide in water. Org. Lett. 2006, 8, 5721–5723. [Google Scholar] [CrossRef] [PubMed]
- Martí-Centelles, V.; Isabel, M.; Galindo, F.; Izquierdo, M.A.; Kumar, D.K.; White, A.J.P.; Luis, S.V.; Vilar, R. Fluorescent acridine-based receptors for H2PO4−. J. Org. Chem. 2012, 77, 490–500. [Google Scholar] [CrossRef] [PubMed]
- Wu, J.S.; Zhou, J.H.; Wang, P.F.; Zhang, X.H.; Wu, S.K. New fluorescent chemosensor based on exciplex signaling mechanism. Org Lett. 2005, 7, 2133–2136. [Google Scholar] [CrossRef] [PubMed]
- Helal, A.; Thao, N.T.T.; Lee, S.W.; Kim, H.S. Thiazole-based chemosensor II: Synthesis and fluorescence sensing of fluoride ions based on inhibition of ESIPT. J. Incl. Phenom Macrocycl. Chem. 2010, 66, 87–94. [Google Scholar] [CrossRef]
- Hao, T.; de Oliveira, C.S.; Sonntag, G.; Gibb, C.L.D.; Gibb, B.C.; Bohne, C. Dynamics of a supramolecular capsule assembly with pyrene. J. Am. Chem. Soc. 2012, 134, 5544–5547. [Google Scholar]
- Kaur, N.; Dhaka, G.; Singh, J. Hg2+-induced deprotonation of an anthracene-based chemosensor: Set–reset flip-flop at the molecular level using Hg2+ and I− ions. New J. Chem. 2015, 39, 6125–6129. [Google Scholar] [CrossRef]
- Lin, Q.; Liu, L.; Liu, J.; Zheng, F.; Zhang, Y.-M.; Yao, H.; Wei, T.-B. An efficient iodide ion chemosensor and a rewritable dual-channel security display material based on an ion responsive supramolecular gel. Rsc. Adv. 2017, 7, 38210–38215. [Google Scholar] [CrossRef]
- Huang, X.; Lu, Z.; Wang, Z.; Fan, C.; Fan, W.; Shi, X.; Zhang, H.; Pei, M. A colorimetric and turn-on fluorescent chemosensor for selectively sensing Hg2+ and its resultant complex for fast detection of I− over S2−. Dye. Pigment. 2016, 128, 33–40. [Google Scholar] [CrossRef]
- Velazquez-Campoy, A.; Claro, B.; Abian, O.; Höring, J.; Bourlon, L.; Claveria-Gimeno, R.; Ennifar, E.; England, P.; Chaires, J.B.; Wu, D.; et al. A multi-laboratory benchmark study of isothermal titration calorimetry (ITC) using Ca2+ and Mg2+ binding to EDTA. Eur. Biophys. J. 2021, 50, 429–451. [Google Scholar] [CrossRef]
- Gontier, A.; Varela, P.F.; Nemoz, C.; Ropars, V.; Aumont-Nicaise, M.; Desmadril, M.; Charbonnier, J.-B. Measurements of protein–DNA complexes interactions by isothermal titration calorimetry (ITC) and microscale thermophoresis (MST). Methods Mol. Biol. 2021, 2247, 125–143. [Google Scholar] [PubMed]
- Guo, Z.H.; Chye, M.L. Humana, Investigations of lipid binding to acyl-CoA-binding proteins (ACBP) using isothermal titration calorimetry (ITC). Methods Mol. Biol. 2021, 2295, 401–415. [Google Scholar] [PubMed]
- Wang, Y.; Wang, G.; Moitessier, N.; Mittermaier, A.K. Enzyme kinetics by isothermal titration calorimetry: Allostery, inhibition, and dynamics. Front. Mol. Biosci. 2020, 7, 583826. [Google Scholar] [CrossRef] [PubMed]
- Freyer, M.W.; Lewis, E.A. Isothermal titration calorimetry: Experimental design, data analysis, and probing macromolecule/ligand binding and kinetic interactions. Methods Cell Biol. 2008, 84, 79–113. [Google Scholar]








| Probe | ![]() | ![]() |
|---|---|---|
| Solvent system | THF/H2O (v/v, 9/1) | Acetonitrile |
| Ion detection | I− | I− |
| The linear range | 1.0 × 10−6~2.0 × 10−4 | 1 × 10−5~1.0 × 10−4 |
| The lowest detection limit | 0.92 × 10−8 mol·L−1 | 3.88 × 10−8 mol·L−1 |
| Color change | Light yellow | No |
| Ks/mol·L−1 | 2.13 × 105 | 1.02 × 105 |
| Switch effect | Yes | No |
| Testing water samples | Yes | No |
| Water Samples | Iodine Content of the Theoretical Value (10−5mol L−1) | Iodine Content Measured Value (10−5mol L−1) | Recovery (%) |
|---|---|---|---|
| Deionized water | 5.00 | 4.84 | 96.2 |
| 4.76 | 95.2 | ||
| Lake water | 5.00 | 4.65 | 93.0 |
| 4.78 | 95.6 | ||
| Pond water | 5.00 | 4.58 | 91.6 |
| 4.66 | 93.2 |
Disclaimer/Publisher’s Note: The statements, opinions and data contained in all publications are solely those of the individual author(s) and contributor(s) and not of MDPI and/or the editor(s). MDPI and/or the editor(s) disclaim responsibility for any injury to people or property resulting from any ideas, methods, instructions or products referred to in the content. |
© 2024 by the authors. Licensee MDPI, Basel, Switzerland. This article is an open access article distributed under the terms and conditions of the Creative Commons Attribution (CC BY) license (https://creativecommons.org/licenses/by/4.0/).
Share and Cite
Yu, M.; Jiang, L.; Mou, L.; Zeng, X.; Wang, R.; Peng, T.; Wu, F.; Shi, T. A “Pincer” Type of Acridine–Triazole Fluorescent Dye for Iodine Detection by Both ‘Naked-Eye’ Colorimetric and Fluorometric Modes. Molecules 2024, 29, 1355. https://doi.org/10.3390/molecules29061355
Yu M, Jiang L, Mou L, Zeng X, Wang R, Peng T, Wu F, Shi T. A “Pincer” Type of Acridine–Triazole Fluorescent Dye for Iodine Detection by Both ‘Naked-Eye’ Colorimetric and Fluorometric Modes. Molecules. 2024; 29(6):1355. https://doi.org/10.3390/molecules29061355
Chicago/Turabian StyleYu, Mei, Lu Jiang, Lan Mou, Xi Zeng, Ruixiao Wang, Tao Peng, Fuyong Wu, and Tianzhu Shi. 2024. "A “Pincer” Type of Acridine–Triazole Fluorescent Dye for Iodine Detection by Both ‘Naked-Eye’ Colorimetric and Fluorometric Modes" Molecules 29, no. 6: 1355. https://doi.org/10.3390/molecules29061355
APA StyleYu, M., Jiang, L., Mou, L., Zeng, X., Wang, R., Peng, T., Wu, F., & Shi, T. (2024). A “Pincer” Type of Acridine–Triazole Fluorescent Dye for Iodine Detection by Both ‘Naked-Eye’ Colorimetric and Fluorometric Modes. Molecules, 29(6), 1355. https://doi.org/10.3390/molecules29061355



