Attachment of Proteolytic Enzyme Inhibitors to Vascular Prosthesis—An Analysis of Binding and Antimicrobial Properties
Abstract
1. Introduction
2. Results and Discussion
2.1. ATR-FTIR Analysis of Biomolecular Mechanisms of Inhibitor Binding to Proteolytic Enzyme
2.2. ATR-FTIR Analysis of Structural Changes after Immobilization of Tested Inhibitors on ePTFE Prosthesis
2.3. ATR-FTIR Analysis of Structural Changes after Immobilization of Tested Inhibitors on HEM Prosthesis
2.4. CLSM Analysis of PUR and AEFBS Antimicrobial Activity (Live/Dead Analysis)
2.5. Analysis of S. aureus Growth Inhibition in Suspension Cultures
3. Materials and Methods
3.1. Enzymes and Inhibitors
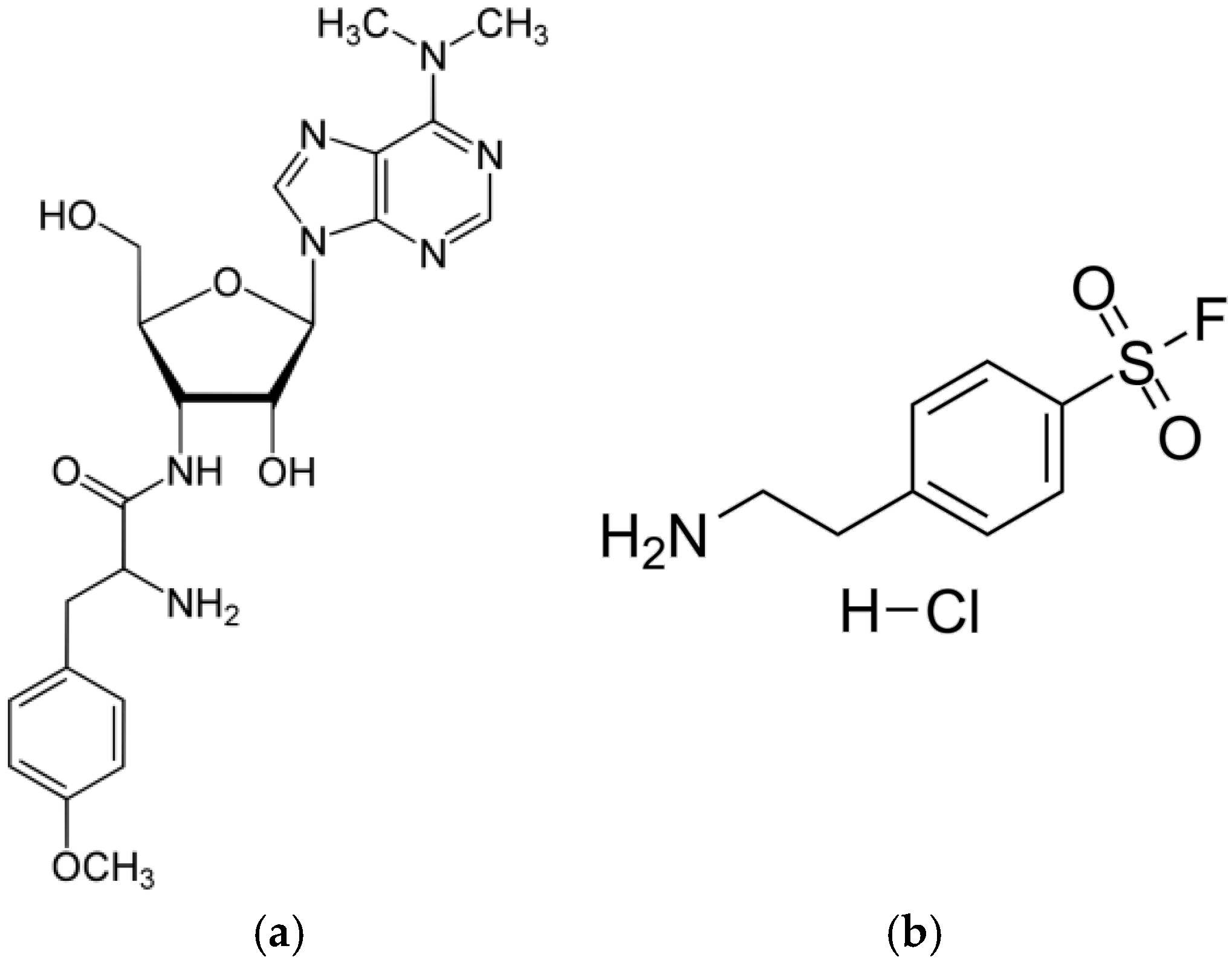
- Puromycin (PUR)—a natural aminonucleoside antibiotic (Figure 9a) with a molecular weight of 544.4 Da isolated from Streptomyces alboniger [41]. PUR inhibits protein synthesis by the induction of premature chain termination by acting as an analog of the 3′-terminal ends of aminoacyl-tRNA. Additionally, PUR is a reversible inhibitor of dipeptidyl-peptidase II (serine peptidase) and cytosol alanyl aminopeptidase (metallopeptidase). PUR is active against Gram-positive bacteria, less active against acid-fast bacilli, and more weakly active against Gram-negative microorganisms [42].
- Trypsin (TRYP)—a model serine protease cleaving peptides on the C-terminal side of lysine and arginine residues. TRYP is produced in pancreatic acinar cells in an inactive form (known as trypsinogen) and is activated only in the lumen of the small intestine to digest proteins [44].
3.2. Biomaterials Used for Immobilization
3.3. Analysis of Enzyme–Inhibitor Interactions Using ATR-FTIR Spectroscopy
3.4. Covalent Immobilization of Protease Inhibitors on Vascular Prosthesis
3.5. Analysis of Biomaterial Surface Structure Using ATR-FTIR Spectroscopy
3.6. Biofilm Formation on GLA-Activated HEM Prostheses
3.7. Confocal Laser Scanning Microscopy Analysis (CLSM)
3.8. Analysis of S. aureus Growth Inhibition in Suspension Cultures
4. Conclusions
Author Contributions
Funding
Institutional Review Board Statement
Informed Consent Statement
Data Availability Statement
Conflicts of Interest
Abbreviations
References
- Barua, E.; Deoghare, A.B.; Deb, P.; Lala, S.D. Naturally derived biomaterials for development of composite bone scaffold: A review. Mater. Sci. Eng. 2018, 377, 012013. [Google Scholar] [CrossRef]
- Hasirci, V.; Hasirci, N. Fundamentals of Biomaterials; Springer: Berlin/Heidelberg, Germany, 2018. [Google Scholar]
- Li, G.; Lai, Z.; Shan, A. Advances of antimicrobial peptide-based biomaterials for the treatment of bacterial infections. Adv. Sci. 2023, 10, e2206602. [Google Scholar] [CrossRef]
- Arciola, C.R.; Campoccia, D.; Speziale, P.; Montanaro, L.; Costerton, J.W. Biofilm formation in Staphylococcus implant infections. A review of molecular mechanisms and implications for biofilm-resistant materials. Biomaterials 2012, 33, 5967–5982. [Google Scholar] [CrossRef] [PubMed]
- Fu, C.; Zhang, X.; Savino, K.; Gabrys, P.; Gao, Y.; Chaimayo, W.; Miller, B.L.; Yates, M.Z. Antimicrobial silver-hydroxyapatite composite coatings through two-stage electrochemical synthesis. Surf. Coat. Technol. 2016, 301, 13–19. [Google Scholar] [CrossRef]
- Hennessey, H.; Luckham, E.; Kayssi, A.; Wheatcroft, M.D.; Greco, E.; Al-Omran, M.; Harlock, J.; Qadura, M. Optimization of rifampin coating on covered Dacron endovascular stent grafts for infected aortic aneurysms. J. Vasc. Surg. 2019, 69, 242–248. [Google Scholar] [CrossRef] [PubMed]
- Zawrotniak, M.; Bochenska, O.; Karkowska-Kuleta, J.; Seweryn-Ozog, K.; Aoki, W.; Ueda, M.; Kozik, A.; Rapala-Kozik, M. Aspartic proteases and major cell wall components in Candida albicans trigger the release of neutrophil extracellular traps. Front. Cell. Infect. Microbiol. 2017, 7, 414. [Google Scholar] [CrossRef] [PubMed]
- Backert, S.; Bernegger, S.; Skórko-Glonek, J.; Wessler, S. Extracellular HtrA serine proteases: An emerging new strategy in bacterial pathogenesis. Cell. Microbiol. 2018, 20, e12845. [Google Scholar] [CrossRef] [PubMed]
- Murphy, J.; Ramezanpour, M.; Stach, N.; Dubin, G.; Psaltis, A.J.; Wormald, P.J.; Vreugde, S. Staphylococcus aureus V8 protease disrupts the integrity of the airway epithelial barrier and impairs IL-6 production in vitro. Laryngoscope 2018, 128, 8–15. [Google Scholar] [CrossRef] [PubMed]
- Burchacka, E.; Pięta, P.; Łupicka-Słowik, A. Recent advances in fungal serine protease inhibitors. Biomed. Pharmacother. 2022, 146, 112523. [Google Scholar] [CrossRef]
- Szałapata, K.; Osińska-Jaroszuk, M.; Kapral-Piotrowska, J.; Pawlikowska-Pawlęga, B.; Łopucki, R.; Mroczka, R.; Jarosz-Wilkołazka, A. Serine protease inhibitors—New molecules for modification of polymeric biomaterials. Biomolecules 2020, 10, 82. [Google Scholar] [CrossRef]
- Gerbino, E.; Mobili, P.; Tymczyszyn, E.; Fausto, R.; Gómez-Zavaglia, A. FTIR spectroscopy structural analysis of the interaction between S-layers and metal ions. J. Mol. Struct. 2011, 987, 186–192. [Google Scholar] [CrossRef]
- Jaiswal, P.; Jha, S.N.; Borah, A.; Gautam, A.; Grewal, M.K.; Jindal, G. Detection and quantification of soymilk in cow-buffalo milk using Attenuated Total Reflectance Fourier Transform Infrared spectroscopy (ATR-FTIR). Food Chem. 2015, 168, 41–47. [Google Scholar] [CrossRef] [PubMed]
- Hebia, C.; Bekale, L.; Chanphai, P.; Agbebavi, J.; Tajmir-Riahi, H.A. Trypsin inhibitor complexes with human and bovine serum albumins: TEM and spectroscopic analysis. J. Photochem. Photobiol. B Biol. 2014, 130, 254–259. [Google Scholar] [CrossRef] [PubMed]
- Johansson, K.C.; Söderhäll, K.; Lind, M.I. Pefabloc—A sulfonyl fluoride serine protease inhibitor blocks induction of Diptericin in Drosophila l(2)mbn cells. Insect Sci. 2012, 19, 472–476. [Google Scholar] [CrossRef]
- Guo, C.; Guo, X.; Chu, W.; Jiang, N.; Li, H. FTIR-ATR study for adsorption of trypsin in aqueous environment on bare and TiO2 coated ZnSe surfaces. Chin. Chem. Lett. 2020, 31, 150–154. [Google Scholar] [CrossRef]
- Glorieux, S.; Favoreel, H.W.; Steukers, L.; Vandekerckhove, A.P.; Nauwynck, H.J. A trypsin-like serine protease is involved in pseudorabies virus invasion through the basement membrane barrier of porcine nasal respiratory mucosa. Vet. Res. 2011, 42, 58. [Google Scholar] [CrossRef] [PubMed]
- Mihály, J.; Sterkel, S.; Ortner, H.M.; Kocsis, L.; Hajba, L.; Furdyga, É.; Mink, J. FTIR and FT-Raman spectroscopic study on polymer based high pressure digestion vessels. Croat. Chem. Acta 2006, 79, 497–501. [Google Scholar]
- Chandy, T.; Das, G.S.; Wilson, R.F.; Rao, G.H. Use of plasma glow for surface-engineering biomolecules to enhance bloodcompatibility of Dacron and PTFE vascular prosthesis. Biomaterials 2000, 21, 699–712. [Google Scholar] [CrossRef]
- Socrates, G. Infrared and Raman Characteristic Group Frequencies: Tables and Charts; John Wiley & Sons: Chichester, UK, 2004. [Google Scholar]
- Piwowarczyk, J.; Jędrzejewski, R.; Moszyński, D.; Kwiatkowski, K.; Niemczyk, A.; Baranowska, J. XPS and FTIR studies of polytetrafluoroethylene thin films obtained by physical methods. Polymers 2019, 11, 1629. [Google Scholar] [CrossRef]
- Lech, A.; Butruk-Raszeja, B.A.; Ciach, T.; Lawniczak-Jablonska, K.; Kuzmiuk, P.; Bartnik, A.; Wachulak, P.; Fiedorowicz, H. Surface modification of PLLA, PTFE and PVDF with extreme ultraviolet (EUV) to enhance cell adhesion. Int. J. Mol. Sci. 2020, 21, 9679. [Google Scholar] [CrossRef]
- Reiter, T.; Panick, T.; Schuhladen, K.; Roether, J.A.; Hum, J.; Boccaccini, A.R. Bioactive glass based scaffolds coated with gelatin for the sustained release of icariin. Bioact. Mater. 2019, 4, 1–7. [Google Scholar] [CrossRef] [PubMed]
- Karaszewska, A.; Bucheńska, J. Polyester vascular prostheses—Antibacterial and athrombogenic biomaterials. Part II. Effect of two-stage modification of polyester vascular prostheses on the selected physicochemical, mechanical and microbiological properties. Polimery 2013, 58, 33–38. [Google Scholar] [CrossRef]
- Sendrea, C.; Carsote, C.; Badea, E.; Adams, A.; Niculescu, M.; Iovu, H. Non-invasive characterisation of collagen-based materials by NMR-mouse and ATR-FTIR. UPB Sci. Bull. 2016, 78, 27–38. [Google Scholar]
- Mazumder, M.A.J.; Sheardown, H.; Al-Ahmed, A. Functional Polymers, 1st ed.; Springer: Cham, Switzerland, 2019. [Google Scholar]
- Walker, J.N.; Horswill, A.R. A coverslip-based technique for evaluating Staphylococcus aureus biofilm formation on human plasma. Front. Cell. Infect. Microbiol. 2012, 2, 39. [Google Scholar] [CrossRef]
- Shanks, R.M.; Donegan, N.P.; Graber, M.L.; Buckingham, S.E.; Zegans, M.E.; Cheung, A.L.; O’Toole, G.A. Heparin stimulates Staphylococcus aureus biofilm formation. Infect. Immun. 2005, 73, 4596–4606. [Google Scholar] [CrossRef] [PubMed]
- Yi, J.; Xiao, S.; Yin, M.; Su, M.; Gao, C.; Tang, R. The self-adaptive nanosystem for implant-related infections theranostics via phase-change driven anti-biofilm and the enhancement of immune memory. Adv. Funct. Mater. 2023, 33, 2302322. [Google Scholar] [CrossRef]
- Ciacotich, N.; Kragh, K.N.; Lichtenberg, M.; Tesdorpf, J.E.; Bjarnsholt, T.; Gram, L. In situ monitoring of the antibacterial activity of a copper–silver alloy using confocal laser scanning microscopy and pH microsensors. Glob. Chall. 2019, 3, 1900044. [Google Scholar] [CrossRef]
- Zhang, H.; Guo, X.; Tian, L.; Wang, N.; Li, Y.; Kushmaro, A.; Marks, R.; Sun, Q. Antibiofilm activity of 3,3′-diindolylmethane on Staphylococcus aureus and its disinfection on common food-contact surfaces. Food Sci. Hum. Wellness 2022, 11, 1222–1232. [Google Scholar] [CrossRef]
- Mootz, J.M.; Malone, C.L.; Shaw, L.N.; Horswill, A.R. Staphopains modulate Staphylococcus aureus biofilm integrity. Infect. Immun. 2013, 81, 3227–3238. [Google Scholar] [CrossRef]
- Anjum, A.; Chung, P.-Y.; Ng, S.-F. PLGA/xylitol nanoparticles enhance antibiofilm activity via penetration into biofilm extracellular polymeric substances. RSC Adv. 2019, 9, 14198–14208. [Google Scholar] [CrossRef]
- Lee, J.-H.; Kim, Y.-G.; Lee, J. Inhibition of Staphylococcus aureus biofilm formation and virulence factor production by petroselinic acid and other unsaturated C18 fatty acids. Microbiol. Spectr. 2022, 10, e01330-22. [Google Scholar] [CrossRef]
- Pant, N.; Miranda-Hernandez, S.; Rush, C.; Warner, J.; Eisen, D.P. Effect of savirin in the prevention of biofilm-related Staphylococcus aureus prosthetic joint infection. Front. Pharmacol. 2022, 13, 989417. [Google Scholar] [CrossRef] [PubMed]
- Ferreira, F.A.; Souza, R.R.; Bonelli, R.R.; Américo, M.A.; Fracalanzza, S.E.L.; Figueiredo, A.M.S. Comparison of in vitro and in vivo systems to study ica-independent Staphylococcus aureus biofilms. J. Microbiol. Methods 2012, 88, 393–398. [Google Scholar] [CrossRef]
- Kleine, D.; Chodorski, J.; Mitra, S.; Schlegel, C.; Huttenlochner, K.; Müller-Renno, C.; Mukherjee, J.; Ziegler, C.; Ulber, R. Monitoring of biofilms grown on differentially structured metallic surfaces using confocal laser scanning microscopy. Eng. Life Sci. 2019, 19, 513–521. [Google Scholar] [CrossRef] [PubMed]
- Reichhardt, C.; Parsek, M.R. Confocal laser scanning microscopy for analysis of Pseudomonas aeruginosa biofilm architecture and matrix localization. Front. Microbiol. 2019, 10, 677. [Google Scholar] [CrossRef]
- Liu, J.; Madec, J.-Y.; Bousquet-Mélou, A.; Haenni, M.; Ferran, A.A. Destruction of Staphylococcus aureus biofilms by combining an antibiotic with subtilisin A or calcium gluconate. Sci. Rep. 2021, 11, 6225. [Google Scholar] [CrossRef] [PubMed]
- Gu, Y.-Q.; Li, T.-T.; Li, H.-Q. Biofilm formation monitored by confocal laser scanning microscopy during startup of MBBR operated under different intermittent aeration modes. Process Biochem. 2018, 74, 132–140. [Google Scholar] [CrossRef]
- Aviner, R. The science of puromycin: From studies of ribosome function to applications in biotechnology. Comput. Struct. Biotechnol. J. 2020, 18, 1074–1083. [Google Scholar] [CrossRef]
- Lawana, V.; Korrapati, M.; Mehendale, H.; Wexler, P. Encyclopedia of Toxicology, 3rd ed.; Academic Press: London, UK, 2014. [Google Scholar]
- Rose, N.L.; Palcic, M.M.; Helms, L.M.; Lakey, J.R. Evaluation of Pefabloc as a serine protease inhibitor during human-islet isolation. Transplantation 2003, 75, 462–466. [Google Scholar] [CrossRef]
- Liu, K.; Liu, J.; Zou, B.; Li, C.; Zeh, H.J.; Kang, R.; Kroemer, G.; Huang, J.; Tang, D. Trypsin-mediated sensitization to ferroptosis increases the severity of pancreatitis in mice. Cell. Mol. Gastroenterol. Hepatol. 2022, 13, 483–500. [Google Scholar] [CrossRef]
- Dobrzelecka, A.; Mazurkiewicz, A. Przegląd materiałów stosowanych do produkcji sztucznych ścięgien i więzadeł (The overview of materials used for artificial tendons and ligaments production). Aktual. Probl. Biomech. 2015, 9, 35–40. [Google Scholar]









| Band [cm−1] | Origin | Characteristic |
|---|---|---|
| 1637; 1636 | amide I group C=O (70–85%) C-N (10–20%) (β-helix) | protein region |
| 1543; 1538; 1539 | amide II group N-H bond bend. C-N bond str. | protein region |
| 1656 | aromatic ring vibrations | from PUR |
| 1599 | -C=C group str. | from AEBSF |
| Band [cm−1] | Origin | Characteristic |
|---|---|---|
| 2959; 2956; 2954 | -CH group str. | polyethylene level |
| 2921; 2914 | -CH2 group sym. | polytetrafluoroethylene region |
| 2850; 2846 | -CH2CH3 group str. | polytetrafluoroethylene region |
| 1654; 1658 1627; 1624; 1622; 1629 | amide I group C=O bond str. (70–85%) C-N bond bend. (10–20%) N-H bond bend. (α-helix and β-helix) | protein (gelatin) region |
| 1546; 1549; 1539 | amide II group N-H bond bend. C-N bond str. | protein (gelatin) region |
| 1447; 1454; 1450; 1451 | -CH2 | polytetrafluoroethylene region |
| 1403; 1397 | -CH3 | carboxylate portion of polyethylene |
| 1234; 1230; 1228 | -CF2 group str. | polytetrafluoroethylene region |
| 1200; 1201; 1198 | -CF2 group asym. str. | polytetrafluoroethylene region |
| 1145; 1153; 1157 | -CF2 group sym. str. | polytetrafluoroethylene region |
| 1029 | -C-O and C-C str. | carbohydrate structure of gelatin |
| Band [cm−1] | Origin | Characteristic |
|---|---|---|
| 2960; 2961; 2958 | -CH group str. | from methylene group |
| 2921; 2915; 2922 | -CH2 group sym. | from polyester |
| 2849; 2852 | -CH2 group str. | from polyester |
| 1709 | -C=O group sym. | carbonyl group from polyester |
| 1627; 1632; 1656; 1663 | amide I group C=O bond str. (70–85%) N-H bond bend. (β-helix) | protein (gelatin) region |
| 1549; 1552 | amide II group N-H bond bend. C-N bond str. | protein (gelatin) region |
| 1452; 1448 | -CH group def. | from polyester |
| 1404; 1405; 1406; 1408 | -OH group | carboxylate portion of polyester fiber |
| 1238; 1201; 1198; 1170; 1165; 1161; 1163; 1082; 1079 | -CO group | carbonyl group in polyester chains |
| Sample Type | Average Number of Bacteria [CFU/mL] |
|---|---|
| Control growth | 1.82 × 109 |
| HEM | 1.93 × 109 |
| HEM + GLA | 1.77 × 109 |
| HEM + AEBSF 0.2 mg/mL | 1.82 × 109 |
| HEM + AEBSF 0.6 mg/mL | 1.76 × 109 |
| HEM + AEBSF 1.0 mg/mL | 1.72 × 109 |
| AEBSF 0.2 mg/mL | 1.77 × 109 |
| AEBSF 0.6 mg/mL | 1.65 × 109 |
| AEBSF 1.0 mg/mL | 1.60 × 109 |
| HEM + PUR 0.02 mg/mL | 1.79 × 109 |
| HEM + PUR 0.04 mg/mL | 1.60 × 109 |
| HEM + PUR 0.06 mg/mL | 1.71 × 109 |
| PUR 0.02 mg/mL | 1.74 × 109 |
| PUR 0.04 mg/mL | 1.75 × 109 |
| PUR 0.06 mg/mL | 1.63 × 109 |
Disclaimer/Publisher’s Note: The statements, opinions and data contained in all publications are solely those of the individual author(s) and contributor(s) and not of MDPI and/or the editor(s). MDPI and/or the editor(s) disclaim responsibility for any injury to people or property resulting from any ideas, methods, instructions or products referred to in the content. |
© 2024 by the authors. Licensee MDPI, Basel, Switzerland. This article is an open access article distributed under the terms and conditions of the Creative Commons Attribution (CC BY) license (https://creativecommons.org/licenses/by/4.0/).
Share and Cite
Mordzińska-Rak, A.; Szałapata, K.; Wydrych, J.; Gagoś, M.; Jarosz-Wilkołazka, A. Attachment of Proteolytic Enzyme Inhibitors to Vascular Prosthesis—An Analysis of Binding and Antimicrobial Properties. Molecules 2024, 29, 935. https://doi.org/10.3390/molecules29050935
Mordzińska-Rak A, Szałapata K, Wydrych J, Gagoś M, Jarosz-Wilkołazka A. Attachment of Proteolytic Enzyme Inhibitors to Vascular Prosthesis—An Analysis of Binding and Antimicrobial Properties. Molecules. 2024; 29(5):935. https://doi.org/10.3390/molecules29050935
Chicago/Turabian StyleMordzińska-Rak, Aleksandra, Katarzyna Szałapata, Jerzy Wydrych, Mariusz Gagoś, and Anna Jarosz-Wilkołazka. 2024. "Attachment of Proteolytic Enzyme Inhibitors to Vascular Prosthesis—An Analysis of Binding and Antimicrobial Properties" Molecules 29, no. 5: 935. https://doi.org/10.3390/molecules29050935
APA StyleMordzińska-Rak, A., Szałapata, K., Wydrych, J., Gagoś, M., & Jarosz-Wilkołazka, A. (2024). Attachment of Proteolytic Enzyme Inhibitors to Vascular Prosthesis—An Analysis of Binding and Antimicrobial Properties. Molecules, 29(5), 935. https://doi.org/10.3390/molecules29050935

