Surface Basicity and Hydrophilic Character of Coal Ash-Derived Zeolite NaP1 Modified by Fatty Acids
Abstract
1. Introduction
2. Results and Discussion
2.1. Effect of Zeolite Modification
2.2. Textural Property Changes upon Zeolite Modification
2.3. Basicity Improvement upon Amine Insertion
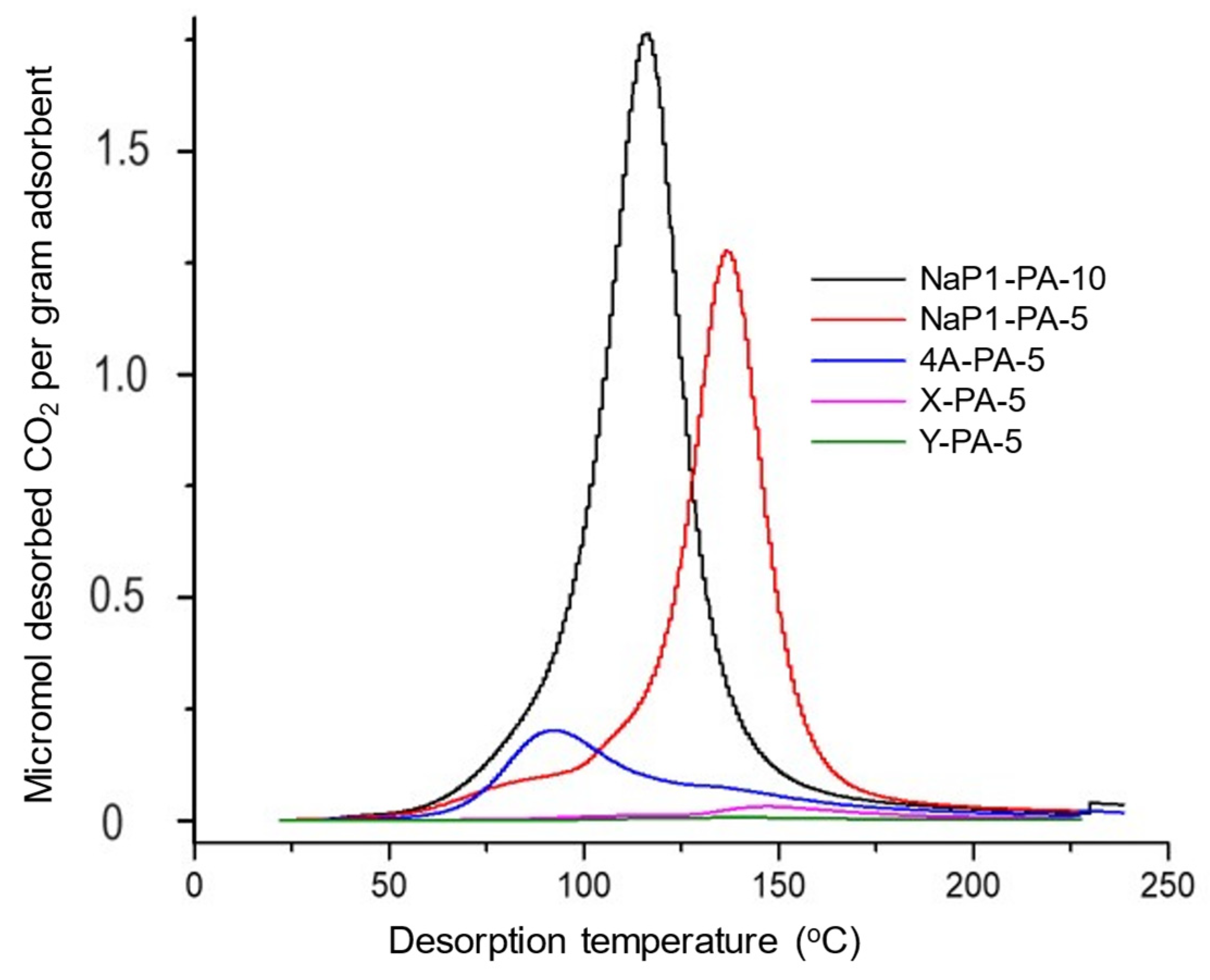
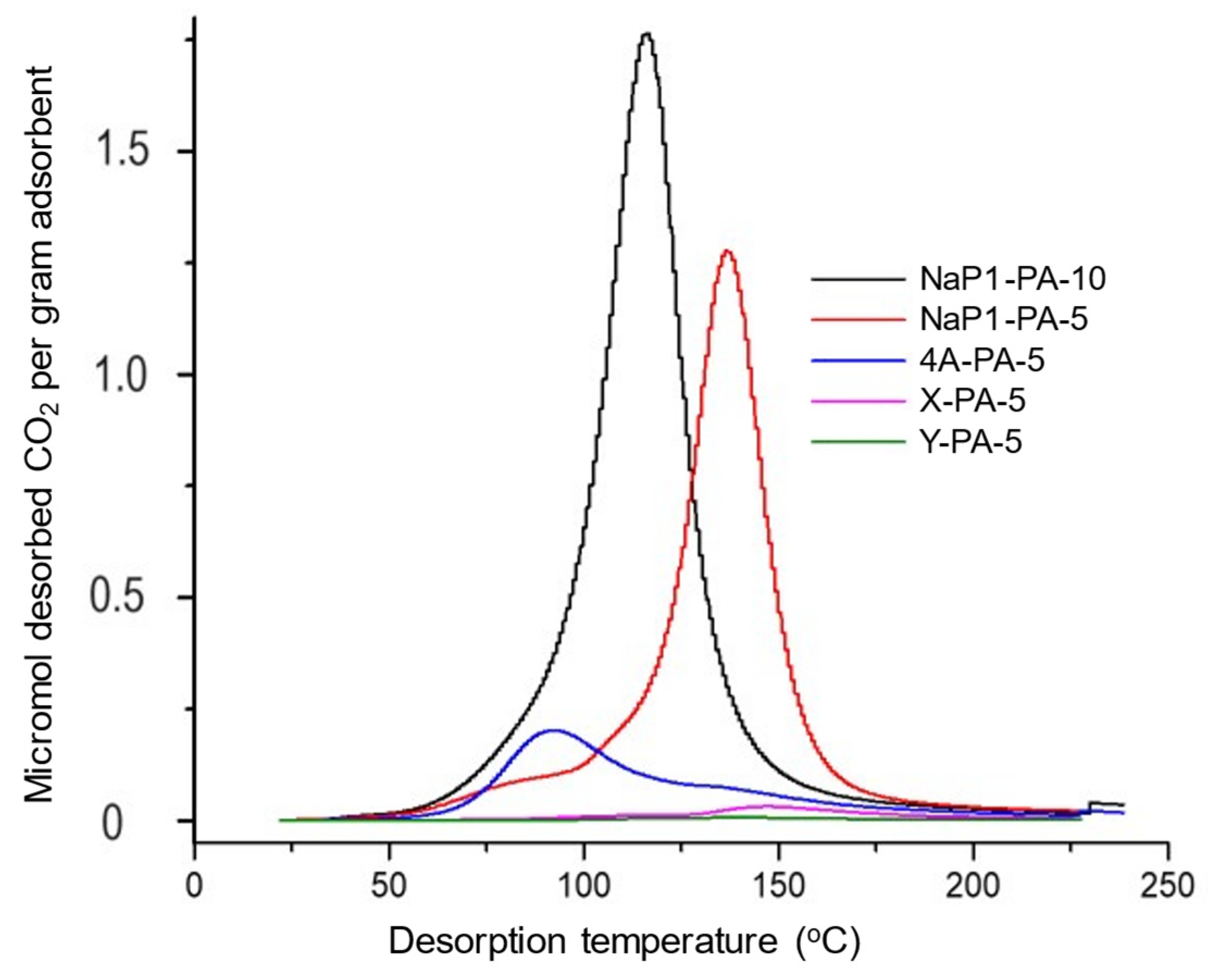
2.4. Effect of Fatty Acid Incorporation
2.5. Effect of Fatty Acid Content
2.6. Effect of Amine–FA Combination
2.7. Hydrophilic Character
3. Materials and Methods
3.1. Zeolite Synthesis and Modification
3.2. Characterization
3.3. Thermal Programmed Desorption (TPD) Measurements
4. Conclusions
Supplementary Materials
Author Contributions
Funding
Institutional Review Board Statement
Informed Consent Statement
Data Availability Statement
Acknowledgments
Conflicts of Interest
References
- Mafra, L.; Čendak, T.; Schneider, S.; Wiper, P.V.; Pires, J.; Gomes, J.R.B.; Pinto, M.L. Amine functionalized porous silica for CO2/CH4 separation by adsorption: Which amine and why. Chem. Eng. J. 2018, 336, 612–621. [Google Scholar] [CrossRef]
- Chen, Q.; Zhao, Y.; Qiu, Q.; Long, L.; Liu, X.; Lin, S.; Jiang, X. Zeolite NaP1 synthesized from municipal solid waste incineration fly ash for photocatalytic degradation of methylene blue. Environ. Res. 2023, 218, 114873. [Google Scholar] [CrossRef] [PubMed]
- Ren, X.; Qu, R.; Liu, S.; Zhao, H.; Wu, W.; Song, H.; Zheng, C.; Wu, X.; Gao, X. Synthesis of Zeolites from Coal Fly Ash for Removal of Harmful Gaseous Pollutants: A Review. Aerosol Air Qual. Res. 2020, 20, 1127–1144. [Google Scholar] [CrossRef]
- De Carvalho, L.S.; Silva, E.; Andrade, J.C.; Silva, J.A.; Urbina, M.; Nascimento, P.F.; Carvalho, F.; Ruiz, J.A. Low-cost mesoporous adsorbents amines-impregnated for CO2 capture. Adsorption 2015, 21, 597–609. [Google Scholar] [CrossRef]
- Querol, X.; Moreno, N.; Umaña, J.C.; Alastuey, A.; Hernández, E.; López-Soler, A.; Plana, F. Synthesis of zeolites from coal fly ash: An overview. Int. J. Coal Geol. 2002, 50, 413–423. [Google Scholar] [CrossRef]
- Cardoso, A.M.; Horn, M.B.; Ferret, L.S.; Azevedo, C.M.N.; Pires, M. Integrated synthesis of zeolites 4A and Na–P1 using coal fly ash for application in the formulation of detergents and swine wastewater treatment. J. Hazard. Mater. 2015, 287, 69–77. [Google Scholar] [CrossRef] [PubMed]
- Belviso, C. State-of-the-art applications of fly ash from coal and biomass: A focus on zeolite synthesis processes and issues. Prog. Energy Combust. Sci. 2018, 65, 109–135. [Google Scholar] [CrossRef]
- Murayama, N.; Yamamoto, H.; Shibata, J. Mechanism of zeolite synthesis from coal fly ash by alkali hydrothermal reaction. Int. J. Miner. Process. 2002, 64, 1–17. [Google Scholar] [CrossRef]
- Ünveren, E.E.; Monkul, B.Ö.; Sarıoğlan, Ş.; Karademir, N.; Alper, E. Solid amine sorbents for CO2 capture by chemical adsorption: A review. Petroleum 2017, 3, 37–50. [Google Scholar] [CrossRef]
- Yao, Z.T.; Ji, X.S.; Sarker, P.K.; Tang, J.H.; Ge, L.Q.; Xia, M.S.; Xi, Y.Q. A comprehensive review on the applications of coal fly ash. Earth-Sci. Rev. 2015, 141, 105–121. [Google Scholar] [CrossRef]
- Samerjit, J.; Kongparakul, S.; Reubroycharoen, P.; Guan, G.; Samart, C. Inorganic-organic hybrid material based on amine-functionalized zeolite Y: A study of catalytic activity in transesterification. Can. J. Chem. Eng. 2016, 94, 530–536. [Google Scholar] [CrossRef]
- Yıldız, M.G.; Davran-Candan, T.; Günay, M.E.; Yıldırım, R. CO2 capture over amine-functionalized MCM-41 and SBA-15: Exploratory analysis and decision tree classification of past data. J. CO2 Util. 2019, 31, 27–42. [Google Scholar] [CrossRef]
- Azzouz, A.; Roy, R. Innovative Strategy for Truly Reversible Capture of Polluting Gases—Application to Carbon Dioxide. Int. J. Mol. Sci. 2023, 24, 16463. [Google Scholar] [CrossRef] [PubMed]
- Jadhav, P.D.; Chatti, R.V.; Biniwale, R.B.; Labhsetwar, N.K.; Devotta, S.; Rayalu, S.S. Monoethanol Amine Modified Zeolite 13X for CO2 Adsorption at Different Temperatures. Energy Fuels 2007, 21, 3555–3559. [Google Scholar] [CrossRef]
- Santos, S.C.G.; Pedrosa, A.M.G.; Souza, M.J.B.; Cecilia, J.A.; Rodríguez-Castellón, E. Carbon dioxide adsorption on micro-mesoporous composite materials of ZSM-12/MCM-48 type: The role of the contents of zeolite and functionalized amine. Mater. Res. Bull. 2015, 70, 663–672. [Google Scholar] [CrossRef]
- Saha, A. Structure-function, recyclability and calorimetry studies of CO2 adsorption on some amine modified Type I & Type II sorbents. Int. J. Greenh. Gas Control 2018, 78, 198–209. [Google Scholar]
- Xu, X.; Zhao, X.; Sun, L.; Liu, X. Adsorption separation of carbon dioxide, methane and nitrogen on monoethanol amine modified β-zeolite. J. Nat. Gas Chem. 2009, 18, 167–172. [Google Scholar] [CrossRef]
- Vilarrasa-García, E.; Cecilia, J.A.; Bastos-Neto, M.; Cavalcante, C.L.; Azevedo, D.C.S.; Rodriguez-Castellón, E. CO2/CH4 adsorption separation process using pore expanded mesoporous silicas functionalizated by APTES grafting. Adsorption 2015, 21, 565–575. [Google Scholar] [CrossRef]
- Bollini, P.; Brunelli, N.A.; Didas, S.A.; Jones, C.W. Dynamics of CO2 Adsorption on Amine Adsorbents. 2. Insights Into Adsorbent Design. Ind. Eng. Chem. Res. 2012, 51, 15153–15162. [Google Scholar] [CrossRef]
- Nousir, S.; Sergentu, A.-S.; Shiao, T.C.; Roy, R.; Azzouz, A. Hybrid Clay Nanomaterials with Improved Affinity for Carbon Dioxide through Chemical Grafting of Amino Groups. Int. J. Environ. Pollut. Remediat. 2014, 2, 58–65. [Google Scholar] [CrossRef][Green Version]
- Zeleňák, V.; Skřínska, M.; Zukal, A.; Čejka, J. Carbon dioxide adsorption over amine modified silica: Effect of amine basicity and entropy factor on isosteric heats of adsorption. Chem. Eng. J. 2018, 348, 327–337. [Google Scholar] [CrossRef]
- Li, K.-M.; Jiang, J.-G.; Tian, S.-C.; Chen, X.-J.; Yan, F. Influence of Silica Types on Synthesis and Performance of Amine–Silica Hybrid Materials Used for CO2 Capture. J. Phys. Chem. C 2014, 118, 2454–2462. [Google Scholar] [CrossRef]
- Bezerra, D.P.; Silva, F.W.M.d.; Moura, P.A.S.d.; Sousa, A.G.S.; Vieira, R.S.; Rodriguez-Castellon, E.; Azevedo, D.C.S. CO2 adsorption in amine-grafted zeolite 13X. Appl. Surf. Sci. 2014, 314, 314–321. [Google Scholar] [CrossRef]
- Chatti, R.; Bansiwal, A.K.; Thote, J.A.; Kumar, V.; Jadhav, P.; Lokhande, S.K.; Biniwale, R.B.; Labhsetwar, N.K.; Rayalu, S.S. Amine loaded zeolites for carbon dioxide capture: Amine loading and adsorption studies. Microporous Mesoporous Mater. 2009, 121, 84–89. [Google Scholar] [CrossRef]
- Chakravartula Srivatsa, S.; Bhattacharya, S. Amine-based CO2 capture sorbents: A potential CO2 hydrogenation catalyst. J. CO2 Util. 2018, 26, 397–407. [Google Scholar] [CrossRef]
- Tabit, K.; Waqif, M.; Saâdi, L. Application of the Taguchi method to investigate the effects of experimental parameters in hydrothermal synthesis of Na-P1 zeolite from coal fly ash. Res. Chem. Intermed. 2019, 45, 4431–4447. [Google Scholar] [CrossRef]
- Cheng, Y.; Xu, L.; Liu, C. NaP1 zeolite synthesized via effective extraction of Si and Al from red mud for methylene blue adsorption. Adv. Powder Technol. 2021, 32, 3904–3914. [Google Scholar] [CrossRef]
- Sharma, P.; Song, J.-S.; Han, M.H.; Cho, C.-H. GIS-NaP1 zeolite microspheres as potential water adsorption material: Influence of initial silica concentration on adsorptive and physical/topological properties. Sci. Rep. 2016, 6, 22734. [Google Scholar] [CrossRef]
- Beltrao-Nunes, A.-P.; Sennour, R.; Arus, V.-A.; Anoma, S.; Pires, M.; Bouazizi, N.; Roy, R.; Azzouz, A. CO2 capture by coal ash-derived zeolites- roles of the intrinsic basicity and hydrophilic character. J. Alloys Compd. 2019, 778, 866–877. [Google Scholar] [CrossRef]
- Bień, T.; Kołodyńska, D.; Franus, W. Functionalization of Zeolite NaP1 for Simultaneous Acid Red 18 and Cu(II) Removal. Materials 2021, 14, 7817. [Google Scholar] [CrossRef]
- Kołodyńska, D.; Ju, Y.; Franus, M.; Franus, W. Zeolite NaP1 Functionalization for the Sorption of Metal Complexes with Biodegradable N-(1,2-dicarboxyethyl)-D,L-aspartic Acid. Materials 2021, 14, 2518. [Google Scholar] [CrossRef]
- Pham, T.-H.; Lee, B.-K.; Kim, J. Novel improvement of CO2 adsorption capacity and selectivity by ethylenediamine-modified nano zeolite. J. Taiwan Inst. Chem. Eng. 2016, 66, 239–248. [Google Scholar] [CrossRef]
- Chen, C.; Kim, J.; Ahn, W.-S. CO2 capture by amine-functionalized nanoporous materials: A review. Korean J. Chem. Eng. 2014, 31, 1919–1934. [Google Scholar] [CrossRef]
- Tumuluri, U.; Isenberg, M.; Tan, C.-S.; Chuang, S.S.C. In Situ Infrared Study of the Effect of Amine Density on the Nature of Adsorbed CO2 on Amine-Functionalized Solid Sorbents. Langmuir 2014, 30, 7405–7413. [Google Scholar] [CrossRef] [PubMed]
- Srikanth, C.S.; Chuang, S.S.C. Infrared Study of Strongly and Weakly Adsorbed CO2 on Fresh and Oxidatively Degraded Amine Sorbents. J. Phys. Chem. C 2013, 117, 9196–9205. [Google Scholar] [CrossRef]
- Azzouz, A.; Aruş, V.-A.; Platon, N.; Ghomari, K.; Nistor, I.-D.; Shiao, T.C.; Roy, R. Polyol-modified layered double hydroxides with attenuated basicity for a truly reversible capture of CO2. Adsorption 2013, 19, 909–918. [Google Scholar] [CrossRef]
- Azzouz, A.; Assaad, E.; Ursu, A.-V.; Sajin, T.; Nistor, D.; Roy, R. Carbon dioxide retention over montmorillonite–dendrimer materials. Appl. Clay Sci. 2010, 48, 133–137. [Google Scholar] [CrossRef]
- Azzouz, A.; Nousir, S.; Bouazizi, N.; Roy, R. Metal-inorganic-organic matrices as efficient sorbents for hydrogen storage. ChemSusChem 2015, 8, 800–803. [Google Scholar] [CrossRef] [PubMed]
- Azzouz, A.; Nousir, S.; Platon, N.; Ghomari, K.; Hersant, G.; Bergeron, J.-Y.; Shiao, T.C.; Rej, R.; Roy, R. Preparation and characterization of hydrophilic organo-montmorillonites through incorporation of non-ionic polyglycerol dendrimers derived from soybean oil. Mater. Res. Bull. 2013, 48, 3466–3473. [Google Scholar] [CrossRef]
- Azzouz, A.; Nousir, S.; Platon, N.; Ghomari, K.; Shiao, T.C.; Hersant, G.; Bergeron, J.-Y.; Roy, R. Truly reversible capture of CO2 by montmorillonite intercalated with soya oil-derived polyglycerols. Int. J. Greenh. Gas Control 2013, 17, 140–147. [Google Scholar] [CrossRef]
- Azzouz, A.; Platon, N.; Nousir, S.; Ghomari, K.; Nistor, D.; Shiao, T.C.; Roy, R. OH-enriched organo-montmorillonites for potential applications in carbon dioxide separation and concentration. Sep. Purif. Technol. 2013, 108, 181–188. [Google Scholar] [CrossRef]
- Ilgen, O.; Dulger, H.S. Removal of oleic acid from sunflower oil on zeolite 13X: Kinetics, equilibrium and thermodynamic studies. Ind. Crops Prod. 2016, 81, 66–71. [Google Scholar] [CrossRef]
- Lee, D.-W.; Lee, K.-Y. Heterogeneous Solid Acid Catalysts for Esterification of Free Fatty Acids. Catal. Surv. Asia 2014, 18, 55–74. [Google Scholar] [CrossRef]
- Isernia, L.F. Study of the influence of physical–chemical properties of steamed H-MOR zeolites in the mechanism of adsorption of fatty acids and their esterification. Microporous Mesoporous Mater. 2014, 200, 19–26. [Google Scholar] [CrossRef]
- Da Silva, A.H.; Miranda, E.A. Adsorption/Desorption of Organic Acids onto Different Adsorbents for Their Recovery from Fermentation Broths. J. Chem. Eng. Data 2013, 58, 1454–1463. [Google Scholar] [CrossRef]
- Freitas, A.F.; Mendes, M.F.; Coelho, G.L.V. Thermodynamic study of fatty acids adsorption on different adsorbents. J. Chem. Thermodyn. 2007, 39, 1027–1037. [Google Scholar] [CrossRef]
- Ansari, A.; Ali, A.; Asif, M.; Uzzaman, S. Microwave-assisted MgO NP catalyzed one-pot multicomponent synthesis of polysubstituted steroidal pyridines. New J. Chem. 2017, 42, 184–197. [Google Scholar] [CrossRef]
- Yu, J.; Chuang, S.S.C. The Structure of Adsorbed Species on Immobilized Amines in CO2 Capture: An in Situ IR Study. Energy Fuels 2016, 30, 7579–7587. [Google Scholar] [CrossRef]
- Zhang, G.; Zhao, P.; Hao, L.; Xu, Y. Amine-modified SBA-15(P): A promising adsorbent for CO2 capture. J. CO2 Util. 2018, 24, 22–33. [Google Scholar] [CrossRef]
- Hanim, S.A.M.; Malek, N.A.N.N.; Ibrahim, Z. Amine-functionalized, silver-exchanged zeolite NaY: Preparation, characterization and antibacterial activity. Appl. Surf. Sci. 2016, 360, 121–130. [Google Scholar] [CrossRef]
- Panda, D.; Singh, S.K.; Kumar, E.A. A comparative study of CO2 capture by amine grafted vs amine impregnated zeolite 4A. IOP Conf. Ser. Mater. Sci. Eng. 2018, 377, 012148. [Google Scholar] [CrossRef]
- Wang, Y.; Du, T.; Song, Y.; Che, S.; Fang, X.; Zhou, L. Amine-functionalized mesoporous ZSM-5 zeolite adsorbents for carbon dioxide capture. Solid State Sci. 2017, 73, 27–35. [Google Scholar] [CrossRef]
- Öztürk, N.; Bahçeli, S. FT-IR Spectroscopic Study of 1,3-Diaminopropane Adsorbed on Type A, X and Y Zeolites. Z. Naturforschung A 2006, 61, 399. [Google Scholar] [CrossRef]
- Che Man, Y.B.; Setiowaty, G. Application of Fourier transform infrared spectroscopy to determine free fatty acid contents in palm olein. Food Chem. 1999, 66, 109–114. [Google Scholar] [CrossRef]
- Sherazi, S.T.H.; Talpur, M.Y.; Mahesar, S.A.; Kandhro, A.A.; Arain, S. Main fatty acid classes in vegetable oils by SB-ATR-Fourier transform infrared (FTIR) spectroscopy. Talanta 2009, 80, 600–606. [Google Scholar] [CrossRef]
- Vongsvivut, J.; Heraud, P.; Zhang, W.; Kralovec, J.A.; McNaughton, D.; Barrow, C.J. Quantitative determination of fatty acid compositions in micro-encapsulated fish-oil supplements using Fourier transform infrared (FTIR) spectroscopy. Food Chem. 2012, 135, 603–609. [Google Scholar] [CrossRef] [PubMed]
- Al-Alawi, A.; van de Voort, F.R.; Sedman, J.; Ghetler, A. Automated FTIR Analysis of Free Fatty Acids or Moisture in Edible Oils. JALA J. Assoc. Lab. Autom. 2006, 11, 23–29. [Google Scholar] [CrossRef]
- Ripoche, A.; Guillard, A.S. Determination of fatty acid composition of pork fat by Fourier transform infrared spectroscopy. Meat Sci. 2001, 58, 299–304. [Google Scholar] [CrossRef] [PubMed]
- Al-Alawi, A.; van de Voort, F.R.; Sedman, J. New FTIR method for the determination of FFA in oils. J. Am. Oil Chem. Soc. 2004, 81, 441–446. [Google Scholar] [CrossRef]
- Rabelo, S.N.; Ferraz, V.P.; Oliveira, L.S.; Franca, A.S. FTIR Analysis for Quantification of Fatty Acid Methyl Esters in Biodiesel Produced by Microwave-Assisted Transesterification. Int. J. Environ. Sci. Dev. 2015, 6, 5. [Google Scholar] [CrossRef]
- Maggio, R.M.; Kaufman, T.S.; Carlo, M.D.; Cerretani, L.; Bendini, A.; Cichelli, A.; Compagnone, D. Monitoring of fatty acid composition in virgin olive oil by Fourier transformed infrared spectroscopy coupled with partial least squares. Food Chem. 2009, 114, 1549–1554. [Google Scholar] [CrossRef]
- Madden, D.; Curtin, T. Carbon dioxide capture with amino-functionalised zeolite-β: A temperature programmed desorption study under dry and humid conditions. Microporous Mesoporous Mater. 2016, 228, 310–317. [Google Scholar] [CrossRef]
- Yaumi, A.L.; Bakar, M.Z.A.; Hameed, B.H. Recent advances in functionalized composite solid materials for carbon dioxide capture. Energy 2017, 124, 461–480. [Google Scholar] [CrossRef]
- Mazzella, A.; Errico, M.; Spiga, D. CO2 uptake capacity of coal fly ash: Influence of pressure and temperature on direct gas-solid carbonation. J. Environ. Chem. Eng. 2016, 4 Pt A, 4120–4128. [Google Scholar] [CrossRef]
- Siriruang, C.; Toochinda, P.; Julnipitawong, P.; Tangtermsirikul, S. CO2 capture using fly ash from coal fired power plant and applications of CO2-captured fly ash as a mineral admixture for concrete. J. Environ. Manag. 2016, 170, 70–78. [Google Scholar] [CrossRef] [PubMed]
- Zhao, C.; Guo, Y.; Yan, J.; Sun, J.; Li, W.; Lu, P. Enhanced CO2 sorption capacity of amine-tethered fly ash residues derived from co-firing of coal and biomass blends. Appl. Energy 2019, 242, 453–461. [Google Scholar] [CrossRef]
- Kaithwas, A.; Prasad, M.; Kulshreshtha, A.; Verma, S. Industrial wastes derived solid adsorbents for CO2 capture: A mini review. Chem. Eng. Res. Des. 2012, 90, 1632–1641. [Google Scholar] [CrossRef]
- Wang, S.; Wu, H. Environmental-benign utilisation of fly ash as low-cost adsorbents. J. Hazard. Mater. 2006, 136, 482–501. [Google Scholar] [CrossRef] [PubMed]
- Ahmaruzzaman, M. A review on the utilization of fly ash. Prog. Energy Combust. Sci. 2010, 36, 327–363. [Google Scholar] [CrossRef]
- Trachta, M.; Bulánek, R.; Bludský, O.; Rubeš, M. Brønsted acidity in zeolites measured by deprotonation energy. Sci. Rep. 2022, 12, 7301. [Google Scholar] [CrossRef]
- Azzouz, A.; Nistor, D.; Miron, D.; Ursu, A.V.; Sajin, T.; Monette, F.; Niquette, P.; Hausler, R. Assessment of acid–base strength distribution of ion-exchanged montmorillonites through NH3 and CO2-TPD measurements. Thermochim. Acta 2006, 449, 27–34. [Google Scholar] [CrossRef]
- Azzouz, A.; Ursu, A.-V.; Nistor, D.; Sajin, T.; Assaad, E.; Roy, R. TPD study of the reversible retention of carbon dioxide over montmorillonite intercalated with polyol dendrimers. Thermochim. Acta 2009, 496, 45–49. [Google Scholar] [CrossRef]
- Zafar, R.; Watson, J.S. Adsorption of tetradecanoic acid on kaolinite minerals: Using flash pyrolysis to characterise the catalytic efficiency of clay mineral adsorbed fatty acids. Chem. Geol. 2017, 471, 111–118. [Google Scholar] [CrossRef]
- Li, X.; Zhao, Y.; Wang, S.; Zhu, Y.; Yang, G. DFT-D2 Study of the Adsorption of Bio-Oil Model Compounds in HZSM-5: C1–C4 Carboxylic Acids. Catal. Lett. 2016, 146, 2015–2024. [Google Scholar] [CrossRef]
- Didi, M.A.; Villemin, D.; Abderrahim, O.; Azzouz, A. Liquid–liquid extraction of thorium(IV) by fatty acids: A comparative study. J. Radioanal. Nucl. Chem. 2014, 299, 1191–1198. [Google Scholar] [CrossRef]
- Gomes, G.J.; Zalazar, M.F.; Lindino, C.A.; Scremin, F.R.; Bittencourt, P.R.S.; Costa, M.B.; Peruchena, N.M. Adsorption of acetic acid and methanol on H-Beta zeolite: An experimental and theoretical study. Microporous Mesoporous Mater. 2017, 252, 17–28. [Google Scholar] [CrossRef]
- Prinsen, P.; Luque, R.; González-Arellano, C. Zeolite catalyzed palmitic acid esterification. Microporous Mesoporous Mater. 2018, 262, 133–139. [Google Scholar] [CrossRef]
- Ouargli-saker, R.; Bouazizi, N.; Boukoussa, B.; Barrimo, D.; Paola-Nunes-Beltrao, A.; Azzouz, A. Metal-loaded SBA-16-like silica—Correlation between basicity and affinity towards hydrogen. Appl. Surf. Sci. 2017, 411, 476–486. [Google Scholar] [CrossRef]
- Hakiki, A.; Boukoussa, B.; Habib Zahmani, H.; Hamacha, R.; Hadj Abdelkader, N.e.H.; Bekkar, F.; Bettahar, F.; Nunes-Beltrao, A.P.; Hacini, S.; Bengueddach, A.; et al. Synthesis and characterization of mesoporous silica SBA-15 functionalized by mono-, di-, and tri-amine and its catalytic behavior towards Michael addition. Mater. Chem. Phys. 2018, 212, 415–425. [Google Scholar] [CrossRef]
- Sharma, R.K.; Ganesan, P.; Tyagi, V.V.; Metselaar, H.S.C.; Sandaran, S.C. Thermal properties and heat storage analysis of palmitic acid-TiO2 composite as nano-enhanced organic phase change material (NEOPCM). Appl. Therm. Eng. 2016, 99, 1254–1262. [Google Scholar] [CrossRef]
- Wang, K.; Yan, T.; Zhao, Y.M.; Li, G.D.; Pan, W.G. Preparation and thermal properties of palmitic acid @ZnO/Expanded graphite composite phase change material for heat storage. Energy 2022, 242, 122972. [Google Scholar] [CrossRef]
- Bai, R.; Liu, S.; Han, J.; Wang, M.; Gao, W.; Wu, D.; Zhou, M. Expanded vermiculite supported capric–palmitic acid composites for thermal energy storage. RSC Adv. 2023, 13, 17516–17525. [Google Scholar] [CrossRef]
- Dora, S.; Barta, R.B.; Mini, K.M. Study on foam concrete incorporated with expanded vermiculite/capric acid PCM—A novel thermal storage high-performance building material. Constr. Build. Mater. 2023, 392, 131903. [Google Scholar] [CrossRef]
- Cherif, A.; Slama, A. Stability and Change in Fatty Acids Composition of Soybean, Corn, and Sunflower Oils during the Heating Process. J. Food Qual. 2022, 2022, 6761029. [Google Scholar] [CrossRef]
- Charuwat, P.; Boardman, G.; Bott, C.; Novak, J.T. Thermal Degradation of Long Chain Fatty Acids. Water Env. Res 2018, 90, 278–287. [Google Scholar] [CrossRef]
- García Zapateiro, L.; Franco, J.; Valencia, C.; Delgado, M.; Gallegos, C. Viscous, thermal and tribological characterization of oleic and ricinoleic acids-derived estolides and their blends with vegetable oils. J. Ind. Eng. Chem. 2013, 19, 1289–1298. [Google Scholar] [CrossRef]
- Liu, J.; Jiang, D.; Fei, H.; Xu, Y.; Zeng, Z.; Ye, W. Preparation and Energy Storage Properties of a Lauric acid/Octadecanol Eutectic Mixture. ACS Omega 2021, 6, 23542–23550. [Google Scholar] [CrossRef] [PubMed]








| Amines (1%) | Amine Content (%) | Palmitic Acid (%) | CRC a (µmol.g−1) |
|---|---|---|---|
| None b | 0 | 0 | 296.10 c |
| 60 d | |||
| 1,3-diaminopropane (DAP) | 0 | 1 | 589.89 |
| 5 | 483.10 | ||
| 10 | 662.49 | ||
| 20 | 67.28 | ||
| 30 | 85.42 | ||
| 1 | 0% | 289.9 | |
| 1% | 103.24 | ||
| 5% | 131.48 | ||
| 10% | 144.24 | ||
| Ethylenediamine (EDA) | 1 | 0% | 220.8 |
| 1% | 206.78 | ||
| 5% | 91.58 | ||
| 10% | 60.22 | ||
| N,N,N′,N′-tetramethylethylenediamine (TMEDA) | 1 | 0% | 156.4 |
| 1% | 29.70 | ||
| 5% | 22.78 | ||
| 10% | 3.69 | ||
| Tris(2-aminoethyl)amine (TRIS) | 1 | 0% | 107.5 |
| 1% | 24.87 | ||
| 5% | 100.14 | ||
| 10% | 65.72 |
| Amines | Symbol | pKa | Fatty Acids | Symbol | pKa |
|---|---|---|---|---|---|
![]() 1,3-Diaminopropane | DAP | 10.17 | ![]() Palmitic acid C16H32O2 | PA | 4.95 |
![]() N,N,N′,N′-Tetramethylethylenediamine | TMEDA | 10.40 and 8.26 | ![]() Oleic acid C18H34O2 | OA | 5.02 |
![]() Tris(2-aminoethyl)amine | TRIS | 9.42 | Lauric acid C12H24O2![]() | LA | 5.30 |
![]() Ethylenediamine | EDA | 10.0 |
| Incorporated Organic Species | Content (wt.%) | Samples a | BET SSA b (m2.g−1) | Pore Features | CRC c (µmol.g−1) | WRC d (µmol.g−1) | |
|---|---|---|---|---|---|---|---|
| Size (Å) | Volume (cm3.g−1) | ||||||
| None | 0 | Raw NaP1 e | 38 | 2.0 | 0.200 | 399.2 | 9.38 [29] |
| None | 0 | NaP1 e | - | - | - | 296.1 f | 1.72 [29] |
| 60 g | |||||||
| Palmitic acid (PA) | 1 | NaP1-PA-1 | 28 | 85.1 | 0.059 | 589.89 | 0.01 |
| 5 | NaP1-PA-5 | 11 | 340 | 0.096 | 483.10 | 0.32 | |
| 10 | NaP1-PA-10 | 3 | 513 | 0.033 | 662.49 | 0.32 | |
| 20 | NaP1-PA-20 | 6 | 291 | 0.044 | 67.28 | 0.25 | |
| 30 | NaP1-PA-30 | 4.5 | 379 | 0.042 | 85.42 | 0.35 | |
| Lauric acid | 1 | NaP1-LA-1 | - | - | - | 22.13 | 0.40 |
| 5 | NaP1-LA-5 | - | - | - | 17.08 | 0.39 | |
| 10 | NaP1-LA-10 | 4–5 | 281 | 0.031 | 18.68 | 0.41 | |
| Oleic acid | 1 | NaP1-OA-1 | - | - | - | 29.91 | 0.42 |
| 5 | NaP1-OA-5 | - | - | - | 39.22 | 0.40 | |
| 10 | NaP1-OA-10 | ~0 | 7477 | 0.023 | 41.78 | 0.38 | |
| Diaminopropane | 1 | NaP1-DAP-1 | 2 | 1197 | 0.061 | 289.9 | - |
| Ethylenediamine | 1 | NaP1-EDA-1 | 20 | 171 | 0.084 | 220.8 | - |
| TMEDA | 1 | NaP1-TMEDA-1 | - | - | - | 156.4 | - |
| TRIS | 1 | NaP1-TRIS-1 | - | - | - | 107.5 | - |
Disclaimer/Publisher’s Note: The statements, opinions and data contained in all publications are solely those of the individual author(s) and contributor(s) and not of MDPI and/or the editor(s). MDPI and/or the editor(s) disclaim responsibility for any injury to people or property resulting from any ideas, methods, instructions or products referred to in the content. |
© 2024 by the authors. Licensee MDPI, Basel, Switzerland. This article is an open access article distributed under the terms and conditions of the Creative Commons Attribution (CC BY) license (https://creativecommons.org/licenses/by/4.0/).
Share and Cite
Beltrão-Nunes, A.-P.; Pires, M.; Roy, R.; Azzouz, A. Surface Basicity and Hydrophilic Character of Coal Ash-Derived Zeolite NaP1 Modified by Fatty Acids. Molecules 2024, 29, 768. https://doi.org/10.3390/molecules29040768
Beltrão-Nunes A-P, Pires M, Roy R, Azzouz A. Surface Basicity and Hydrophilic Character of Coal Ash-Derived Zeolite NaP1 Modified by Fatty Acids. Molecules. 2024; 29(4):768. https://doi.org/10.3390/molecules29040768
Chicago/Turabian StyleBeltrão-Nunes, Ana-Paola, Marçal Pires, René Roy, and Abdelkrim Azzouz. 2024. "Surface Basicity and Hydrophilic Character of Coal Ash-Derived Zeolite NaP1 Modified by Fatty Acids" Molecules 29, no. 4: 768. https://doi.org/10.3390/molecules29040768
APA StyleBeltrão-Nunes, A.-P., Pires, M., Roy, R., & Azzouz, A. (2024). Surface Basicity and Hydrophilic Character of Coal Ash-Derived Zeolite NaP1 Modified by Fatty Acids. Molecules, 29(4), 768. https://doi.org/10.3390/molecules29040768








