Co/Cd-MOF-Derived Porous Carbon Materials for Moxifloxacin Adsorption from Aqueous Solutions
Abstract
1. Introduction
2. Results and Discussion
2.1. Structural Characterization of Co/Cd-MOF Materials
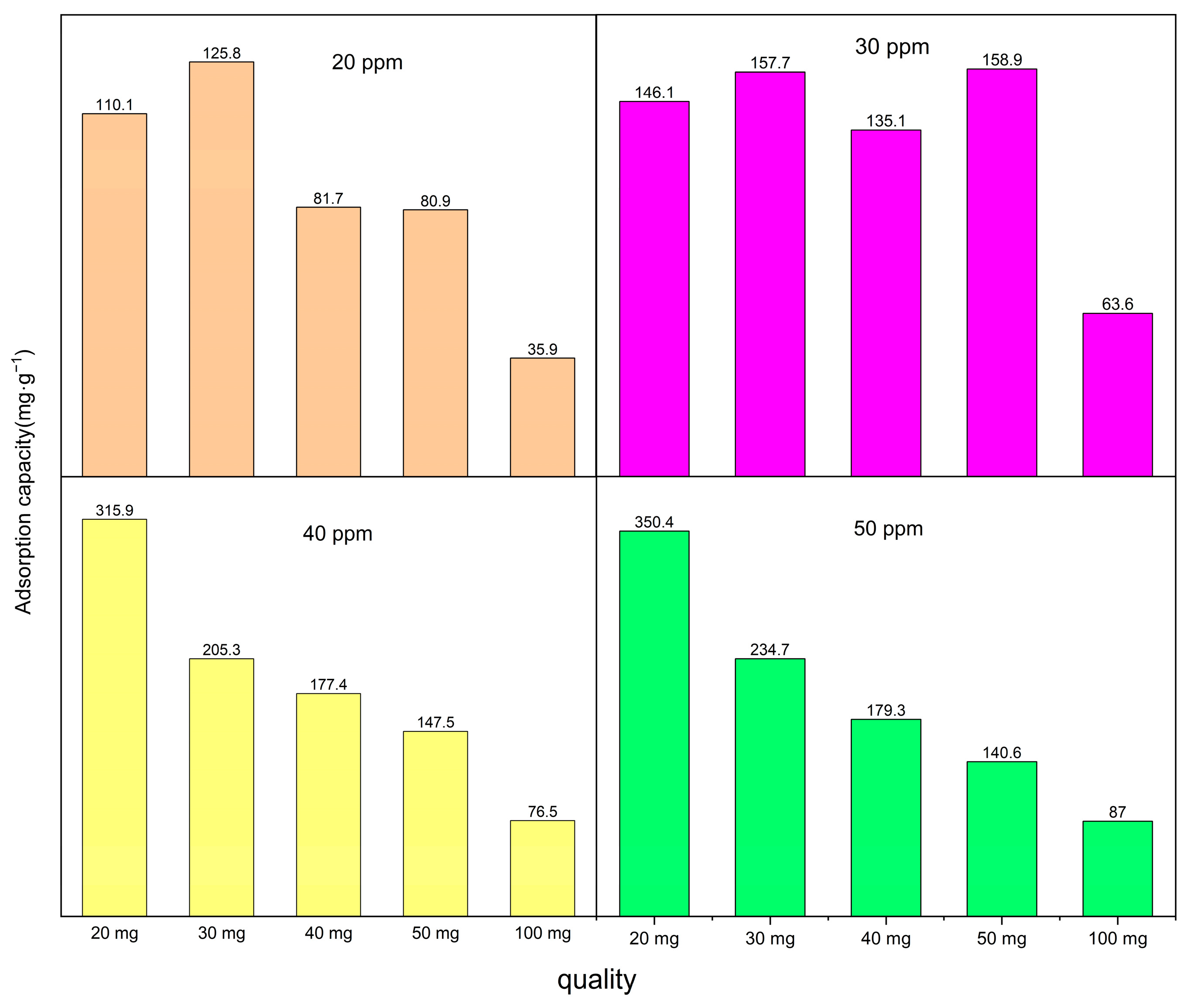
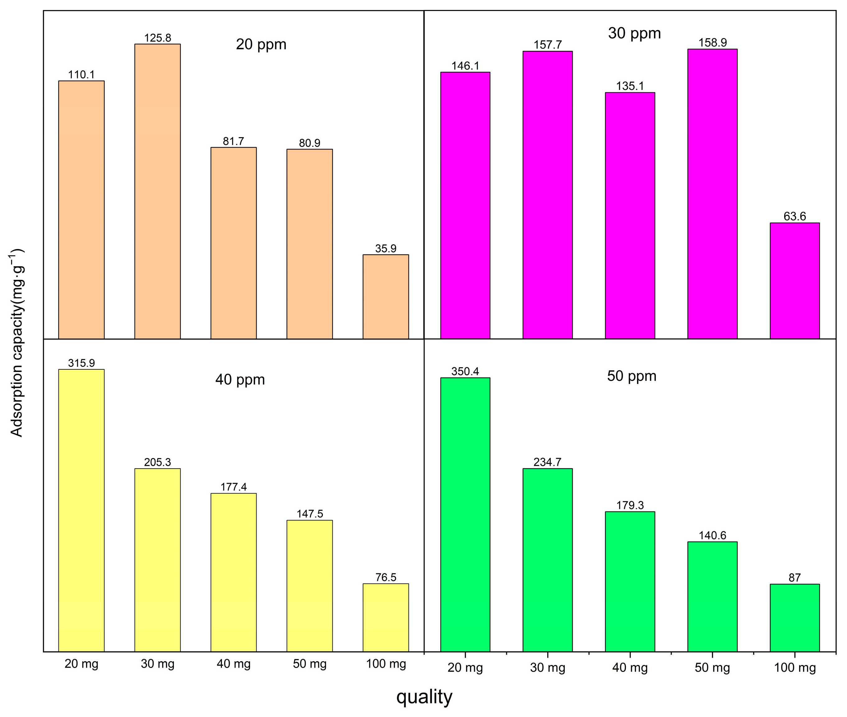
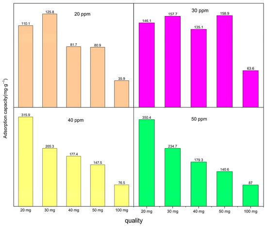
2.2. Elimination of Moxifloxacin Using Carbonized Materials Derived from Co/Cd-MOFs
3. Experiment
3.1. Experimental Material
3.2. Preparation of Co/Cd-MOF Carbon Materials
3.3. The Reconstitution of an Aqueous Solution of Moxifloxacin
3.4. Removal of Moxifloxacin from Wastewater by Co/Cd-MOF Carbon Materials
4. Conclusions
Author Contributions
Funding
Institutional Review Board Statement
Informed Consent Statement
Data Availability Statement
Conflicts of Interest
References
- Adegoke, K.A.; Bello, O.S. Dye sequestration using agricultural wastes as adsorbents. Water Resour. Ind. 2015, 12, 8–24. [Google Scholar] [CrossRef]
- Zhang, X.; Gao, B.; Creamer, A.E.; Cao, C.; Li, Y. Adsorption of VOCs onto engineered carbon materials: A review. J. Hazard. Mater. 2017, 338, 102–123. [Google Scholar] [CrossRef] [PubMed]
- Adegoke, K.A.; Oyewole, R.O.; Lasisi, B.M.; Bello, O.S. Abatement of organic pollutantsusing fly ash based adsorbents. Water Sci. Technol. 2017, 76, 2580–2592. [Google Scholar] [CrossRef]
- Wei, F.H.; Liu, H.Y.; Ren, Q.H.; Yang, L.; Qin, L.; Chen, H.L.; Ma, Y.F.; Liang, Z.; Wang, S.Y. Preparation of Zr-MOF for the removal of Norfloxacin from an aqueous Solution. Inorg. Chem. Commun. 2023, 153, 110819. [Google Scholar] [CrossRef]
- PPotapov; Turubanova, S.; Hansen, M.C.; Tyukavina, A.; Zalles, V.; Khan, A.; Song, X.P.; Pickens, A.; Shen, Q.; Cortez, J. Global maps of cropland extent and change show accelerated cropland expansion in the twenty-first century. Nat. Food 2022, 3, 19–28. [Google Scholar] [CrossRef] [PubMed]
- Soshino, Y.; Juma, O.; Miyata, A. A Sustainable Water Supply Business Model by Utilization of the Innovative Water Flocculants, a Case Study in Bagamoyo, Tanzania. In Technology Entrepreneurship and Sustainable Development. Disaster Risk Reduction; Ray, P., Shaw, R., Eds.; Springer: Singapore, 2022; pp. 297–318. [Google Scholar]
- Eniola, J.O.; Kumar, R.; Barakat, M.A. Adsorptive removal of antibiotics from water over natural and modified adsorbents. Environ. Sci. Pollut. Res. 2019, 26, 34775–34788. [Google Scholar] [CrossRef] [PubMed]
- Zhou, J.; Ding, J.; Wan, H.; Guan, G. Boosting photocatalytic degradation of antibiotic wastewater by synergy effect of heterojunction and phosphorus doping. J. Colloid Interface Sci. 2021, 582, 961–968. [Google Scholar] [CrossRef] [PubMed]
- Zhu, T.T.; Su, Z.X.; Lai, W.X.; Zhang, Y.B.; Liu, Y.W. Insights into the fate and removal of antibiotics and antibiotic resistance genes using biological wastewater treatment technology. Sci. Total Environ. 2021, 776, 145906. [Google Scholar] [CrossRef]
- Jiang, J.Q.; Graham, N.; André, C.; Kelsall, G.H.; Brandon, N. Laboratory study ofelectro-coagulation-flotation for water treatment. Water Res. 2002, 36, 4064–4078. [Google Scholar] [CrossRef] [PubMed]
- Savage, N.; Diallo, M.S. Nanomaterials and water purification: Opportunities andchallenges. J. Nanopart. Res. 2005, 7, 331–342. [Google Scholar] [CrossRef]
- Verma, A.K.; Dash, R.R.; Bhunia, P. A review on chemical coagulation/flocculationtechnologies for removal of colour from textile wastewaters. J. Environ. Manag. 2012, 93, 154–168. [Google Scholar] [CrossRef] [PubMed]
- Zhao, K.; Kang, S.X.; Yang, Y.Y.; Yu, D.G. Electrospun functional nanofiber membrane for antibiotic removal in water: Review. Polymers 2021, 13, 226. [Google Scholar] [CrossRef]
- Fan, L.; Wang, F.; Zhao, D.; Sun, X.; Chen, H.; Wang, H.; Zhang, X. Two cadmium (II)coordination polymers as multi-functional luminescent sensors for the detection of Cr (VI) anions, dichloronitroaniline pesticide, and nitrofuran antibiotic in aqueous media. Spectrochim. Acta Part A Mol. Biomol. Spectrosc. 2020, 239, 118467. [Google Scholar] [CrossRef] [PubMed]
- Xiang, Y.; Xu, Z.; Wei, Y.; Zhou, Y.; Yang, X.; Yang, Y.; Yang, J.; Zhang, J.; Luo, L.; Zhou, Z. Carbon-based materials as adsorbent for antibiotics removal: Mechanisms and influencing factors. J. Environ. Manag. 2019, 237, 128–138. [Google Scholar] [CrossRef]
- Krasucka, P.; Pan, B.; Ok, Y.S.; Mohan, D.; Sarkar, B.; Oleszczuk, P. Engineered biochar-A sustainable solution for the removal of antibiotics from water. Chem. Eng. J. 2021, 405, 126926. [Google Scholar] [CrossRef]
- Carolin, C.F.; Kumar, P.S.; Saravanan, A.; Joshiba, G.J.; Naushad, M. Efficient techniquesfor the removal of toxic heavy metals from aquatic environment: A review. J. Environ. Chem. Eng. 2017, 5, 2782–2799. [Google Scholar] [CrossRef]
- Burakov, A.E.; Galunin, E.V.; Burakova, I.V.; Kucherova, A.E.; Agarwal, S.; Tkachev, A.G.; Gupta, V.K. Adsorption of heavy metals on conventional and nanostructured materials for wastewater treatment purposes: A review. Ecotoxicol. Environ. Saf. 2018, 148, 702–712. [Google Scholar] [CrossRef]
- Chen, L.F.; Huang, Z.H.; Liang, H.W.; Gao, H.L.; Yu, S.H. Three dimensional heteroatom-doped carbon nanofiber networks derived from bacterial cellulose for supercapacitors. Adv. Funct. Mater. 2014, 24, 5104–5111. [Google Scholar] [CrossRef]
- Wang, H.; Lustig, W.P.; Li, J. Sensing and capture of toxic and hazardous gases andvapors by metal-organic frameworks. Chem. Soc. Rev. 2018, 47, 4729–4756. [Google Scholar] [CrossRef]
- Ni, Z.P.; Liu, J.L.; Hoque, M.N.; Liu, W.; Li, J.Y.; Chen, Y.C.; Tong, M.L. Recent advances inguest effects on spin-crossover behavior in Hofmann-type metal-organic frameworks. Coord. Chem. Rev. 2017, 335, 28–43. [Google Scholar] [CrossRef]
- Wang, L.; Han, Y.; Feng, X.; Zhou, J.; Qi, P.; Wang, B. Metal-organic frameworks for energy storage: Batteries and supercapacitors. Coord. Chem. Rev. 2016, 307, 361–381. [Google Scholar] [CrossRef]
- Cui, X.; Chen, K.; Xing, H.; Yang, Q.; Krishna, R.; Bao, Z.; Wu, H.; Zhou, W.; Dong, X.; Han, Y.; et al. Pore chemistry and size control in hybrid porous materials for acetylene capture from ethylene. Science 2016, 353, 141–144. [Google Scholar] [CrossRef]
- Tian, D.; Chen, Q.; Li, Y.; Zhang, Y.H.; Chang, Z.; Bu, X.H. A mixed molecular buildingblock strategy for the design of nested polyhedron metal-organic frameworks. Angew. Chem.-Int. Ed. 2014, 53, 837–841. [Google Scholar] [CrossRef] [PubMed]
- Zhang, T.; Lin, W. Metal-organic frameworks for artificial photosynthesis andphotocatalysis. Chem. Soc. Rev. 2014, 43, 5982–5993. [Google Scholar] [CrossRef]
- dos Santos Ferreira, J.; da Silva, D.; Lopez Malo, G.; Anceski Bataglion, M.; Nogueira Eberlin, C.; Machado Ronconi, S.; de Alves Junior Sa, G.F. Adsorption in a fixed-bed column and stability of the antibiotic oxytetracycline supported on Zn(II)-[2-methylimidazolate] frameworks in aqueous media. PLoS ONE 2015, 10, e0128436. [Google Scholar] [CrossRef] [PubMed]
- Zhao, X.; Zheng, M.; Gao, X.; Zhang, J.; Wang, E.; Gao, Z. The application of MOFs-based materials for antibacterials adsorption. Coord. Chem. Rev. 2021, 440, 213970. [Google Scholar] [CrossRef]
- Wu, M.; Ai, Y.; Zeng, B.; Zhao, F. In situ solvothermal growth of metal-organic framework-ionic liquid functionalized graphene nanocomposite for highly efficient enrichment of chloramphenicol and thiamphenicol. J. Chromatogr. A 2016, 1427, 1–7. [Google Scholar] [CrossRef]
- Ren, Q.H.; Ma, Y.F.; Wei, F.H.; Qin, L.; Chen, H.L.; Liang, Z.; Wang, S.Y. Preparation of Zr-MOFs for the adsorption of doxycycline hydrochloride from wastewater. Green Process. Synth. 2023, 12, 20228127. [Google Scholar] [CrossRef]
- Zhang, X.; Li, W.; Lu, A. Designed porous carbon materials for efficient CO2 adsorption and separation. New Carbon Mater. 2015, 30, 481–501. [Google Scholar] [CrossRef]
- Wang, J.; Wang, Y.; Hu, H.; Yang, Q.; Cai, J. From metal-organic frameworks to porous carbon materials: Recent progress and prospects from energy and environmental perspectives. Nanoscale 2020, 12, 4238–4268. [Google Scholar] [CrossRef]
- Aijaz, A.; Sun, J.K.; Pachfule, P.; Uchida, T.; Xu, Q. From a metal-organic framework to hierarchical high surface-area hollow octahedral carbon cages. Chem. Commun. 2015, 51, 13945–13948. [Google Scholar] [CrossRef]
- Kukulka, W.; Cendrowski, K.; Michalkiewicz, B.; Mijowska, E. MOF-5 derived carbon as material for CO2 absorption. RSC Adv. 2019, 9, 18527–18537. [Google Scholar] [CrossRef]
- Cheng, J.; Liu, N.; Wang, Y.; Xuan, X.; Yang, X.; Zhou, J. Nitrogen-doped microporous carbon material decorated with metal nanoparticles derived from solid Zn/Co zeolitic imidazolate framework with high selectivity for CO2 separation. Fuel 2020, 265, 116972. [Google Scholar] [CrossRef]
- Zhou, Q.; Wu, Y.E. Research progress on prepartion of MOF-derived porous carbon materials through pyrolysis. Chin. Sci. Bull. 2018, 63, 2246–2263. (In Chinese) [Google Scholar]
- Wang, C.; Kim, J.; Tang, J.; Kim, M.; Lim, H.; Malgras, V.; You, J.; Xu, Q.; Li, J.; Yamauchi, Y. New Strategies for Novel MOF-Derived Carbon Materials Based on Nanoarchitectures. Chem 2020, 6, 19–40. [Google Scholar] [CrossRef]
- Crabtree, R.H. The Organometallic Chemistry of the Transition Metals, 5th ed.; John Wiley & Sons: Hoboken, NJ, USA, 2012; p. 148. [Google Scholar]
- Wei, F.H.; Nie, M.; Ren, Q.H.; Yu, X.; Li, H.; Chen, H.L.; He, M.T.; Liang, Z.; Wang, S.Y.; Han, D.X. Preparation of bimetallic metal–organic frameworks for adsorbing doxycycline hydrochloride from wastewater. Appl. Organomet. Chem. 2023, 37, e7212. [Google Scholar] [CrossRef]
- Wei, F.H.; Gong, J.; Ren, Q.H.; Yu, X.; Wang, Y.; Qin, L.; Chen, H.L.; Liang, Z. Reparation of Zn/Zr-MOFs by microwave-assisted ball milling and adsorption of lomefloxacin hydrochloride and levofloxacin hydrochloride in wastewater. Environ. Res. 2024, 252, 118941. [Google Scholar] [CrossRef]
- Chai, F.F.; Zhao, X.D.; Gao, H.H.; Zhao, Y.W.; Huang, H.L.; Gao, Z.Q. Effective Removal of Antibacterial Drugs from Aqueous Solutions Using Porous Metal-Organic Frameworks. J. Inorg. Organomet. Polym. Mater. 2019, 29, 1305–1313. [Google Scholar] [CrossRef]
- Zhao, X.D.; Gao, X.X.; Ding, R.; Huang, H.L.; Gao, X.L.; Liu, B.S. Post-synthesis introduction of dual functional groups in metal–organic framework for enhanced adsorption of moxifloxacin antibiotic. J. Colloid Interface Sci. 2023, 639, 59–67. [Google Scholar] [CrossRef]
- Yılmaz, E.; Sert, E.; Atalay, F.S. Synthesis, characterization of a metal organic framework:MIL-53 (Fe) and adsorption mechanisms of methyl red onto MIL-53 (Fe). J. Taiwan Inst. Chem. Eng. 2016, 65, 323–330. [Google Scholar] [CrossRef]
- Gu, Y.; Xie, D.; Wang, Y.; Qin, W.; Zhang, H.; Wang, G.; Zhang, Y.; Zhao, H. Facile fabrication of composition-tunable Fe/Mg bimetal-organic frameworks for exceptional arsenate removal, Chem. Eng. J. 2019, 357, 579–588. [Google Scholar]
















| Concentration | Mass | PSO Model | PFO Model | |||
|---|---|---|---|---|---|---|
| K2 (g·(mg·min)−1) | R2 | K1 (L·min−1) | R2 | qmax,exp | ||
| 20 | 20 | 0.0105 | 0.9922 | 0.0004 | 0.3891 | 95.00 |
| 30 | 0.0179 | 0.9940 | 0.0012 | 0.7283 | 47.40 | |
| 40 | 0.0206 | 0.9933 | 0.0011 | 0.9787 | 44.70 | |
| 50 | 0.0118 | 0.9904 | 0.0044 | 0.9966 | 72.70 | |
| 30 | 20 | 0.0124 | 0.9909 | 0.0004 | 0.3478 | 86.60 |
| 30 | 0.0133 | 0.9978 | 0.0009 | 0.8575 | 59.20 | |
| 40 | 0.0177 | 0.9822 | 0.0009 | 0.9713 | 47.70 | |
| 50 | 0.0164 | 0.9862 | 0.0012 | 0.9900 | 49.90 | |
| 40 | 20 | 0.0051 | 0.9933 | 0.0014 | 0.9569 | 115.0 |
| 30 | 0.0065 | 0.9900 | 0.0019 | 0.9419 | 92.00 | |
| 40 | 0.0049 | 0.98769 | 0.0048 | 0.9626 | 130.50 | |
| 50 | 0.0048 | 0.9939 | 0.0062 | 0.9934 | 109.20 | |
| 50 | 20 | 0.0029 | 0.9904 | 0.0028 | 0.9698 | 253.00 |
| 30 | 0.0054 | 0.9868 | 0.0030 | 0.4664 | 167.20 | |
| 40 | 0.0042 | 0.99365 | 0.0038 | 0.9542 | 134.90 | |
| 50 | 0.0039 | 0.99481 | 0.0052 | 0.9955 | 126.60 | |
| Concentration | Mass | PSO Model | PFO Model | ||
|---|---|---|---|---|---|
| K 2(g·(mg·min)−1) | R2 | K 1(L·min−1) | R2 | ||
| 20 | 20 | - | 0.9953 | - | 0.1855 |
| 30 | - | 0.9987 | - | 0.9930 | |
| 40 | - | 0.9983 | - | 0.9725 | |
| 50 | - | 0.9993 | - | 0.9956 | |
| 30 | 20 | - | 0.9907 | - | 0.8193 |
| 30 | - | 0.9984 | - | 0.9951 | |
| 40 | - | 0.9964 | - | 0.9676 | |
| 50 | - | 0.9954 | - | 0.9903 | |
| 40 | 20 | - | 0.9933 | - | 0.9918 |
| 30 | - | 0.9921 | - | 0.9950 | |
| 40 | - | 0.9844 | - | 0.9851 | |
| 50 | - | 0.9920 | - | 0.9951 | |
| 50 | 20 | - | 0.9916 | - | 0.9861 |
| 30 | - | 0.9839 | - | 0.7844 | |
| 40 | - | 0.9952 | - | 0.9896 | |
| 50 | - | 0.9931 | - | 0.9980 | |
| Langmuir Isotherm | Freundlich Isotherm | Sips | Brouers–Sotolongo | Uncertainty | ||||
|---|---|---|---|---|---|---|---|---|
| K | R2 | n | R2 | R2 | k | R2 | ||
| 2.9061 | 0.1247 | 1.0070 | 0.8361 | 0.8156 | 20.8016 | 0.7829 | ±2% | |
| Adsorbent | qmax (mg g−1) | Reference |
|---|---|---|
| Co/Cd-MOF carbon material | 350.4 | This work |
| Co/Cd-MOFs | 105.0 | |
| MIL-101 | 86.0 | [40] |
| MOF-808-SIPA | 287.1 | [41] |
| MOF-808-AA | 174.6 |
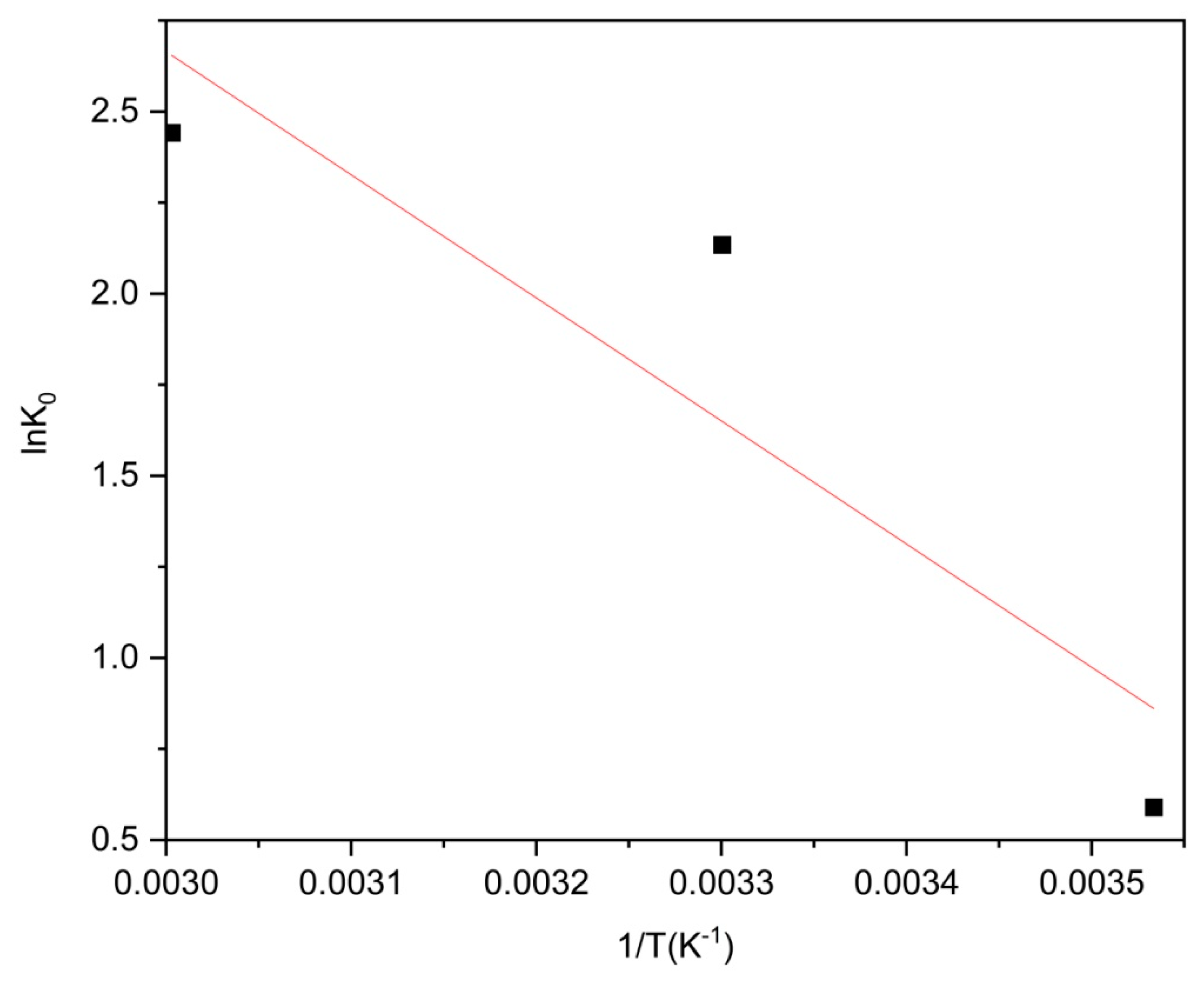
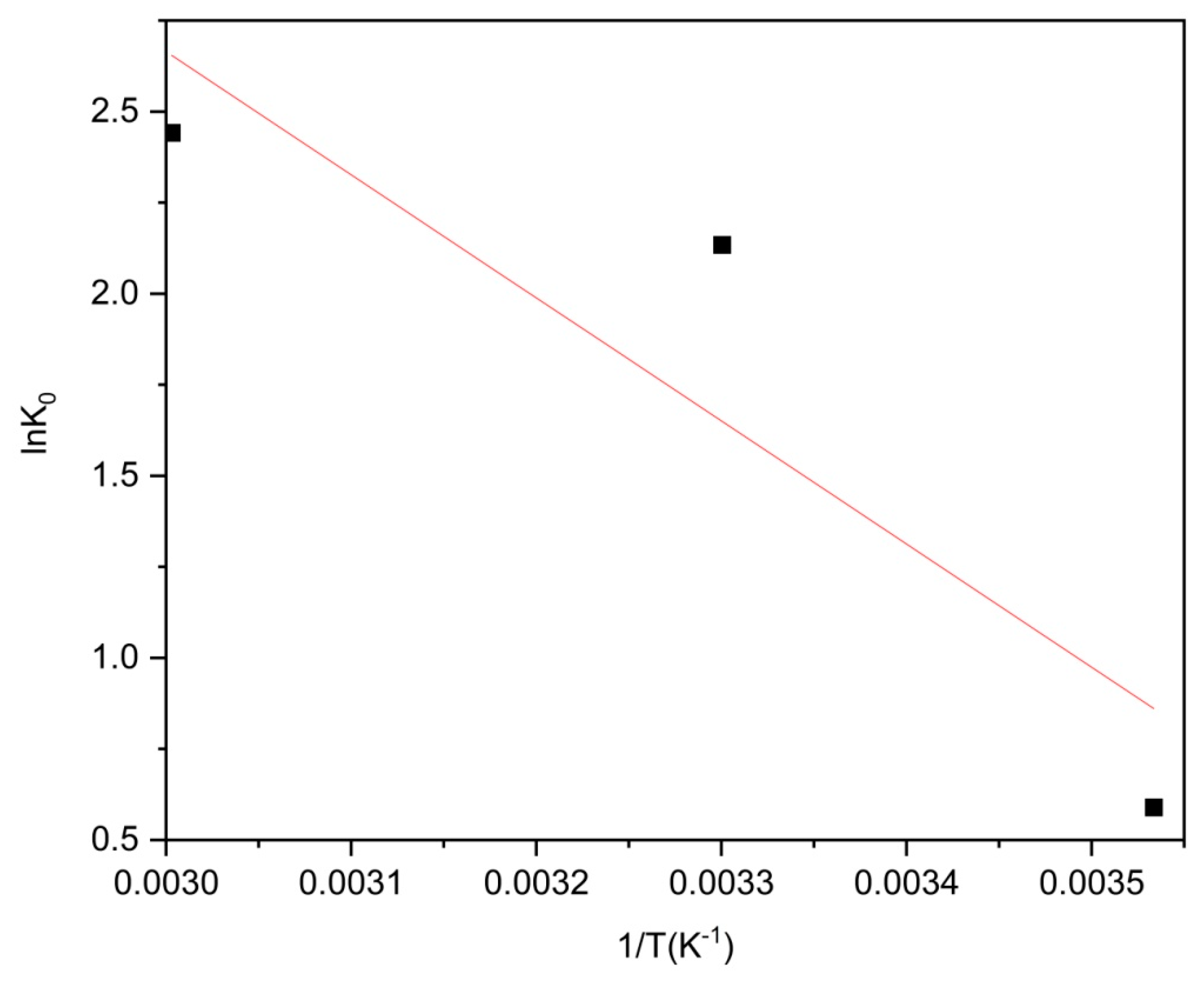
| T (K) | ΔGθ (kJ/mol) | ΔHθ (−slope × R)(KJ/mol) | Sθ (intercept × R) (J/mol/K) |
|---|---|---|---|
| 293 | −3.1 | 28.1 | 106.5 |
Disclaimer/Publisher’s Note: The statements, opinions and data contained in all publications are solely those of the individual author(s) and contributor(s) and not of MDPI and/or the editor(s). MDPI and/or the editor(s) disclaim responsibility for any injury to people or property resulting from any ideas, methods, instructions or products referred to in the content. |
© 2024 by the authors. Licensee MDPI, Basel, Switzerland. This article is an open access article distributed under the terms and conditions of the Creative Commons Attribution (CC BY) license (https://creativecommons.org/licenses/by/4.0/).
Share and Cite
Wei, F.; Gong, X.; Ren, Q.; Chen, H.; Zhang, Y.; Liang, Z. Co/Cd-MOF-Derived Porous Carbon Materials for Moxifloxacin Adsorption from Aqueous Solutions. Molecules 2024, 29, 3873. https://doi.org/10.3390/molecules29163873
Wei F, Gong X, Ren Q, Chen H, Zhang Y, Liang Z. Co/Cd-MOF-Derived Porous Carbon Materials for Moxifloxacin Adsorption from Aqueous Solutions. Molecules. 2024; 29(16):3873. https://doi.org/10.3390/molecules29163873
Chicago/Turabian StyleWei, Fuhua, Xue Gong, Qinhui Ren, Hongliang Chen, Yutao Zhang, and Zhao Liang. 2024. "Co/Cd-MOF-Derived Porous Carbon Materials for Moxifloxacin Adsorption from Aqueous Solutions" Molecules 29, no. 16: 3873. https://doi.org/10.3390/molecules29163873
APA StyleWei, F., Gong, X., Ren, Q., Chen, H., Zhang, Y., & Liang, Z. (2024). Co/Cd-MOF-Derived Porous Carbon Materials for Moxifloxacin Adsorption from Aqueous Solutions. Molecules, 29(16), 3873. https://doi.org/10.3390/molecules29163873

