An Investigation of the Impact of Precipitation Temperature and Filter Cake Thickness on the Physical Stability of Amorphous Solids: A Case Study
Abstract
1. Introduction
2. Results and Discussion
2.1. Interatomic Distance of Nilotinib Free Base Molecule
2.2. Calibration of Measurement Techniques
2.3. Effect of Precipitation Temperature
2.3.1. PDF and PCA of PXRD Data
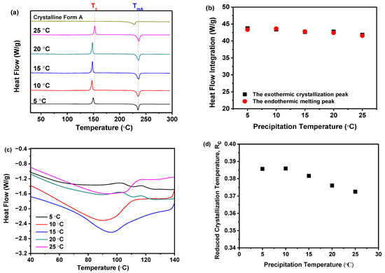
2.3.2. Rc Analysis of DSC Data
2.3.3. Filtering Rate Analysis
2.4. Effect of Filter Cake Thickness
2.4.1. PDF and PCA of PXRD Data
2.4.2. Rc Analysis of DSC Data
2.4.3. Thermogravimetric Analysis (TGA)
2.5. Accelerated Stability Test
2.6. Discussion on Future Work
3. Materials and Methods
3.1. Materials
3.2. Methods
3.2.1. Precipitation of Nilotinib Free Base Amorphous Solids
3.2.2. Filter Test
3.2.3. Calibration Experiment
3.2.4. Characterization of Nilotinib Free Base Solid Samples
Powder X-ray Diffraction (PXRD)
Differential Scanning Calorimetry (DSC)
Thermogravimetric Analysis (TGA)
Focused Beam Reflectance Measurement (FBRM)
3.2.5. Pair Distribution Function (PDF)
3.2.6. Principal Components Analysis (PCA)
3.2.7. Accelerated Stability Test
4. Conclusions
Author Contributions
Funding
Institutional Review Board Statement
Informed Consent Statement
Data Availability Statement
Conflicts of Interest
References
- Queiroz, L.H.S.; Barros, R.S.; de Sousa, F.F.; Lage, M.R.; Sarraguça, M.C.; Ribeiro, P.R.S. Preparation and characterization of a rifampicin co-amorphous material with tromethamine coformer: An experimental–theoretical study. Mol. Pharm. 2024, 21, 1272–1284. [Google Scholar] [CrossRef]
- Mei, H.; Wang, N.; Wu, D.; Rong, Q.; Bai, X.; Huang, X.; Zhou, L.; Wang, T.; Hao, H. Novel pharmaceutical cocrystals of tegafur: Synthesis, performance, and theoretical studies. Pharm. Res. 2024, 41, 577–593. [Google Scholar] [CrossRef]
- Wang, H.; Zhao, P.; Ma, R.; Jia, J.; Fu, Q. Drug–drug co-amorphous systems: An emerging formulation strategy for poorly water-soluble drugs. Drug Discov. Today 2024, 29, 103883. [Google Scholar] [CrossRef]
- Bapat, P.; Paul, S.; Tseng, Y.-C.; Taylor, L.S. Interplay of drug–polymer interactions and release performance for hpmcas-based amorphous solid dispersions. Mol. Pharm. 2024, 21, 1466–1478. [Google Scholar] [CrossRef]
- López-González, F.; Herrera-González, A.M.; Donado, F. Study of the transition from amorphous to crystalline phase in a granular system under shearing and vibration. Phys. A 2022, 590, 126756. [Google Scholar] [CrossRef]
- Yao, X.; Yu, L.; Zhang, G.G.Z. Impact of crystal nuclei on dissolution of amorphous drugs. Mol. Pharm. 2023, 20, 1796–1805. [Google Scholar] [CrossRef]
- Teng, M.; Li, J.; Li, Z.; Zhang, G.; Zhao, P.; Fu, Q. Recrystallization mediates the gelation of amorphous drugs: The case of acemetacin. Pharmaceutics 2023, 15, 219. [Google Scholar] [CrossRef]
- Zhao, P.; Wang, H.; Jia, J.; Song, D.; Yang, L.; Tang, X.; He, Z.; Fu, Q. Moisture-induced limited recrystallization may not reduce the dissolution of amorphous solid dispersions: A case of nitrendipine. J. Ind. Eng. Chem. 2024, in press. [Google Scholar] [CrossRef]
- Levine, H.; Slade, L. Water as a plasticizer: Physico-chemical aspects of low-moisture polymeric systems. In Water Science Reviews 3: Water Dynamics; Franks, F., Ed.; Cambridge University Press: Cambridge, UK, 1988; Volume 3, pp. 79–185. [Google Scholar]
- Chang, R.; Fu, Q.; Li, Y.; Wang, M.; Du, W.; Chang, C.; Zeng, A. Crystallization and relaxation dynamics of amorphous loratadine under different quench-cooling temperatures. CrystEngComm 2017, 19, 335–345. [Google Scholar] [CrossRef]
- Groёl, S.; Menzen, T.; Winter, G. Calorimetric investigation of the relaxation phenomena in amorphous lyophilized solids. Pharmaceutics 2021, 13, 1735. [Google Scholar] [CrossRef]
- Amano, Y.; Misawa, T.; Miyazaki, T.; Ando, D.; Koide, T.; Izutsu, K.-i.; Kanazawa, H.; Hanaoka, K.; Yamamoto, E. Real-time in situ X-ray micro-computed tomography study of the effect of impurities on the crystallization of amorphous nifedipine. J. Pharm. Biomed. Anal. 2023, 226, 115248. [Google Scholar] [CrossRef]
- Alhajj, N.; O’Reilly, N.J.; Cathcart, H. Development and characterization of a spray-dried inhalable ciprofloxacin-quercetin co-amorphous system. Int. J. Pharm. 2022, 618, 121657. [Google Scholar] [CrossRef]
- Liu, Y.; Wu, Z.; Chen, Y.; Guan, Y.; Guo, H.; Yang, M.; Yue, P. Rubusoside as a multifunctional stabilizer for novel nanocrystal-based solid dispersions with a high drug loading: A case study. J. Pharm. Sci. 2024, 113, 699–710. [Google Scholar] [CrossRef]
- Zäh, M.; Brandenbusch, C.; Winter, G.; Sadowski, G. Predicting the amorphous-phase composition during lyophilization. Int. J. Pharm. 2023, 636, 122836. [Google Scholar] [CrossRef]
- Wang, M.; Gong, J.; Rades, T.; Martins, I.C.B. Amorphization of different furosemide polymorphic forms during ball milling: Tracking solid-to-solid phase transformations. Int. J. Pharm. 2023, 648, 123573. [Google Scholar] [CrossRef]
- Li, Z.; Gong, Z.; Zhang, B.; Nawaz, A. Investigation of the influence of anti-solvent precipitation parameters on the physical stability of amorphous solids. Molecules 2024, 29, 1275. [Google Scholar] [CrossRef]
- Li, Z.; Luo, J.; Chen, X.; Zhang, B.; Nawaz, A.; Dessie, W. Optimization of precipitation conditions for producing physically stable amorphous solids using pair distribution function and reduced crystallization temperature. J. Drug Deliv. Sci. Technol. 2024, 91, 105268. [Google Scholar] [CrossRef]
- Khodov, I.; Sobornova, V.; Mulloyarova, V.; Belov, K.; Dyshin, A.; de Carvalho, L.B.; Tolstoy, P.; Kiselev, M. Exploring the Conformational Equilibrium of Mefenamic Acid Released from Silica Aerogels via NMR Analysis. Int. J. Mol. Sci. 2023, 24, 6882. [Google Scholar] [CrossRef]
- Kapourani, A.; Katopodis, K.; Valkanioti, V.; Chatzitheodoridou, M.; Cholevas, C.; Barmpalexis, P. Evaluation of suitable polymeric matrix/carriers during loading of poorly water soluble drugs onto mesoporous silica: Physical stability and in vitro supersaturation. Polymers 2024, 16, 802. [Google Scholar] [CrossRef]
- Bhugra, C.; Telang, C.; Schwabe, R.; Zhong, L. Reduced crystallization temperature methodology for polymer selection in amorphous solid dispersions: Stability perspective. Mol. Pharm. 2016, 13, 3326–3333. [Google Scholar] [CrossRef]
- Zhu, S.; Yu, R.; Qian, G.; Deng, L. A supersaturating drug delivery system to enhance the oral bioavailability of nilotinib. J. Drug Deliv. Sci. Technol. 2022, 68, 103038. [Google Scholar] [CrossRef]
- Koehl, N.J.; Holm, R.; Kuentz, M.; Jannin, V.; Griffin, B.T. Exploring the impact of surfactant type and digestion: Highly digestible surfactants improve oral bioavailability of nilotinib. Mol. Pharm. 2020, 17, 3202–3213. [Google Scholar] [CrossRef]
- Andersson, P.; Von Euler, M.; Beckert, M. Comparable pharmacokinetics of 85 mg rightsize nilotinib (xs003) and 150 mg tasigna in healthy volunteers using a hybrid nanoparticle-based formulation platform for protein kinase inhibitors. J. Clin. Oncol. 2014, 32, e13551. [Google Scholar] [CrossRef]
- Herbrink, M.; Schellens, J.H.M.; Beijnen, J.H.; Nuijen, B. Improving the solubility of nilotinib through novel spray-dried solid dispersions. Int. J. Pharm. 2017, 529, 294–302. [Google Scholar] [CrossRef]
- Jesson, G.; Brisander, M.; Andersson, P.; Demirbüker, M.; Derand, H.; Lennernäs, H.; Malmsten, M. Carbon dioxide-mediated generation of hybrid nanoparticles for improved bioavailability of protein kinase inhibitors. Pharm. Res. 2014, 31, 694–705. [Google Scholar] [CrossRef]
- Kaduk, J.A.; Zhong, K.; Gindhart, A.M.; Blanton, T.N. Crystal structure of nilotinib, C28H22F3N7O. Powder Diffr. 2015, 30, 270–277. [Google Scholar] [CrossRef]
- Newman, A.; Engers, D.; Bates, S.; Ivanisevic, I.; Kelly, R.C.; Zografi, G. Characterization of amorphous API:Polymer mixtures using X-ray powder diffraction. J. Pharm. Sci. 2008, 97, 4840–4856. [Google Scholar] [CrossRef]
- Bøtker, J.P.; Karmwar, P.; Strachan, C.J.; Cornett, C.; Tian, F.; Zujovic, Z.; Rantanen, J.; Rades, T. Assessment of crystalline disorder in cryo-milled samples of indomethacin using atomic pair-wise distribution functions. Int. J. Pharm. 2011, 417, 112–119. [Google Scholar] [CrossRef]
- Sheth, A.R.; Bates, S.; Muller, F.X.; Grant, D.J.W. Local structure in amorphous phases of piroxicam from powder X-ray diffractometry. Cryst. Growth Des. 2005, 5, 571–578. [Google Scholar] [CrossRef]
- Shi, X.; Chen, Q.; Deng, Y.; Xing, X.; Wang, C.; Ding, Z.; Su, W. New case of pharmaceutical solid-state forms: Several novel solvates/polymorphs of nilotinib and their phase transformation controls. Cryst. Growth Des. 2022, 22, 4794–4812. [Google Scholar] [CrossRef]
- Shi, X.; Deng, Y.; Wang, Z.; Liu, X.; Chen, Q.; Peng, J.; Xing, X.; Su, W. Two new nilotinib polymorphs with solubility advantages prepared by the melt crystallization process. J. Drug Deliv. Sci. Technol. 2023, 84, 104511. [Google Scholar] [CrossRef]
- Bates, S.; Zografi, G.; Engers, D.; Morris, K.; Crowley, K.; Newman, A. Analysis of amorphous and nanocrystalline solids from their X-ray diffraction patterns. Pharm. Res. 2006, 23, 2333–2349. [Google Scholar] [CrossRef]
- Karolewicz, B.; Górniak, A.; Marciniak, D.M.; Mucha, I. Molecular mobility and stability studies of amorphous imatinib mesylate. Pharmaceutics 2019, 11, 304. [Google Scholar] [CrossRef]
- Han, X.; Dai, K.; Kawakami, K. Influence of nucleation on relaxation, molecular cooperativity, and physical stability of celecoxib glass. Mol. Pharm. 2024, in press. [Google Scholar] [CrossRef]
- Chen, Q.; Ji, Y. Thermodynamic mechanism of physical stability of amorphous pharmaceutical formulations. Ind. Eng. Chem. Res. 2023, 62, 1596–1605. [Google Scholar] [CrossRef]
- Bhujbal, S.V.; Pathak, V.; Zemlyanov, D.Y.; Taylor, L.S.; Zhou, Q. Physical stability and dissolution of lumefantrine amorphous solid dispersions produced by spray anti-solvent precipitation. J. Pharm. Sci. 2021, 110, 2423–2431. [Google Scholar] [CrossRef]
- Rushton, A. Batch Filtration of Solid-Liquid Suspensions; Springer: Dordrecht, The Netherlands, 1997. [Google Scholar]
- Li, Y.; Chen, Y.; Xia, W.; Xie, G. Filtration of kaolinite and coal mixture suspension: Settling behavior and filter cake structure analysis. Powder Technol. 2021, 381, 122–128. [Google Scholar] [CrossRef]
- Patience, D.B.; Dell’Orco, P.C.; Rawlings, J.B. Optimal operation of a seeded pharmaceutical crystallization with growth-dependent dispersion. Org. Process Res. Dev. 2004, 8, 609–615. [Google Scholar] [CrossRef]
- Pan, S.; Liu, Y.; Yang, B.; Fu, Y.; Gao, M.; Guan, R. Effect of stirring speed and temperature on the microstructure and mechanical properties of a356 alloy under vacuum. Vacuum 2023, 212, 112059. [Google Scholar] [CrossRef]
- Mahdi, F.M.; Hunter, T.N.; Holdich, R.G. A study of cake filtration parameters using the constant rate process. Processes 2019, 7, 746. [Google Scholar] [CrossRef]
- Mahdi, F.M.; Shier, A.P.; Fragkopoulos, I.S.; Carr, J.; Gajjar, P.; Muller, F.L. On the breakage of high aspect ratio crystals in filter beds under continuous percolation. Pharm. Res. 2020, 37, 231. [Google Scholar] [CrossRef]
- Kim, K.-J.; Doherty, M.F. Crystallization of selective polymorph using relationship between supersaturation and solubility. AIChE J. 2015, 61, 1372–1379. [Google Scholar] [CrossRef]
- Zhou, D.; Zhang, G.G.Z.; Law, D.; Grant, D.J.W.; Schmitt, E.A. Physical stability of amorphous pharmaceuticals: Importance of configurational thermodynamic quantities and molecular mobility. J. Pharm. Sci. 2002, 91, 1863–1872. [Google Scholar] [CrossRef]
- Juhás, P.; Davis, T.; Farrow, C.; Billinge, S.J.L. Pdfgetx3: A rapid and highly automatable program for processing powder diffraction data into total scattering pair distribution functions. J. Appl. Crystallogr. 2013, 46, 560–566. [Google Scholar] [CrossRef]
- Karmwar, P.; Boetker, J.P.; Graeser, K.A.; Strachan, C.J.; Rantanen, J.; Rades, T. Investigations on the effect of different cooling rates on the stability of amorphous indomethacin. Eur. J. Pharm. Sci. 2011, 44, 341–350. [Google Scholar] [CrossRef]
- Elliott, S.R. Medium-range structural order in covalent amorphous solids. Nature 1991, 354, 445–452. [Google Scholar] [CrossRef]
- Lan, S.; Zhu, L.; Wu, Z.-D.; Gu, L.; Zhang, Q.; Kong, H.; Liu, J.; Song, R.; Liu, S.N.; Sha, G.; et al. A medium-range structure motif linking amorphous and crystalline states. Nat. Mater. 2021, 20, 1347–1352. [Google Scholar] [CrossRef]













Disclaimer/Publisher’s Note: The statements, opinions and data contained in all publications are solely those of the individual author(s) and contributor(s) and not of MDPI and/or the editor(s). MDPI and/or the editor(s) disclaim responsibility for any injury to people or property resulting from any ideas, methods, instructions or products referred to in the content. |
© 2024 by the authors. Licensee MDPI, Basel, Switzerland. This article is an open access article distributed under the terms and conditions of the Creative Commons Attribution (CC BY) license (https://creativecommons.org/licenses/by/4.0/).
Share and Cite
Li, Z.; Liao, X.; Gong, Z.; Zhang, B.; Nawaz, A. An Investigation of the Impact of Precipitation Temperature and Filter Cake Thickness on the Physical Stability of Amorphous Solids: A Case Study. Molecules 2024, 29, 2327. https://doi.org/10.3390/molecules29102327
Li Z, Liao X, Gong Z, Zhang B, Nawaz A. An Investigation of the Impact of Precipitation Temperature and Filter Cake Thickness on the Physical Stability of Amorphous Solids: A Case Study. Molecules. 2024; 29(10):2327. https://doi.org/10.3390/molecules29102327
Chicago/Turabian StyleLi, Zunhua, Xu Liao, Zicheng Gong, Bowen Zhang, and Asad Nawaz. 2024. "An Investigation of the Impact of Precipitation Temperature and Filter Cake Thickness on the Physical Stability of Amorphous Solids: A Case Study" Molecules 29, no. 10: 2327. https://doi.org/10.3390/molecules29102327
APA StyleLi, Z., Liao, X., Gong, Z., Zhang, B., & Nawaz, A. (2024). An Investigation of the Impact of Precipitation Temperature and Filter Cake Thickness on the Physical Stability of Amorphous Solids: A Case Study. Molecules, 29(10), 2327. https://doi.org/10.3390/molecules29102327
