Diffusiophoresis of a Weakly Charged Liquid Metal Droplet
Abstract
1. Introduction
2. Theory
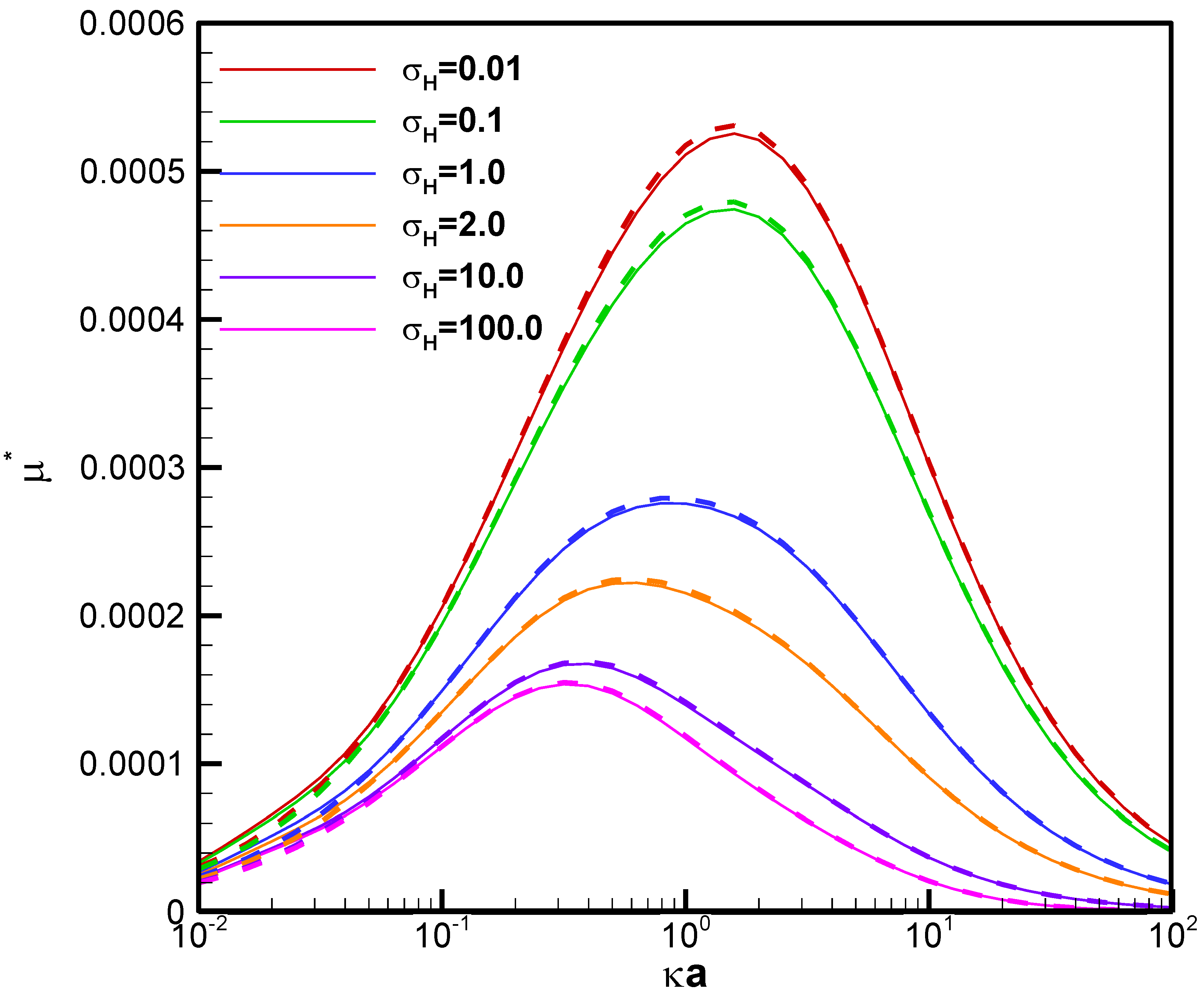
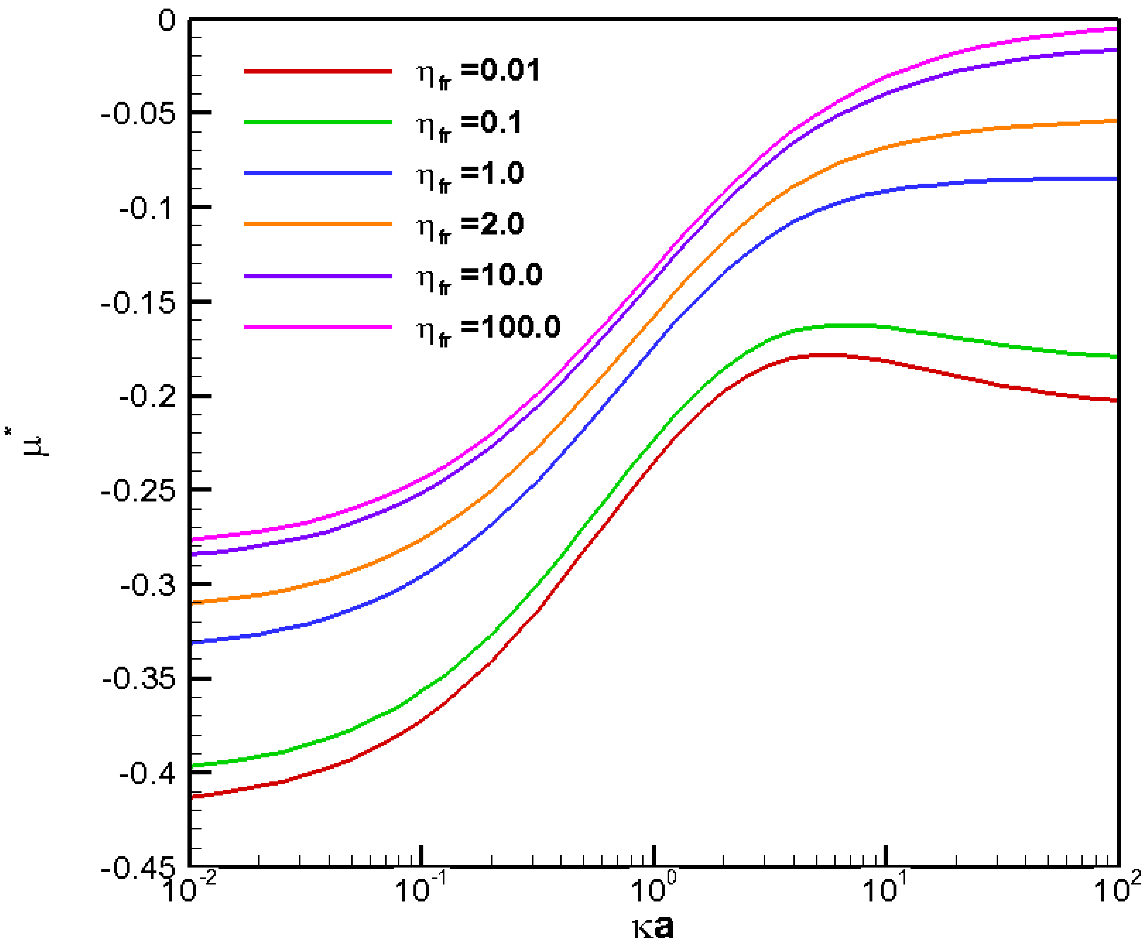
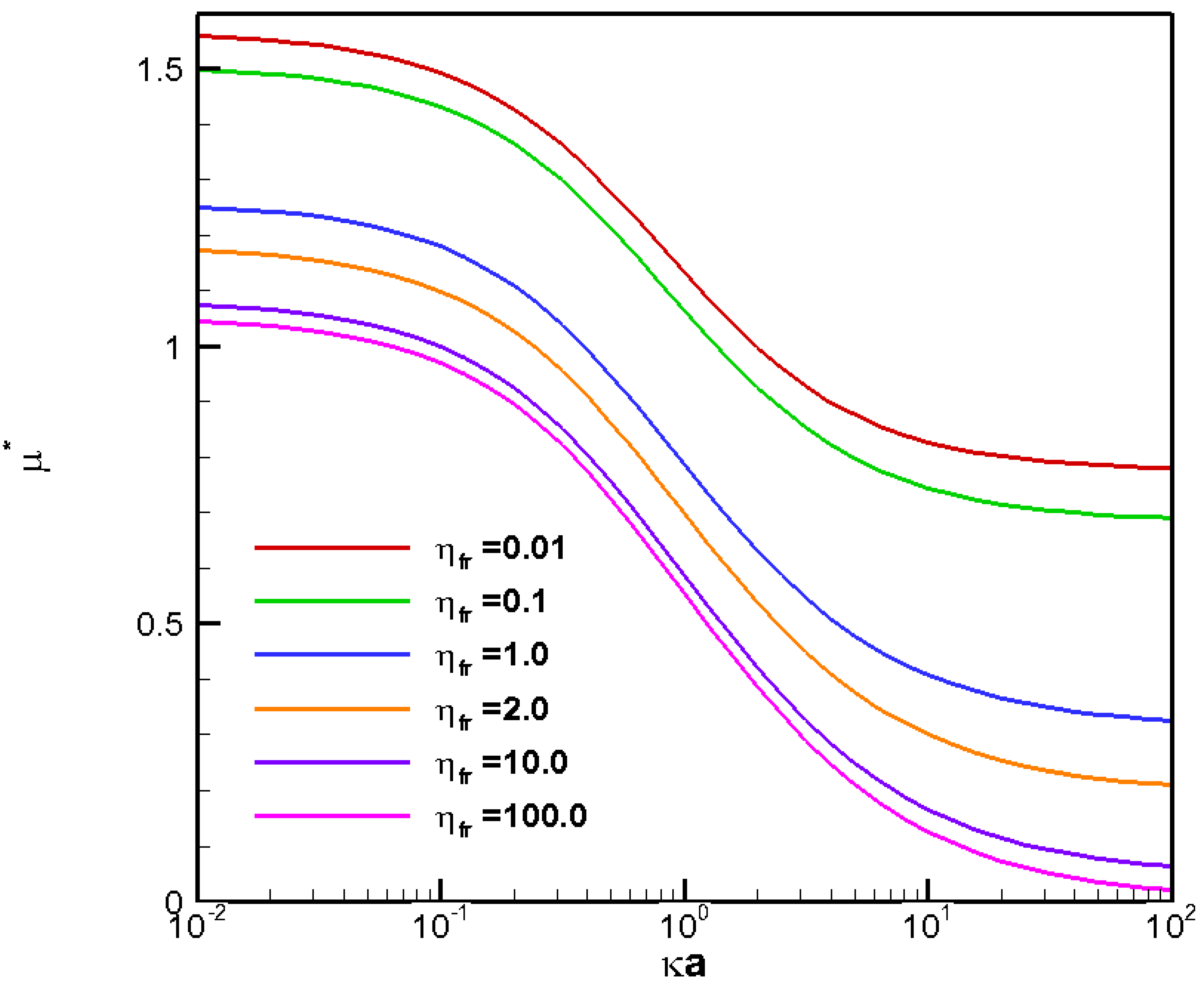
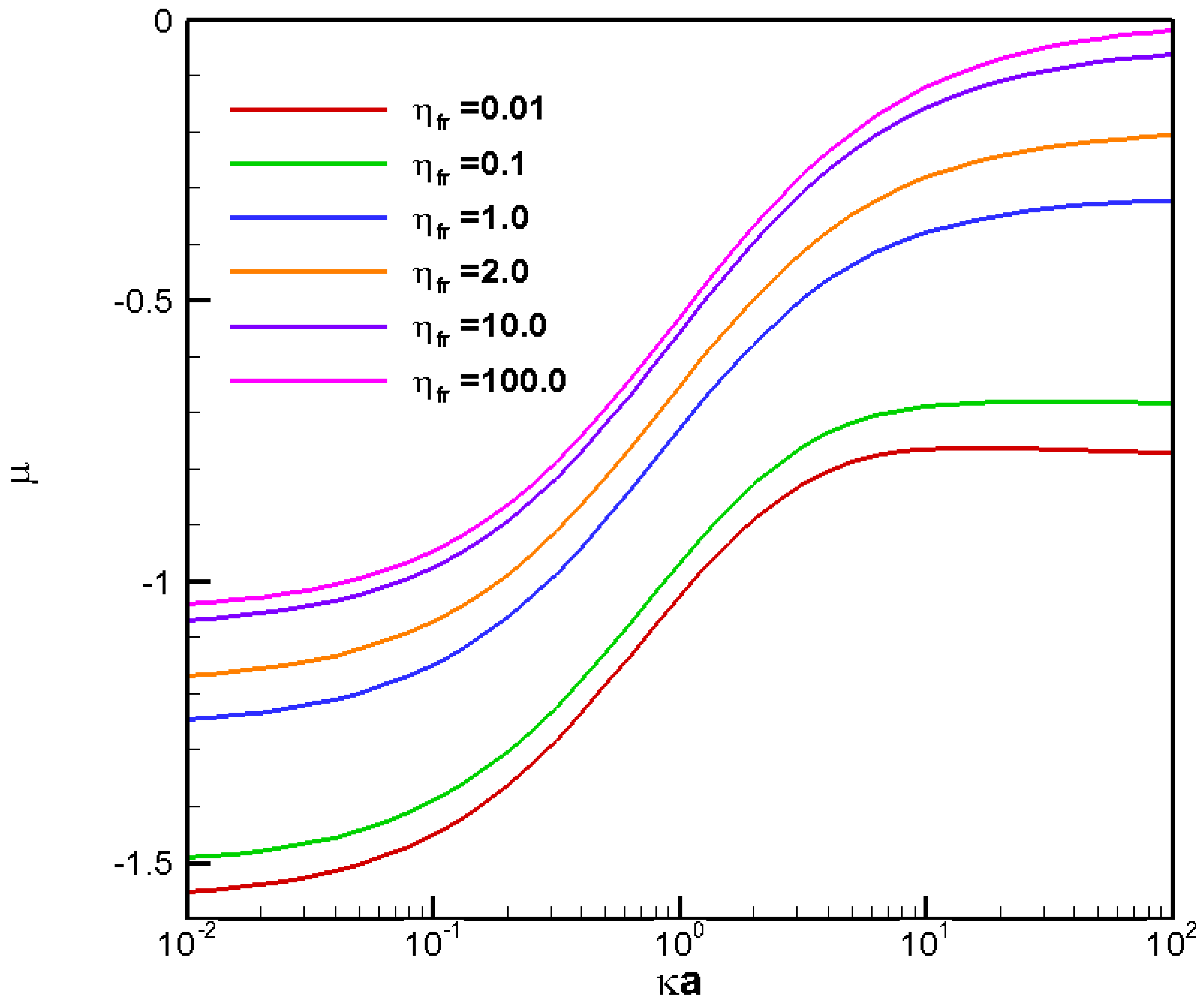
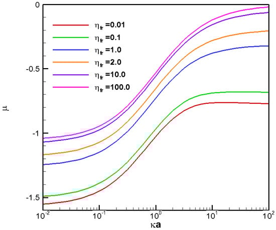
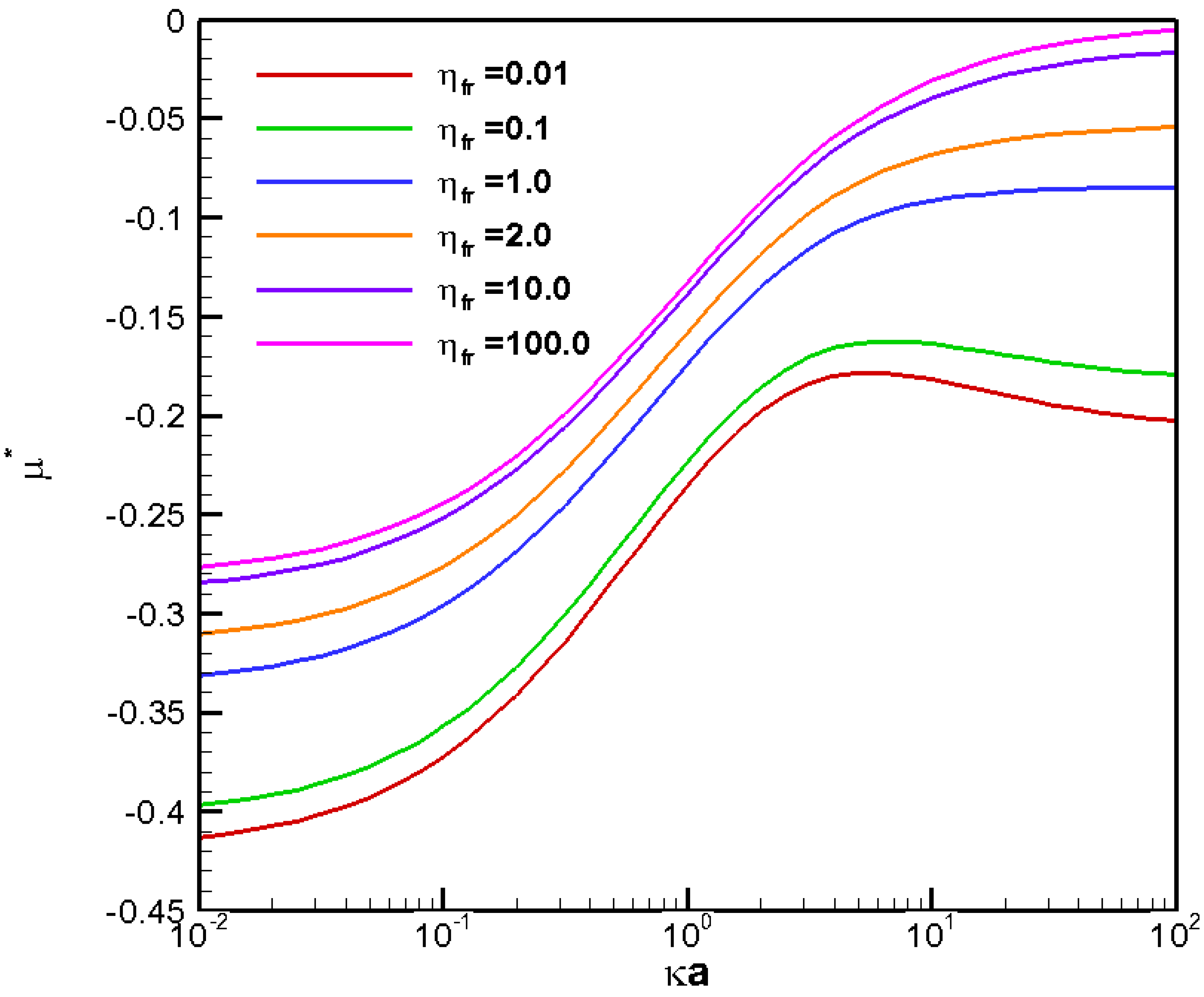
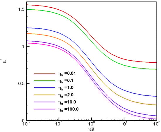
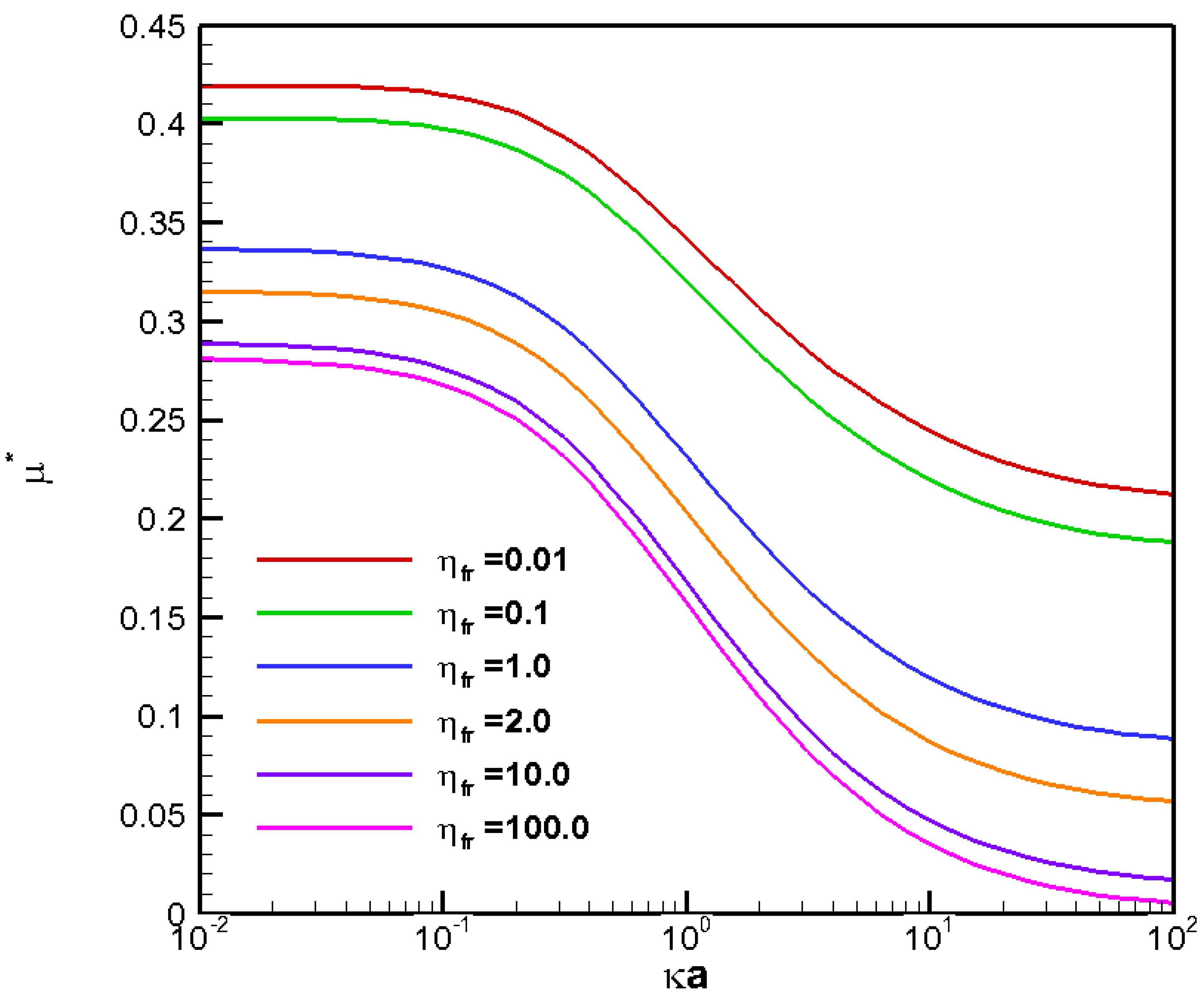
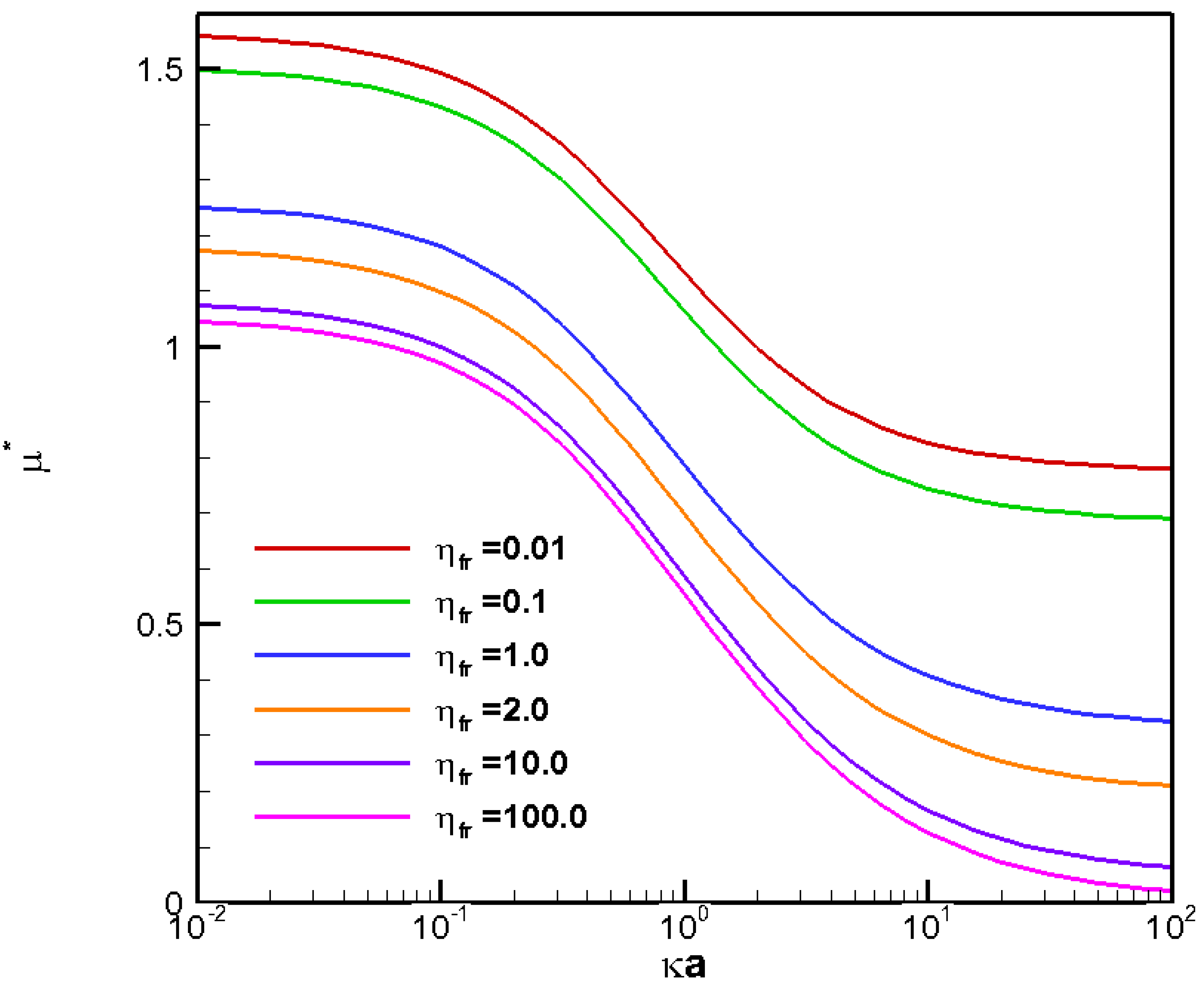
3. Results and Discussion
4. Conclusions
- (1)
- Similar to a highly charged conducting droplet in general, a weakly charged conducting LMD always moves up along the chemical gradient to the region of higher solutes in chemiphoresis, contrary to a dielectric droplet where the droplet tends to move down the chemical gradient most of the time. The presence or absence of the motion-deterring electric Maxwell traction down the chemical gradient is determined to be responsible for this fundamental difference in droplet moving direction. In particular, this means a conducting LMD is inherently superior to a dielectric droplet in drug delivery if self-guiding of the droplet toward the injured or infected locations in the human body by diffusiophoresis is of major concern, as these locations often release specific chemicals in their neighborhood.
- (2)
- The sign of the charges carried by a conducting LMD is crucial in determining its ultimate moving direction in the presence of the diffusion potential via the electrophoresis component. A positively charged LMD tends to move in the opposite direction of a negatively charged one. This provides the maneuverability needed in the highly desirable self-guiding merit in diffusiophoresis. This is made possible by the appropriate choice of the electrolyte solution and the polarity of the droplet surface accordingly, if such a choice is allowed or possible.
- (3)
- With the involvement of the extra electrophoresis component, the migration speed of a conducting LMD is enhanced significantly in general, indicating the dominance of the electrophoresis component over chemiphoresis component here for a conducting LMD.
- (4)
- The less viscous a conducting liquid metal droplet is, the faster it moves in general. Moreover, the smaller an LMD is, the faster it moves. This means a smaller LMD is preferable in drug delivery, as the migration speed of the LMD is enhanced this way.
Author Contributions
Funding
Institutional Review Board Statement
Informed Consent Statement
Data Availability Statement
Acknowledgments
Conflicts of Interest
Sample Availability
Abbreviations
| List of Symbols | |
| a | radius of the soft particle (m) |
| C | concentration of total electrolytes (1/m3) |
| Dj | diffusivity of ionic species j (m2/s) |
| D1 | diffusivity of cation in binary electrolyte solution (m2/s) |
| D2 | diffusivity of anion in binary electrolyte solution (m2/s) |
| e | elementary charge of an electron (1.6 × 10−19 coul) |
| Fd | magnitude of the hydrodynamic drag force exerted on the droplet (Nt) |
| Fe | magnitude of the electric force exerted on the droplet (Nt) |
| fj | molar flux of ionic species j (mole/m2/s) |
| one-dimensional shape function representing the extra non-concentric concentration perturbation of ionic species j (volt) | |
| gj | shape function representing the extra non-concentric concentration perturbation of ionic species j (volt) |
| kB | Boltzmann constant (1.38 × 10−23 joul/K) |
| nj | number density of ionic species j (1/m3) |
| n10 | bulk concentration of cations (1/m3) |
| n20 | bulk concentration of anions (1/m3) |
| Pej | Peclet number of ionic species j (Pej = U0a/Dj) representing the reciprocal of its diffusivity in a dimensionless form |
| p | pressure (Nt/m2) |
| r | r-coordinate in spherical coordinates (r, θ, φ) |
| dimensionless r-coordinate in spherical coordinates, defined as r/a | |
| U | diffusiophoretic velocity of the droplet under consideration |
| U0 | characteristic velocity in diffusiophoretic motion defined as |
| U* | dimensionless diffusiophoretic velocity of the droplet in [42] defined as following the definitions of symbols here |
| v | velocity vector |
| zj | charge valence of ion species j |
| β | dimensionless diffusivity difference between the cations and the anions in symmetric binary electrolyte solutions defined as |
| δnj | perturbation of the number density |
| δρ | perturbation of the space charge density |
| one-dimensional perturbation of the electric potential | |
| δϕ | perturbation of the electric potential |
| ε | electric permittivity (coul/volt/m) |
| η | viscosity of the fluid (kg/m/s) |
| ηD | viscosity of the conducting droplet interior fluid (kg/m/s) |
| viscosity ratio defined as / | |
| ηm | viscosity of the ambient solution (kg/m/s) |
| θ | θ-coordinate in spherical coordinates (r, θ, φ) |
| κ | Debye length defined as |
| μ | diffusiophoretic mobility of the particle defined as |
| μ* | dimensionless diffusiophoretic mobility of the particle defined as μ* = |
| ρ | space charge density (coul/m3) |
| ρfix | uniform charge density in the outer porous layer of the soft particle (coul/m3) |
| σ | surface charge density (coul/m2) |
| σ* | dimensionless surface charge density defined as |
| Φ | one-dimensional version of the electric potential distribution (volt) |
| φ | φ-coordinate in spherical coordinates (r, θ, φ) |
| one-dimensional version of the stream function | |
| stream function | |
| ϕ | electric potential (volt) |
| ϕ0 | thermal potential in a binary electrolyte solution (ϕ0 = kT/z1e) |
| dimensionless surface potential of the particle (ϕr = ϕ/ϕ0) | |
| Operators | |
| An | |
| C | |
| E2 | operator defined as E2 = in spherical coordinates (r, θ, φ) |
| E4 | E4 = E2·E2 |
| one-dimensional E2 | |
| N | |
| Wn | |
| gradient operator | |
| Laplacian operator | |
| divergence operator | |
| r-directional Laplacian operator | |
| one-dimensional Laplacian operator | |
| Superscripts | |
| * | dimensionless variable |
| Subscripts | |
| 1 | cation |
| 2 | anion |
| D | the contributions from the chemiphoresis component |
| DL | the contributions from a “Droplet” |
| E | the contributions from the electrophoresis component |
| e | equilibrium state |
| HS | the contributions from a “Hard Sphere” |
| j | jth ionic species |
References
- Wilson, J.L.; Shim, S.; Yu, Y.E.; Gupta, A.; Stone, H.A. Diffusiophoresis in multivalent electrolytes. Langmuir 2020, 36, 7014–7020. [Google Scholar] [CrossRef] [PubMed]
- Nery-Azevedo, R.; Banerjee, A.; Squires, T.M. Diffusiophoresis in ionic surfactant gradients. Langmuir 2017, 33, 9694–9702. [Google Scholar] [CrossRef] [PubMed]
- Lechlitner, L.R.; Annunziata, O. Macromolecule diffusiophoresis induced by concentration gradients of aqueous osmolytes. Langmuir 2018, 34, 9525–9531. [Google Scholar] [CrossRef] [PubMed]
- Yadav, V.; Freedman, J.D.; Grinstaff, M.; Sen, A. Bone-Crack Detection, Targeting, and Repair Using Ion Gradients. Angew. Chem. Int. Ed. 2013, 52, 10997–11001. [Google Scholar] [CrossRef]
- Fahim, A.; Annunziata, O. Amplification of salt-induced protein diffusiophoresis by varying salt from potassium to sodium to magnesium chloride in water. Langmuir 2020, 36, 2635–2643. [Google Scholar] [CrossRef] [PubMed]
- Bishop, K.J.; Drews, A.M.; Cartier, C.A.; Pandey, S.; Dou, Y. Contact charge electrophoresis: Fundamentals and microfluidic applications. Langmuir 2018, 34, 6315–6327. [Google Scholar] [CrossRef] [PubMed]
- Arends, G.F.; You, J.B.; Shaw, J.M.; Zhang, X. Enhanced displacement of phase separating liquid mixtures in 2D confined spaces. Energy Fuels 2021, 35, 5194–5205. [Google Scholar] [CrossRef]
- Díez, P.; Lucena-Sánchez, E.; Escudero, A.; Llopis-Lorente, A.; Villalonga, R.; Martínez-Máñez, R. Ultrafast Directional Janus Pt–Mesoporous Silica Nanomotors for Smart Drug Delivery. ACS Nano 2021, 15, 4467–4480. [Google Scholar] [CrossRef]
- Ramm, B.; Goychuk, A.; Khmelinskaia, A.; Blumhardt, P.; Eto, H.; Ganzinger, K.A.; Frey, E.; Schwille, P. A diffusiophoretic mechanism for ATP-driven transport without motor proteins. Nat. Phys. 2021, 17, 850–858. [Google Scholar] [CrossRef]
- Shimokusu, T.J.; Maybruck, V.G.; Ault, J.T.; Shin, S. Colloid separation by CO2-induced diffusiophoresis. Langmuir 2019, 36, 7032–7038. [Google Scholar] [CrossRef]
- Shin, S. Diffusiophoretic separation of colloids in microfluidic flows. Phys. Fluids 2020, 32, 101302. [Google Scholar] [CrossRef]
- Shin, S.; Shardt, O.; Warren, P.B.; Stone, H.A. Membraneless water filtration using CO2. Nat. Commun. 2017, 8, 15181. [Google Scholar] [CrossRef] [PubMed]
- Shim, S.; Khodaparast, S.; Lai, C.-Y.; Yan, J.; Ault, J.T.; Rallabandi, B.; Shardt, O.; Stone, H.A. CO2-driven diffusiophoresis for maintaining a bacteria-free surface. Soft Matter 2021, 17, 2568–2576. [Google Scholar] [CrossRef] [PubMed]
- Miyamoto, S.; Shimono, K. Molecular modeling to estimate the diffusion coefficients of drugs and other small molecules. Molecules 2020, 25, 5340. [Google Scholar] [CrossRef]
- Zhang, C.; Dai, H.; Lu, P.; Wu, L.; Zhou, B.; Yu, C. Molecular dynamics simulation of distribution and diffusion behaviour of oil–water interfaces. Molecules 2019, 24, 1905. [Google Scholar] [CrossRef]
- Sarheed, O.; Dibi, M.; Ramesh, K.V.; Drechsler, M. Fabrication of alginate-based O/W nanoemulsions for transdermal drug delivery of lidocaine: Influence of the oil phase and surfactant. Molecules 2021, 26, 2556. [Google Scholar] [CrossRef] [PubMed]
- Park, S.W.; Lee, J.; Yoon, H.; Shin, S. Microfluidic Investigation of Salinity-Induced Oil Recovery in Porous Media during Chemical Flooding. Energy Fuels 2021, 35, 4885–4892. [Google Scholar] [CrossRef]
- Archer, J.; Walker, J.S.; Gregson, F.K.; Hardy, D.A.; Reid, J.P. Drying kinetics and particle formation from dilute colloidal suspensions in aerosol droplets. Langmuir 2020, 36, 12481–12493. [Google Scholar] [CrossRef]
- Pal, N.; Kumar, N.; Mandal, A. Stabilization of dispersed oil droplets in nanoemulsions by synergistic effects of the gemini surfactant, PHPA polymer, and silica nanoparticle. Langmuir 2019, 35, 2655–2667. [Google Scholar] [CrossRef]
- Uematsu, Y.; Ohshima, H. Electrophoretic Mobility of a Water-in-Oil Droplet Separately Affected by the Net Charge and Surface Charge Density. Langmuir 2022, 38, 4213–4221. [Google Scholar] [CrossRef]
- Sahraeian, T.; Kulyk, D.S.; Badu-Tawiah, A.K. Droplet imbibition enables nonequilibrium interfacial reactions in charged microdroplets. Langmuir 2019, 35, 14451–14457. [Google Scholar] [CrossRef] [PubMed]
- Liu, J.; Guo, X.; Xu, Y.; Wu, X. Spreading of oil droplets containing surfactants and pesticides on water surface based on the marangoni effect. Molecules 2021, 26, 1408. [Google Scholar] [CrossRef] [PubMed]
- Schnitzer, O.; Frankel, I.; Yariv, E. Electrokinetic flows about conducting drops. J. Fluid Mech. 2013, 722, 394–423. [Google Scholar] [CrossRef]
- Lin, Y.; Genzer, J.; Dickey, M.D. Attributes, Fabrication, and Applications of Gallium-Based Liquid Metal Particles. Adv. Sci. 2020, 7, 2000192. [Google Scholar] [CrossRef] [PubMed]
- Lu, Y.; Hu, Q.; Lin, Y.; Pacardo, D.B.; Wang, C.; Sun, W.; Ligler, F.S.; Dickey, M.D.; Gu, Z. Transformable liquid-metal nanomedicine. Nat. Commun. 2015, 6, 10066. [Google Scholar] [CrossRef] [PubMed]
- Xie, W.; Allioux, F.-M.; Ou, J.Z.; Miyako, E.; Tang, S.-Y.; Kalantar-Zadeh, K. Gallium-based liquid metal particles for therapeutics. Trends Biotechnol. 2021, 39, 624–640. [Google Scholar] [CrossRef]
- Ye, J.; Tan, S.-C.; Wang, L.; Liu, J. A new hydrodynamic interpretation of liquid metal droplet motion induced by an electrocapillary phenomenon. Soft Matter 2021, 17, 7835–7843. [Google Scholar] [CrossRef]
- Doan, V.S.; Chun, S.; Feng, J.; Shin, S. Confinement-Dependent Diffusiophoretic Transport of Nanoparticles in Collagen Hydrogels. Nano Lett. 2021, 21, 7625–7630. [Google Scholar] [CrossRef]
- Ohshima, H. Theory of Colloid and Interfacial Electric Phenomena; Elsevier: Amsterdam, The Netherlands, 2006. [Google Scholar]
- Fan, L.; Lee, E. Diffusiophoresis of a highly charged conducting fluid droplet. Phys. Fluids 2022, 34, 062013. [Google Scholar] [CrossRef]
- Shin, S.; Doan, V.S.; Feng, J. Osmotic delivery and release of lipid-encapsulated molecules via sequential solution exchange. Phys. Rev. Appl. 2019, 12, 024014. [Google Scholar] [CrossRef]
- Wu, Y.; Jian, E.; Fan, L.; Tseng, J.; Wan, R.; Lee, E. Diffusiophoresis of a highly charged dielectric fluid droplet. Phys. Fluids 2021, 33, 122005. [Google Scholar] [CrossRef]
- Fan, L.; Wu, Y.; Jian, E.; Tseng, J.; Wan, R.; Tseng, A.; Lin, J.; Lee, E. Diffusiophoresis of a highly charged dielectric fluid droplet induced by diffusion potential. Phys. Fluids 2022, 34, 042003. [Google Scholar] [CrossRef]
- Lee, Y.-F.; Chang, W.-C.; Wu, Y.; Fan, L.; Lee, E. Diffusiophoresis of a highly charged soft particle in electrolyte solutions. Langmuir 2021, 37, 1480–1492. [Google Scholar] [CrossRef] [PubMed]
- Wu, Y.; Chang, W.-C.; Fan, L.; Jian, E.; Tseng, J.; Lee, E. Diffusiophoresis of a highly charged soft particle in electrolyte solutions induced by diffusion potential. Phys. Fluids 2021, 33, 012014. [Google Scholar] [CrossRef]
- Wu, Y.; Lee, E. Diffusiophoresis of a highly charged soft particle normal to a conducting plane. Electrophoresis 2021, 42, 2383–2390. [Google Scholar] [CrossRef]
- Huckel, E. The electrophoresis of spherical colloid. Phys. Zeit. 1924, 25, 204–210. [Google Scholar]
- Deryagin, B.; Dukhin, S.; Korotkova, A. Diffusiophoresis in electrolyte solutions and and its role in mechanism of film formation from rubber latexes by method of ionic deposition. Kolloidn. Zhurnal 1961, 23, 53. [Google Scholar]
- Lee, E. Theory of Electrophoresis and Diffusiophoresis of Highly Charged Colloidal Particles; Academic Press: Cambridge, MA, USA, 2018. [Google Scholar]
- Ohshima, H.; Healy, T.W.; White, L.R. Electrokinetic phenomena in a dilute suspension of charged mercury drops. J. Chem. Soc. Faraday Trans. 2 Mol. Chem. Phys. 1984, 80, 1643–1667. [Google Scholar] [CrossRef]
- Tsai, M.Y.; Wu, Y.; Fan, L.; Jian, E.; Lin, J.; Tseng, J.; Tseng, A.; Wan, R.; Lee, E. Analytical solution to dielectric droplet diffusiophoresis under Debye–Hückel approximation. Electrophoresis 2021, 43, 495–500. [Google Scholar] [CrossRef]
- Ohshima, H. Diffusiophoresis of a mercury drop. Colloid Polym. Sci. 2022, 300, 583–586. [Google Scholar] [CrossRef]
- Ohshima, H. Relaxation effect on the diffusiophoretic mobility of a mercury drop. Colloid Polym. Sci. 2022, 300, 593–597. [Google Scholar] [CrossRef]
- Hunter, R.J. Foundations of Colloid Science; Oxford University Press: Oxford, UK, 2001. [Google Scholar]
- O’Brien, R.W.; White, L.R. Electrophoretic mobility of a spherical colloidal particle. J. Chem. Soc. Faraday Trans. 2 Mol. Chem. Phys. 1978, 74, 1607–1626. [Google Scholar] [CrossRef]
- Wu, Y.; Fan, L.; Jian, E.; Lee, E. Electrophoresis of a highly charged dielectric fluid droplet in electrolyte solutions. J. Colloid Interface Sci. 2021, 598, 358–368. [Google Scholar] [CrossRef] [PubMed]
- Booth, F. The cataphoresis of spherical fluid droplets in electrolytes. J. Chem. Phys. 1951, 19, 1331–1336. [Google Scholar] [CrossRef]
- Happel, J.; Brenner, H. Low Reynolds Number Hydrodynamics: With Special Applications to Particulate Media; Springer Science & Business Media: Berlin, Germany, 2012; Volume 1. [Google Scholar]
- Prieve, D.; Anderson, J.; Ebel, J.; Lowell, M. Motion of a particle generated by chemical gradients. Part 2. Electrolytes. J. Fluid Mech. 1984, 148, 247–269. [Google Scholar] [CrossRef]
- Zhao, Z.; Cui, L.; Guo, Y.; Gao, J.; Li, H.; Cheng, F. A stepwise separation process for selective recovery of gallium from hydrochloric acid leach liquor of coal fly ash. Sep. Purif. Technol. 2021, 265, 118455. [Google Scholar] [CrossRef]
- Cole, T.; Tang, S.-Y. Liquid metals as soft electromechanical actuators. Mater. Adv. 2022, 3, 173–185. [Google Scholar] [CrossRef]







Disclaimer/Publisher’s Note: The statements, opinions and data contained in all publications are solely those of the individual author(s) and contributor(s) and not of MDPI and/or the editor(s). MDPI and/or the editor(s) disclaim responsibility for any injury to people or property resulting from any ideas, methods, instructions or products referred to in the content. |
© 2023 by the authors. Licensee MDPI, Basel, Switzerland. This article is an open access article distributed under the terms and conditions of the Creative Commons Attribution (CC BY) license (https://creativecommons.org/licenses/by/4.0/).
Share and Cite
Fan, L.; Lin, J.; Yu, A.; Chang, K.; Tseng, J.; Su, J.; Chang, A.; Lu, S.; Lee, E. Diffusiophoresis of a Weakly Charged Liquid Metal Droplet. Molecules 2023, 28, 3905. https://doi.org/10.3390/molecules28093905
Fan L, Lin J, Yu A, Chang K, Tseng J, Su J, Chang A, Lu S, Lee E. Diffusiophoresis of a Weakly Charged Liquid Metal Droplet. Molecules. 2023; 28(9):3905. https://doi.org/10.3390/molecules28093905
Chicago/Turabian StyleFan, Leia, Jason Lin, Annie Yu, Kevin Chang, Jessica Tseng, Judy Su, Amy Chang, Shirley Lu, and Eric Lee. 2023. "Diffusiophoresis of a Weakly Charged Liquid Metal Droplet" Molecules 28, no. 9: 3905. https://doi.org/10.3390/molecules28093905
APA StyleFan, L., Lin, J., Yu, A., Chang, K., Tseng, J., Su, J., Chang, A., Lu, S., & Lee, E. (2023). Diffusiophoresis of a Weakly Charged Liquid Metal Droplet. Molecules, 28(9), 3905. https://doi.org/10.3390/molecules28093905

