Synthesis, Antioxidant, and Antifungal Activities of β-Ionone Thiazolylhydrazone Derivatives and Their Application in Anti-Browning of Freshly Cut Potato
Abstract
:1. Introduction
2. Results and Discussion
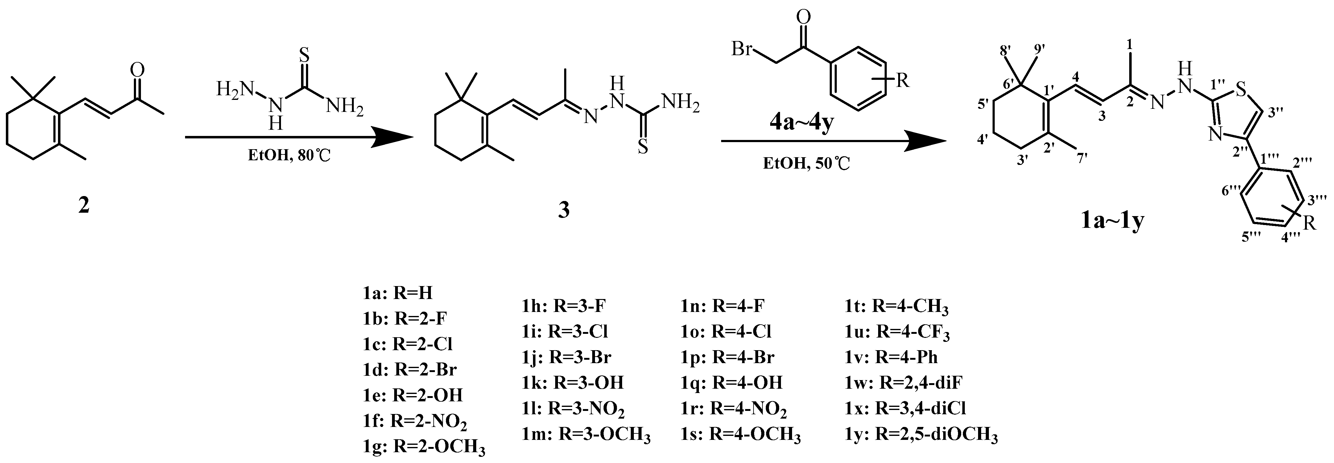
2.1. Synthesis and Characterization
2.2. Antioxidant Activity
2.3. Anti-Browning Effect on Fresh-Cut Potatoes
2.4. Antifungal Activity
3. Experimental
3.1. Materials and Methods
3.2. Synthesis
3.2.1. (E)-2-((E)-4-(2,6,6-Trimethylcyclohex-1-en-1-yl)but-3-en-2-ylidene)hydrazine-1-carbothioamide (3)
3.2.2. β-Ionone Thiazole Hydrazone Derivatives (1a~1y)
3.3. Antioxidant Activity
3.3.1. DPPH Assay
3.3.2. ABTS Assay
3.4. Anti-Browning Effect on Fresh-Cut Potatoes
3.5. Antifungal Activity
4. Conclusions
Supplementary Materials
Author Contributions
Funding
Informed Consent Statement
Data Availability Statement
Conflicts of Interest
Sample Availability
References
- Sun, X.; Wang, J.; Dong, M.; Zhang, H.; Li, L.; Wang, L. Food spoilage, bioactive food fresh-keeping films and functional edible coatings: Research status, existing problems and development trend. Trends Food Sci. Technol. 2022, 119, 122–132. [Google Scholar] [CrossRef]
- Harasym, J.; Oledzki, R. Effect of fruit and vegetable antioxidants on total antioxidant capacity of blood plasma. Nutrition 2014, 30, 511–517. [Google Scholar] [CrossRef] [PubMed]
- Singh, B.; Suri, K.; Shevkani, K.; Kaur, A.; Kaur, A.; Singh, N. Enzymatic browning of fruit and vegetables: A review. Enzym. Food Technol. Improv. Innov. 2018, 63–78. [Google Scholar] [CrossRef]
- Yang, J.; Mu, W.-W.; Cao, Y.-X.; Liu, G.-Y. Synthesis and biological evaluation of β-ionone oriented proapoptosis agents by enhancing the ROS generation. Bioorganic Chem. 2020, 104, 104273. [Google Scholar] [CrossRef]
- Hu, L.; Du, M.; Zhang, J.; Wang, Y. Chemistry of the main component of essential oil of Litsea cubeba and its derivatives. Open J. For. 2014, 4, 457. [Google Scholar]
- Paparella, A.; Shaltiel-Harpaza, L.; Ibdah, M. β-Ionone: Its occurrence and biological function and metabolic engineering. Plants 2021, 10, 754. [Google Scholar] [CrossRef]
- Grabarczyk, M.; Wińska, K.; Mączka, W.; Żarowska, B.; Maciejewska, G.; Dancewicz, K.; Gabryś, B.; Anioł, M. Synthesis, biotransformation and biological activity of halolactones obtained from β-ionone. Tetrahedron 2016, 72, 637–644. [Google Scholar] [CrossRef]
- Adole, V.A.; More, R.A.; Jagdale, B.S.; Pawar, T.B.; Chobe, S.S. Efficient Synthesis, Antibacterial, Antifungal, Antioxidant and Cytotoxicity Study of 2-(2-Hydrazineyl)thiazole Derivatives. ChemistrySelect 2020, 5, 2778–2786. [Google Scholar] [CrossRef]
- Ayati, A.; Emami, S.; Asadipour, A.; Shafiee, A.; Foroumadi, A. Recent applications of 1, 3-thiazole core structure in the identification of new lead compounds and drug discovery. Eur. J. Med. Chem. 2015, 97, 699–718. [Google Scholar] [CrossRef]
- Al-Omair, M.A.; Sayed, A.R.; Youssef, M.M. Synthesis and Biological Evaluation of Bisthiazoles and Polythiazoles. Molecules 2018, 23, 1133. [Google Scholar] [CrossRef]
- Mohammad, H.; Reddy, P.N.; Monteleone, D.; Mayhoub, A.S.; Cushman, M.; Hammac, G.K.; Seleem, M.N. Antibacterial characterization of novel synthetic thiazole compounds against methicillin-resistant Staphylococcus pseudintermedius. PLoS ONE 2015, 10, e0130385. [Google Scholar] [CrossRef]
- Kumar, S.; Saini, V.; Maurya, I.K.; Sindhu, J.; Kumari, M.; Kataria, R.; Kumar, V. Design, synthesis, DFT, docking studies and ADME prediction of some new coumarinyl linked pyrazolylthiazoles: Potential standalone or adjuvant antimicrobial agents. PLoS ONE 2018, 13, e0196016. [Google Scholar] [CrossRef] [PubMed]
- Petrou, A.; Fesatidou, M.; Geronikaki, A. Thiazole Ring-A Biologically Active Scaffold. Molecules 2021, 26, 3166. [Google Scholar] [CrossRef] [PubMed]
- Makam, P.; Thakur, P.K.; Kannan, T. In vitro and in silico antimalarial activity of 2-(2-hydrazinyl) thiazole derivatives. Eur. J. Pharm. Sci. 2014, 52, 138–145. [Google Scholar] [CrossRef] [PubMed]
- Jain, S.; Pattnaik, S.; Pathak, K.; Kumar, S.; Pathak, D.; Jain, S.; Vaidya, A. Anticancer potential of thiazole derivatives: A retrospective review. Mini Rev. Med. Chem. 2018, 18, 640–655. [Google Scholar] [CrossRef] [PubMed]
- Łączkowski, K.Z.; Konklewska, N.; Biernasiuk, A.; Malm, A.; Sałat, K.; Furgała, A.; Dzitko, K.; Bekier, A.; Baranowska-Łączkowska, A.; Paneth, A. Thiazoles with cyclopropyl fragment as antifungal, anticonvulsant, and anti-Toxoplasma gondii agents: Synthesis, toxicity evaluation, and molecular docking study. Med. Chem. Res. 2018, 27, 2125–2140. [Google Scholar] [CrossRef]
- Kauthale, S.; Tekale, S.; Damale, M.; Sangshetti, J.; Pawar, R. Synthesis, antioxidant, antifungal, molecular docking and ADMET studies of some thiazolyl hydrazones. Bioorganic Med. Chem. Lett. 2017, 27, 3891–3896. [Google Scholar] [CrossRef]
- Djafarou, S.; Mermer, A.; Barut, B.; Yılmaz, G.T.; Amine Khodja, I.; Boulebd, H. Synthesis and evaluation of the antioxidant and anti-tyrosinase activities of thiazolyl hydrazone derivatives and their application in the anti-browning of fresh-cut potato. Food Chem. 2023, 414, 135745. [Google Scholar] [CrossRef]
- Lee, S.K.; Mbwambo, Z.; Chung, H.; Luyengi, L.; Gamez, E.; Mehta, R.; Kinghorn, A.; Pezzuto, J. Evaluation of the antioxidant potential of natural products. Comb. Chem. High Throughput Screen. 1998, 1, 35–46. [Google Scholar] [CrossRef]
- Li, X.; Huang, J.; Wang, Z.; Jiang, X.; Yu, W.; Zheng, Y.; Li, Q.; He, N. Alkaline extraction and acid precipitation of phenolic compounds from longan (Dimocarpus longan L.) seeds. Sep. Purif. Technol. 2014, 124, 201–206. [Google Scholar] [CrossRef]
- Adelakun, O.E.; Kudanga, T.; Parker, A.; Green, I.R.; le Roes-Hill, M.; Burton, S.G. Laccase-catalyzed dimerization of ferulic acid amplifies antioxidant activity. J. Mol. Catal. B Enzym. 2012, 74, 29–35. [Google Scholar] [CrossRef]
- Borcea, A.M.; Ionut, I.; Crisan, O.; Oniga, O. An Overview of the Synthesis and Antimicrobial, Antiprotozoal, and Antitumor Activity of Thiazole and Bisthiazole Derivatives. Molecules 2021, 26, 624. [Google Scholar] [CrossRef]
- Duan, X.; Zhang, L.; Si, H.; Song, J.; Wang, P.; Chen, S.; Luo, H.; Rao, X.; Wang, Z.; Liao, S. Synthesis, Antifungal Activity, Cytotoxicity and QSAR Study of Camphor Derivatives. J. Fungi 2022, 8, 762. [Google Scholar] [CrossRef] [PubMed]
- Giri, L.; Belwal, T.; Bahukhandi, A.; Suyal, R.; Bhatt, I.D.; Rawal, R.S.; Nandi, S.K. Oxidative DNA damage protective activity and antioxidant potential of Ashtvarga species growing in the Indian Himalayan Region. Ind. Crops Prod. 2017, 102, 173–179. [Google Scholar] [CrossRef]
- Jianqing, Z.; Bo, L.; Qi, J.; Yiming, L.; Weiliang, Z.; Kaixian, C. Advances in the structure-activity relationship study of natural flavonoids and its derivatives. Acta Pharm. Sin. 2011, 46, 622–630. [Google Scholar] [CrossRef]
- Zhang, Q.; Wang, Y.; Zhao, Y.; Ma, C.; Xu, X.; Gu, W.; Yang, Y.; Wang, S. Design, Synthesis and Antioxidant Application of Camphorsulfonic Acid Thiazolylhydrazone Derivatives. Chin. J. Org. Chem. 2019, 39, 2616–2624. [Google Scholar] [CrossRef]
- Wang, Q.Q.; Zhang, S.G.; Jiao, J.; Dai, P.; Zhang, W.H. Novel Fluorinated 7-Hydroxycoumarin Derivatives Containing an Oxime Ether Moiety: Design, Synthesis, Crystal Structure and Biological Evaluation. Molecules 2021, 26, 372. [Google Scholar] [CrossRef]
- Jayprakash, R.C.; Vinit, R.; Jin-Hyung, L.; Jintae, L. Antifungal activities of fluoroindoles against the postharvest pathogen Botrytis cinerea: In vitro and in silico approaches. Int. J. Food Microbiol. 2022, 362, 109492. [Google Scholar]
- Chen, A.P.-C.; Chen, Y.-H.; Liu, H.-P.; Li, Y.-C.; Chen, C.-T.; Liang, P.-H. Synthesis and application of a fluorescent substrate analogue to study ligand interactions for undecaprenyl pyrophosphate synthase. J. Am. Chem. Soc. 2002, 124, 15217–15224. [Google Scholar] [CrossRef]
- Ferreira, M.L.; Pastoriza-Gallego, M.J.; Araujo, J.M.; Canongia Lopes, J.N.; Rebelo, L.P.N.; M. Piñeiro, M.; Shimizu, K.; Pereiro, A.B. Influence of nanosegregation on the phase behavior of fluorinated ionic liquids. J. Phys. Chem. C 2017, 121, 5415–5427. [Google Scholar] [CrossRef]
- Chen, Z.; Duan, W.; Lin, G.; Zhang, R.; Luo, M.; Yang, Z. Synthesis and antifungal activity of novel myrtenal-based thiazole-hydrazone compounds. Sci. Silvae Sin. 2017, 53, 93–101. [Google Scholar]
- Babu, B.H.; Vijay, K.; Murali Krishna, K.B.; Sharmila, N.; Ramana, M.B. An efficient PEG-400 mediated catalyst free green synthesis of 2-amino-thiazoles from α-diazoketones and thiourea. J. Chem. Sci. 2016, 128, 1475–1478. [Google Scholar] [CrossRef]
- Brand-Williams, W.; Cuvelier, M.-E.; Berset, C. Use of a free radical method to evaluate antioxidant activity. LWT-Food Sci. Technol. 1995, 28, 25–30. [Google Scholar] [CrossRef]
- Nagarajan, S.; Nagarajan, R.; Kumar, J.; Salemme, A.; Togna, A.R.; Saso, L.; Bruno, F. Antioxidant Activity of Synthetic Polymers of Phenolic Compounds. Polymers 2020, 12, 1646. [Google Scholar] [CrossRef] [PubMed]
- Wang, W.; Zhang, X.; Liu, Q.; Lin, Y.; Zhang, Z.; Li, S. Study on Extraction and Antioxidant Activity of Flavonoids from Hemerocallis fulva (Daylily) Leaves. Molecules 2022, 27, 2916. [Google Scholar] [CrossRef] [PubMed]
- He, F.; Wang, W.; Wu, M.; Fang, Y.; Wang, S.; Yang, Y.; Ye, C.; Xiang, F. Antioxidant and antibacterial activities of essential oil from Atractylodes lancea rhizomes. Ind. Crops Prod. 2020, 153, 112552. [Google Scholar] [CrossRef]
- Osipova, V.; Polovinkina, M.; Gracheva, Y.; Shpakovsky, D.; Osipova, A.; Berberova, N. Antioxidant activity of some organosulfur compounds in vitro. Arab. J. Chem. 2021, 14, 103068. [Google Scholar] [CrossRef]
- Peng, Z.; Li, Y.; Tan, L.; Chen, L.; Shi, Q.; Zeng, Q.-H.; Liu, H.; Wang, J.J.; Zhao, Y. Anti-tyrosinase, antioxidant and antibacterial activities of gallic acid-benzylidenehydrazine hybrids and their application in preservation of fresh-cut apples and shrimps. Food Chem. 2022, 378, 132127. [Google Scholar] [CrossRef]
- Sabt, A.; Abdelrahman, M.T.; Abdelraof, M.; Rashdan, H.R. Investigation of Novel Mucorales Fungal Inhibitors: Synthesis, In-Silico Study and Anti-Fungal Potency of Novel Class of Coumarin-6-Sulfonamides-Thiazole and Thiadiazole Hybrids. ChemistrySelect 2022, 7, e202200691. [Google Scholar] [CrossRef]
- Sirsat, D.M.; Bhale, P.S.; Chavan, H.V.; Karape, S.M.; Bachute, M.T. Synthesis and Anti-Microbial, Anti-Oxidant and Anti-Inflammatory Activities of Thiazole-Pyrazole Based Pyrimidine Derivatives. Rasayan J. Chem. 2020, 13, 1589–1597. [Google Scholar] [CrossRef]





| Compound | R | DPPH | |
|---|---|---|---|
| IC50 (μM) | r2 | ||
| 1a | H | 100.642 | 0.970 |
| 1b | 2-F | 107.985 | 0.965 |
| 1c | 2-Cl | 111.024 | 0.952 |
| 1d | 2-Br | 99.427 | 0.947 |
| 1e | 2-OH | 89.147 | 0.942 |
| 1f | 2-NO2 | 119.025 | 0.982 |
| 1g | 2-OCH3 | 129.614 | 0.973 |
| 1h | 3-F | 108.165 | 0.997 |
| 1i | 3-Cl | 120.200 | 0.963 |
| 1j | 3-Br | 96.977 | 0.935 |
| 1k | 3-OH | 86.525 | 0.980 |
| 1l | 3-NO2 | 115.148 | 0.966 |
| 1m | 3-OCH3 | 134.332 | 0.963 |
| 1n | 4-F | 120.402 | 0.969 |
| 1o | 4-Cl | 115.983 | 0.973 |
| 1p | 4-Br | 93.518 | 0.917 |
| 1q | 4-OH | 90.190 | 0.972 |
| 1r | 4-NO2 | 135.477 | 0.998 |
| 1s | 4-OCH3 | 115.900 | 0.973 |
| 1t | 4-CH3 | 93.034 | 0.989 |
| 1u | 4-CF3 | 107.134 | 0.963 |
| 1v | 4-Ph | 113.689 | 0.925 |
| 1w | 2,4-diF | 124.435 | 0.990 |
| 1x | 3,4-diCl | 129.278 | 0.960 |
| 1y | 2,5-diOCH3 | 148.455 | 0.967 |
| Trolox | - | 108.334 | 0.991 |
| Compound | R | ABTS | |
|---|---|---|---|
| IC50 (μM) | r2 | ||
| 1a | H | 95.251 | 0.946 |
| 1b | 2-F | 84.159 | 0.984 |
| 1c | 2-Cl | 86.024 | 0.977 |
| 1d | 2-Br | 87.672 | 0.945 |
| 1e | 2-OH | 74.886 | 0.991 |
| 1f | 2-NO2 | 85.712 | 0.990 |
| 1g | 2-OCH3 | 71.135 | 0.959 |
| 1h | 3-F | 81.978 | 0.982 |
| 1i | 3-Cl | 83.901 | 0.957 |
| 1j | 3-Br | 84.628 | 0.987 |
| 1k | 3-OH | 71.633 | 0.966 |
| 1l | 3-NO2 | 84.259 | 0.944 |
| 1m | 3-OCH3 | 65.408 | 0.950 |
| 1n | 4-F | 85.501 | 0.943 |
| 1o | 4-Cl | 87.702 | 0.949 |
| 1p | 4-Br | 91.679 | 0.989 |
| 1q | 4-OH | 75.806 | 0.985 |
| 1r | 4-NO2 | 85.575 | 0.965 |
| 1s | 4-OCH3 | 72.446 | 0.949 |
| 1t | 4-CH3 | 78.534 | 0.974 |
| 1u | 4-CF3 | 80.133 | 0.978 |
| 1v | 4-Ph | 77.764 | 0.952 |
| 1w | 2,4-diF | 83.857 | 0.970 |
| 1x | 3,4-diCl | 91.210 | 0.956 |
| 1y | 2,5-diOCH3 | 79.474 | 0.956 |
| Trolox | - | 91.897 | 0.958 |
| Compound | R | Inhibition Rate (%) | |||||||
|---|---|---|---|---|---|---|---|---|---|
| S. S. | C. A. | R. S. | C. V. | P. V. | P. P. | F. N. | F. V. | ||
| 1a | H | 38.98 | 25.39 | 63.13 | <10 | 46.67 | 40.19 | 14.22 | 22.58 |
| 1b | 2-F | 46.25 | 34.55 | 61.75 | 10.24 | 45.42 | 45.45 | 17.16 | <10 |
| 1c | 2-Cl | 37.69 | 30.42 | 39.02 | <10 | 51.75 | 41.04 | <10 | <10 |
| 1d | 2-Br | 27.62 | 23.81 | 37.77 | 11.64 | 48.04 | 37.91 | <10 | <10 |
| 1e | 2-OH | 34.87 | 21.99 | 41.15 | <10 | 24.79 | <10 | <10 | 19.89 |
| 1f | 2-NO2 | 27.30 | 20.03 | 31.90 | <10 | 30.74 | 41.70 | <10 | <10 |
| 1g | 2-OCH3 | 39.95 | 14.66 | 31.11 | <10 | 35.42 | 22.73 | 11.76 | 21.77 |
| 1h | 3-F | 41.89 | 24.08 | 51.24 | 12.62 | 46.25 | 45.08 | 20.34 | 18.28 |
| 1i | 3-Cl | 37.00 | 29.02 | 40.55 | <10 | 57.75 | 44.60 | 13.45 | <10 |
| 1j | 3-Br | 29.30 | 19.37 | 21.66 | <10 | 43.13 | 32.78 | <10 | <10 |
| 1k | 3-OH | 36.02 | 24.35 | 40.46 | 12.10 | 30.37 | <10 | <10 | 17.53 |
| 1l | 3-NO2 | 23.97 | 24.87 | 21.20 | <10 | 29.58 | 39.23 | <10 | <10 |
| 1m | 3-OCH3 | 31.23 | 29.84 | 17.51 | <10 | 41.25 | 16.51 | 10.29 | 11.29 |
| 1n | 4-F | 49.64 | 30.10 | 59.45 | 12.14 | 76.25 | 42.11 | 13.24 | 28.23 |
| 1o | 4-Cl | 35.35 | 24.08 | 41.24 | 10.48 | 64.17 | 40.19 | <10 | <10 |
| 1p | 4-Br | 27.60 | 25.39 | 41.94 | <10 | 49.17 | 42.34 | <10 | <10 |
| 1q | 4-OH | 33.50 | 27.64 | 44.05 | <10 | 25.80 | <10 | <10 | 20.48 |
| 1r | 4-NO2 | 31.96 | 13.87 | 42.86 | <10 | 20.83 | 40.91 | <10 | <10 |
| 1s | 4-OCH3 | 29.30 | 39.01 | 31.34 | <10 | 35.42 | 19.14 | <10 | 11.02 |
| 1t | 4-CH3 | 26.39 | 28.27 | 55.07 | <10 | 61.67 | 23.92 | <10 | <10 |
| 1u | 4-CF3 | 46.25 | 33.77 | 64.29 | <10 | 77.71 | 51.20 | <10 | <10 |
| 1v | 4-Ph | 19.61 | <10 | 18.43 | <10 | 29.17 | 16.30 | <10 | <10 |
| 1w | 2,4-diF | 58.60 | 34.55 | 74.42 | 12.62 | 62.29 | 52.15 | 21.33 | <10 |
| 1x | 3,4-diCl | 27.85 | 23.04 | <10 | 10.24 | 45.83 | 39.47 | <10 | <10 |
| 1y | 2,5-diOCH3 | 30.75 | 20.42 | <10 | <10 | 26.30 | <10 | <10 | <10 |
| AZO | - | 50.52 | 58.64 | 67.84 | 51.43 | 84.79 | 45.93 | 54.90 | 49.60 |
Disclaimer/Publisher’s Note: The statements, opinions and data contained in all publications are solely those of the individual author(s) and contributor(s) and not of MDPI and/or the editor(s). MDPI and/or the editor(s) disclaim responsibility for any injury to people or property resulting from any ideas, methods, instructions or products referred to in the content. |
© 2023 by the authors. Licensee MDPI, Basel, Switzerland. This article is an open access article distributed under the terms and conditions of the Creative Commons Attribution (CC BY) license (https://creativecommons.org/licenses/by/4.0/).
Share and Cite
Huang, C.; Zhong, Y.; Zeng, R.; Wang, J.; Fang, Q.; Xiao, S.; Zhang, J.; Wang, Z.; Chen, S.; Peng, D. Synthesis, Antioxidant, and Antifungal Activities of β-Ionone Thiazolylhydrazone Derivatives and Their Application in Anti-Browning of Freshly Cut Potato. Molecules 2023, 28, 6713. https://doi.org/10.3390/molecules28186713
Huang C, Zhong Y, Zeng R, Wang J, Fang Q, Xiao S, Zhang J, Wang Z, Chen S, Peng D. Synthesis, Antioxidant, and Antifungal Activities of β-Ionone Thiazolylhydrazone Derivatives and Their Application in Anti-Browning of Freshly Cut Potato. Molecules. 2023; 28(18):6713. https://doi.org/10.3390/molecules28186713
Chicago/Turabian StyleHuang, Cong, Yuan Zhong, Rong Zeng, Jie Wang, Qingwen Fang, Shuzhen Xiao, Ji Zhang, Zongde Wang, Shangxing Chen, and Dayong Peng. 2023. "Synthesis, Antioxidant, and Antifungal Activities of β-Ionone Thiazolylhydrazone Derivatives and Their Application in Anti-Browning of Freshly Cut Potato" Molecules 28, no. 18: 6713. https://doi.org/10.3390/molecules28186713
APA StyleHuang, C., Zhong, Y., Zeng, R., Wang, J., Fang, Q., Xiao, S., Zhang, J., Wang, Z., Chen, S., & Peng, D. (2023). Synthesis, Antioxidant, and Antifungal Activities of β-Ionone Thiazolylhydrazone Derivatives and Their Application in Anti-Browning of Freshly Cut Potato. Molecules, 28(18), 6713. https://doi.org/10.3390/molecules28186713

