Abstract
Phytochemical investigation on the fruits of C. tabularis led to the isolation of five new phragmalin-type limonoids (1–5) and four known ones (6–9). The structures of the new compounds 1–5, named chuktabamalins A–E, were elucidated via spectroscopic techniques (HRESIMS, 1D and 2D NMR) and were comparable with the literature data of known compounds. In addition, new compounds were evaluated for in vitro anti-inflammatory activity. Compounds 1, 2, 3 and 5 showed moderate anti-inflammatory activity with IC50 values of 21.72 ± 2.79, 23.29 ± 1.00, 47.08 ± 3.47 and 66.67 ± 2.89 μM, respectively.
1. Introduction
Limonoids as the major secondary metabolites from Meliaceae family, are well-known for their abundance, structural diversity and a wide range of antifeedant, antimalarial, antimicrobial, cytotoxic and growth-regulating activities [1,2,3,4,5,6,7,8]. The genus Chukrasia (Meliaceae) comprises only Chukrasia tabularis A. Juss and Chukrasia tabularis var. velutina, which are mainly distributed in the tropical areas of Asia, such as India, Malaysia and southern China [9]. In folk medicine, the root bark of C. tabularis has been used for dispelling wind and heat from the body by the peoples in the tropical areas of Asia [10]. Phragmalin-type limonoids are the characteristic components of Chukrasia genus, such as normal phragmalins and their orthoesters [11], 13/14/18-cyclopropanyl phragmalin-type limonoids [11,12], C(15)-acyl 16-norphragmalins [12], C(15)-acyl phragmalins [13,14], 16-norphragmalins [15], 19-dinorphragmalins [16] and 16,19-dinorphragmalins [17].
The further investigation of limonoids from this plant, provided five new phragmalin-type limonoids, chuktabamalins A-E (1–5) (Figure 1) and four known compounds (6–9), which were isolated from the EtOH extracts of the fruits of Chukrasia tabularis. Herein, the isolation and structure elucidation of the new compounds as well as their anti-inflammatory evaluation are reported.
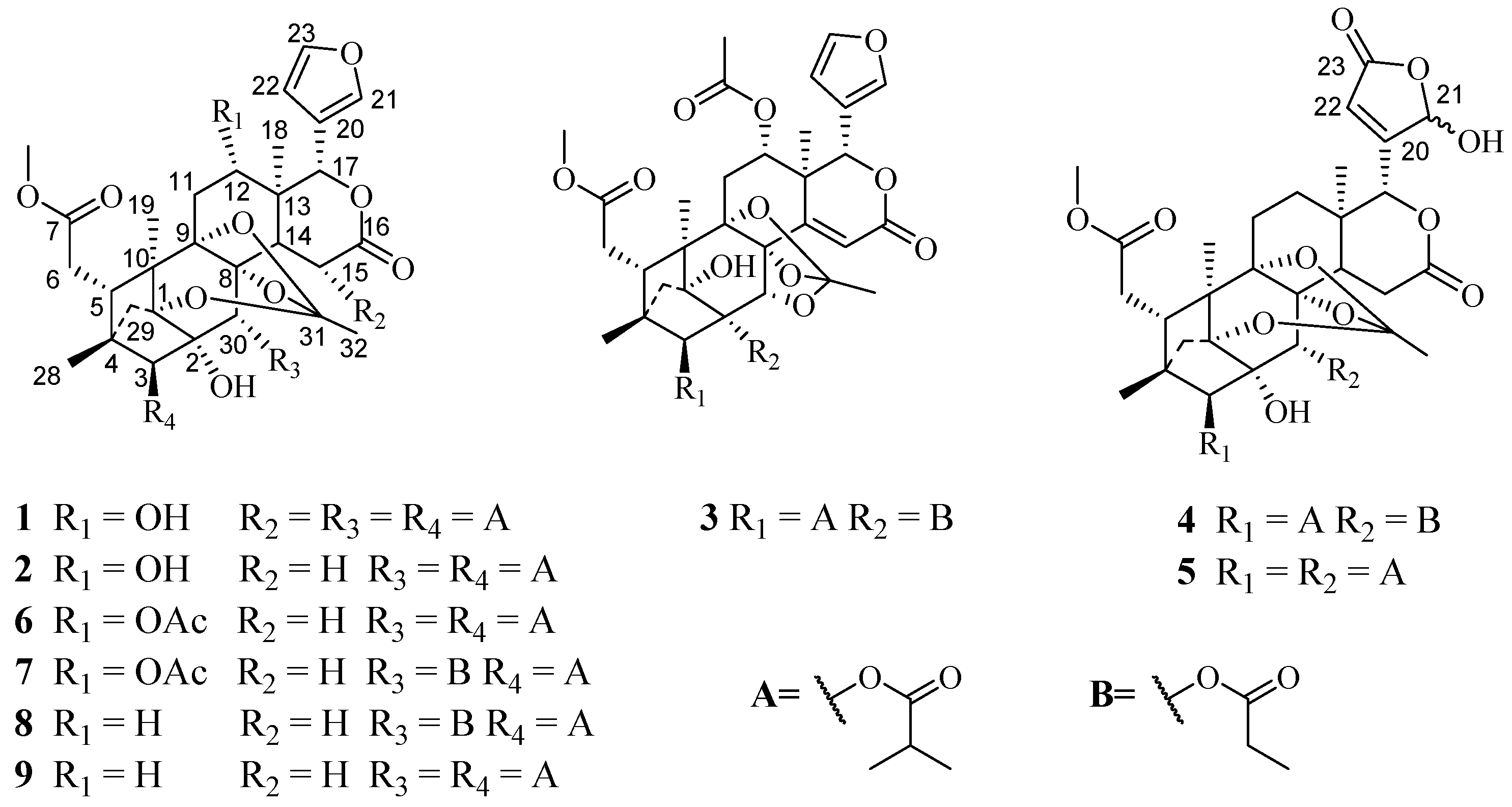
Figure 1.
The chemical structures of compounds 1–9.
2. Results and Discussion
Chuktabamalin A (1) was obtained as a white amorphous powder, and a molecular formula of C41H54O16 was deduced from a HRESIMS peak at m/z 825.3284 [M + Na]+ (calculated for C41H54O16Na+ 825.3304), indicating the presence of 15 degrees of unsaturation. The strong IR absorptions at 1743 and 3448 cm−1 implied the presence of ester carbonyl and hydroxyl groups, respectively. The 1H-NMR (Table 1) exhibited signals for ten methyl groups (δH 0.92 (3H, s), 1.08 (3H, s), 1.14 (3H, d, J = 6.9 Hz), 1.15 (3H, s), 1.19 (3H, d, J = 6.5 Hz), 1.20 (3H, d, J = 6.9 Hz), 1.22 (3H, d, J = 7.0 Hz), 1.25 (3H, d, J = 7.0 Hz), 1.26 (3H, d, J = 6.5 Hz) and 1.61 (3H, s)), one methoxy group (δH 3.69 (3H, s)) and five oxymethine protons (δH 4.03 (1H, dd, J = 10.6, 5.9 Hz), 4.68 (1H, s), 5.61 (1H, s), 6.01 (1H, s) and 6.55 (1H, d, J = 3.2 Hz)), as well as three aromatic methine protons (δH 6.61 (1H, s), 7.53 (1H, s) and 7.69 (1H, s)). The 13C-NMR displayed the corresponding carbons, in addition to three methylenes, five oxygenated methines and fourteen quaternary carbons (3-furanyl aromatic quaternary carbon, five carbonyls and five oxygenated), as supported by DEPT-135 and HSQC experiments. The further analysis of 1H- and 13C-NMR (Table 1 and Table 2), the structural framework of a phragmalin-type limonoid with a 1,8,9-ortho ester was suggested for 1, including the presence of a typical β-substituted furan ring (δH 6.61, 7.53, 7.69; δC 109.3, 121.3, 141.6 and 144.5), six membered δ-lactone (δH 2.17, 5.61 and 6.55; δC 42.4, 52.8, 64.0, 76.6 and 168.4), three tertiary methyls (δH 0.92, 1.08 and 1.15; δC 12.8, 15.0 and 16.5) and five ester carbonyls (δC 168.4, 173.6, 175.1, 175.8 and 176.6). Based on the extensive analysis of 2D NMR (1H-1H COSY and HMBC) spectra, it is inferred that there are three isobutyryloxy groups present.
Table 1.
1H NMR (500 MHz) data of compounds 1–5 (CDCl3, δH in ppm, J in Hz).
Table 2.
13C NMR (125 MHz) data of compounds 1–5 (CDCl3, δC in ppm).
The NMR spectroscopic data indicated that 1 had a similar skeleton to that of phragmalin 3, 30-di-isobutyrate (9), except for the different substitution patterns at C-12 and C-30. A hydroxy group was assignable to C-12 (δC 66.5), which was supported by the 1H-1H COSY correlation of H-11/H-12, as well as the HMBC correlations of H-18/C-12 (Figure 2). The 1H-1H COSY correlations of H-2″/H-3″ and H-2″/H-4″, as well as the HMBC correlations of H-2″, H-3″, H-4″ and H-30/C-1″ indicated that the isobutyryloxy moiety was attached to C-30 (Figure 2). Therefore, the planar structure of 1 was elucidated as indicated.
Figure 2.
Selected 1H-1H COSY and HMBC correlations of 1–5.
The relative configuration of 1 was established using the ROESY spectrum (Figure 3), in which the correlations of H-12/H-5, H-12/H-17, H-17/H-30, H-15/H-17 and H-5/H-28, indicated that these protons were arbitrarily assigned as the β-orientation. Moreover, the ROESY correlations of H-32/H-3 and H-14/H-18 were observed, which demonstrated that these protons had an α-orientation. Accordingly, the structure of compound 1 was established and named chuktabamalin A.
Figure 3.
Key ROESY correlations of 1–5.
Chuktabamalin B (2), a white amorphous powder, had a molecular formula of C37H48O14 on the basis of its prominent positive HRESIMS ion peak at m/z 739.2968 ([M + Na]+, C37H48O14Na+ calculated as 739.2936). A comparison between the NMR data (Table 1 and Table 2) of 1 and 2 showed that the isobutyryloxy group at C-15 in 1 was absent in 2, which was supported by the 1H-1H COSY correlations of H-14/H-15, together with the HMBC correlations from H-18/C-14, H-14/C-16, H-15/C-16 and H-17/C-16. The relative configuration of 2, supported by the analysis of a ROESY experiment, was the same as those of 1. Therefore, the structure of 2 was established as shown in Figure 1.
Chuktabamalin C (3), a white amorphous powder, displayed a peak for [M + Na]+ at m/z 765.2707 (calculated for C38H46O15Na+ as 765.2729) in the HRESIMS spectrum, requires 16 degrees of unsaturation. The 13C NMR and DEPT spectroscopic data of 3 displayed 38 carbon signals, which was in an agreement with the molecular formula, including nine methyl (one methoxy group), four methylene, ten methine (five oxygenated and four olefinic) and fifteen quaternary carbons (five carbonyl, two olefinic and five oxygenated). These data were similar to those of xyloccensin T [18], suggesting that compound 3 was also an 8,9,30-phragmalin ortho ester. The major differences between 3 and xyloccensin T were the substituents at C-2 and C-3. In the detailed analysis of the 1D (1H NMR, 13C NMR and DEPT) and 2D NMR data (1H-1H COSY, HSQC and HMBC), one isopropyloxy group and one propionyloxy group were indicated. The isopropyloxy moiety was attached to C-3, which was supported by the 1H-1H COSY correlations of H-2′/H-3′ and H-2′/H-4′, as well as the HMBC correlations of H-2′, H-3′, H-4′ and H-3/C-1′(Figure 2). The obvious downfield signal at δC 83.5 (C-2) in 13C NMR data (Table 2) suggested that the propionyloxy group was attached to C-2.
The relative configuration of 3 was deduced by the analysis of its ROESY spectrum. As shown in Figure 2, the observed ROESY correlations of H-5/H-12, H-12/H-17, H-15/H-30 and H-15/H-2′ indicated that the isopropyloxy and acetoxyl were β-oriented, whereas the correlations of H-3/H-2′ demonstrated that the propionyloxy was α-oriented. Therefore, the structure of compound 3 was finally established, as shown in Figure 1.
Chuktabumalin D (4) was obtained as a white, amorphous powder with a molecular formula of C36H46O15, as established at the basis of the prominent HRESIMS ion peak at m/z 741.2718 ([M + Na]+, calculated as 741.2729). The 1H-NMR (Table 1) and 13C-NMR (Table 2) along with the HSQC data of 4 revealed the presence of one methoxy group, five carbonyl carbons, seven methyls, six methylenes and eight methines with four oxygenated and nine quarternary carbons. These data were similar to those of phragmalin 3-isobutyrate 30-propionate (8), suggesting that compound 4 was also an 1,8,9-phragmalin ortho ester. The main differences between them were the presence of a lactone carbonyl (δC 169.1) signal and an acetal methine (δH 6.18; δC 97.5) signal and the absence of two olefinic methine signals in 4 compared to phragmalin 3-isobutyrate 30-propionate (8). HMBC correlations between H-22/C-20, C-21, C-23, H-17/C-20, H-17/C-21 and H-17/C-22 indicated that a β-furyl ring moiety located at C-17 in phragmalin 3-isobutyrate 30-propionate was replaced by a 21-hydroxy-20(22)-en-21,23-γ-lactone moiety in 4. The remaining substructure was determined to be the same as phragmalin 3-isobutyrate 30-propionate based on the 2D NMR data, as shown in Figure 2. The nearly identical chemical shifts and J-values suggested that compound 4 and phragmalin 3-isobutyrate 30-propionate shared the same relative configuration. This deduction was confirmed via ROESY correlations (Figure 3). Therefore, the structure of 4, named chuktabumalin D, was established as shown in Figure 1.
Chuktabumalin E (5) was isolated as a white, amorphous powder. Its molecular formula of C37H48O15 was established by HRESIMS (m/z 755.2871, calculated as 755.2885). The NMR data of 5 were similar to those of compound 4 except for the different substitution at C-30. The isopropyloxy group was confirmed by the 1H-1H COSY correlations of H-2″/H-3″ and H-2″/H-4″, as well as the HMBC correlations of H-2″, H-3″, H-4″ and H-30/C-1″, which indicated that the isopropyloxy moiety was attached to C-30 (Figure 2). Through the extensive analysis of the 1D and 2D NMR data, the structure of 5 was established, as shown in Figure 1.
Four known compounds, 12α-acetoxyphragmalin 3,30-di-isobutyrate (6), 12α-acetoxyphragmalin 3-isobutyrate 30-propionate (7), phragmalin 3-isobutyrate 30-propionate (8) and phragmalin 3,30-di-isobutyrate (9) [19], were identified through the comparison of their spectroscopic data with the literature data.
Compounds 1–5 were assessed for inhibitory effects on lipopolysaccharide-induced nitric oxide production in RAW264.7 cells in vitro. Compounds 1, 2, 3 and 5 showed moderate anti-inflammatory activity (Table 3).
Table 3.
In vitro anti-inflammatory activity of compounds 1–5.
3. Materials and Methods
3.1. General Experimental Procedures
Optical rotations were determined using a JASCO P-1020 polarimeter (JASCO Corporation, Tokyo, Japan). The NMR spectra were recorded in CDCl3 on a Bruker AVIII-500 spectrometer (Bruker, Bremen, Germany), using TMS as an internal standard. High-resolution electrospray ionization (HRESIMS) was recorded on an Agilent 6529B Q-TOF instrument (Agilent Technologies, Santa Clara, CA, USA). Column chromatography was performed using Silica gel (200–300 mesh, Qingdao Marine Chemical Inc., Qingdao, China), a Sephadex LH-20 (Merck, Darmstadt, Germany) and ODS (50 µm, YMC, Kyoto, Japan). TLC was performed using silica gel GF254 (Marine Chemical Industry Factory, Qingdao, China) and was detected by spraying with 5% H2SO4−EtOH.
3.2. Plant Material
The fruits of C. tabularis were collected in Danzhou, Hainan Province, People’s Republic of China, in November 2020. The plant was identified by Prof. Zhengfu Dai of the Institute of Tropical Bioscience and Biotechnology, Chinese Academy of Tropical Agricultural Sciences. A voucher specimen (NO. 20201120) was deposited at State Key Laboratory of Bioreactor Engineering laboratory.
3.3. Extraction and Isolation
The air-dried and powdered fruits of C. tabularis (15.2 kg) were extracted three times with 95% EtOH at room temperature to obtain a crude extract. The extract was then dissolved in water and partitioned with EtOAc, n-BuOH to give two parts. The EtOAc portion (2.6 kg) was subjected to a silica gel column and eluted with petroleum ether (PE)-EtOAc (from 10:1 to 0:1) to yield fifteen major fractions (Fr.1–Fr.15). Fr.8 (35.0 g) was applied to a vacuum liquid chromatography on silica gel and eluted with a gradient of CHCl3-MeOH (from 200:1 to 20:1) to give four parts (Fr.8A–Fr.8E). Fr.8B (15.0 g) was applied to an ODS gel column and eluted with MeOH-H2O (gradient from 40:60 to 100:0) to give four fractions (Fr.8B1–Fr.8B4). Fr.8B2 (602.0 mg) was applied to a silica gel column (PE-CHCl3-isopropyl alcohol, from 5:5:0.1 to 5:5:0.2) to obtain five subfractions (Fr.8B2A–Fr.8B2E), and then Fr.8B2B (120.0 mg) was subjected to a silica gel column (PE-acetone, 10:1) to yield 8 (9.0 mg). By the same purification procedures, Fr.8B2D yielded 5 (2.1 mg). Fr.8C (4.5 g) was separated via a silica gel column and eluted with PE–CHCl3–isopropyl alcohol (5:5:0.1 to 5:5:0.5) to obtain five fractions, namely Fr.8C1–Fr.8C5; then Fr.8C2 (220.0 mg) was separated on a silica gel column and eluted with PE-EtOAc (7:1) to obtain 9 (2.3 mg). Fr.8C4 (810.0 mg) was chromatographed on a silica gel column (PE-CHCl3-isopropyl alcohol, 5:5:0.1) to afford 2 (6.0 mg). Fr.9 (31.0 g) was separated on an ODS gel column and eluted with MeOH–H2O (gradient from 40:60 to 100:0) to give ten fractions, namelyFr.9A–Fr.4J, and then Fr.9C (1.8 g) was subjected to a silica gel column (PE–CHCl3–isopropyl alcohol, from 5:5:0.1 to 5:5:0.3) to yield 4 (11.2 mg). Fr.9E (2.8 g) was subjected to a silica gel column (PE–acetone, 9:1) to yield 6 (4.5 mg) and 7 (13.5 mg). Using the same purification procedures, Fr.9I yielded 1 (3.0 mg) and 3 (8.0 mg).
- Chuktabumalin A (1): white, amorphous powder; [α] = −54 (c 0.10, MeOH); IR (KBr) νmax 3448, 2965, 1743, 1632, 1465, 1388, 1149 cm−1; 1H and 13C NMR data (Figures S1–S6): Table 1 and Table 2; HRESIMS m/z 825.3284 [M + Na]+ (calculated for C41H54O16Na+ as 825.3304, Figure S7).
- Chuktabumalin B (2): white, amorphous powder; [α] = +42 (c 0.10, MeOH); IR (KBr) νmax 3447, 2928, 1744, 1631, 1456, 1266, 1103 cm−1; 1H and 13C NMR data (Figures S8–S13): Table 1 and Table 2; HRESIMS m/z 739.2968 [M + Na]+ (calculated for C37H48O14Na+ as 739.2936, Figure S14).
- Chuktabumalin C (3): white, amorphous powder; [α] = +50 (c 0.10, MeOH); IR (KBr) νmax 3446, 2927, 1729, 1631, 1462, 1382, 1237 cm−1; 1H and 13C NMR data (Figures S15–S20): Table 1 and Table 2; HRESIMS m/z 765.2707 [M + Na]+ (calculated for C38H46O15Na+ as 765.2729, Figure S21)
- Chuktabumalin D (4): white, amorphous powder; [α] = −52 (c 0.12, MeOH); IR (KBr) νmax 3448, 2963, 1744, 1630, 1464, 1387, 1152 cm−1; 1H and 13C NMR data (Figures S22–S27): Table 1 and Table 2; HRESIMS m/z 741.2718 [M + Na]+ (calculated for C36H46O15Na+ as 741.2729, Figure S28).
- Chuktabumalin E (5): white, amorphous powder; [α] = −29 (c 0.12, MeOH); IR (KBr) νmax 3449, 2964, 1743, 1631, 1387, 1150 cm−1; 1H and 13C NMR data (Figures S29–S34): Table 1 and Table 2; HRESIMS m/z 755.2871 [M + Na]+ (calculated for C37H48O15Na+ as 755.2885, Figure S28).
3.4. Anti-Inflammatory Activity
The anti-inflammatory activities of some compounds were evaluated for inhibitory activities against lipopolysaccharide (LPS)-induced nitricoxide (NO) production in macrophage (RAW264.7) cell lines. RAW 264.7 cells (5.0 × 104 cells/mL) were incubated in 96-well plates with culture medium and incubated overnight at 37 °C in over 90% humidified atmosphere with 5% CO2. The cells were treated with compounds for 1 h and stimulated with LPS (500 ng/mL) for another 24 h. The NO inhibitory activity was determined via a Griess reaction. Briefly, the cell culture supernatant (100 μL) was mixed with an identical volume of Griess reagent, and the absorbance was recorded at 540 nm utilizing a plate reader. Quercetin was used as a positive control in the assays.
4. Conclusions
Compounds 1–9 were characterized as chuktabumalin A (1), chuktabumalin B (2), chuktabumalin C (3), chuktabumalin D (4), chuktabumalin E (5), 12α-acetoxyphragmalin 3,30-di-isobutyrate (6), 12α-acetoxyphragmalin 3-isobutyrate 30-propionate (7), phragmalin 3-isobutyrate 30-propionate (8) and phragmalin 3,30-di-isobutyrate (9), respectively. Compounds 1–5 were structurally determined to be new phragmalin-type limonoids. Compounds 1, 2, 3 and 5 showed moderate anti-inflammatory activity with IC50 values of 21.72 ± 2.79, 23.29 ± 1.01, 47.08 ± 3.47 and 66.67 ± 2.89 μM, respectively.
Supplementary Materials
The following are available online at https://www.mdpi.com/article/10.3390/molecules28135136/s1, Figures S1–S35: 1H, 13C, HSQC, 1H-1H COSY, HMBC, ROESY and HRESIMS spectra of the new compounds 1–6.
Author Contributions
S.D. and Y.W. performed the isolation, purification and identification of compounds 1–9. X.X. edited the manuscript. F.A. supervised the laboratory work, designed the experiments and edited the manuscript. All authors have read and agreed to the published version of the manuscript.
Funding
This work was funded by the National Natural Science Foundation of China (41876189, 81703388). This work was also supported by State Key Laboratory of Bioreactor Engineering and the Open Research Fund Program of Institute of regulatory science.
Institutional Review Board Statement
Not applicable.
Informed Consent Statement
Not applicable.
Data Availability Statement
The datasets generated and analyzed during the current study are available from the corresponding author on reasonable request.
Acknowledgments
Authors thank Zhengfu Dai (Institute of Tropical Bioscience and Biotechnology, Chinese Academy of Tropical Agricultural Sciences) for the identification of the plant of C. tabularis (NO. 20201120).
Conflicts of Interest
The authors declare no conflict of interest.
Sample Availability
Available.
References
- Fang, X.; Di, Y.T.; Hao, X.J. The advances in the limonoid chemistry of the Meliaceae family. Curr. Org. Chem. 2011, 15, 1363–1391. [Google Scholar]
- Tan, Q.G.; Luo, X.D. Meliaceous limonoids: Chemistry and biological activities. Chem. Rev. 2011, 111, 7437–7522. [Google Scholar] [CrossRef] [PubMed]
- Luo, J.; Sun, Y.P.; Li, Q.R.; Kong, L.Y. Research progress of meliaceous limonoids from 2011 to 2021. Nat. Prod. Rep. 2022, 39, 1325–1365. [Google Scholar] [CrossRef] [PubMed]
- Shen, J.H.; Zhang, Y.F.; Zhang, L.; Yang, N.N.; Ma, X.H.; Zhong, T.H.; Zhang, Y.H. Bioactivity-guided isolation of anti-inflammatory limonins from Chukrasia tabularis. Food Sci. Nutr. 2022, 10, 4216–4225. [Google Scholar] [CrossRef] [PubMed]
- Shen, J.H.; Zhang, Y.F.; Yang, N.N.; Ma, X.H.; Zhong, T.H.; Zhang, Y.H. Limonoids from the barks of Chukrasia tabularis and their anti-inflammatory activity. Appl. Biol. Chem. 2022, 65, 7. [Google Scholar] [CrossRef]
- Heng, L.; Zhao, M.L.; Xu, R.; Tao, R.; Wang, C.C.; Zhang, L.N.; Bu, Y.G.; Luo, J.; Li, Y. Phragmalin and mexicanolide limonoids with reversal of multidrug resistance from the seeds of Chukrasia tabularis A. Juss. Phytochemistry 2021, 182, 112606. [Google Scholar] [CrossRef] [PubMed]
- Mulani, F.A.; Nandikol, S.S.; Kajjihundi, J.S.; Pathappa, N.; Puttappa, S.; Thulasiram, H.V. Ultra-high performance liquid chromatography Q-Orbitrap MS/MS-based profiling and quantification of limonoids in Meliaceae plants. Anal. Bioanal. Chem. 2022, 414, 6093–6106. [Google Scholar] [CrossRef] [PubMed]
- Hu, J.M.; Chen, H.Q.; Dong, X.; Wang, H.; Dai, H.F.; Gai, C.J.; Wei, Y.M.; Cheng, Z.A.; Zhuo, Z.H.; Liu, S.B.; et al. Three new tirucallane triterpenoids from the fruits of Chukrasia tabularis and their biological activities. Phytochem. Lett. 2021, 43, 70–74. [Google Scholar] [CrossRef]
- Chen, S.K.; Chen, B.Y.; Li, H. Flora Republicae Popularis Sinicae. In Chinese Flora (Zhongguo Zhiwu Zhi); Science Press: Beijing, China, 1997; Volume 43, pp. 47–49. [Google Scholar]
- Editorial Committee of the Administration Bureau of Traditional Chinese Medicine. Chemical composition and structure. In Chinese Material Medica (Zhonghua Bencao), 1st ed.; Shanghai Science and Technology Press: Shanghai, China, 1999; Volume 5, pp. 31–32. [Google Scholar]
- Luo, J.; Wang, J.S.; Luo, J.G.; Wang, X.B.; Kong, L.Y. Chukvelutins A−C, 16-Norphragmalin Limonoids with Unprecedented Skeletons from Chukrasia tabularis var. velutina. Org. Lett. 2009, 11, 2281–2284. [Google Scholar] [CrossRef] [PubMed]
- Wang, C.C.; Li, Y.; Xu, R.; Zhang, P.P.; Zhang, W.Y.; Wei, S.S.; Li, Y.; Luo, J.; Kong, L.Y. Phragmalin-type limonoids with structural diversity at D-ring from the fruit shells of Chukrasia tabularis. Fitoterapia 2019, 134, 188–195. [Google Scholar] [CrossRef] [PubMed]
- Yi, L.; Zhang, H.J.; Tian, X.M.; Luo, J.; Luo, J.; Kong, L.Y. Four new limonoids from the seeds of Chukrasia tabularis A. Juss. Phytochem. Lett. 2017, 19, 12–17. [Google Scholar] [CrossRef]
- Zhang, F.; Zhang, C.R.; Yin, S.; Tao, X.; Wang, J.; Chen, W.S.; Yue, J.M. Phragmalin-type limonoids with NF-κB inhibition from Chukrasia tabularis var velutina. Bioorg. Med. Chem. Lett. 2014, 24, 3791–3796. [Google Scholar] [CrossRef] [PubMed]
- Luo, J.; Wang, J.S.; Wang, X.B.; Luo, J.G.; Kong, L.Y. Chuktabularins E–T, 16-norphragmalin Limonoids from Chukrasia tabularis var velutina. J. Nat. Prod. 2010, 73, 835–843. [Google Scholar] [CrossRef] [PubMed]
- Yin, J.L.; Di, Y.T.; Fang, X.; Liu, E.D.; Liu, H.Y.; He, H.P.; Li, S.L.; Li, S.F.; Hao, X.J. Tabulvelutin A, the first 19-nor limonoid with unprecedented ring system from Chukrasia tabularis var velutina. Tetrahedron Lett. 2011, 52, 3083–3085. [Google Scholar] [CrossRef]
- Liu, H.B.; Zhang, H.; Li, P.; Gao, Z.B.; Yue, J.M. Chukrasones A and B: Potential Kv1.2 potassium channel blockers with new skeletons from Chukrasia tabularis. Org. Lett. 2012, 14, 4438–4441. [Google Scholar] [CrossRef] [PubMed]
- Cui, J.X.; Deng, Z.W.; Li, J.; Fu, H.Z.; Proksch, P.; Lin, W.H. Phragmalin-type limonoids from the mangrove plant Xylocarpus granatum. Phytochemistry 2005, 66, 2334–2339. [Google Scholar] [CrossRef] [PubMed]
- Connolly, J.D.; Labbe, C.; Rycroft, D.S. Tetranortriterpenoids and related substances. Part 20. New tetranortriterpenoids from the seeds of Chukrasia tabularis (Meliaceae); simple esters of phragmalin and 12α-acetoxy phragmalin. J. Chem. Soc. Perkin Trans. 1978, 1, 285–288. [Google Scholar] [CrossRef]
Disclaimer/Publisher’s Note: The statements, opinions and data contained in all publications are solely those of the individual author(s) and contributor(s) and not of MDPI and/or the editor(s). MDPI and/or the editor(s) disclaim responsibility for any injury to people or property resulting from any ideas, methods, instructions or products referred to in the content. |
© 2023 by the authors. Licensee MDPI, Basel, Switzerland. This article is an open access article distributed under the terms and conditions of the Creative Commons Attribution (CC BY) license (https://creativecommons.org/licenses/by/4.0/).


