In the original article [1], there was a mistake in the position of one of the OH of N-acetylgalactosamine. In the original article [1], the OH was in an equatorial position and it should be in an axial position. This mistake affected Scheme 1 and Scheme 2. Below, we include the figures from the original manuscript and the figures that are corrected. We apologize for this unintentional mistake.
Original Scheme 1:
Scheme 1.
Chemical schemes of potential multifunctional GalNAc derivatives including (A) tetrameric G-quadruplexes studied in this work and (B) the triantennary GalNAc.
Scheme 1.
Chemical schemes of potential multifunctional GalNAc derivatives including (A) tetrameric G-quadruplexes studied in this work and (B) the triantennary GalNAc.

This should be replaced with the following:
Scheme 1.
Chemical schemes of potential multifunctional GalNAc derivatives including (A) tetrameric G-quadruplexes studied in this work and (B) the triantennary GalNAc.
Scheme 1.
Chemical schemes of potential multifunctional GalNAc derivatives including (A) tetrameric G-quadruplexes studied in this work and (B) the triantennary GalNAc.

Original Scheme 2:
Scheme 2.
Chemical structures of the GalNAc and FAM ligands used in this work.
Scheme 2.
Chemical structures of the GalNAc and FAM ligands used in this work.

This should be replaced with the following:
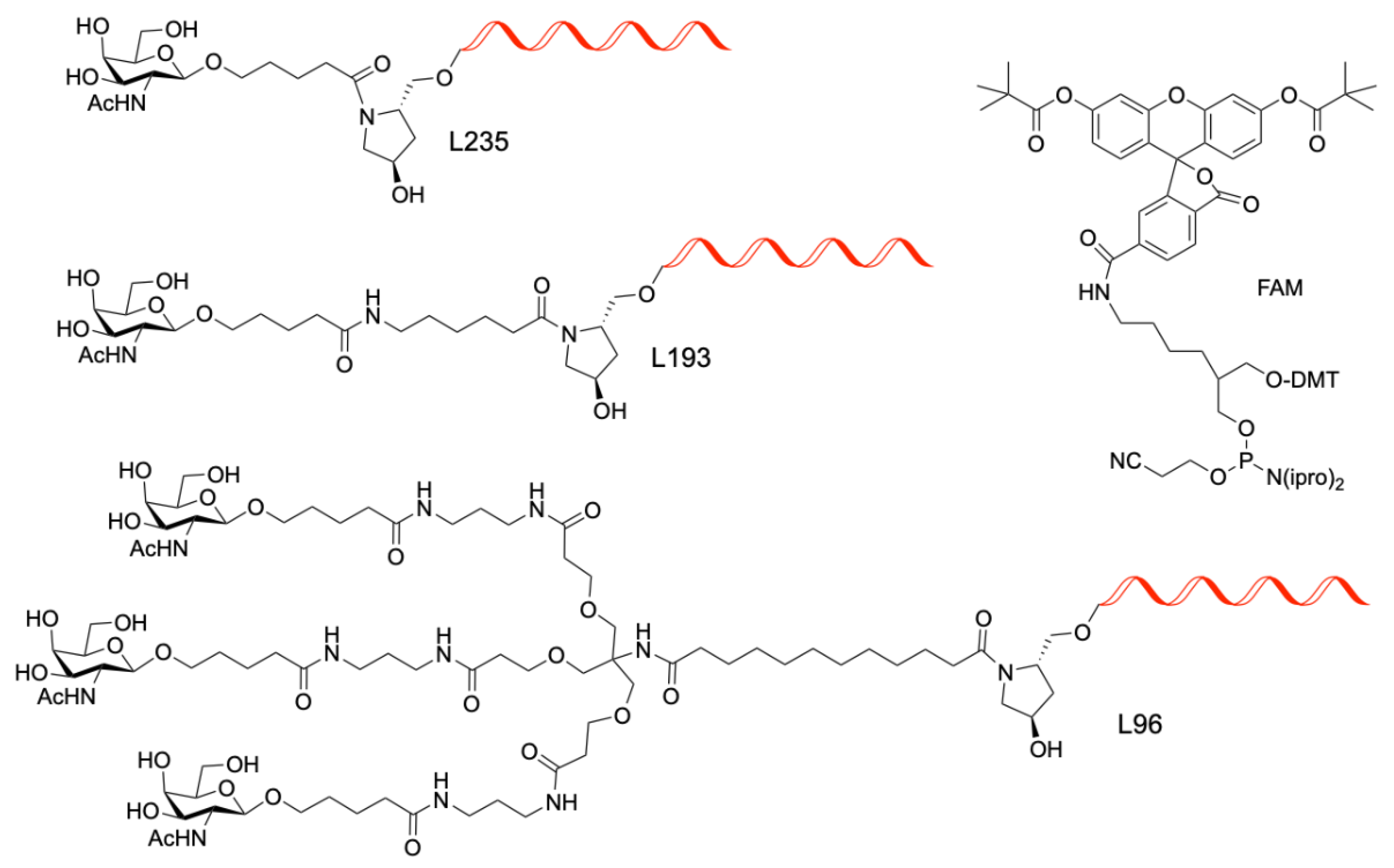
Scheme 2.
Chemical structures of the GalNAc and FAM ligands used in this work.
Scheme 2.
Chemical structures of the GalNAc and FAM ligands used in this work.

Reference
- Clua, A.; Grijalvo, S.; Erande, N.; Gupta, S.; Yucius, K.; Gargallo, R.; Mazzini, S.; Manoharan, M.; Eritja, R. Properties of Parallel Tetramolecular G-Quadruplex Carrying N-Acetylgalactosamine as Potential Enhancer for Oligonucleotide Delivery to Hepatocytes. Molecules 2022, 27, 3944. [Google Scholar] [CrossRef]
Disclaimer/Publisher’s Note: The statements, opinions and data contained in all publications are solely those of the individual author(s) and contributor(s) and not of MDPI and/or the editor(s). MDPI and/or the editor(s) disclaim responsibility for any injury to people or property resulting from any ideas, methods, instructions or products referred to in the content. |
© 2022 by the authors. Licensee MDPI, Basel, Switzerland. This article is an open access article distributed under the terms and conditions of the Creative Commons Attribution (CC BY) license (https://creativecommons.org/licenses/by/4.0/).