Effect of Ultrasonic Irradiation on the Physicochemical and Structural Properties of Laminaria japonica Polysaccharides and Their Performance in Biological Activities
Abstract
:1. Introduction
2. Results and Discussion
2.1. Physicochemical Properties of LJP and ULJP
2.2. SEM Picture Analysis of LJP and ULJP
2.3. FT-IR Analysis of LJP and ULJP
2.4. NMR Spectra Analysis of LJP and ULJP
2.5. Antioxidant Activity of LJP and ULJP In Vitro
2.6. Hypoglycemic Activity of LJP and ULJP In Vitro
2.7. Effect of LJP and ULJP on RAW264.7 Cell Viability
2.8. Effect of LJP and ULJP on the RAW264.7 Macrophages
2.9. Effect of LJP and ULJP on RAW264.7 Phagocytic Activity
2.10. Effect of LJP and ULJP on RAW264.7 NO Production
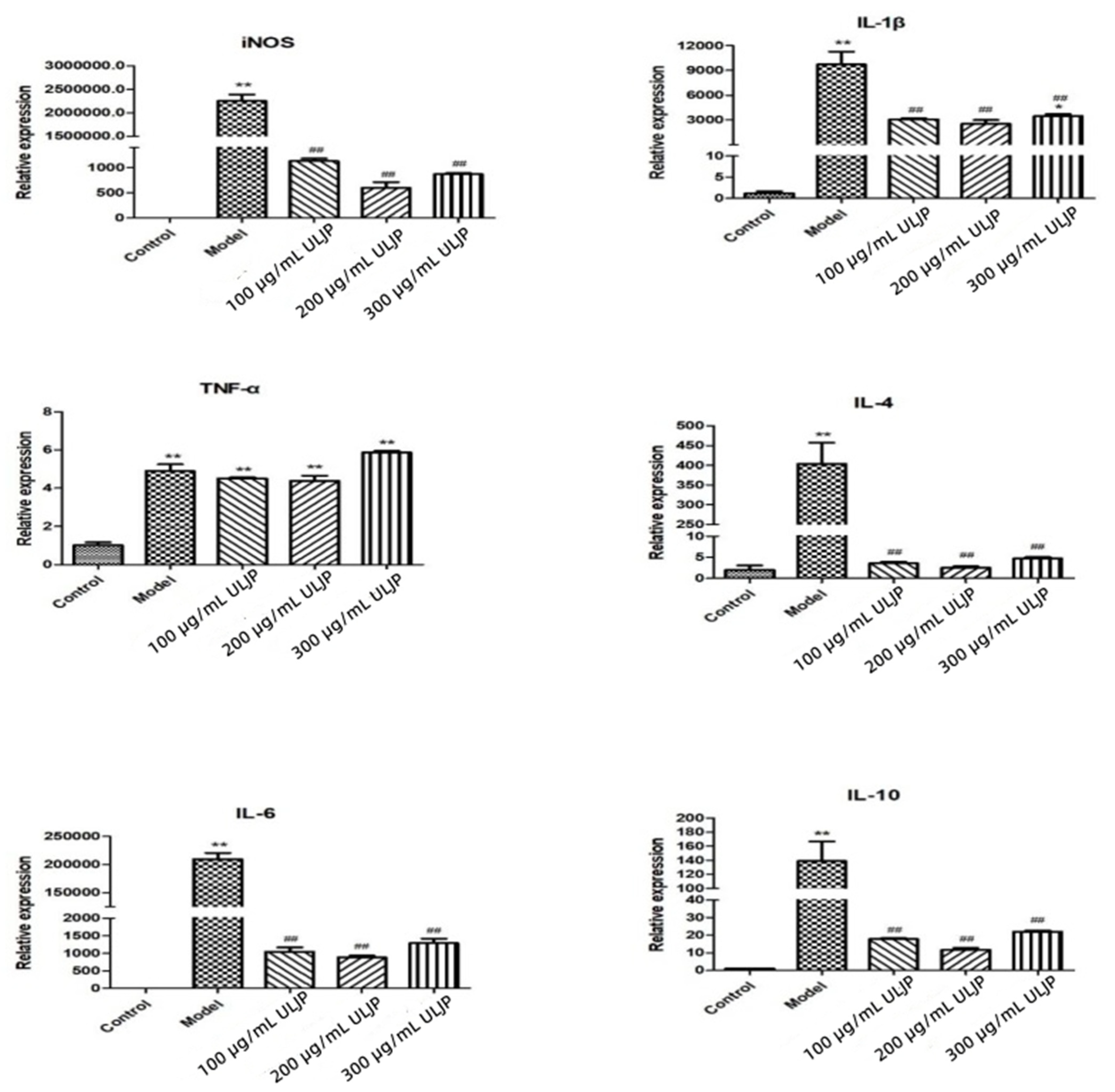
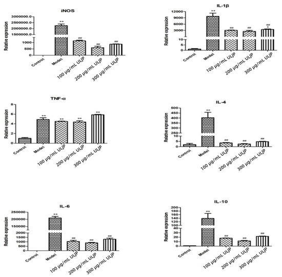
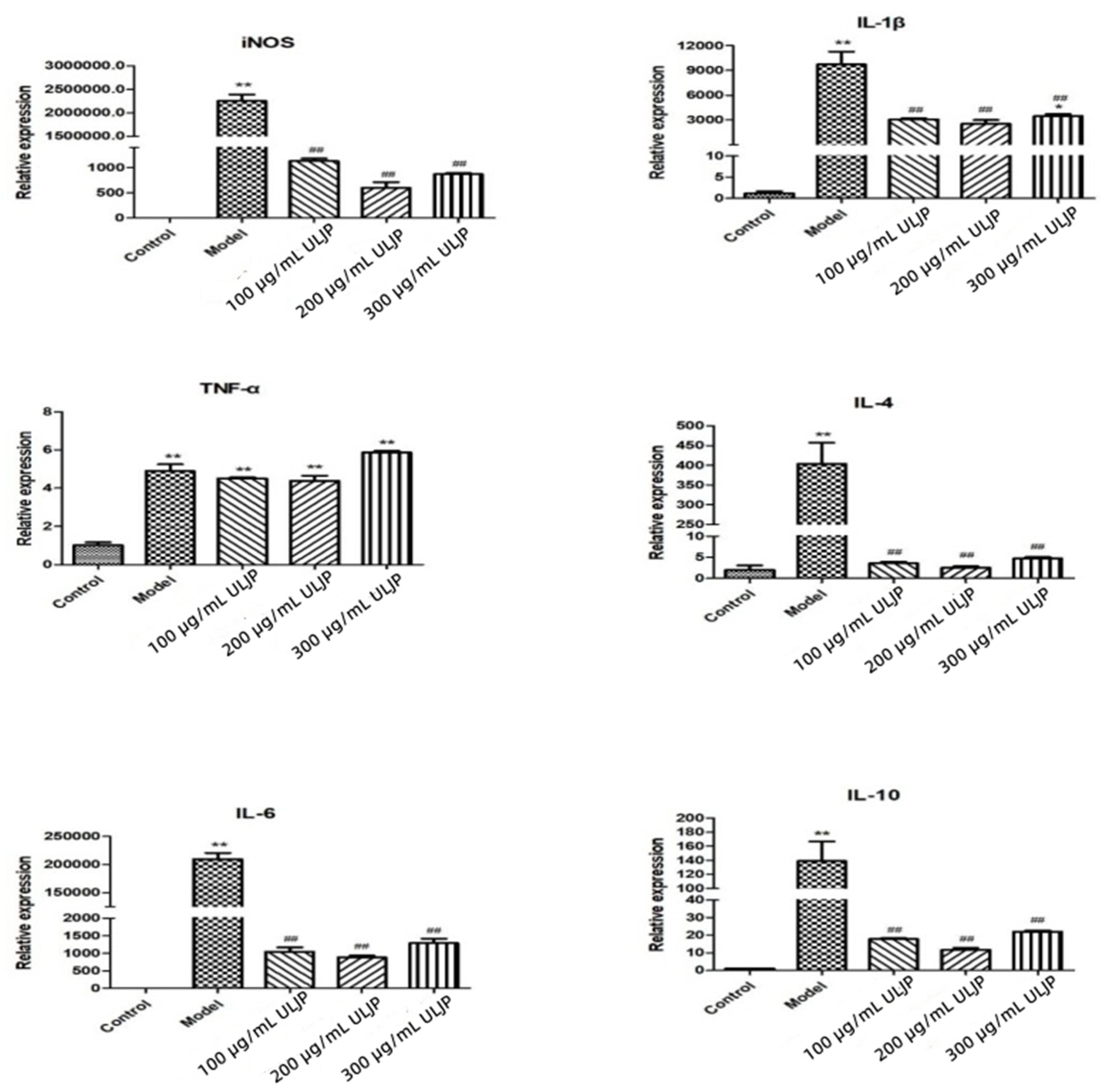
2.11. Effects of LJP and ULJP on mRNA Expression Levels of Inflammatory Factors in LPS-Induced RAW264.7 Macrophages
3. Materials and Methods
3.1. Materials and Chemicals
3.2. Extraction and Isolation of LJP and ULJP
3.3. Ultrasonic Degradation of LJP to Prepare ULJP
3.4. Determination of the Physicochemical Characteristics of LJP and ULJP
3.4.1. General Analysis
3.4.2. Determination of Molecular Weight and Polydispersity
3.4.3. Monosaccharide Composition Analysis
3.4.4. Scanning Electron Microscopy Analysis
3.4.5. Fourier Transform Infrared Analysis
3.4.6. NMR Spectra Analysis
3.5. Antioxidant Activity Evaluation of LJP and ULJP In Vitro
3.6. In Vitro Hypoglycemic Activity Assays of LJP and ULJP
3.7. Effects of LJP and ULJP on RAW264.7 Macrophages
3.7.1. Cell Culture
3.7.2. Cell Viability Assay
3.7.3. Effects of LJP and ULJP on the Morphology of RAW264.7 Macrophages
3.7.4. Effects of LJP and ULJP on Phagocytic Activity of RAW264.7 Macrophages
3.7.5. Effects of LJP and ULJP on NO Release from RAW264.7 Macrophages
3.7.6. Detection of Inflammatory Factor Gene Expression by qPCR
3.8. Statistical Analysis
4. Conclusions
Author Contributions
Funding
Institutional Review Board Statement
Informed Consent Statement
Data Availability Statement
Acknowledgments
Conflicts of Interest
References
- Wang, Z.P.; Wang, P.K.; Ma, Y.; Lin, J.X.; Wang, C.L.; Zhao, Y.X.; Zhang, X.Y.; Huang, B.C.; Zhao, S.G.; Gao, L.; et al. Laminaria japonica hydrolysate promotes fucoxanthin accumulation in Phaeodactylum tricornutum. Bioresour. Technol. 2022, 344, 126117. [Google Scholar] [CrossRef] [PubMed]
- Xu, H.; Zhang, R.; Zhang, J.J. Comparative analysis of fatty acid composition of kelp from different origins. J. Nuclear Agric. 2019, 33, 759–765. [Google Scholar]
- Porrelli, D.; Gruppuso, M.; Vecchies, F. Alginate bone scaffolds coated with a bioactive lactose modified chitosan for human dental pulp stem cells proliferation and differentiation. Carbohydr. Polym. 2021, 273, 118610. [Google Scholar] [CrossRef]
- An, E.K.; Hwang, J.; Kim, S.J. Comparison of the immune activation capacities of fucoidan and laminarin extracted from Laminaria japonica. Int. J. Biol. Macromol. 2022, 208, 230–242. [Google Scholar] [CrossRef]
- Chi, S.S.; Wang, G.; Liu, T. Transcriptomic and proteomic analysis of mannitol-metabolism-associated genes in Saccharina japonica. Genom. Proteom. Bioinf. 2020, 18, 415–429. [Google Scholar] [CrossRef]
- Bonde, C.S.; Bornancin, L.; Lu, Y. Bio-guided fractionation and molecular networking reveal fatty acids to be principal anti-parasitic compounds in nordic seaweeds. Front. Pharmacol. 2021, 12, 674520. [Google Scholar] [CrossRef]
- Gammone, M.A.; D’Orazio, N. Anti-obesity activity of the marine carotenoid fucoxanthin. Mar. Drugs 2015, 13, 2196–2214. [Google Scholar] [CrossRef]
- Xu, Y.; Zhang, Z.; Feng, H. Scorias spongiosa polysaccharides promote the antioxidant and anti-Inflammatory capacity and its effect on intestinal microbiota in mice. Front. Microbiol. 2022, 13, 865396. [Google Scholar] [CrossRef]
- Yu, P.; Yang, S.; Xiao, Z. Structural characterization of sulfated polysaccharide isolated from red algae (Gelidium crinale) and antioxidant and anti-inflammatory effects in macrophage cells. Front. Bioeng. Biotechnol. 2021, 9, 794818. [Google Scholar]
- Luan, F.; Zou, J.; Rao, Z.; Ji, Y.; Lei, Z.; Peng, L.; Yang, Y.; He, X.; Zeng, N. Polysaccharides from Laminaria japonica: An insight into the current research on structural features and biological properties. Food Funct. 2021, 12, 4254–4283. [Google Scholar] [CrossRef]
- Yuan, L.; Zhong, Z.; Liu, Y. Structures and immunomodulatory activity of one galactose- and arabinose-rich polysaccharide from Sambucus adnata. Int. J. Biol. Macromol. 2022, 207, 730–740. [Google Scholar] [CrossRef] [PubMed]
- Swathi, N.; Kumar, A.G.; Parthasarathy, V. EnteromorphaIsolation of species and analyzing its crude extract for the determination of in vitro antioxidant and antibacterial activities. Biomass Convers. Biorefin. 2022, 11, 1–10. [Google Scholar]
- Lin, H.; Zhang, J.; Li, S.; Zheng, B.; Hu, J. Polysaccharides isolated from Laminaria japonica attenuates gestational diabetes mellitus by regulating the gut microbiota in mice. Food Front. 2021, 2, 208–217. [Google Scholar] [CrossRef]
- Cui, C.; Sun-Waterhouse, D.X.; Zhao, L.X. Polysaccharides from Laminaria japonica: Structural characteristics and antioxidant activity. LWT Food Sci. Technol. 2016, 73, 602–608. [Google Scholar] [CrossRef]
- Sun, Y.; Hou, S.; Song, S. Impact of acidic, water and alkaline extraction on structural features, antioxidant activities of Laminaria japonica polysaccharides. Int. J. Biol. Macromol. 2018, 112, 985–995. [Google Scholar] [CrossRef]
- Lasunon, P.; Sengkhamparn, N. Effect of ultrasound-assisted, microwave-assisted and ultrasound-microwave-assisted extraction on pectin extraction from industrial tomato waste. Molecules 2022, 27, 1157. [Google Scholar] [CrossRef]
- Ai, J.; Yang, Z.; Liu, J. In Vitro structural characterization and fermentation characteristics of enzymatically extracted black mulberry polysaccharides. J. Agric. Food. Chem. 2022, 70, 3654–3665. [Google Scholar] [CrossRef]
- Yang, M.; Ren, W.; Li, G.; Yang, P.; Chen, R.; He, H. The effect of structure and preparation method on the bioactivity of polysaccharides from plants and fungi. Food Funct. 2022, 13, 12541–12560. [Google Scholar] [CrossRef]
- Bhadja, P.; Tan, C.Y.; Ouyang, J.M.; Yu, K. Repair effect of seaweed polysaccharides with different contents of sulfate group and molecular weights on damaged HK-2 cells. Polymers 2016, 8, 188. [Google Scholar] [CrossRef]
- Zha, S.H.; Zhao, Q.S.; Ouyang, B.; Mo, J.; Chen, J.L. Molecular weight controllable degradation of Laminaria japonica polysaccharides and its antioxidant properties. J. Ocean Univ. China 2016, 15, 637–642. [Google Scholar] [CrossRef]
- Xu, Z.; Zuo, Z.Q.; Gaowa, B.; Gu, Y.Y.; Hui, C.; Shen, Y.L.; Xu, H.P. The antithrombotic effects of low molecular weight fragment from enzymatically modified of Laminaria Japonica polysaccharide. Med. Sci. Monit. 2020, 26, e920221. [Google Scholar] [CrossRef] [PubMed]
- Chen, Y.; Huang, W.; Chen, Y.; Wu, M.; Jia, R.; You, L. Influence of molecular weight of polysaccharides from Laminaria japonica to LJP-based hydrogels: Anti-inflammatory activity in the wound healing process. Molecules 2022, 27, 6915. [Google Scholar] [CrossRef] [PubMed]
- Wu, Y.M. Degradation of Laminarin LJP4, Analysis and Identification of Its Products and Study on Anticoagulant Activit; Northwestern University: Xi’an, China, 2016. [Google Scholar]
- Mao, Y.H.; Song, A.X.; Li, L.Q.; Yang, Y.; Yao, Z.P.; Wu, J.Y. A high-molecular weight exopolysaccharide from the Cs-HK1 fungus: Ultrasonic degradation, characterization and in vitro fecal fermentation. Carbohydr. Polym. 2020, 246, 116636. [Google Scholar] [CrossRef] [PubMed]
- Chen, Q.; Kou, L.; Wang, F. Size-dependent whitening activity of enzyme-degraded fucoidan from Laminaria japonica. Carbohydr. Polym. 2019, 225, 115211. [Google Scholar] [CrossRef] [PubMed]
- Feng, J.X. Study on Chemical Structure, Chain Conformation and Anti-Inflammatory Activity of Polysaccharide Degraded by Ultrasoun; Hebei Normal University of Science and Technology: Qinhuangdao, China, 2021. [Google Scholar]
- Larsen, L.R.; van der Weem, J.; Caspers-Weiffenbach, R. Effects of ultrasound on the enzymatic degradation of pectin. Ultrason. Sonochem. 2021, 72, 105465. [Google Scholar] [CrossRef] [PubMed]
- Gao, J. Structural Characterization of Laminarin and Its Effects on Dyslipidemia-Related Intestinal Flora; South China University of Technology: Guangzhou, China, 2019. [Google Scholar]
- Lee, I.S.; Ko, S.J.; Lee, Y.N.; Lee, G.; Rahman, H.; Kim, B. The effect of Laminaria japonica on metabolic syndrome: A systematic review of its efficacy and mechanism of action. Nutrients 2022, 14, 3046. [Google Scholar] [CrossRef]
- Yu, L. Study on the Structure and Biological Activity of Functional Components in Wakame; Shanghai Normal University: Shanghai, China, 2021. [Google Scholar]
- He, Y.F.; Qian, J.Y.; Li, H. GC-MS combined with two-dimensional nuclear magnetic resonance to analyze the structure of Clam polysaccharide Fr.2A. Mar. Sci. 2017, 41, 50–57. [Google Scholar]
- Li, H.Y.; Yi, Y.L.; Guo, S.; Zhang, F.; Yan, H.; Zhan, Z.L.; Zhu, Y.; Duan, J.A. Isolation, structural characterization and bioactivities of polysaccharides from Laminaria japonica: A review. Food Chem. 2022, 370, 131010. [Google Scholar] [CrossRef]
- Yang, K.; Jin, Y.; Cai, M.; He, P.; Tian, B.; Guan, R.; Yu, G.; Sun, P. Separation, characterization and hypoglycemic activity in vitro evaluation of a low molecular weight heteropolysaccharide from the fruiting body of Phellinus pini. Food Funct. 2021, 12, 3493–3503. [Google Scholar] [CrossRef]
- Du, J.; An, X.P.; Liu, N. Effects of enzymatic hydrolysis on the structure and antioxidant activity of corncob polysaccharides in vitro. Feed Ind. 2021, 42, 45–50. [Google Scholar]
- Pan, W.F. Preparation of Astragalus Polysaccharide Degradation Products and Their Anti-Aging Effects; Guangdong Pharmaceutical University: Guangzhou, China, 2020. [Google Scholar]
- Yan, S.L.; Pan, C.; Yang, X.Q. Degradation, structural characterization and determination of hypoglycemic activity of Pinus alba polysaccharide. Food Ferment. Ind. 2021, 47, 119–126. [Google Scholar]
- Wu, Z.Y. Extraction of Kelp Polysaccharide and its Effect on Macrophage Inflammatory Response and Alleviation of CCl4-Induced Liver Injury in Mice; Yantai University: Yantai, China, 2021. [Google Scholar]
- Qiu, H.C.; Lai, K.D.; Liang, B. Effects of total flavonoids of pine on lipopolysaccharide-induced inflammation in RAW264.7 cells. Guangxi Sci. 2021, 28, 396–401. [Google Scholar]
- Wang, C.; Zhang, Y.; Xue, H. Extraction kinetic model of polysaccharide from Codonopsis pilosula and the application of polysaccharide in wound healing. Biomed. Mater. 2022, 17, 025012. [Google Scholar] [CrossRef] [PubMed]
- Yan, J.K.; Wang, C.; Yu, Y.B. Physicochemical characteristics and in vitro biological activities of polysaccharides derived from raw garlic (Allium sativum L.) bulbs via three-phase partitioning combined with gradient ethanol precipitation method. Food Chem. 2020, 339, 128081. [Google Scholar] [CrossRef] [PubMed]
- Wu, X.; Liu, Z.; Liu, Y. Immunostimulatory effects of polysaccharides from Spirulina platensis in vivo and vitro and their activation mechanism on RAW246.7 macrophages. Mar. Drugs 2020, 18, 538. [Google Scholar] [CrossRef] [PubMed]
- Yi, Y.; Hua, H.; Sun, X. Rapid determination of polysaccharides and antioxidant activity of Poria cocos using near-infrared spectroscopy combined with chemometrics. Spectrochim. Acta A Mol. Biomol. Spectrosc. 2020, 240, 118623. [Google Scholar] [CrossRef]
- Li, J.; Zhao, Y.; Jiang, X. Quantitative analysis of protein in thermosensitive hydroxypropyl chitin for biomedical applications. Anal. Biochem. 2020, 599, 113745. [Google Scholar] [CrossRef]
- Su, D.L.; Li, P.J.; Quek, S.Y. Efficient extraction and characterization of pectin from orange peel by a combined surfactant and microwave assisted process. Food Chem. 2019, 286, 1–7. [Google Scholar] [CrossRef]
- Li, Q.M.; Zha, X.Q.; Zhang, W.N.; Liu, J.; Pan, L.H.; Luo, J.P. Laminaria japonica polysaccharide prevents high-fat-diet-induced insulin resistance in mice via regulating gut microbiota. Food Funct. 2021, 12, 5260–5273. [Google Scholar] [CrossRef]
- Chen, Y.; Wang, T.; Zhang, X. Structural and immunological studies on the polysaccharide from spores of a medicinal entomogenous fungus Paecilomyces cicadae. Carbohydr. Polym. 2021, 254, 117462. [Google Scholar] [CrossRef]
- Li, Z.; Xiao, W.; Xie, J. Isolation, characterization and antioxidant activity of yam polysaccharides. Food 2022, 11, 800. [Google Scholar] [CrossRef] [PubMed]
- Gao, J.; Liu, C.; Shi, J. The regulation of sodium alginate on the stability of ovalbumin-pectin complexes for VD encapsulation and in vitro simulated gastrointestinal digestion study. Food Res. Int. 2021, 140, 110011. [Google Scholar] [CrossRef] [PubMed]
- Kibar, H.; Arslan, Y.E.; Ceylan, A. Weissella cibaria EIR/P2-derived exopolysaccharide: A novel alternative to conventional biomaterials targeting periodontal regeneration. Int. J. Biol. Macromol. 2020, 165, 2900–2908. [Google Scholar] [CrossRef] [PubMed]
- Takis, P.G.; Jiménez, B.; Sands, C.J. SMolESY: An efficient and quantitative alternative to on-instrument macromolecular H-NMR signal suppression. Chem. Sci. 2020, 11, 6000–6011. [Google Scholar] [CrossRef] [PubMed]
- Insang, S.; Kijpatanasilp, I.; Jafari, S. Ultrasound-assisted extraction of functional compound from mulberry (Morus alba L.) leaf using response surface methodology and effect of microencapsulation by spray drying on quality of optimized extract. Ultrason. Sonochem. 2022, 82, 105806. [Google Scholar] [CrossRef]
- Frühbauerová, M.; Červenka, L.; Hájek, T. Bioaccessibility of phenolics from carob (Ceratonia siliqua L.) pod powder prepared by cryogenic and vibratory grinding. Food Chem. 2022, 377, 131968. [Google Scholar] [CrossRef]
- Yang, H.R.; Chen, L.H.; Zeng, Y.J. Structure, antioxidant activity and in vitro hypoglycemic activity of a polysaccharide purified from Tricholoma matsutake. Food 2021, 10, 2184. [Google Scholar] [CrossRef]
- Yu, H.T.; Chen, Y.F.; Sun, M.C. A novel polymeric nanohybrid antimicrobial engineered by antimicrobial peptide MccJ25 and chitosan nanoparticles exerts strong antibacterial and anti-inflammatory activities. Front. Immunol. 2021, 12, 811381. [Google Scholar]
- Rahmawati, L.; Park, S.H.; Kim, D.S. Prasiola japonica anti-inflammatory activities of the ethanol extract of, an edible freshwater green algae, and its various solvent fractions in LPS-induced macrophages and carrageenan-induced paw edema via the AP-1 pathway. Molecules 2021, 27, 194. [Google Scholar] [CrossRef]
- Kong, X.P.; Chen, Z.H.; Xia, Y.J. Optimization of RAW264.7 cell inflammation model and study on anti-inflammatory activity of isoquinoline alkaloids. Mod. Med. Clin. 2020, 35, 2293–2299. [Google Scholar]
- Zhang, N.; Ma, H.; Zhang, Z.F. Characterization and immunomodulatory effect of an alkali-extracted galactomannan from Morchella esculenta. Carbohydr. Polym. 2022, 278, 118960. [Google Scholar] [CrossRef] [PubMed]
- Shin, S.W.; Hwang, Y.S. Anti-priodontitis efect of ehanol etracts of seds. Nutrients 2021, 14, 136. [Google Scholar] [CrossRef] [PubMed]
- Hou, M.D.; Gao, J.; Liu, Z.Q. Antioxidant and immunomodulatory activities In Vitro of a neutral polysaccharide from ginger (Zingiber Officinale). Starch Stärke 2021, 73, 2100048. [Google Scholar]











| Sample | LJP | ULJP |
|---|---|---|
| Total sugar (%) | 70.10 ± 1.30 | 70.83 ± 1.21 |
| Protein (%) | 1.24% ± 0.02 | 1.15% ± 0.03 |
| Uronic acid (%) | 61.92% ± 1.01 | 54.95% ± 1.02 |
| Sulfate group (%) | 6.79% ± 0.23 | 7.78% ± 1.03 |
| Mw (kDa) | 219.678 | 153.895 |
| Mn (kDa) | 137.254 | 33.475 |
| Mp (kDa) | 181.761 | 7.84 |
| Polydispersity (Mw/Mn) | 1.601 | 4.597 |
| Fuc | 13.21 | 0.93 |
| Rha | 0.23 | ND |
| Ara | 0.79 | 0.77 |
| Gal | 9.37 | 72.56 |
| Glc | 0.61 | 16.87 |
| Xyl | 2.23 | 2.58 |
| Man | 4.97 | 0.56 |
| Fru | ND | ND |
| Rib | 0.17 | 0.35 |
| Gal-UA | 0.20 | ND |
| Gul-UA | 5.18 | ND |
| Glc-UA | 7.38 | 4.58 |
| Man-UA | 55.66 | 0.79 |
Disclaimer/Publisher’s Note: The statements, opinions and data contained in all publications are solely those of the individual author(s) and contributor(s) and not of MDPI and/or the editor(s). MDPI and/or the editor(s) disclaim responsibility for any injury to people or property resulting from any ideas, methods, instructions or products referred to in the content. |
© 2022 by the authors. Licensee MDPI, Basel, Switzerland. This article is an open access article distributed under the terms and conditions of the Creative Commons Attribution (CC BY) license (https://creativecommons.org/licenses/by/4.0/).
Share and Cite
Wu, J.; Wang, H.; Liu, Y.; Xu, B.; Du, B.; Yang, Y. Effect of Ultrasonic Irradiation on the Physicochemical and Structural Properties of Laminaria japonica Polysaccharides and Their Performance in Biological Activities. Molecules 2023, 28, 8. https://doi.org/10.3390/molecules28010008
Wu J, Wang H, Liu Y, Xu B, Du B, Yang Y. Effect of Ultrasonic Irradiation on the Physicochemical and Structural Properties of Laminaria japonica Polysaccharides and Their Performance in Biological Activities. Molecules. 2023; 28(1):8. https://doi.org/10.3390/molecules28010008
Chicago/Turabian StyleWu, Jinhui, Huiying Wang, Yanfei Liu, Baojun Xu, Bin Du, and Yuedong Yang. 2023. "Effect of Ultrasonic Irradiation on the Physicochemical and Structural Properties of Laminaria japonica Polysaccharides and Their Performance in Biological Activities" Molecules 28, no. 1: 8. https://doi.org/10.3390/molecules28010008
APA StyleWu, J., Wang, H., Liu, Y., Xu, B., Du, B., & Yang, Y. (2023). Effect of Ultrasonic Irradiation on the Physicochemical and Structural Properties of Laminaria japonica Polysaccharides and Their Performance in Biological Activities. Molecules, 28(1), 8. https://doi.org/10.3390/molecules28010008

