Abstract
Bile acid receptors have been identified as important targets for the development of new therapeutics to treat various metabolic and inflammatory diseases. The synthesis of new bile acid analogues can help elucidate structure–activity relationships and define compounds that activate these receptors selectively. Towards this, access to large quantities of a chenodeoxycholic acid derivative bearing a C-12 methyl and a C-13 to C-14 double bond provided an interesting scaffold to investigate the chemical manipulation of the C/D ring junction in bile acids. The reactivity of this alkene substrate with various zinc carbenoid species showed that those generated using the Furukawa methodology achieved selective α-cyclopropanation, whereas those generated using the Shi methodology reacted in an unexpected manner giving rise to a rearranged skeleton whereby the C ring has undergone contraction to form a novel spiro–furan ring system. Further derivatization of the cyclopropanated steroid included O-7 oxidation and epimerization to afford new bile acid derivatives for biological evaluation.
1. Introduction
Bile acids are amphiphilic compounds synthesized from cholesterol in the liver. These steroidal molecules possess both hydrophobic and hydrophilic regions enabling them to form micelles and function as physiological detergents for the absorption, distribution, metabolism and excretion of nutrients [1]. Bile acids also act as signaling molecules that activate the host cell receptors farnesoid X receptor (FXR) [2,3] and Takeda G protein-coupled receptor (GPCR) 5 [4,5] (TGR5; also known as G protein-coupled bile acid receptor 1, GPBAR1). FXR, a member of the nuclear receptor superfamily, is expressed at high levels in the liver and intestine and plays a central role in bile acid homeostasis alongside regulating various aspects of lipid [6,7] and glucose metabolism [7,8,9] as well as being involved in anti-inflammatory [10] and anti-fibrotic [11] activities. TGR5 belongs to the class A GPCR subfamily and is ubiquitously expressed in many tissues. Activation of TGR5 results in increased energy expenditure in adipose tissue and the secretion of glucagon-like peptide 1 (GLP-1), which is implicated in glucose metabolism and insulin sensitivity [12]. Consequently, dual FXR/TGR5 agonists were considered potential therapeutics for the treatment of metabolic disorders such as hypercholesterolemia, hypertriglyceridemia and type 2 diabetes. Concomitant activation of TGR5, however, presents with adverse effects such as pruritus [13], cholesterol gallstone formation [14] and gallbladder overfilling [15]. To avoid such side-effects, the development of new therapeutics to treat these diseases hinge on the ability to target these receptors selectively. Our approach towards achieving this was to synthesize a library of compounds with a modified C/D ring junction to be screened against these receptors to help elucidate key structure–activity relationships.
As part of a program to develop new bile acids with targeted activities, we established a scalable route to the two novel alkenes 1 and 2 (Figure 1) from cholic acid via a Nametkin-type rearrangement [16,17]. Of the various chemical manipulations afforded to olefins, we were particularly interested in applying those that result in the formation of new ring systems. Functionalizing the bile acids in this manner would not only afford a new class of compound to probe drug–receptor interactions but also advance investigations into the chemical reactivity of tetrasubstituted double bonds within the steroidal superstructure. Of the two chenodeoxycholic acid (CDCA, 3) derivatives isolated, the Δ13(14)-scaffold 1 provided a unique opportunity to investigate the cycloaddition of methylene across the C/D ring junction to generate bile acid propellanes with altered lipophilicity and structural conformations from the parent compound. To the best of our knowledge, there are no published examples of bile acid propellanes. The only known androstane-derived propellanes are the β-facing cyclopropanes 4–6 (Figure 2), which were generated from deamination and a stereospecific rearrangement of 5α-H,18β-aminomethyl precursors [18,19,20]. Apart from a diastereomeric mixture of bile acids containing a side-chain cyclopropyl group across C-22 and C-23 (7) [21] and a spiro–cyclopropanyl derivative of obeticholic acid (8) [22], the only reported example of a bile acid containing a cyclopropyl at any position across the steroidal skeleton is compound 9 [22] (Figure 2).
Figure 1.
Isomeric, unsaturated chenodeoxycholic acid analogues 1 and 2 provide an interesting steroidal skeleton for chemical manipulation.
Figure 2.
Examples of cyclopropane-containing androstanes and bile acids.
Cyclopropanes, which can be formed with high diastereo- and enantiocontrol (as reviewed in [23,24]), have gained much attention in the fields of organic synthesis, medicinal chemistry and materials science for their interesting and unique properties [25]. The cyclopropanation of olefins can be catalyzed by various transition metal catalysts including zinc, copper, gold, palladium, and rhodium with others, such as ruthenium, iron, nickel, cobalt, titanium and yttrium, also having roles in cyclopropane formation [26]. Of these, zinc reagents often offer an inexpensive and less toxic approach to perform this functionalization. Founded on the seminal work by Emschwiller [27], who in 1929 showed diiodomethane and zinc react to form an iodomethylzinc species, and Simmons and Smith [28,29] (for a review of the Simmons−Smith cyclopropanation, see [30]) who later reported the formal cycloaddition of methylene across various olefins by treatment of diiodomethane with the zinc−copper couple (for a review on the uses of zinc carbenoids in stereoselective synthesis, see [31]); new organozinc carbenoids have been successfully employed to cyclopropanate traditionally unreactive alkenes, expanding the scope of suitable olefinic substrates. Among these are the methods developed by the groups of Furukawa [32,33], Wittig and Denmark [34], Shi [35,36] and Charette [37].
Beyond the reactivity of the carbenoid species, the olefin substrate can profoundly influence cyclopropane stereoselectivity and product yield. Although electron-rich tetrasubstituted olefins can be favored through electronic factors, steric constraints can hinder reaction yields. To overcome such limitations, directing groups (i.e., those which contain Lewis-basic heteroatoms) can be used to chelate metal carbenoids positioning them within proximity of the olefin in order to execute the ring-forming step. In structure 1, we envisioned the homo-allylic alcohol at O-7 may provide such a handle.
2. Results and Discussion
In accordance with published procedures [16], our synthetic efforts began with cholic acid (10), which was suitably protected to allow selective mesylation at C-12 to give 13 (Scheme 1). Exposure to a sodium acetate/acetic acid buffer at 100 °C afforded the isomeric Δ13(14)- and Δ13(17) -alkenes 14 and 15 in a ratio of 1:2 as the major products. Hydrolysis of the methyl ester and acetate protecting groups followed by fractional crystallization from hot ethyl acetate/methanol mixtures afforded multi-gram quantities of 1 (7% from 13) and 2 (13% from 13) for further derivatization.
Scheme 1.
Nametkin-type rearrangement of cholic acid leads to two major isomeric alkenes: (a) MeOH, p-TsOH·H2O, 65 °C, 18 h; (b) Ac2O (2.2 equiv.), pyr, DMAP, 44%; (c) MsCl, pyr, 3 °C, 98%; (d) AcOH, NaOAc, 100 °C; (e) (i) NaOH, MeOH; (ii) HCl (aq), 0 °C, 7% (1 from 12) and 13% (2 from 12).
With the rearranged precursor bile acids 1 and 2 in hand, we turned our attention towards cyclopropane formation with the aim of using Zn-carbenoids to effect this transformation. To avoid unwanted Zn-chelation via the carboxylic acid, 1 was first treated with diazomethane to afford the corresponding methyl ester 16 in excellent yield (Scheme 2). The first attempt to cyclopropanate alkene 16 employed the Furukawa methodology whereby the corresponding Zn-carbenoid was formed in situ by reaction of Et2Zn and diiodomethane. Employing toluene as the solvent (80 °C, 42 h) afforded cyclopropane 17 exclusively in 73% yield; however, performing the same reaction in refluxing dichloromethane gave a similar quantity of product after only 4 h (Scheme 2). Given that Furukawa carbenoids are renowned for their stereospecificity and high reactivity with electron-rich olefins, it was not surprising that a high yield of a single cyclopropane diastereomer was obtained from this reaction. Although the facial orientation of the cyclopropane moiety of 17 could not be established by NMR spectroscopy, it was anticipated that the homo-allylic 7-OH group would direct cyclopropanation via the α-face. Hydrolysis of ester 17 produced carboxylic acid 18, and suitable crystals were obtained for X-ray diffraction, which unequivocally proved the stereochemistry of the newly installed cyclopropane to be cis to the 7-OH as anticipated. This is the first reported example of an α-facing cyclopropane across the C/D ring junction of any androstane-containing motif. Because bile acid conjugates, typically as taurine and glycine salts, are more readily transported in biological systems, converting 18 into its taurine analogue was considered prudent for biological evaluation. This was achieved by first forming the carbonic anhydride of 18 in situ before reaction with taurine to afford conjugate 19.
Scheme 2.
Stereoselective cyclopropanation and taurine conjugation of the rearranged cholic acid: (a) (i) Diazald, Et2O, KOH (aq), EtOH, 65 °C, (ii) EtOAc, (iii) AcOH, 80%; (b) Et2Zn, CH2I2, CH2Cl2, reflux, 4 h, 78%; (c) NaOH, MeOH/H2O, HCl, 92%; (d) (i) isobutyl chloroformate (1.2 equiv.), Et3N (4.4 equiv.), THF, −4 to −10 °C, 1 h; (ii) taurine (2.4 equiv.) in water, 18 h, 40%. ORTEP plot of the X-ray crystal structure of 18 (CCDC 2150664) shown with 30% probability ellipsoids.
The orientation of the 7-OH functionality in bile acids can have a pronounced effect on its biological activity. Compared to its 7α-epimer, CDCA, the 7β-hydroxy group of ursodeoxycholic acid (UDCA) renders this bile acid much more hydrophilic and therefore less toxic to gut bacteria [38]. However, CDCA has been shown to fully activate FXR, whereas UDCA had negligible activity on this receptor [39]. To investigate how the 7-OH functionality in 18 can influence potential receptor-agonist activities, a small library of bile acid propellanes was sought for biological testing. For this purpose, inversion of the C-7 hydroxyl group was attempted via oxidation and stereoselective reduction in the ketone moiety.
A report [40] describing the selective oxidation of the 7-hydroxyl of CDCA, in the presence of an unprotected 3-hydroxyl group, with pyridinium chlorochromate (PCC) have attributed its regioselectivity to the fact that the oxidation of axial hydroxyl groups over equatorial hydroxyl groups is kinetically favored. Reaction times exceeding 15 min, however, result in formation of the di-keto product [40]. In our hands, applying the reported conditions to diol 18 resulted in formation of the 3,7-di-keto product while significant amounts of starting material remained in solution. To avoid formation of undesired oxidation products, the 3-OH was instead temporarily protected as a benzoyl ester (16→20) before subjection to the Furukawa carbenoid methodology, affording the cyclopropane intermediate 21 in 71% yield over the two steps (Scheme 3). Alternatively, intermediate 21 was furnished in a similar overall yield (73%) from direct selective mono-benzolyation of cyclopropane-diol 17. With O-3 suitably protected and the cyclopropane installed, the oxidation of O-7 was screened using the common oxidants TEMPO/BAIB, NBS, KBr/NaOCl, PCC and Dess–Martin periodinane. From these, PCC proved to be the best oxidant for this substrate, affording the keto intermediate 22 in 95% yield, which was subsequently deprotected under basic reaction conditions to give 23. Based on reports that elemental sodium can be used to selectively reduce keto moieties on steroids to give β-hydroxyl groups [41], 23 was treated with sodium in hot isopropanol. The desired 7β-OH analogue 24 was formed as the major product, albeit in a modest 21% yield. The stereochemistry of the 7-epimers (18 and 24) was determined by X-ray analysis (e.g., compound 18) and by comparing the 1H NMR spectra of compounds 18 and 24. For the 7α-OH-compound 18, H-7eq typically appears as a quartet due to its coupling with adjacent protons with similar coupling constants (δ 4.11 (q, J = 2.9 Hz, 1H, H-7eq)), whereas for 24, H-7ax couples to H-6ax and H-8 at ca. 180° angles, and to H-6eq at ca. 60°, appearing as a triplet of doublets (δ 3.63 (td, J = 11.6, 4.8 Hz, 1H, H-7ax)) and therefore distinguishable from its 7α-isomer.
Scheme 3.
Synthesis of the 7-oxo and epimer analogues of the cholic acid-derived propellane: (a) BzCl, Pyr, toluene, 2 h; 93% (16→20); 94% (17→21); (b) Et2Zn, CH2I2, CH2Cl2, reflux, 4 h, 76%; (c) PCC (15 equiv.), CH2Cl2, 2 h, 95%; (d) NaOH, MeOH/H2O, then HCl, 75%; (e) Na(s), i-PrOH, 100 °C, 18 h, 21%.
To investigate the importance of the proximity of the homo-allylic participating group at O-7 for cyclopropane formation, the Δ13(17)-alkene isomer 25, with the alkene one carbon atom further removed from the directing group, was subjected to the Furukawa carbenoid for extended periods of time (Scheme 4). Monitoring the reaction by HPLC-MS showed only minor amounts (<10%) of putative cyclopropane formation as indicated by new peaks in the chromatogram with masses of M+14, with the bulk of the crude material comprised of starting material. The significance of the 7-hydroxyl group for directed carbene addition was further illustrated by subjecting the 3,7-di-OAc protected Δ13(14)-alkene isomer (27) (the protected form of 16) to the same Furukawa conditions, but again, no significant amount of cyclopropane formation was observed. Notably, when protected alkene 27 was reacted with an excess of the Shi carbenoid, a reagent with higher reactivity than the Furukawa reagent towards isolated alkenes, no cyclopropane formation was detected.
Scheme 4.
Stereoselective α-cyclopropantion of the Δ13(14)-bile acid occurs via 7-OH participation: (a) (i) Diazald, Et2O, KOH (aq), EtOH, 65 °C, (ii) EtOAc, (iii) AcOH, 93%; (b) Et2Zn, CH2I2, CH2Cl2, reflux, 5 h; (c) acetic anhydride, pyr, toluene, DMAP, 68%.
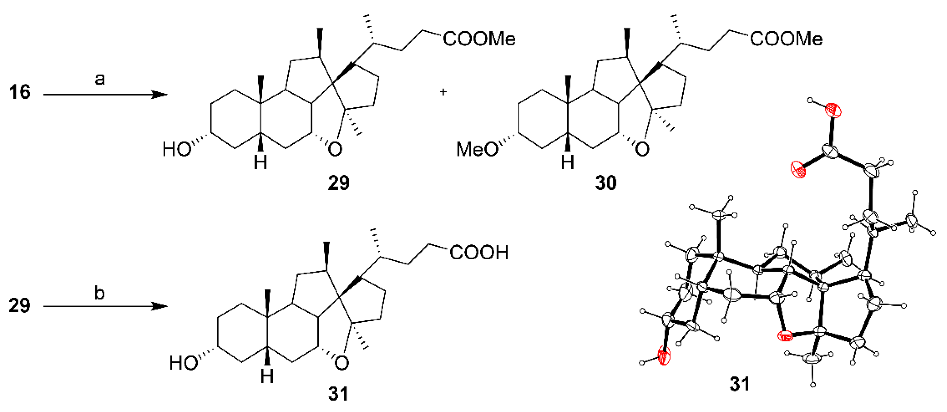
In an attempt to improve directed cyclopropanation reactions of the Δ13(14)-substrate 16, alternative zinc-carbenoids were explored. Reacting 16 with the Simmons–Smith carbenoid (IZnCH2I, 4 equivalents) in refluxing diethyl ether and monitoring the reaction by LCMS failed to generate any significant new products with only starting material being detected. Interestingly, employing the Shi carbenoid (CF3C(O)OZnCH2I, 10 equivalents) in refluxing dichloromethane resulted in the formation of a novel spiro-derivative (29) in 7% yield alongside its 3-OMe analogue 30 as the major product (30% yield, based on 90% purity) contaminated with a small amount of an unidentified impurity (Scheme 5) that was difficult to remove by normal-phase chromatography. Methylation of the 3-hydroxyl in 30 was not entirely unexpected as the alkylation of heteroatoms is a known side product when using excess reagent and/or prolonged reaction times owing to the high electrophilicity of the zinc carbenoid [42]. Hydrolysis of methyl ester 29 gave its corresponding acid (31) for which X-ray crystal data were obtained, confirming formation of the new steroidal skeleton as depicted in Scheme 5.
Scheme 5.
Unexpected formation of the spiro–furan ring system using the Shi carbenoid: (a) (i) Et2Zn, TFA, CH2Cl2, 10 min, 0 °C, (ii) CH2I2, 0 °C to r.t., 7% (for 29) and 30% (for 30; based on 90% purity); (b) NaOH, MeOH/H2O, HCl, 92%. ORTEP plot of the X-ray crystal structure of 31 (CCDC 2150665) shown with 30% probability ellipsoids.
To improve the yield of 29, it was proposed that protecting the 3-OH position of 16 would prevent formation of the methyl ether. Towards this, the selective protection of 3-OH was achieved with acetic anhydride and sodium bicarbonate in THF at 40 °C over 2 days. Increasing the reaction temperature to reflux gave a mixture of 7-OAc isomer and di-acetylated product after 2 h. With the 3-OAc compound (32) in hand, treatment with 10 equivalents of Shi’s Zn-carbenoid afforded the spiro derivative 33 (51%, based on 90% purity) contaminated with small amounts of unidentified impurities that were difficult to remove by chromatography on silica gel (Scheme 6). Deprotection afforded 31 in 83% yield.
Scheme 6.
Improved route to spiro–furan ring system: (a) Acetic anhydride (18 equiv.), NaHCO3 (20 equiv.), THF, 40 °C, 33%; (b) (i) Et2Zn, TFA, CH2Cl2, 10 min, 0 °C, (ii) CH2I2, 0 °C to r.t., 2 h, 51% (based on purity of 90%); (c) NaOH, MeOH/H2O, HCl, 91%.
Because propellanes have been noted to rearrange under acidic conditions [43] it was postulated that 29 could have been formed by trifluoracetic acid-promoted rearrangement of a cyclopropane intermediate leading to the more thermodynamically stable product isolated. To evaluate this possibility, cyclopropane 17 was treated with either TFA or acetic acid and monitored by NMR spectroscopy (Supplementary Materials). However, after 5 min (TFA) or 4 h (AcOH), although the cyclopropane had been consumed, there was no evidence of 29 forming under these conditions. Instead, a potential mechanism leading to 29 is proposed to occur through coordination of the more electron deficient Shi carbenoid species to O-7, which then withdraws electron density from the (13,14)-double bond to form a carbocation at C-13 (Scheme 7). Concomitant migration of the (8,14)-σ-bond with the vacant p-orbital of the nascent carbocation at C-13, due to excellent orbital overlap, is followed by spiro-etherification of O-7 at the newly formed carbocation, then quenching of the resultant carbenoid species. This rearrangement process may be highly concerted based on the minimal atomic reorganization required, and to the best of our knowledge is an unprecedented and unexplored skeletal rearrangement in bile acid and steroid chemistry.
Scheme 7.
Proposed mechanism for rearrangement product from reacting the Shi Zn-carbenoid with the Δ13(14)-bile acid.
3. Conclusions
The stereoselective α-cyclopropanation of a Δ13(14)-bile acid alkene (16 or its 3-OH-protected form 20), in which the 7-OH is not protected, occurs readily when it is treated with the Furukawa carbenoid via assisted intramolecular addition. Applying the same conditions to either the isomeric Δ13(17)-bile acid 2 or to compound 27, where the 7-OH is protected, abolishes cyclopropane formation showing the importance of the homo-allylic hydroxyl for directed methylene cycloaddition in this system. The cyclopropane product was further derivatized as the taurine conjugate and converted to a 7-keto-derivative and its 7β-epimer. In contrast to treatment with the Furukawa carbenoid, when the Δ13(14)-alkene (16 or its 3-OH-protected form 32) was exposed to the Shi carbenoid, the major product was an unexpected rearranged spiro–furan derivative, the structure of which was elucidated through X-ray crystallography. Overall, this study has resulted in bile acid analogues with altered C/D ring conformations, which are currently being investigated for their ability to selectively activate the bile acid receptors FXR and TGR5.
4. Materials and Methods
Proton (1H) and carbon (13C) NMR spectra were recorded on Bruker Avance (III)-500 MHz spectrometer. Chemical shifts are reported in ppm relative to Me4Si (TMS, δ 0.00 ppm), or residual solvent peaks as an internal standard set to δ 7.26 and 77.16 ppm (CDCl3), or δ 3.31 and 49.00 ppm (CD3OD), or δ 2.50 and 39.52 ppm (d6-DMSO) or δ 7.01 and 20.43 ppm (toluene-d8). Electrospray ionization (ESI) mass spectrometry (MS) experiments were performed on a Waters QTOF Premier mass spectrometer (Micromass, UK) under normal conditions. Sodium formate solution was used as calibrant for high resolution mass spectra (HRMS) measurements. Reactions were monitored by thin layer chromatography (TLC) using 0.2 mm silica gel (Merck Kieselgel 60 F254) precoated aluminum plates, using UV light, ammonium molybdate or potassium permanganate staining solution to visualize. Silver nitrate-impregnated TLC plates were prepared by dipping silica gel precoated aluminum plates in a 20% silver nitrate solution in acetonitrile and drying these in an oven at 120 °C. Silver nitrate-impregnated silica gel was prepared by dispersing silica gel in a solution of the corresponding amount of silver nitrate in acetonitrile and concentrating this mixture to dryness. Flash column chromatography was performed on Davisil® silica gel (60, particle size 40–63 μm), or using Reveleris® silica or C18 reversed phase flash cartridges on a Grace Reveleris® automated flash system with continuous gradient facility. Solvents for reactions and chromatography were analytical grade and were used as supplied unless otherwise stated. Crystal structures were collected on an Agilent SuperNova diffractometer fitted with an EOS S2 detector, using CuKα radiation (1.54184 Å) at 120 K.
Methyl 3α,7α-diacetoxy-12α-hydroxy-5β-cholan-24-oate (12) [44]. To a solution of 11 [45] (535.3 g, 1.27 mol) in ethyl acetate (2.5 L) was added 4-(dimethylamino)pyridine (7.80 g, 63 mmol) and pyridine (290 mL, 3.55 mol). The mixture was cooled to 3 °C before the dropwise addition of acetic anhydride (270 mL, 2.78 mol) and the reaction mixture was warmed to r.t. (48 h). Water (1.8 L) was added and the organic layer was washed with water (1 L), 10% HCl (2 × 600 mL), brine (600 mL), dried (MgSO4) and concentrated. The product was purified via fractional precipitation from a mixture of ethyl acetate/petroleum ether (1:1.6) to afford the title compound 12 (283.4 g, 44%). 1H and 13C NMR spectra matched that previously reported [44].
Methyl 3α,7α-diacetoxy-12α-[(methylsulfonyl)oxy]-5β-cholan-24-oate (13) [46]. A solution of 12 (283.4 g, 559 mmol) in pyridine (1.7 L) was concentrated to approx. 1.4 L then cooled to 3 °C before the addition of methanesulfonyl chloride (94 mL, 1.19 mol). After stirring at r.t. (20 h) the reaction was quenched with water (100 mL) and ethyl acetate (600 mL), then concentrated. Water (1 L) and ethyl acetate (1 L) were added and the organic layer was washed with water (800 mL), 10% HCl (600 mL) and brine (800 mL). The organic layer was concentrated to dryness to afford the title compound 13 (319.8 g, 98%). 1H and 13C NMR spectra matched that previously reported [46].
Methyl 3α,7α-diacetoxy-12β-methyl-18-nor-5β-chol-13(14)-en-24-oate (14) and methyl 3α,7β-diacetoxy-12β-methyl-18-nor-5β-chol-13(17)-en-24-oate (15). To a suspension of mesylate 13 (319.8 g, 547 mmol) in acetic acid (320 mL) at 100 °C was added sodium acetate (136.8 g, 1.65 mol) and stirred (18 h) before concentrating from toluene (2 × 800 mL) then ethyl acetate (800 mL). Ethyl acetate (1 L) and water (600 mL) were added and the organic layer was washed with water (500 mL), brine (500 mL), dried (MgSO4) and concentrated to afford a crude sample containing the title compounds 14 and 15 as a ~1:2 mixture of isomers (respectively), which were used in the next step.
3α,7α-Dihydroxy-12β-methyl-18-nor-5β-chol-13(17)-en-24-oic acid (1) and 3α,7α-dihydroxy-12β-methyl-18-nor-5β-chol-13(14)-en-24-oic acid (2) [16]. To a solution of alkenes 14 and 15 in methanol (300 mL) was added NaOH (aq) (2M, 2.973 L, 5.95 mol) and the reaction mixture was stirred at 70 °C (18 h). The reaction was quenched with a solution of HCl (aq) (2M, 4.460 L, 8.92 mol) and the alkenes 1 (14.53 g, 7% from 13) and 2 (27.85 g, 13% from 13) were obtained separately by fractional precipitation from a mixture of methanol/ethyl acetate. 1H and 13C NMR spectra for each compound matched that previously reported [16].
Methyl 3α,7α-dihydroxy-12β-methyl-18-nor-5β-chol-13(14)-en-24-oate (16). An ethereal solution of diazomethane was prepared by distilling a solution of Diazald (1.00 g, 2.56 mmol) in a mixture of Et2O (15 mL) and 1.8M KOH (aq) (2:8 mL water/EtOH, 17.8 mmol). The freshly distilled diazomethane was added slowly to a suspension of alkene 1 (1.00 g, 2.5 mmol) in ethyl acetate (100 mL) at r.t. until complete conversion to its methyl ester. Excess diazomethane was quenched with acetic acid and the solution was concentrated from toluene (50 mL) followed by methanol (50 mL) to afford the title compound 16 (0.83 g, 80%). 1H NMR (500 MHz, CDCl3) δ 4.08 (q, J = 2.9 Hz, 1H), 3.63 (s, 3H), 3.43 (tt, J = 11.1, 4.4 Hz, 1H), 2.62–2.56 (broad signal, 1H), 2.37–2.05 (m, 9H), 2.03–1.84 (m, 4H), 1.83–1.72 (m, 2H), 1.72–1.60 (m, 4H), 1.52 (dt, J = 14.0, 2.2 Hz, 1H), 1.44–1.16 (m, 3H), 1.05–0.93 (overlapping signals: m, 2H and 1.03, d, J = 7.1 Hz, 3H), 0.92 (d, J = 6.8 Hz, 3H), 0.87 (s, 3H); 13C NMR (126 MHz, CDCl3) δ 174.5, 142.7, 137.9, 71.8, 68.1, 53.5, 51.4, 41.5, 41.0, 39.9, 35.6, 35.2, 34.9, 34.1, 33.6, 33.0, 32.7, 31.9, 31.3, 30.7, 25.2, 24.7, 22.3, 21.1, 18.9; HRMS(ESI) m/z calcd. for C25H40O4Na [M + Na]+: 427.2824, found 427.2825.
Methyl 3α,7α-dihydroxy-12β-methyl-13α,14α-methylene-18-nor-5β-cholan-24-oate (17). To Et2Zn (1M in hexanes, 2.5 mL, 0.25 mmol) in dichloromethane (10 mL) was added a solution of CH2I2 (0.23 mL, 2.8 mmol) in dichloromethane (5 mL), followed by addition of 16 (0.100 g, 0.247 mmol) in dichloromethane (5 mL) and the reaction mixture was stirred at 80 °C. After 4 h, the reaction was quenched with NH4Cl (20 mL), extracted with ethyl acetate (20 mL) and washed with brine (20 mL), dried (MgSO4) and concentrated. The residue was purified by flash chromatography on silica gel (ethyl acetate/petroleum ether, 0:10 to 8:2) to afford the title compound 17 (0.081 g, 78%). 1H NMR (500 MHz, CDCl3) δ 4.09 (q, J = 3.2 Hz, 1H), 3.64 (s, 3H), 3.46 (tt, J = 11.1 Hz, 4.5 Hz, 1H) 2.39 (ddd, J = 15.0, 10.4, 5.5 Hz, 1H), 2.24–2.10 (m, 4H), 1.99–1.92 (ddd, J = 14.8 Hz, 5.5 Hz, 3.9 Hz, 1H), 1.85–1.80 (m, 2H), 1.79–1.61 (m, 8H), 1.52–1.45 (m, 1H), 1.44–1.24 (m, 5H), 1.22 (d, J = 7.5 Hz, 3H), 1.20–1.08 (m, 2H), 1.01 (td, J = 14.3, 3.4 Hz, 1H), 0.87 (s, 3H), 0.85 (d, J = 6.6 Hz, 3H), 0.81–0.74 (m, 1H), 0.65 (d, J = 3.9 Hz, 1H), 0.35 (d, J = 3.9 Hz, 1H); 13C NMR (126 MHz, CDCl3) δ 174.2, 71.9, 69.0, 51.5, 50.5, 43.0, 41.0, 39.8, 39.5, 35.4, 34.8, 34.0, 33.7, 33.04, 32.99, 32.9, 32.6, 30.6, 30.1, 29.9, 27.1, 23.8, 22.8, 22.4, 20.9, 18.7; HRMS(ESI) m/z calcd. for C26H43O4 [M + H]+: 419.3161, found 419.3157.
3α,7α-Dihydroxy-12β-methyl-13α,14α-methylene-18-nor-5β-cholan-24-oic Acid (18). To a solution of 17 (0.045 g, 0.11 mmol) in MeOH (2 mL) was added NaOH (aq) (2M, 0.5 mL, 1 mmol). The reaction was stirred at 70 °C (2 h) before being quenched with a solution of HCl (aq) (2M, 1 mL, 2 mmol). The product was extracted with ethyl acetate (15 mL), washed with NaHCO3 (10 mL), brine (10 mL), dried (MgSO4) and concentrated to afford the title compound 18 (0.040 g, 92%). 1H NMR (500 MHz, CDCl3) δ 4.11 (q, J = 2.9 Hz, 1H), 3.48 (tt, J = 11.1, 4.4 Hz, 1H), 2.44 (ddd, J = 15.8, 10.5, 5.5 Hz, 1H), 2.27–2.13 (m, 4H), 2.00–1.93 (m, 1H), 1.86–1.62 (m, 9H), 1.52–1.45 (m, 1H), 1.45–1.25 (m, 5H), 1.23 (d, J = 7.5 Hz, 3H), 1.21–1.11 (m, 2H), 1.01 (td, J = 14.4, 3.6 Hz, 1H), 0.88–0.85 (overlapping signals: 0.86, d; 0.86, s, 6H), 0.84–0.76 (m, 1H), 0.66 (d, J = 4.1 Hz, 1H), 0.37 (d, J = 4.1 Hz, 1H); 13C NMR (126 MHz, CDCl3) δ 178.5, 72.0, 69.1, 50.5, 43.0, 41.1, 39.7, 39.5, 35.5, 34.8, 34.1, 33.8, 33.00, 32.95, 32.76, 32.67, 30.6, 30.1, 30.0, 26.9, 23.8, 22.8, 22.4, 20.9, 18.7; HRMS(ESI) m/z calcd for C25H41O4 [M + H]+: 405.3005, found 405.3005. Crystal data for C25H40O4 (M = 404.57 g/mol): orthorhombic, space group P212121, a = 11.4831(2) Å, b = 12.4753(2) Å, c = 19.9429(3) Å, V = 2856.92(8) Å3, Z = 4, T = 120(2) K, μ(CuKα) = 0.489 mm−1, 17,623 reflections measured (4.18° ≤ Θ ≤ 67.684°), 5577 unique (Rint = 0.0392), which were used in all calculations. The final R1 was 0.0434 (I > 2σ(I)) and wR2 was 0.1393 (all data).
3α,7α-Dihydroxy-12β-methyl-13,14-methylene-18-nor-N-(2-sulfoethyl)-5β-cholan-24-amide (19). Cyclopropane 18 (0.190 g, 0.470 mmol) was concentrated from triethylamine (0.16 mL, 1.15 mmol) then dissolved in THF (9 mL), cooled to −10 °C then isobutyl chloroformate (0.07 mL, 0.5 mmol) was added. After 1 h, triethylamine (0.16 mL, 1.15 mmol) was added followed by an aqueous solution of taurine (0.145 g, 1.14 mmol in 0.92 mL water) and the reaction was allowed to warm to r.t. (16 h). The mixture was concentrated, the residue was dissolved in MeOH (5 mL) and NaOH (2M, 1 mL, 2 mmol) was added. After 2 min, the mixture was concentrated then purified by flash chromatography on silica gel (chloroform/MeOH, 10:0 to 1:1) followed by chromatography on RP-C18 (water/MeOH, 20:1 to 1:4) to afford the title compound 19 (0.102 g, 40%). 1H NMR (500 MHz, CD3OD) δ 4.11 (q, J = 2.9 Hz, 1H), 3.60 (td, J = 6.9, 2.2 Hz, 2H), 3.45–3.37, (m, 1H), 2.98 (td, J = 7.1, 1.2, Hz, 2H), 2.36–2.27 (m, 1H), 2.27–2.19 (m, 3H), 2.12–2.00 (m, 2H), 1.94–1.86 (m, 2H), 1.85– 1.72 (m, 4H), 1.71–1.66 (m, 1H), 1.65–1.58 (m, 2H), 1.58–1.51 (m, 1H), 1.51–1.44 (m, 1H), 1.43–1.31 (m, 3H),1.29 (d, J = 7.5 Hz, 3H), 1.27–1.16 (m, 2H), 1.05 (td, J = 14.2, 3.4 Hz, 1H), 0.95 (s, 3H), 0.91 (d. J = 6.5 Hz), 0.89–0.81 (m, 1H), 0.70 (d, J = 4.3 Hz, 1H), 0.42 (d, J = 4.5 Hz, 1H); 13C NMR (126 MHz, MeOD) δ 176.3, 72.8, 70.1, 52.1, 51.6, 44.6, 42.8, 41.1, 40.5, 36.8, 36.7, 36.2, 36.1, 35.3, 35.1, 35.0, 34.3, 34.3, 31.8, 31.4, 31.3, 29.3, 25.7, 24.0, 23.4, 21.4, 19.2; HRMS(ESI) m/z calcd. for C27H44NNaO6S [M + Na]+: 533.2787, found 533.3123.
Methyl 3α-benzoyl-7α-hydroxyl-12β-methyl-18-nor-5β-chol-13(14)-en-24-oate (20). To a solution of 16 (1.00 g, 2.47 mmol) in a mixture of toluene (11 mL) and pyridine (12 mL) was added benzoyl chloride (0.44 mL, 3.8 mmol) and the mixture was stirred at r.t. (2 h). The reaction was quenched with water (20 mL), extracted with ethyl acetate (15 mL) and the organic layer was washed with NaOH (1M, 20 mL), water (20 mL) and brine (20 mL), dried (MgSO4), concentrated and the resulting residue was purified by flash chromatography on silica gel (ethyl acetate/ petroleum ether, 0:10 to 3:7) to afford 20 (1.172 g, 93%). 1H NMR (500 MHz, CDCl3) δ 8.02–7.97 (m, 2H), 7.52–7.47 (m, 1H), 7.42–7.35 (m, 2H), 4.85 (tt, J = 11.4, 4.6 Hz, 1H), 4.13 (q, J = 2.9 Hz, 1H), 3.64 (s, 3H), 2.66–2.60 (m, 1H), 2.59–2.48 (m, 1H), 2.43–2.32 (m, 3H), 2.32–2.23 (m, 2H), 2.19–2.10 (m, 2H), 2.05–1.97 (m, 2H), 1.96–1.88 (m, 1H), 1.88–1.76 (m, 4H), 1.75–1.66 (m, 2H), 1.66–1.59 (m, 1H), 1.58–1.52 (m, 2H), 1.32–1.21 (m, 2H), 1.17 (td, J = 14.4, 3.4 Hz, 1H), 1.09–0.96 (overlapping signals: m, 1H; 1.05, d, J = 6.8 Hz, 3H), 0.96–0.89 (overlapping signals: d, J = 6.8 Hz, 3H; 0.93, s, 3H); 13C NMR (126 MHz, CDCl3) δ 174.5, 166.1, 142.9, 137.9, 132.5, 130.9, 129.5, 128.1, 74.8, 68.1, 53.5, 51.4, 41.5, 40.7, 35.6, 35.4, 35.0, 34.9, 34.1, 33.6, 33.0, 32.7, 31.9, 31.4, 26.9, 25.2, 24.8, 22.3, 21.1, 18.9; HRMS(ESI) m/z calcd. for C32H44O5Na [M + Na]+: 531.3086, found 531.3090.
Methyl 3α-benzoyl-7α-hydroxy-12β-methyl-13α,14α-methylene-18-nor-5β-cholan-24-oate (21). From 17: To a solution of 17 (0.418 g, 0.999 mmol) in toluene (5 mL) and pyridine (10 mL) was added benzoyl chloride (0.2 mL, 2 mmol) and the mixture was stirred at r.t. (1 h). Water (15 mL) and ethyl acetate (15 mL) were added and the organic layer was washed with NaOH (1M, 20 mL), water (20 mL) and brine (20 mL). The crude mixture was concentrated from toluene and MeOH, treated with Amberlyst® A26 resin (hydroxide form) then purified by flash chromatography on silica gel (ethyl acetate/petroleum ether, 0:10 to 3:7) to afford compound 21 (0.493 g, 94%). From 20: To Et2Zn (1M in hexanes, 2.5 mL, 2.5 mmol) in dichloromethane (15 mL) was added a solution of CH2I2 (0.57 mL, 6.9 mmol) in dichloromethane (10 mL), followed by the dropwise addition of 20 (0.590 g, 1.16 mmol) in dichloromethane (15 mL) and the reaction mixture was stirred at 80 °C (18 h). The reaction was quenched with NH4Cl (100 mL), extracted with ethyl acetate (2 × 50 mL) and the combined organic layers were washed with NaHCO3 (50 mL), brine (100 mL), dried (MgSO4) and concentrated. The residue was purified by flash chromatography on silica gel (ethyl acetate/petroleum ether, 0:10 to 3:7) to afford the title compound 21 (0.462 g, 76%). 1H NMR (500 MHz, CDCl3) δ 8.02 (d, J = 7.3 Hz, 2H), 7.50 (t, J = 7.3 Hz, 1H), 7.39 (t, J = 7.7 Hz, 2H), 4.83 (tt, J = 11.5, 4.4 Hz, 1H), 4.11 (broad signal, 1H), 3.65 (s, 3H), 2.49–2.33 (m, 2H), 2.27–2.21 (m, 1H), 2.20–2.04 (m, 3H), 2.04–1.95 (m, 1H), 1.95–1.71 (m, 8H), 1.70–1.62 (m, 1H), 1.60–1.45 (m, 3H), 1.45–1.31 (m, 2H), 1.23 (d, J = 7.4 Hz, 3H), 1.21–1.09 (m, 3H), 0.92 (s, 3H), 0.89–0.77 (overlapping signals: m, 1H; 0.85, d, J = 6.5 Hz, 3H), 0.69–0.64 (m, 1H), 0.45–0.38 (m, 1H); 13C NMR (126 MHz, CDCl3) δ 174.2, 166.1, 132.5, 131.0, 129.5, 128.1, 75.0, 69.0, 51.4, 50.4, 43.0, 40.9, 39.5, 35.3, 35.2, 34.9, 34.1, 33.7, 33.0, 32.9, 32.8, 32.6, 30.1, 29.9, 27.1, 27.0, 23.8, 22.8, 22.4, 20.8, 18.7; HRMS(ESI) m/z calcd. for C33H46O5Na [M + Na]+: 545.3243, found 545.3248.
Methyl 3α-benzoyl-7-oxo-12β-methyl-13α,14α-methylene-18-nor-5β-cholan-24-oate (22). Pyridinium chlorochromate (PCC) method: To a solution of 21 (0.190 g, 0.36 mmol) in dichloromethane (5 mL) was added silica gel (0.300 g) then PCC (1.200 g, 5.6 mmol) and the mixture was stirred at r.t. (2 h). The crude mixture was filtered, washed with ethyl acetate (30 mL) and the filtrate was washed with water and brine until the aqueous washing were clear affording the title compound 22 (0.181 g, 95%). Dess–Martin method: To a solution of 21 (0.045 g, 0.086 mmol) in dichloromethane (5 mL) was added Dess–Martin periodinane (1.4 equiv.) and the reaction was stirred at r.t. (4 h). The mixture was quenched with isopropanol (0.5 mL), concentrated and the residue was purified by flash chromatography on silica gel (ethyl acetate/toluene, 0:10 to 3:7) to afford the title compound 22 (0.029 g, 65%). 1H NMR (500 MHz, CDCl3) δ 8.04–7.95 (m, 2H), 7.56–7.48 (m, 1H), 7.45–7.36 (m, 2H), 4.94 (tt, J = 11.3, 4.7 Hz, 1H), 3.67 (s, 3H), 2.93–2.86 (m, 1H), 2.66 (d, J = 12.3 Hz, 1H), 2.41 (ddd, J = 15.4, 10.2, 5.4 Hz, 1H), 2.23–2.08 (m, 3H), 2.07–1.97 (m, 3H), 1.97–1.91 (m, 1H), 1.90–1.83 (m, 3H), 1.83–1.75 (m, 1H), 1.75–1.66 (m, 1H), 1.53–1.40 (m, 3H), 1.36–1.26 (m, 3H), 1.25–1.22 (overlapping signals: m, 1H; d, J = 7.5 Hz, 3H), 1.21 (s, 3H), 1.17–1.09 (m, 1H), 1.09–1.00 (m, 1H), 0.87–0.81 (overlapping signals: m, 1H; 0.84, d, J = 6.5 Hz, 3H), 0.25–0.20 (m, 1H); 13C NMR (126 MHz, CDCl3) δ 210.5, 174.2, 166.0, 132.8, 130.5, 129.5, 128.2, 73.6, 52.3, 51.5, 50.2, 45.1, 44.9, 39.4, 39.0, 34.8, 34.1, 33.8, 33.7, 32.9, 31.0, 30.9, 27.1, 26.4, 24.5, 23.1, 22.4, 20.6, 18.7; HRMS(ESI) m/z calcd. for C33H45O5 [M + H]+: 521.3267, found 521.3271.
3α-Hydroxy-7-oxo-12β-methyl-13α,14α-methylene-18-nor-5β-cholan-24-oic acid (23). To a solution of 22 (0.043 g, 0.083 mmol) in MeOH (2 mL) was added NaOH (aq) (2M, 0.5 mL, 1 mmol). The reaction was stirred at 70 °C (2 h) before being quenched with a solution of HCl (aq) (2M, 1 mL, 2 mmol). The product was extracted with ethyl acetate (15 mL), washed with NaHCO3 (15 mL), brine (15 mL), dried (MgSO4), and purified via flash chromatography on silica gel (acetone/dichloromethane + 1% AcOH, 0:10 to 1:1) to afford the title compound 23 (0.025 g, 75%). 1H NMR (500 MHz, CD3OD) δ 3.62–3.50 (m, 1H), 3.02 (dd, J = 1H), 2.79 (d, J = 12.3 Hz, 1H), 2.41 (ddd, J = 15.3, 10.1, 5.5 Hz, 1H), 2.30–2.10 (m, 3H), 1.99–1.86 (m, 5H), 1.86–1.75 (m, 2H), 1.72–1.62 (m, 2H), 1.56–1.48 (m, 1H), 1.39–1.09 (overlapping signals: m, 8H; 1.31, d, J = 7.5 Hz, 3H; 1.21, s, 3H), 0.90 (d, J = 6.6 Hz, 3H), 0.81 (d, J = 4.9 Hz, 1H), 0.22 (d, J = 4.6 Hz, 1H); 13C NMR (126 MHz, CDCl3) δ 214.3, 177.9, 71.5, 53.6, 51.7, 46.8, 46.1, 41.0, 40.5, 38.6, 35.8, 35.5, 35.0, 35.0, 34.1, 32.5, 32.3, 30.8, 28.7, 25.4, 24.1, 23.0, 21.0, 19.0; HRMS(ESI) m/z calcd. for C25H37O4− [M − H]−: 401.2692, found 401.2713.
3α,7β-dihydroxy-12β-methyl-13α,14α-methylene-18-nor-5β-cholan-24-oic Acid (24). To a solution of 23 (0.022 g, 0.056 mmol) in isopropanol (5 mL) was added an excess of Na(s) (added until complete dissolution) and the reaction was heated to 100 °C (5 h). Once cooled, HCl (2M) was added until the pH = 1 and the product was extracted with ethyl acetate (3 × 15 mL). The organic layers were combined, washed with brine (10 mL), dried (MgSO4) and purified by flash chromatography on silica gel (acetone/dichloromethane + 1% acetic acid, 0:10 to 1:4) to afford the title compound 24 (5.0 mg, 21%). 1H NMR (500 MHz, CD3OD) δ 3.63 (td, J = 11.6, 4.8 Hz, 1H), 3.52 (tt, J = 10.5, 4.8 Hz, 1H), 2.39 (ddd, J = 15.1, 10.2, 5.4 Hz, 1H), 2.29–2.22 (m, 1H), 2.18–2.10 (m, 3H), 1.98–1.76 (m, 5H), 1.70–1.42 (m, 9H), 1.33–1.16 (m, 9H), 1.13–1.04 (m, 2H), 0.97 (s, 3H), 0.91 (d, J = 6.7 Hz, 3H), 0.63 (d, J = 4.4 Hz, 1H), 0.22 (dd, J = 4.5, 1.6 Hz, 1H). 13C NMR (126 MHz, CD3OD) δ 177.9, 72.4, 72.2, 51.3, 47.8, 43.8, 41.7, 38.6, 38.4, 37.3, 36.49, 36.46, 35.6, 35.5, 35.2, 34.3, 34.0, 31.1, 29.6, 28.8, 24.3, 24.3, 23.6, 21.1, 19.1; HRMS(ESI) m/z calcd. for C25H39O4 [M + H]+: 403.2848, found 403.2837.
Methyl 3α,7α-dihydroxy-12β-methyl-18-nor-5β-chol-13(17)-en-24-oate (25). An ethereal solution of diazomethane was prepared by distilling a solution of Diazald (1.00 g, 2.56 mmol) in a mixture of Et2O (15 mL) and 1.8M KOH (aq) (2:8 mL water/EtOH, 17.8 mmol). The freshly distilled diazomethane was slowly added to a suspension of 2 (0.459 g, 1.18 mmol) in ethyl acetate (100 mL) at r.t. until completion. Excess diazomethane was quenched with acetic acid and the solution was concentrated from toluene (50 mL) followed by methanol (50 mL) before concentrating to dryness. The product was purified by flash chromatography on silica gel (ethyl acetate/petroleum ether, 3:7 to 7:3) to afford the title compound 25 (0.446 g, 93%). 1H NMR (500 MHz, CDCl3) δ 3.92–3.85 (b.s., 1H), 3.60 (s, 3H), 3.40 (tt, J = 11.1, 4.4 Hz, 1H), 2.95 (h, J = 6.9 Hz, 1H), 2.66–2.23 (m, 3H), 2.23–2.08 (m, 6H), 2.00–1.93 (m, 1H), 1.93–1.85 (m, 2H), 1.84–1.77 (m, 1H), 1.70–1.61 (m, 2H), 1.61–1.54 (m, 3H), 1.54–1.48 (m, 1H), 1.39–1.27 (m 2H), 1.27–1.20 (m, 1H), 1.19 (d, J = 7.0 Hz, 3H), 1.05 (td, J = 11.2 Hz, 3.1 Hz, 1H), 0.97–0.89 (overlapping signals: m, 1H and 0.93, d, J = 6.7 Hz, 3H), 0.82–0.73 (overlapping signals: m, 1H and 0.76, s, 3H); 13C NMR (126 MHz, CDCl3) δ 174.3, 139.9, 134.2, 71.8, 67.0, 51.3, 49.3, 48.8, 41.2, 39.5, 36.3, 35.6, 35.1, 34.8, 34.4, 32.9, 32.5, 31.0, 30.6, 30.3, 30.0, 25.9, 22.8, 20.7, 19.6; HRMS(ESI) m/z calcd. for C25H40O4Na [M + Na]+: 427.2824, found 427.2824.
Methyl 3α,7α-diacetyloxy-12β-methyl-18-nor-5β-chol-13(14)-en-24-oate (27). To a solution of 16 (83 mg, 0.21 mmol) in toluene (4.5 mL) was added pyridine (1 mL) followed by 4-(dimethylamino)pyridine (8 mg, 0.065 mmol) then acetic anhydride (0.2 mL) at r.t. After 3 h, the reaction mixture was concentrated, dissolved in ethyl acetate (20 mL) then washed with 2M HCl (10 mL). The organic layer was washed with water, sat. NaHCO3 (20 mL), brine (20 mL), dried (MgSO4) and concentrated. The crude residue was purified by flash chromatography on silica gel (ethyl acetate/petroleum ether, 0:10 to 3:7) to afford the title compound 27 (68 mg, 68% yield). 1H NMR (500 MHz, CDCl3) δ 5.06 (q, J = 3.1 Hz, 1H), 4.63–4.54 (m, 1H), 3.63 (s, 3H), 2.55 (d, J = 9.1 Hz, 1H), 2.40 (d, J = 11.7 Hz, 1H), 2.32 (ddd, J = 15.0, 9.6, 5.3 Hz, 2H), 2.22–2.09 (m, 2H), 2.08–1.93 (overlapping signals: m, 4H and 1.99, s, 3H and 1.99, s, 3H), 1.92–1.81 (m, 2H), 1.78–1.60 (m, 6H), 1.60–1.54 (m, 1H), 1.53–1.40 (m, 2H), 1.26–1.17 (m, 1H), 1.11 (td, J = 14.4, 3.5 Hz, 1H), 1.02 (d, J = 6.8 Hz, 3H), 1.01–0.84 (overlapping signals: m, 1H and 0.91, d, J = 6.8 Hz, 3H and 0.90, s, 3H); 13C NMR (126 MHz, CDCl3) δ 174.3, 170.42, 170.39, 140.8, 137.6, 74.0, 70.8, 53.3, 51.3, 40.4, 39.3, 35.5, 34.6, 34.5, 33.4, 33.2, 32.53, 32.48, 31.5, 31.0, 26.8, 25.2, 25.0, 22.2, 21.4, 21.3, 21.0, 18.7; HRMS(ESI) m/z calcd. for C29H44O6Na [M + Na]+: 511.3036, found 511.3039.
Methyl (R)-4-((1S,3aR,4aR,4a1R,5aS,7R,9aS,9bS,11R,11aR)-7-hydroxy-3a,9a,11-trimethylhexadecahydrobenzo[4,5]indeno[7,1-bc]cyclopenta[d]furan-1-yl)pentanoate (29) and methyl (R)-4-((1S,3aR,4aR,4a1R,5aS,7R,9aS,9bS,11R,11aR)-7-methoxy-3a,9a,11-trimethylhexadecahydrobenzo[4,5]indeno[7,1-bc]cyclopenta[d]furan-1-yl)pentanoate (30). To a three-neck flask under argon and cooled to 0 °C was added dichloromethane (5 mL) then diethylzinc (1 M in hexanes, 10 mL) followed trifluoroacetic acid (0.4 mL in 10 mL of dichloromethane) and the mixture was left to stir for 10 min. A solution of diiodomethane (0.8 mL, 10 mmol) in dichloromethane (5 mL) was then added dropwise at 0 °C and the mixture stirred for 20 min before the addition of 16 (0.431 g, 1.07 mmol) in dichloromethane (5 mL) and the reaction was allowed to warm to r.t. After 4 h, the reaction was quenched with saturated NH4Cl (40 mL) and the aqueous layer was washed with ethyl acetate (2 × 30 mL). The combined organic layers were washed with NaHCO3 (40 mL), water (40 mL), brine (40 mL), dried (MgSO4) and concentrated. The crude residue was purified by flash chromatography on silica gel (ethyl acetate/petroleum ether, 1:4 to 4:1) to afford 29 (0.031 g, 7%) and 30 (0.103 g, 30% yield, based on a purity of 90%) as separate compounds. Compound 29: 1H NMR (500 MHz, CDCl3) δ 4.21–4.13 (m, 1H), 3.65 (s, 3H), 3.55 (tt, J = 9.6, 4.9 Hz, 1H), 2.41 (ddd, J = 14.9, 9.4, 5,2 Hz, 1H), 2.32–2.19 (m, 3H), 2.01–1.97 (m, 1H), 1,91–1.85 (m, 1H), 1.85–1.81 (m, 1H), 1.81–1.76 (m, 3H), 1.76–1.70 (m, 1H), 1.70–1.64 (m, 4H), 1.59–1.50 (m, 2H), 1.49–1.43 (m, 1H), 1.43–1.39 (m, 1H), 1.39–1.33 (m, 2H), 1.33–1.26 (m, 1H), 1.25 (s, 3H), 1.22–1.15 (m, 1H), 1.14–1.04 (m, 1H), 1.00 (d, J = 7.3 Hz, 3H), 0.97 (d, J = 6.9 Hz, 3H), 0.96–0.89 (m, 1H), 0.89–0.78 (overlapping signals: m, 1H and 0.84, s, 3H); 13C NMR (126 MHz, CDCl3) δ 174.1, 94.4, 77.1, 70.4, 64.3, 51.49, 51.45, 50.7, 42.1, 39.7, 39.0, 38.6, 38.1, 35.8, 35.2, 33.6, 33.3, 32.7, 32.3, 30.2, 29.8, 27.5, 25.6, 20.4, 20.2, 16.9; HRMS(ESI) m/z calcd. for C26H43O4 [M+H]+: 419.3161, found 419.3155. Compound 30: 1H NMR (500 MHz, CDCl3) δ 4.15 (dt, J = 5.2, 3.6 Hz, 1H), 3.64 (s, 3H), 3.26 (s, 3H), 3.13–3.05 (m, 1H), 2.40 (ddd, J = 14.9, 9.4, 5.2 Hz, 1H), 2.29–2.18 (m, 3H), 1.98–1.93 (m, 1H), 1.87–1.79 (m, 2H), 1.77–1.72 (m, 4H), 1.70–1.63 (m, 3H), 1.56–1.48 (m, 2H), 1.43–1.35 (m, 2H), 1.32–1.23 (m, 3H), 1.21 (s, 3H), 1.19–1.07 (m, 1H), 0.97 (ap. t, J = 7.0, 6H), 0.93–0.76 (overlapping signals: m, 2H and 0.83 (s, 3H); 13C NMR (126 MHz, CDCl3) δ 174.0, 94.3, 78.5, 77.2, 64.0, 55.4, 51.4, 51.3, 50.7, 41.9, 39.8, 39.4, 38.3, 35.8, 34.7, 34.0, 33.5, 33.4, 32.8, 32.7, 29.8, 27.4, 26.8, 25.5, 20.4, 20.2, 16.8; HRMS(ESI) m/z calcd. for C27H44O4Na [M + Na]+: 455.3137, found 455.3134.
(R)-4-((1S,3aR,4aR,4a1R,5aS,7R,9aS,9bS,11R,11aR)-7-Hydroxy-3a,9a,11-trimethylhexadecahydrobenzo[4,5]indeno[7,1-bc]cyclopenta[d]furan-1-yl)pentanoic acid (31). From 29: To a solution of 29 (0.019 g, 0.045 mmol) in MeOH (2 mL) was added NaOH (aq) (2M, 0.5 mL, 1 mmol). The reaction was stirred at 70 °C (2 h) before being quenched with a solution of HCl (aq) (2M, 1 mL, 2 mmol). The product was extracted with ethyl acetate (10 mL), washed with water (10 mL) and brine (10 mL), dried (MgSO4) filtered and concentrated to afford compound 31 (0.017 g, 92%). From 33: To a solution of 33 (0.030 g, 0.059 mmol based on purity of 90%,) in MeOH (2 mL) was added NaOH (aq) (2M, 1.5 mL, 3 mmol). The reaction was stirred at 70 °C (2 h) before being quenched with a solution of HCl (aq) (2M, 1 mL, 2 mmol). The product was extracted with ethyl acetate (10 mL), washed with water (10 mL) and brine (10 mL), dried (MgSO4) and concentrated to dryness. The residue was recrystallized from ethyl acetate/petroleum ether to afford compound 31 (0.022 g, 91%). 1H NMR (500 MHz, CD3OD) δ 4.27–4.23 (m, 1H), 3.50 (tt, J = 10.0, 4.2 Hz, 1H), 2.49–2.36 (m, 2H), 2.36–2.22 (m, 2H), 1.99–1.86 (m, 7H), 1.75–1.60 (m, 6H), 1.55–1.47 (m, 2H), 1.45–1.33 (m, 3H), 1.32–1.17 (overlapping signals: m, 3H and 1.31, s, 3H), 1.08 (d, J = 7.4 Hz, 3H), 1.06 (d, J = 6.9 Hz, 3H), 1.01–0.95 (m, 1H), 0.91 (s, 3H); 13C NMR (126 MHz, MeOD) δ 177.5, 96.2, 79.0, 71.4, 65.8, 52.8, 52.3, 43.2, 41.3, 40.0, 39.5, 36.84, 36.79, 34.7, 34.5, 33.7, 33.2, 31.0, 27.8, 26.4, 21.2, 20.5, 17.4; HRMS(ESI) m/z calcd. for C25H40O4Na [M + Na]+: 427.2824, found 427.2824. Crystal data for C25H40O4 (M = 404.57 g/mol): monoclinic, space group P21, a = 10.0027(5) Å, b = 9.9958(5) Å, c = 11.4173(4) Å, V = 1112.61(9) Å3, Z = 2, T = 120(2) K, μ(CuKα) = 0.627 mm−1, Dcalc = 1.208 g/cm3, 11,986 reflections measured (5.951° ≤ Θ ≤ 71.714°), 3745 unique (Rint = 0.0358), which were used in all calculations. The final R1 was 0.0548 (I > 2σ(I)) and wR2 was 0.1472 (all data).
Methyl 3α-acetoxy-7α-hydroxyl-12β-methyl-18-nor-5β-chol-13(14)-en-24-oate (32). To a stirred solution of 16 (0.097 g, 0.24 mmol) in THF (15 mL) was added NaHCO3 (0.440 g, 5.2 mmol) and acetic anhydride (0.5 mL, 5.0 mmol) and the mixture was heated at 40 °C (18 h). The reaction was quenched with water (30 mL) and extracted with ethyl acetate (30 mL). The organic layer was washed with brine, dried (MgSO4), concentrated and the residue was purified by flash chromatography on silica gel (ethyl acetate/petroleum ether, 0:10 to 1:1) to afford the title compound 32 (0.035 g, 33%). 1H NMR (500 MHz, CDCl3) δ 4.58 (tt, J = 11.4, 4.6 Hz, 1H), 4.11 (q, J = 2.9 Hz, 1H), 3.64 (s, 3H), 2.65 (d, J = 8.6 Hz, 1H), 2.42–2.30 (m, 4H), 2.29–2.10 (m, 4H), 2.01–1.88 (overlapping signals: m, 3H; 1.98, s, 3H), 1.87–1.63 (m, 6H), 1.57–1.40 (m, 3H), 1.29–1.18 (m, 2H), 1.14–0.96 (overlapping signals: m, 2H; 1.04, d, J = 7.08 Hz, 3H), 0.93 (d, J = 6.95 Hz, 3H), 0.90 (s, 3H); 13C NMR (126 MHz, CDCl3) δ 174.5, 170.7, 143.1, 137.7, 74.2, 68.2, 53.5, 51.4, 41.6, 40.6, 35.7, 35.3, 35.0, 34.8, 33.9, 33.6, 33.0, 32.7, 31.9, 31.4, 26.7, 25.3, 24.9, 22.3, 21.4, 21.1, 18.9; HRMS(ESI) m/z calcd. for C27H42O5Na [M + Na]+: 469.2930, found 469.2931.
Methyl (4R)-4-((1S,3aR,4aR,5aS,7R,9aS,11R,11aR)-7-acetoxy-3a,9a,11-trimethylhexadecahydrobenzo[4,5]indeno[7,1-bc]cyclopenta[d]furan-1-yl)pentanoate (33). Diethylzinc (1 M in hexanes, 1.3 mL, 1.3 mmol) was added to dichloromethane (2.5 mL) and cooled to 0 °C before trifluoroacetic acid (0.1 mL, 1.4 mmol) and diiodomethane (0.4 mL, 5 mmol) were added to the mixture. After 10 min, a solution of 32 (0.057 g, 0.13 mmol) in dichloromethane (3 mL) was added and the reaction mixture was stirred at r.t. (2 h) before being quenched with NH4Cl sat. (25 mL). The aqueous layer was washed with ethyl acetate (3 × 20 mL) and the combined organic layers were washed with NaHCO3 (20 mL), water (20 mL), brine (25 mL), dried (MgSO4) and concentrated. The crude product was purified by flash chromatography on silica gel (ethyl acetate/petroleum ether, 0:10 to 3:7) to afford the title compound 33 (0.030 g, 51% based on a purity of 90%). 1H NMR (500 MHz, CDCl3) δ 4.71 (tt, J = 8.3, 3.9 Hz, 1H), 4.16 (dt, J = 5.6, 4.0 Hz, 1H), 3.65 (s, 3H), 2.41 (ddd, J = 15.0, 9.4, 5.2 Hz, 1H), 2.31–2.20 (m, 3H), 2.02–1.94 (overlapping signals, m, 1H and 1.98, s, 3H), 1.87–1.74 (m, 6H), 1.70–1.63 (m, 4H), 1.58–1.46 (m, 3H), 1.46–1.34 (m, 3H), 1.29–1.22 (overlapping signals, m, 2H and 1.25, s, 3H), 0.99 (d, J = 7.4 Hz, 3H), 0.97 (d, J = 6.9 Hz, 3H), 0.94–0.88 (m, 1H), 0.86 (s, 3H); 13C NMR (126 MHz, CDCl3) δ 174.1, 170.7, 94.4, 72.0, 63.9, 51.5, 51.2, 50.7, 41.9, 40.9, 38.9, 38.5, 35.9, 33.9, 33.8, 33.4, 33.1, 33.0, 32.7, 29.8, 27.3, 26.3, 25.4, 21.5, 20.2, 20.1, 16.8; HRMS(ESI) m/z calcd. for C28H44O5Na [M + Na]+: 483.3086, found 483.3071.
Supplementary Materials
The following supporting information can be downloaded at https://www.mdpi.com/article/10.3390/molecules27072364/s1; spectroscopy for compounds 16–25, 27 and 29–33.
Author Contributions
Conceptualization, R.A.L.A., A.L. and L.D.H.; compound design, L.D.H.; synthesis and characterization, R.A.L.A., S.A.C., L.D.H. and B.J.C.; writing—original draft preparation, R.A.L.A., L.D.H. and B.J.C.; writing—review and editing, all authors; supervision, L.D.H. and B.J.C.; project administration, A.W-W. and R.H.F.; funding acquisition, A.L., A.W.-W., R.H.F. and L.D.H. All authors have read and agreed to the published version of the manuscript.
Funding
New Zealand Ministry of Business, Innovation and Employment (MBIE), grant number RTVU1202 (29336-HVMSTR-IRL) and New Zealand Pharmaceuticals Limited (NZP, now part of the Industria Chimica Emiliana (ICE) group).
Institutional Review Board Statement
Not applicable.
Informed Consent Statement
Not applicable.
Data Availability Statement
CCDC 2150664 (18) and 2150665 (31) contains the supplementary crystallographic data for this paper. These data can be obtained free of charge from The Cambridge Crystallographic Data Centre via www.ccdc.cam.ac.uk/structures (accessed on 25 February 2022).
Acknowledgments
We gratefully acknowledge MBIE and NZP for financial support. We thank Andrew Lewis and Yinrong Lu (Callaghan Innovation Ltd., Lower Hutt, New Zealand) for NMR and mass spectral services.
Conflicts of Interest
The authors declare no conflict of interest.
Sample Availability
Samples of the compounds presented in this research may be made available from the corresponding authors.
References
- Fiorucci, S.; Distrutti, E. Handbook of Experimental Pharmacology 256: Bile Acids and Their Receptors; Springer International Publishing: New York, NY, USA, 2019. [Google Scholar]
- Makishima, M.; Okamoto, A.Y.; Repa, J.J.; Tu, H.; Learned, R.M.; Luk, A.; Hull, M.V.; Lustig, K.D.; Mangelsdorf, D.J.; Shan, B. Identification of a nuclear receptor for bile acids. Science 1999, 284, 1362–1365. [Google Scholar] [CrossRef] [PubMed]
- Parks, D.J.; Blanchard, S.G.; Bledsoe, R.K.; Chandra, G.; Consler, T.G.; Kliewer, S.A.; Stimmel, J.B.; Willson, T.M.; Zavacki, A.M.; Moore, D.D.; et al. Bile acids: Natural ligands for an orphan nuclear receptor. Science 1999, 284, 1365–1368. [Google Scholar] [CrossRef] [PubMed]
- Maruyama, T.; Miyamoto, Y.; Nakamura, T.; Tamai, Y.; Okada, H.; Sugiyama, E.; Nakamura, T.; Itadani, H.; Tanaka, K. Identification of membrane-type receptor for bile acids (M-BAR). Biochem. Biophys. Res. Commun. 2002, 298, 714–719. [Google Scholar] [CrossRef]
- Kawamata, Y.; Fujii, R.; Hosoya, M.; Harada, M.; Yoshida, H.; Miwa, M.; Fukusumi, S.; Habata, Y.; Itoh, T.; Shintani, Y.; et al. A G protein-coupled receptor responsive to bile acids. J. Biol. Chem. 2003, 278, 9435–9440. [Google Scholar] [CrossRef] [Green Version]
- Watanabe, M.; Houten, S.M.; Wang, L.; Moschetta, A.; Mangelsdorf, D.J.; Heyman, R.A.; Moore, D.D.; Auwerx, J. Bile acids lower triglyceride levels via a pathway involving FXR, SHP, and SREBP-1c. J. Clin. Investig. 2004, 113, 1408–1418. [Google Scholar] [CrossRef] [Green Version]
- Zhang, Y.Q.; Lee, F.Y.; Barrera, G.; Lee, H.; Vales, C.; Gonzalez, F.J.; Willson, T.M.; Edwards, P.A. Activation of the nuclear receptor FXR improves hyperglycemia and hyperlipidemia in diabetic mice. Proc. Natl. Acad. Sci. USA 2006, 103, 1006–1011. [Google Scholar] [CrossRef] [Green Version]
- Ma, K.; Saha, P.K.; Chan, L.; Moore, D.D. Farnesoid X receptor is essential for normal glucose homeostasis. J. Clin. Investig. 2006, 116, 1102–1109. [Google Scholar] [CrossRef] [Green Version]
- Cariou, B.; van Harmelen, K.; Duran-Sandoval, D.; van Dijk, T.H.; Grefhorst, A.; Abdelkarim, M.; Caron, S.; Torpier, G.; Fruchart, J.C.; Gonzalez, F.J.; et al. The farnesoid X receptor modulates adiposity and peripheral insulin sensitivity in mice. J. Biol. Chem. 2006, 281, 11039–11049. [Google Scholar] [CrossRef] [Green Version]
- Wang, Y.D.; Chen, W.D.; Wang, M.H.; Yu, D.N.; Forman, B.M.; Huang, W.D. Farnesoid X Receptor Antagonizes Nuclear Factor kappa B in Hepatic Inflammatory Response. Hepatology 2008, 48, 1632–1643. [Google Scholar] [CrossRef] [Green Version]
- Fiorucci, S.; Rizzo, G.; Antonelli, E.; Renga, B.; Mencarelli, A.; Riccardi, L.; Morelli, A.; Pruzanski, M.; Pellicciari, R. Cross-talk between farnesoid-X-receptor (FXR) and peroxisome proliferator-activated receptor gamma contributes to the antifibrotic activity of FXR ligands in rodent models of liver cirrhosis. J. Pharmacol. Exp. Ther. 2005, 315, 58–68. [Google Scholar] [CrossRef]
- Thomas, C.; Gioiello, A.; Noriega, L.; Strehle, A.; Oury, J.; Rizzo, G.; Macchiarulo, A.; Yamamoto, H.; Mataki, C.; Pruzanski, M.; et al. TGR5-mediated bile acid sensing controls glucose homeostasis. Cell Metab. 2009, 10, 167–177. [Google Scholar] [CrossRef] [PubMed] [Green Version]
- Lieu, T.; Jayaweera, G.; Zhao, P.S.; Poole, D.P.; Jensen, D.; Grace, M.; McIntyre, P.; Bron, R.; Wilson, Y.M.; Krappitz, M.; et al. The Bile Acid Receptor TGR5 Activates the TRPA1 Channel to Induce Itch in Mice. Gastroenterology 2014, 147, 1417–1428. [Google Scholar] [CrossRef] [PubMed] [Green Version]
- Lavoie, B.; Balemba, O.B.; Godfrey, C.; Watson, C.A.; Vassileva, G.; Corvera, C.U.; Nelson, M.T.; Mawe, G.M. Hydrophobic bile salts inhibit gallbladder smooth muscle function via stimulation of GPBAR1 receptors and activation of K-ATP channels. J. Physiol. 2010, 588, 3295–3305. [Google Scholar] [CrossRef] [PubMed]
- Sherif, Z.A.; Saeed, A.; Ghavimi, S.; Nouraie, S.M.; Laiyemo, A.O.; Brim, H.; Ashktorab, H. Global Epidemiology of Nonalcoholic Fatty Liver Disease and Perspectives on US Minority Populations. Dig. Dis. Sci. 2016, 61, 1214–1225. [Google Scholar] [CrossRef] [Green Version]
- Luxenburger, A.; Harris, L.D.; Ure, E.M.; Landaeta Aponte, R.A.; Woolhouse, A.D.; Cameron, S.A.; Ling, C.D.; Piltz, R.O.; Lewis, A.R.; Gainsford, G.J.; et al. Synthesis of 12beta-Methyl-18-nor-bile Acids. ACS Omega 2021, 6, 25019–25039. [Google Scholar] [CrossRef]
- Ure, E.M.; Harris, L.D.; Cameron, S.A.; Weymouth-Wilson, A.; Furneaux, R.H.; Pitman, J.L.; Hinkley, S.F.; Luxenburger, A. Synthesis of 12β-Methyl-18-nor-Avicholic Acid Analogues as Potential TGR5 Agonists. Org. Biomol. Chem. 2022. Advance Article. [Google Scholar] [CrossRef]
- Bender, M.; Schmidtmann, M.; Summons, R.E.; Rullkotter, J.; Christoffers, J. A Geomimetic Approach to the Formation and Identification of Fossil Sterane Biomarkers in Crude Oil: 18-nor-D-homo-Androstane and 5 alpha,14 beta-Androstane. Chem. Eur. J. 2015, 21, 12501–12508. [Google Scholar] [CrossRef]
- Dauben, W.G.; Laug, P. The Preparation of 14-Beta, 18-Cyclo-Progesterone from Conessine Via N-Desmethyl-4,N(20)-Conadiene-3-One. Tetrahedron Lett. 1962, 3, 453–456. [Google Scholar] [CrossRef]
- Hora, J.; Cerny, V.; Sorm, F. On Steroids.70. Cyclopropane Ring Formation on Deamination of 18-Amino Steroids. Collect. Czechoslov. Chem. Commun. 1962, 27, 2771–2777. [Google Scholar] [CrossRef]
- Pellicciari, R.; Cecchetti, S.; Natalini, B.; Roda, A.; Grigolo, B.; Fini, A. Bile-Acids with a Cyclopropyl-Containing Side-Chain.1. Preparation and Properties of 3-Alpha,7-Beta Dihydroxy-22,23-Methylene-5beta-Cholan-24-Oic Acid. J. Med. Chem. 1984, 27, 746–749. [Google Scholar] [CrossRef]
- He, H.; Li, P.; Xiao, H.; Chen, Z.; Zhang, Y.; Chen, S.; Hu, G.; Li, J. Chenodeoxycholic Acid. Derivative. Patent Publication Number WO/2016/173524, 29 April 2016. [Google Scholar]
- Lebel, H.; Marcoux, J.F.; Molinaro, C.; Charette, A.B. Stereoselective cyclopropanation reactions. Chem. Rev. 2003, 103, 977–1050. [Google Scholar] [CrossRef] [PubMed]
- Bartoli, G.; Bencivenni, G.; Dalpozzo, R. Asymmetric Cyclopropanation Reactions. Synthesis 2014, 46, 979–1029. [Google Scholar] [CrossRef]
- Talele, T.T. The “Cyclopropyl Fragment” is a Versatile Player that Frequently Appears in Preclinical/Clinical Drug Molecules. J. Med. Chem. 2016, 59, 8712–8756. [Google Scholar] [CrossRef]
- Wu, W.Q.; Lin, Z.M.; Jiang, H.F. Recent advances in the synthesis of cyclopropanes. Org. Biomol. Chem. 2018, 16, 7315–7329. [Google Scholar] [CrossRef] [PubMed]
- Emschwiller, G. Effect of the zinc-copper couple on methylene iodide. C. R. Hebd. Acad. Sci. 1929, 188, 1555–1557. [Google Scholar]
- Simmons, H.E.; Smith, R.D. A New Synthesis of Cyclopropanes from Olefins. J. Am. Chem. Soc. 1958, 80, 5323–5324. [Google Scholar] [CrossRef]
- Simmons, H.E.; Smith, R.D. A New Synthesis of Cyclopropanes. J. Am. Chem. Soc. 1959, 81, 4256–4264. [Google Scholar] [CrossRef]
- Charette, A.B.; Beauchemin, A. Simmons-Smith Cyclopropanation Reaction; Organic Reactions; Wiley: Hoboken, NJ, USA, 2004; Volume 58. [Google Scholar]
- Pasco, M.; Gilboa, N.; Mejuch, T.; Marek, I. The Renaissance of Zinc Carbenoid in Stereoselective Synthesis in Acyclic Systems. Organometallics 2013, 32, 942–950. [Google Scholar] [CrossRef]
- Furukawa, J.; Kawabata, N.; Nishimura, J. A Novel Route to Cyclopropanes from Olefins. Tetrahedron Lett. 1966, 7, 3353–3354. [Google Scholar] [CrossRef]
- Furukawa, J.; Kawabata, N.; Nishimur, J. Synthesis of Cyclopropanes by Reaction of Olefins with Dialkylzinc and Methylene Iodide. Tetrahedron 1968, 24, 53–58. [Google Scholar] [CrossRef]
- Denmark, S.E.; Edwards, J.P. A Comparison of (Chloromethyl)Zinc and (Iodomethyl)Zinc Cyclopropanation Reagents. J. Org. Chem. 1991, 56, 6974–6981. [Google Scholar] [CrossRef]
- Yang, Z.Q.; Lorenz, J.C.; Shi, Y. Exploring new reactive species for cyclopropanation. Tetrahedron Lett. 1998, 39, 8621–8624. [Google Scholar] [CrossRef]
- Lorenz, J.C.; Long, J.; Yang, Z.Q.; Xue, S.; Xie, Y.; Shi, Y. A novel class of tunable zinc reagents (RXZnCH2Y) for efficient cyclopropanation of olefins. J. Org. Chem. 2004, 69, 327–334. [Google Scholar] [CrossRef] [PubMed]
- Lacasse, M.C.; Poulard, C.; Charette, A.B. Iodomethylzinc phosphates: Powerful reagents for the cyclopropanation of alkenes. J. Am. Chem. Soc. 2005, 127, 12440–12441. [Google Scholar] [CrossRef]
- Ridlon, J.M.; Harris, S.C.; Bhowmik, S.; Kang, D.J.; Hylemon, P.B. Consequences of bile salt biotransformations by intestinal bacteria. Gut Microbes 2016, 7, 22–39. [Google Scholar] [CrossRef] [Green Version]
- Lew, J.L.; Zhao, A.; Yu, J.; Huang, L.; De Pedro, N.; Pelaez, F.; Wright, S.D.; Cui, J. The farnesoid X receptor controls gene expression in a ligand- and promoter-selective fashion. J. Biol. Chem. 2004, 279, 8856–8861. [Google Scholar] [CrossRef] [Green Version]
- Yu, D.D.; Andrali, S.S.; Li, H.; Lin, M.; Huang, W.; Forman, B.M. Novel FXR (farnesoid X receptor) modulators: Potential therapies for cholesterol gallstone disease. Bioorg. Med. Chem. 2016, 24, 3986–3993. [Google Scholar] [CrossRef]
- Dou, Q.; Jiang, Z. A Facile Route to Ursodeoxycholic Acid Based on Stereocontrolled Conversion and Aggregation Behavior Research. Synthesis 2016, 48, 588–594. [Google Scholar] [CrossRef] [Green Version]
- Takakis, I.M.; Rhodes, Y.E. Cyclopropanation of Some Simple Olefinic Compounds—By-Product Formation in Excess Simmons-Smith Reagent. J. Org. Chem. 1978, 43, 3496–3500. [Google Scholar] [CrossRef]
- Smith, A.B.; Wexler, B.A.; Tu, C.Y.; Konopelski, J.P. Stereoelectronic effects in the cationic rearrangements of [4.3.2]propellanes. J. Am. Chem. Soc. 1985, 107, 1308–1320. [Google Scholar] [CrossRef]
- Fieser, L.F.; Rajagopalan, S. Oxidation of Steroids. III. Selective Oxidations and Acylations in the Bile Acid Series. J. Am. Chem. Soc. 1950, 72, 5530–5536. [Google Scholar] [CrossRef]
- Li, Q.J.; Tochtrop, G.P. A stereoselective synthesis of the allo-bile acids from the 5 beta-isomers. Tetrahedron Lett. 2011, 52, 4137–4139. [Google Scholar] [CrossRef]
- Namegawa, K.; Iida, K.; Omura, K.; Ogawa, S.; Hofmann, A.F.; Iida, T. Chemical Synthesis of Rare Natural Bile Acids: 11alpha-Hydroxy Derivatives of Lithocholic and Chenodeoxycholic Acids. Lipids 2018, 53, 403–411. [Google Scholar] [CrossRef] [PubMed]
Publisher’s Note: MDPI stays neutral with regard to jurisdictional claims in published maps and institutional affiliations. |
© 2022 by the authors. Licensee MDPI, Basel, Switzerland. This article is an open access article distributed under the terms and conditions of the Creative Commons Attribution (CC BY) license (https://creativecommons.org/licenses/by/4.0/).








