Functionalized Controlled Porous Glasses for Producing Radical-Free Hyperpolarized Liquids by Overhauser DNP
Abstract
1. Introduction
2. Overhauser Dynamic Nuclear Polarization
3. Materials and Methods
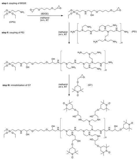
3.1. Radical Matrix Design
3.2. ODNP Set-Up
4. Results and Discussion
4.1. Radical Matrix Characterization
4.2. Static ODNP
4.3. Flow ODNP
5. Conclusions
Supplementary Materials
Author Contributions
Funding
Conflicts of Interest
Appendix A. Synthesis of CPG Radical Matrices
| Chemical | Supplier | Purity |
|---|---|---|
| aminopropyl-CPGs | Biosearch Technologies | |
| GT | TCI | >0.95 g g |
| polyethyleneimine 25,000 g mol | Sigma Aldrich | >0.99 g g |
| polyethyleneimine 800 g mol | >0.98 g g | |
| 1,4-butanediol diglycidyl ether | >0.95 g g | |
| methanol | >0.99 g g | |
| ethanol | >0.99 g g | |
| acetonitrile | >0.99 g g |
Appendix B. Experimental Procedures
Appendix B.1. EPR Measurements
Appendix B.2. Inversion Recovery NMR Measurements
Appendix B.3. Static ODNP Measurements
Appendix B.4. Flow ODNP Measurements
References
- Natterer, J.; Bargon, J. Parahydrogen induced polarization. Prog. Nuclear Magn. Resonan. Spectrosc. 1997, 31, 293–315. [Google Scholar] [CrossRef]
- Bowers, C.R.; Weitekamp, D.P. Parahydrogen and synthesis allow dramatically enhanced nuclear alignment. J. Am. Chem. Soc. 1987, 109, 5541–5542. [Google Scholar] [CrossRef]
- Münnemann, K.; Spiess, H.W. The art of signal enhancement. Nat. Phys. 2011, 7, 522–523. [Google Scholar] [CrossRef]
- Appelt, S.; Baranga, A.B.A.; Erickson, C.J.; Romalis, M.V.; Young, A.R.; Happer, W. Theory of spin-exchange optical pumping of 3He and 129Xe. Phys. Rev. A 1998, 58, 1412–1439. [Google Scholar] [CrossRef]
- Walker, T.G.; Happer, W. Spin-exchange optical pumping of noble-gas nuclei. Rev. Mod. Phys. 1997, 69, 629–642. [Google Scholar] [CrossRef]
- Carver, T.R.; Slichter, C.P. Experimental Verification of the Overhauser Nuclear Polarization Effect. Phys. Rev. 1956, 102, 975–980. [Google Scholar] [CrossRef]
- Ardenkjaer-Larsen, J.H.; Fridlund, B.; Gram, A.; Hansson, G.; Hansson, L.; Lerche, M.H.; Servin, R.; Thaning, M.; Golman, K. Increase in signal-to-noise ratio of >10,000 times in liquid-state NMR. Proc. Natl. Acad. Sci. USA 2003, 100, 10158–10163. [Google Scholar] [CrossRef]
- Maly, T.; Debelouchina, G.T.; Bajaj, V.S.; Hu, K.N.; Joo, C.G.; Mak-Jurkauskas, M.L.; Sirigiri, J.R.; van der Wel, P.C.A.; Herzfeld, J.; Temkin, R.J.; et al. Dynamic nuclear polarization at high magnetic fields. J. Chem. Phys. 2008, 128, 052211. [Google Scholar] [CrossRef]
- Gitti, R.; Wild, C.; Tsiao, C.; Zimmer, K.; Glass, T.E.; Dorn, H.C. Solid/liquid intermolecular transfer of dynamic nuclear polarization. Enhanced flowing fluid proton NMR signals via immobilized spin labels. J. Am. Chem. Soc. 1988, 110, 2294–2296. [Google Scholar] [CrossRef]
- Dorn, H.; Gitti, R.; Tsai, K.; Glass, T. The flow transfer of a bolus with 1H dynamic nuclear polarization from low to high magnetic fields. Chem. Phys. Lett. 1989, 155, 227–232. [Google Scholar] [CrossRef]
- Tsai, K.H.; Dorn, H.C. A model for establishing the ultimate enhancements (A infinity) in the low to high magnetic field transfer dynamic nuclear polarization experiment. Appl. Magn. Reson. 1990, 1, 231–254. [Google Scholar] [CrossRef]
- Dorn, H.C.; Glass, T.E.; Gitti, R.; Tsai, K.H. Transfer of 1H and 13C dynamic nuclear polarization from immobilized nitroxide radicals to flowing liquids. Appl. Magn. Reson. 1991, 2, 9–27. [Google Scholar] [CrossRef]
- Lingwood, M.D.; Siaw, T.A.; Sailasuta, N.; Ross, B.D.; Bhattacharya, P.; Han, S. Continuous flow Overhauser dynamic nuclear polarization of water in the fringe field of a clinical magnetic resonance imaging system for authentic image contrast. J. Magn. Reson. 2010, 205, 247–254. [Google Scholar] [CrossRef] [PubMed]
- Lingwood, M.D.; Sederman, A.J.; Mantle, M.D.; Gladden, L.F.; Han, S. Overhauser dynamic nuclear polarization amplification of NMR flow imaging. J. Magn. Reson. 2012, 216, 94–100. [Google Scholar] [CrossRef] [PubMed]
- McCarney, E.R.; Armstrong, B.D.; Lingwood, M.D.; Han, S. Hyperpolarized water as an authentic magnetic resonance imaging contrast agent. Proc. Natl. Acad. Sci. USA 2007, 104, 1754–1759. [Google Scholar] [CrossRef] [PubMed]
- McCarney, E.R.; Han, S. Spin-labeled gel for the production of radical-free dynamic nuclear polarization enhanced molecules for NMR spectroscopy and imaging. J. Magn. Reson. 2008, 190, 307–315. [Google Scholar] [CrossRef] [PubMed]
- Ebert, S.; Amar, A.; Bauer, C.; Kölzer, M.; Blümler, P.; Spiess, H.W.; Hinderberger, D.; Münnemann, K. A Mobile DNP Polarizer for Continuous Flow Applications. Appl. Magn. Reson. 2012, 43, 195–206. [Google Scholar] [CrossRef]
- Wang, X.; Isley, W.C., III; Salido, S.I.; Sun, Z.; Song, L.; Tsai, K.H.; Cramer, C.J.; Dorn, H.C. Optimization and prediction of the electron-nuclear dipolar and scalar interaction in 1H and 13C liquid state dynamic nuclear polarization. Chem. Sci. 2015, 6, 6482–6495. [Google Scholar] [CrossRef] [PubMed]
- Denysenkov, V.; Terekhov, M.; Maeder, R.; Fischer, S.; Zangos, S.; Vogl, T.; Prisner, T.F. Continuous-flow DNP polarizer for MRI applications at 1.5 T. Sci. Rep. 2017, 7, 44010. [Google Scholar] [CrossRef]
- Kircher, R.; Hasse, H.; Münnemann, K. High Flow-Rate Benchtop NMR Spectroscopy Enabled by Continuous Overhauser DNP. Anal. Chem. 2021, 93, 8897–8905. [Google Scholar] [CrossRef] [PubMed]
- Keller, T.J.; Laut, A.J.; Sirigiri, J.; Maly, T. High-resolution Overhauser dynamic nuclear polarization enhanced proton NMR spectroscopy at low magnetic fields. J. Magn. Reson. 2020, 313, 106719. [Google Scholar] [CrossRef] [PubMed]
- Yoder, J.L.; Magnelind, P.E.; Espy, M.A.; Janicke, M.T. Exploring the Limits of Overhauser Dynamic Nuclear Polarization (O-DNP) for Portable Magnetic Resonance Detection of Low Gamma Nuclei. Appl. Magn. Reson. 2018, 49, 707–724. [Google Scholar] [CrossRef]
- Keller, T.J.; Maly, T. Overhauser Dynamic Nuclear Polarization Enhanced Two-Dimensional Proton NMR Spectroscopy at Low Magnetic Fields. Magn. Reson. 2021, 2, 117–128. [Google Scholar] [CrossRef] [PubMed]
- Kiss, S.Z.; MacKinnon, N.; Korvink, J.G. Microfluidic Overhauser DNP chip for signal-enhanced compact NMR. Sci. Rep. 2021, 11, 4671. [Google Scholar] [CrossRef] [PubMed]
- Fyfe, C.A.; Cocivera, M.; Damji, S.W.H. Flow and stopped-flow nuclear magnetic resonance investigations of intermediates in chemical reactions. Acc. Chem. Res. 1978, 11, 277–282. [Google Scholar] [CrossRef]
- Haw, J.F.; Glass, T.E.; Hausler, D.W.; Motell, E.; Dorn, H.C. Direct coupling of a liquid chromatograph to a continuous flow hydrogen nuclear magnetic resonance detector for analysis of petroleum and synthetic fuels. Anal. Chem. 1980, 52, 1135–1140. [Google Scholar] [CrossRef]
- Godejohann, M.; Preiss, A.; Mügge, C. Quantitative Measurements in Continuous-Flow HPLC/NMR. Anal. Chem. 1998, 70, 590–595. [Google Scholar] [CrossRef]
- Maiwald, M.; Fischer, H.H.; Kim, Y.K.; Hasse, H. Quantitative on-line high-resolution NMR spectroscopy in process engineering applications. Anal. Bioanal. Chem. 2003, 375, 1111–1115. [Google Scholar] [CrossRef]
- Maiwald, M.; Steinhof, O.; Hasse, H. Online-NMR-Spektroskopie—Mischungen messen im Fluss. Nachr. Chem. 2007, 55, 745–749. [Google Scholar] [CrossRef]
- Wei, R.; Hall, A.M.R.; Behrens, R.; Pritchard, M.S.; King, E.J.; Lloyd-Jones, G.C. Stopped-Flow 19F NMR Spectroscopic Analysis of a Protodeboronation Proceeding at the Sub-Second Time-Scale. Eur. J. Org. Chem. 2021, 2021, 2331–2342. [Google Scholar] [CrossRef]
- Friebel, A.; von Harbou, E.; Münnemann, K.; Hasse, H. Online process monitoring of a batch distillation by medium field NMR spectroscopy. Chem. Eng. Sci. 2020, 219, 115561. [Google Scholar] [CrossRef]
- Friebel, A.; von Harbou, E.; Münnemann, K.; Hasse, H. Reaction Monitoring by Benchtop NMR Spectroscopy Using a Novel Stationary Flow Reactor Setup. Ind. Eng. Chem. Res. 2019, 58, 18125–18133. [Google Scholar] [CrossRef]
- Thomson, C.G.; Jones, C.M.S.; Rosair, G.; Ellis, D.; Marques-Hueso, J.; Lee, A.L.; Vilela, F. Continuous-flow synthesis and application of polymer-supported BODIPY Photosensitisers for the generation of singlet oxygen; process optimised by in-line NMR spectroscopy. J. Flow Chem. 2020, 10, 327–345. [Google Scholar] [CrossRef]
- Dorn, H.; Wang, J.; Allen, L.; Sweeney, D.; Glass, T. Flow dynamic nuclear polarization, a novel method for enhancing NMR signals in flowing fluids. J. Magn. Reson. (1969) 1988, 79, 404–412. [Google Scholar] [CrossRef]
- Lingwood, M.D.; Han, S. Solution-State Dynamic Nuclear Polarization. In Annual Reports on NMR Spectroscopy; Elsevier: Amsterdam, The Netherlands, 2011; pp. 83–126. [Google Scholar] [CrossRef]
- Cheng, T.; Mishkovsky, M.; Junk, M.J.N.; Münnemann, K.; Comment, A. Producing Radical-Free Hyperpolarized Perfusion Agents for In Vivo Magnetic Resonance Using Spin-Labeled Thermoresponsive Hydrogel. Macromol. Rapid Commun. 2016, 37, 1074–1078. [Google Scholar] [CrossRef]
- Dollmann, B.C.; Junk, M.J.N.; Drechsler, M.; Spiess, H.W.; Hinderberger, D.; Münnemann, K. Thermoresponsive, spin-labeled hydrogels as separable DNP polarizing agents. Phys. Chem. Chem. Phys. 2010, 12, 5879. [Google Scholar] [CrossRef] [PubMed]
- Bahulekar, R.; Ayyangar, N.; Ponrathnam, S. Polyethyleneimine in immobilization of biocatalysts. Enzyme Microb. Technol. 1991, 13, 858–868. [Google Scholar] [CrossRef]
- Virgen-Ortíz, J.J.; dos Santos, J.C.S.; Berenguer-Murcia, Á.; Barbosa, O.; Rodrigues, R.C.; Fernandez-Lafuente, R. Polyethylenimine: A very useful ionic polymer in the design of immobilized enzyme biocatalysts. J. Mater. Chem. B 2017, 5, 7461–7490. [Google Scholar] [CrossRef]
- de Melo, R.R.; Alnoch, R.; Sousa, A.; Sato, H.H.; Ruller, R.; Mateo, C. Cross-Linking with Polyethylenimine Confers Better Functional Characteristics to an Immobilized beta-glucosidase from Exiguobacterium antarcticum B7. Catalysts 2019, 9, 223. [Google Scholar] [CrossRef]
- Ghriga, M.A.; Grassl, B.; Gareche, M.; Khodja, M.; Lebouachera, S.E.I.; Andreu, N.; Drouiche, N. Review of recent advances in polyethylenimine crosslinked polymer gels used for conformance control applications. Polym. Bull. 2019, 76, 6001–6029. [Google Scholar] [CrossRef]
- Overhauser, A.W. Polarization of Nuclei in Metals. Phys. Rev. 1953, 92, 411–415. [Google Scholar] [CrossRef]
- Slichter, C.P. The discovery and renaissance of dynamic nuclear polarization. Rep. Prog. Phys. 2014, 77, 072501. [Google Scholar] [CrossRef]
- Slichter, C.P. The discovery and demonstration of dynamic nuclear polarization—A personal and historical account. Phys. Chem. Chem. Phys. 2010, 12, 5741. [Google Scholar] [CrossRef]
- Hausser, K.; Stehlik, D. Dynamic Nuclear Polarization in Liquids. In Advances in Magnetic Resonance; Waugh, J.S., Ed.; Academic Press: Cambridge, MA, USA, 1968; Volume 3, pp. 79–139. [Google Scholar] [CrossRef]
- Ravera, E.; Luchinat, C.; Parigi, G. Basic facts and perspectives of Overhauser DNP NMR. J. Magn. Reson. 2016, 264, 78–87. [Google Scholar] [CrossRef] [PubMed]
- Abragam, A.; Goldman, M. Principles of dynamic nuclear polarisation. Rep. Prog. Phys. 1978, 41, 395–467. [Google Scholar] [CrossRef]
- Gafurov, M.; Denysenkov, V.; Prandolini, M.J.; Prisner, T.F. Temperature Dependence of the Proton Overhauser DNP Enhancements on Aqueous Solutions of Fremy’s Salt Measured in a Magnetic Field of 9.2 T. Appl. Magn. Reson. 2012, 43, 119–128. [Google Scholar] [CrossRef]
- Sezer, D.; Prandolini, M.J.; Prisner, T.F. Dynamic nuclear polarization coupling factors calculated from molecular dynamics simulations of a nitroxide radical in water. Phys. Chem. Chem. Phys. 2009, 11, 6626. [Google Scholar] [CrossRef]
- Sezer, D. Rationalizing Overhauser DNP of nitroxide radicals in water through MD simulations. Phys. Chem. Chem. Phys. 2014, 16, 1022–1032. [Google Scholar] [CrossRef]
- Küçük, S.E.; Neugebauer, P.; Prisner, T.F.; Sezer, D. Molecular simulations for dynamic nuclear polarization in liquids: A case study of TEMPOL in acetone and DMSO. Phys. Chem. Chem. Phys. 2015, 17, 6618–6628. [Google Scholar] [CrossRef]
- Luchinat, C.; Parigi, G. Nuclear Relaxometry Helps Designing Systems for Solution DNP on Proteins. Appl. Magn. Reson. 2008, 34, 379–392. [Google Scholar] [CrossRef]
- Neugebauer, P.; Krummenacker, J.G.; Denysenkov, V.P.; Helmling, C.; Luchinat, C.; Parigi, G.; Prisner, T.F. High-field liquid state NMR hyperpolarization: A combined DNP/NMRD approach. Phys. Chem. Chem. Phys. 2014, 16, 18781–18787. [Google Scholar] [CrossRef] [PubMed]
- Höfer, P.; Parigi, G.; Luchinat, C.; Carl, P.; Guthausen, G.; Reese, M.; Carlomagno, T.; Griesinger, C.; Bennati, M. Field Dependent Dynamic Nuclear Polarization with Radicals in Aqueous Solution. J. Am. Chem. Soc. 2008, 130, 3254–3255. [Google Scholar] [CrossRef] [PubMed]
- Bennati, M.; Luchinat, C.; Parigi, G.; Türke, M.T. Water 1H relaxation dispersion analysis on a nitroxide radical provides information on the maximal signal enhancement in Overhauser dynamic nuclear polarization experiments. Phys. Chem. Chem. Phys. 2010, 12, 5902. [Google Scholar] [CrossRef] [PubMed]
- Hyde, J.S.; Chien, J.C.W.; Freed, J.H. Electron–Electron Double Resonance of Free Radicals in Solution. J. Chem. Phys. 1968, 48, 4211–4226. [Google Scholar] [CrossRef]
- Türke, M.T.; Bennati, M. Saturation factor of nitroxide radicals in liquid DNP by pulsed ELDOR experiments. Phys. Chem. Chem. Phys. 2011, 13, 3630. [Google Scholar] [CrossRef]
- Enkin, N.; Liu, G.; del Carmen Gimenez-Lopez, M.; Porfyrakis, K.; Tkach, I.; Bennati, M. A high saturation factor in Overhauser DNP with nitroxide derivatives: The role of 14N nuclear spin relaxation. Phys. Chem. Chem. Phys. 2015, 17, 11144–11149. [Google Scholar] [CrossRef] [PubMed]
- Wind, R.A.; Ardenkjær-Larsen, J.H. 1H DNP at 1.4 T of Water Doped with a Triarylmethyl-Based Radical. J. Magn. Reson. 1999, 141, 347–354. [Google Scholar] [CrossRef]
- Neugebauer, P.; Krummenacker, J.G.; Denysenkov, V.P.; Parigi, G.; Luchinat, C.; Prisner, T.F. Liquid state DNP of water at 9.2 T: An experimental access to saturation. Phys. Chem. Chem. Phys. 2013, 15, 6049. [Google Scholar] [CrossRef]
- Neudert, O.; Zverev, D.G.; Bauer, C.; Blümler, P.; Spiess, H.W.; Hinderberger, D.; Münnemann, K. Overhauser DNP and EPR in a Mobile Setup: Influence of Magnetic Field Inhomogeneity. Appl. Magn. Reson. 2012, 43, 149–165. [Google Scholar] [CrossRef]
- Armstrong, B.D.; Han, S. Overhauser Dynamic Nuclear Polarization To Study Local Water Dynamics. J. Am. Chem. Soc. 2009, 131, 4641–4647. [Google Scholar] [CrossRef] [PubMed]
- Armstrong, B.D.; Han, S. A new model for Overhauser enhanced nuclear magnetic resonance using nitroxide radicals. J. Chem. Phys. 2007, 127, 104508. [Google Scholar] [CrossRef]
- Gallops, C.E.; Yu, C.; Ziebarth, J.D.; Wang, Y. Effect of the Protonation Level and Ionic Strength on the Structure of Linear Polyethyleneimine. ACS Omega 2019, 4, 7255–7264. [Google Scholar] [CrossRef]





| Radical Matrix | CPG-GT | CPG-PEI800-GT | CPG-PEI25000-GT |
|---|---|---|---|
| d/nm | c/mM | ||
| 50 | 1.0 | 7.5 | 37.4 |
| 100 | 0.3 | 3.5 | 31.9 |
| 200 | 0.2 | 2.3 | 12.4 |
| Radical Matrix | CPG-GT | CPG-PEI800-GT | CPG-PEI25000-GT | |||
|---|---|---|---|---|---|---|
| d | (W) | (ACN) | (W) | (ACN) | (W) | (ACN) |
| /nm | /s | /s | /s | /s | /s | /s |
| 50 | 0.95 | 1.85 | 0.19 | 0.54 | 0.08 | 0.09 |
| 100 | 1.48 | 2.47 | 0.34 | 0.72 | 0.09 | 0.14 |
| 200 | 1.99 | 3.01 | 0.48 | 0.97 | 0.16 | 0.25 |
| Matrix | CPG | CPG-PEI800 | CPG-PEI25000 | |||
| d | (W) | (ACN) | (W) | (ACN) | (W) | (ACN) |
| /nm | /s | /s | /s | /s | /s | /s |
| 50 | 1.73 | 2.78 | 1.71 | 2.55 | 1.27 | 1.89 |
| 100 | 1.97 | 2.86 | 1.77 | 2.72 | 1.49 | 2.33 |
| 200 | 2.08 | 3.10 | 1.90 | 2.94 | 1.51 | 2.51 |
| Pore Size/nm | f | ||
|---|---|---|---|
| Water | |||
| 50 | 0.94 | −77.6 | 0.13 |
| 100 | 0.94 | −68.3 | 0.11 |
| 200 | 0.92 | −62.6 | 0.10 |
| Acetonitrile | |||
| 50 | 0.95 | −41.1 | 0.07 |
| 100 | 0.94 | −27.4 | 0.05 |
| 200 | 0.90 | −13.2 | 0.02 |
Publisher’s Note: MDPI stays neutral with regard to jurisdictional claims in published maps and institutional affiliations. |
© 2022 by the authors. Licensee MDPI, Basel, Switzerland. This article is an open access article distributed under the terms and conditions of the Creative Commons Attribution (CC BY) license (https://creativecommons.org/licenses/by/4.0/).
Share and Cite
Kircher, R.; Mross, S.; Hasse, H.; Münnemann, K. Functionalized Controlled Porous Glasses for Producing Radical-Free Hyperpolarized Liquids by Overhauser DNP. Molecules 2022, 27, 6402. https://doi.org/10.3390/molecules27196402
Kircher R, Mross S, Hasse H, Münnemann K. Functionalized Controlled Porous Glasses for Producing Radical-Free Hyperpolarized Liquids by Overhauser DNP. Molecules. 2022; 27(19):6402. https://doi.org/10.3390/molecules27196402
Chicago/Turabian StyleKircher, Raphael, Sarah Mross, Hans Hasse, and Kerstin Münnemann. 2022. "Functionalized Controlled Porous Glasses for Producing Radical-Free Hyperpolarized Liquids by Overhauser DNP" Molecules 27, no. 19: 6402. https://doi.org/10.3390/molecules27196402
APA StyleKircher, R., Mross, S., Hasse, H., & Münnemann, K. (2022). Functionalized Controlled Porous Glasses for Producing Radical-Free Hyperpolarized Liquids by Overhauser DNP. Molecules, 27(19), 6402. https://doi.org/10.3390/molecules27196402

